Abstract
Starting from a thio-substituted 4-quinolizidinone, a series of C-6 alkylated derivatives with a trans C-6, C-9a relationship was synthesized. Further transformations led to the first stereoselective total synthesis of the structure proposed for (±)-quinolizidine 195C, the major alkaloid isolated from the skin extracts of the Madagascan frog Mantella betsileo. Since the spectral data of the synthetic and natural products differed significantly, the true structure of (±)-quinolizidine 195C remains uncertain.
1. Introduction
The piperidine ring is one of the most abundant molecular fragments in both natural and synthetic compounds displaying various biological activities [1,2,3,4]. Among the piperidine natural products are the bicyclic indolizidines and quinolizidines [5,6,7,8,9,10,11,12,13,14,15,16]. Imino-Diels-Alder reactions are very useful for the synthesis of tetrahydropyridines [17,18,19]. We have previously developed a new imino-Diels-Alder reaction of thio-substituted 3-sulfolenes with p-toluenesulfonyl isocyanate (PTSI) to synthesize piperidine derivatives [20,21], and have used this method to prepare some indolizidines and quinolizidines [22,23,24,25,26,27,28,29,30,31,32]. We have recently reported the use of cross metathesis (CM) to transform the terminal alkenes 1a–c into the α,β-unsaturated esters 2a–c, and after detosylation the resulting amides 3a–c can undergo the intramolecular aza-Michael reaction to give sulfur-substituted bicyclic compounds 4a–c (Scheme 1) [33].
Scheme 1.
Cross-metathesis and aza-Michael reaction.
Scheme 1.
Cross-metathesis and aza-Michael reaction.

Herein a new method for the synthesis of C-6 alkylated quinolizidines with a trans-C-6, C-9a relationship is reported, and the trans-compound 4b could be used for the preparation of quinolizidine 195C (Figure 1), which was isolated as a major alkaloid from the skin extracts of the Madagascan frog Mantella betsileo [34,35]. The proposed structure of quinolizidine 195C was based only on its mass spectral and FTIR data. There has been no synthesis of quinolizidine 195C itself, and only that of (±)-quinolizidine 9a-epi-195C was reported [36]. We also reported recently the synthesis of (±)-quinolizidine 4-epi-195C and (±)-quinolizidine 9a-epi-195C [37]. We hoped to achieve the synthesis of quinolizidine 195C and to confirm its structure by providing more spectral data.
Figure 1.
Proposed structure of quinolizidine 195C.
Figure 1.
Proposed structure of quinolizidine 195C.

2. Results and Discussion
Reduction of compound 4b [33] with LiAlH4 in THF at low temperature gave the primary alcohol 5 (Scheme 2). Further treatment with PBr3 provided the expected bromide, but since the bromide was rather unstable, we directly carried out the debromination with Bu3SnH/AIBN to give the ethyl-substituted product 6. If the bromide was treated with Me2CuLi, the propyl-substituted product 7 was obtained. Further reactions of compounds 6 and 7 with Raney nickel cleaved the C-S bond and also reduced the C=C bond to give the products 8 and 9, respectively. Compounds 8 and 9 were then reduced with lithium aluminum hydride in THF at 0 °C to give the corresponding quinolizidines 10 and 11. Since compound 4b has been previously established to have a trans-C-6, C-9a relationship [33], the compounds 10 and 11 should retain the same configuration. The 1H- and 13C-NMR spectral data of compound 11 however were significantly different from those of the cis isomer reported in the literature [36].
Scheme 2.
Synthesis of compounds 8–11.
Scheme 2.
Synthesis of compounds 8–11.

We then studied the conversion of compound 9 to quinolizidine 195C. Unfortunately, various reaction conditions of compound 9 with a methyl nucleophile, followed by treatment with acetic acid and NaBH4/MeOH all failed, as shown in Table 1. Reaction of compound 9 with methylmagnesium bromide at 65 °C gave only the recovered starting material (entry 1). The reaction with methyllithium at room temperature gave the same result (entry 2). Increasing the reaction temperature to 50 °C, however, gave an unidentified mixture of products (entry 3). We suspect that the axial propyl group of compound 9 at C-6 hinders the reaction of the nucleophile with the C=O group.
Table 1.
Reactions of compound 9 with a methyl nucleophile.
| Entry | Reaction Conditions | Results |
|---|---|---|
| 1 | MeMgBr (4 equiv), 65 °C, 3 h | NR a |
| 2 | MeLi (5 equiv), rt, 5 h | NR a |
| 3 | MeLi (5 equiv), 50 °C, 5 h | ND b |
a No reaction was observed; b An unidentified mixture of products was obtained.
We then decided to react compound 7 with the carbon nucleophile, because the more planar structure of compound 7 should offer less steric hindrance (Table 2). Treatment of compound 7 with methylmagnesium bromide, followed by acidification with acetic acid and reduction with NaBH4 at 0 °C (entry 1) gave the 1,2-addition products 12 and 13 (in a ratio of 2:1), and some undesired 1,4-substitution product 14. Since compound 12 has the correct stereochemistry for the conversion to quinolizidine 195C, we tried to increase the 12/13 ratio. When a bulkier reducing agent, NaB(OAc)3H, was used at 0 °C (entry 2), the ratio of 12/13 remained the same at 2:1. If the reduction with NaB(OAc)3H was carried out at room temperature (entry 3), the ratio of 12/13 was reduced to 1.5:1. In contrast, carrying out the reaction at −50 °C for 2 h and then slowly warming to 0 °C (entry 4) afforded the products 12 and 13 in a higher ratio of 4:1. From these results it seems that compound 12 is the kinetic product, which is more favored at lower temperature. However, use of a more bulky and less reactive reductant like NaB(OAc)3H or NaBH3CN at low temperature gave only the 1,4-substitution product 14 (entries 5 and 6). This could be attributed to a slower rate of reduction of the iminium ion intermediate at low temperature by the less reactive reductants. The unreacted iminium ion was then hydrolyzed during aqueous work-up, or was lost in the aqueous solution.
Table 2.
Reactions of compound 7 with MeMgBr followed by reduction.
| Entry | Reaction Conditions | Products (%Yield) a | Ratio of12/13 b |
|---|---|---|---|
| 1 | NaBH4, 0 °C, 2.5 h | 12 (27), 13 (13), 14 (31) | 2:1 |
| 2 | NaB(OAc)3H, 0 °C, 2 h | 12 (29), 13 (14), 14 (27) | 2:1 |
| 3 | NaB(OAc)3H, rt, 2 h | 12/13 (33%), c 14 (30) | 1.5:1 |
| 4 | NaBH4, −50 °C, 2.5 h, then to 0 °C, 2 h | 12 (34), 13 (8), 14 (38) | 4:1 |
| 5 | NaB(OAc)3H, −50 °C to 0 °C, 2 h | 14 (34) | - |
| 6 | NaBH3CN, −50 °C to 0 °C, 2 h | 14 (36) | - |
a Isolated yield of the purified products; b The ratio of 12/13 was determined from the 1H-NMR of crude reactions mixtures; c The mixture of compounds 12 and 13 was not separated.
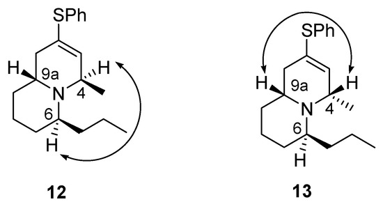
The stereochemistry of compounds 12 and 13 was determined from their NOESY spectra. Compound 12 shows cross signals between the hydrogens at C4 and C6, but no cross signals between the hydrogens at C6 and C9a. On the other hand, compound 13 shows cross signals between the hydrogens at C4 and C9a, but no cross signals between the hydrogens at C4 and C6 (Figure 2). Further treatment of compounds 12 and 13 with Raney nickel in refluxing 95% EtOH gave compounds 15 and 16, respectively (Scheme 3). The spectral data of compound 16 were identical with what we had earlier reported for (±)-quinolizidine 4-epi-195C [37]. On the other hand, the three most downfield CHN protons of compound 15 at δ 3.0–3.2 are quite different from the partial 1H-NMR data (δ 3.7–4.0) of (±)-quinolizidine 195C descried in the literature [34]. Compound 15 exhibits a weak Bohlmann band at 2795 cm–1 whereas the literature data for (±)-quinolizidine 195C was at 2811 cm–1 [34]. Thus, since we are quite confident about the structure of compound 15 based on all the spectral data and related chemical reactions, its identity with the true structure of (±)-quinolizidine 195C remains uncertain.
Figure 2.
NOESY correlations of compounds 12 and 13.
Figure 2.
NOESY correlations of compounds 12 and 13.

Scheme 3.
Preparation of compounds 15 and 16.
Scheme 3.
Preparation of compounds 15 and 16.

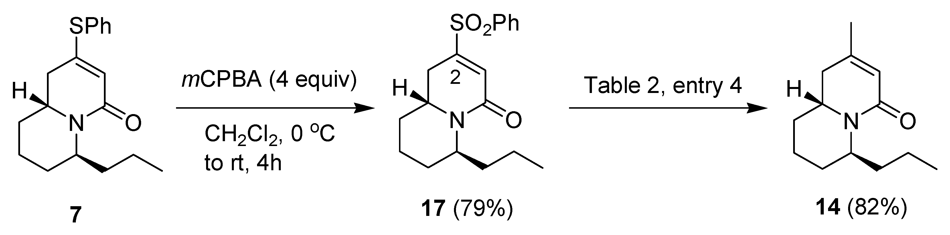
Since the reaction of compound 7 with MeMgBr under various conditions of Table 2 all gave significant amounts of the 1,4-substitution product 14, we hoped that the conversion of the phenylthio group of compound 7 first to the sulfone 17 would disfavor the formation of the 1,4-substitution product 14 because of the greater steric hindrance of the phenylsulfonyl group. However, the reaction of compound 17 with methylmagnesium bromide, followed by HOAc and NaBH4 gave only the 1,4-substitution product 14 (Scheme 4).
Scheme 4.
Preparation of compound 17 and reaction with a nucleophile.
Scheme 4.
Preparation of compound 17 and reaction with a nucleophile.

It seems that the strongly electron-withdrawing phenylsulfonyl group increases the partial positive charge at C-2 significantly and outweighs its steric effect so that only the 1,4-substitution was observed.
We are also interested in studying the biological effects of the quinilizidine derivatives, so we have carried out further synthetic transformations of some of these quinolizidines (Scheme 5). Reaction of compound 5 with Raney nickel in refluxing 95% EtOH gave the product 18. Under catalytic hydrogenation conditions, compound 14 was converted to an inseparable 1:1 mixture of compounds 19. Treatment of compound 17 with 6% sodium amalgam in the presence of a small amount of phosphoric acid [38,39] resulted in the selective cleavage of the phenylsulfonyl group to give product 20. We also found that the reaction of compound 4b with an excess of (trimethylsilyl)methylmagnesium chloride, followed by treatment with aqueous HCl solution gave the methyl ketone product 21. Presumably, the reaction proceeds through the single addition/elimination intermediate A, which is sterically too hindered to react with another molecule of the Grignard reagent.
Scheme 5.
Preparation of compounds 18−21.
Scheme 5.
Preparation of compounds 18−21.

3. Experimental
General
Infrared spectra were recorded with a Perkin-Elmer 100 series FTIR spectrometer using the ATR (attenuated total reflectance) mode. 1H- and 13C-NMR spectra were recorded on a Bruker Avance 300 spectrometer operating at 300 and at 75 MHz, respectively. Chemical shifts (δ) are reported in parts per million (ppm) and the coupling constants (J) are given in Hertz. High-resolution mass spectra (HRMS) were measured with a Finnigan/Thermo Quest MAT 95XL mass spectrometer, or a Shimadzu LCMS-IT-TOF mass spectrometer for electrospray ionization (ESI) measurements. Flash column chromatographic purifications were performed using Merck 60 H silica gel. The microwave reactions were carried out with a CEM FocusedTM Discover-S system.
Trans-6-(2-hydroxyethyl)-2-(phenylthio)-1,6,7,8,9,9a-hexahydro-4-quinolizinone (5). To a solution of compound 4b (510 mg, 1.54 mmol) in THF (50 mL) under nitrogen was added dropwise LiAlH4 (2.4 M in THF, 2.6 mL, 6.16 mmol) at −78 °C. The mixture was slowly warmed to −10 °C in 2.5 h. The solvent was removed under reduced pressure. Saturated NaHCO3 solution was then slowly added. The mixture was extracted three times with ethyl acetate. The organic solution was concentrated under reduced pressure and dried (MgSO4) to give the crude product, which was purified by flash chromatography on silica gel prewashed with Et3N using ethyl acetate/hexane (1:1) and 5% Et3N as eluent to give product 5 (350 mg, 75%). Colorless oil; 1H-NMR (CDCl3) δ 7.51–7.40 (5H, m), 5.31 (1H, d, J = 1.8 Hz), 4.77–4.73 (1H, m), 3.96 (1H, OH), 3.60–3.49 (2H, m), 3.30–3.22 (1H, m), 2.57–2.38 (2H, m), 1.89–1.38 (8H, m); 13C-NMR (CDCl3) δ 164.8, 151.8, 135.1, 129.8, 129.7, 127.9, 114.5, 58.2, 49.0, 45.1, 35.3, 33.4, 33.2, 28.5, 18.1; IR (neat) 3404, 3054, 2943, 2873, 1675, 1596, 1436, 1335, 1266, 1068, 864, 705 cm−1; EI-MS (rel. intensity) m/z 303 (M+, 8), 272 (27), 259 (44), 258 (100), 231 (29), 229 (53), 119 (24), 55 (20); Exact mass calcd for C17H21NO2S m/z 303.1293; EI-HRMS m/z 303.1295.
Trans-6-ethyl-2-(phenylthio)-1,6,7,8,9,9a-hexahydro-4-quinolizinone (6). To a solution of compound 5 (130 mg, 0.43 mmol) in 1,2-dichloroethane (2.5 mL) under nitrogen was added dropwise PBr3 (0.24 mL, 2.57 mmol) at reflux for 3 h. The mixture was cooled in an ice bath, and saturated NaHCO3 solution was then slowly added. The liquid layer was extracted three times with ethyl acetate. The organic solution was concentrated under reduced pressure and dried (MgSO4) to give the crude product, to which were added AIBN (28 mg, 0.17 mmol), degassed toluene (2.5 mL) and Bu3SnH (0.13 mL, 0.47 mmol). The mixture was then heated at reflux for 2 h, and the solvent was removed under reduced pressure. The residue was purified by flash chromatography on silica gel prewashed with Et3N using ethyl acetate/hexane (1:4) and 5% Et3N as eluent to give product 6 (75 mg, 61%). Colorless oil; 1H-NMR (CDCl3) δ 7.51–7.37 (5H, m), 5.35 (1H, s), 4.49–4.45 (1H, m), 3.63–3.53 (1H, m), 2.55 (1H, dd, J = 17.1, 6.3 Hz), 2.31 (1H, ddd, J = 17.1, 9.3, 1.2 Hz), 1.71–1.41 (8H, m), 0.86 (3H, t, J = 7.5 Hz); 13C-NMR (CDCl3) δ 164.3, 150.3, 135.2, 129.7 (×2), 128.4, 115.8, 50.4, 49.5, 35.2, 32.9, 26.0, 21.8, 18.4, 11.0; IR (neat) 3057, 2935, 2872, 1635, 1600, 1408, 1306, 1084, 856, 751, 692 cm−1; EI-MS (rel. intensity) m/z 287 (M+, 8), 259 (31), 258 (100); Exact mass calcd for C17H21NOS m/z 287.1344; EI-HRMS m/z 287.1345.
Trans-6-propyl-2-(phenylthio)-1,6,7,8,9,9a-hexahydro-4-quinolizinone (7). To a solution of compound 5 (112 mg, 0.37 mmol) in 1,2-dichloroethane (3 mL) under nitrogen was added dropwise PBr3 (0.21 mL, 2.22 mmol) at reflux for 3 h. The mixture was cooled in an ice bath, and saturated NaHCO3 solution was then slowly added. The liquid layer was extracted three times with ethyl acetate. The organic solution was concentrated under reduced pressure and dried (MgSO4) to give the crude product, to which were added THF (1 mL). To a mixture of CuI (211 mg, 1.11 mmol) in THF (1 mL) at 0 °C was added dropwise a solution of MeLi (1.5M in THF, 1.5 mL, 2.22 mmol). After stirring at 0 °C for 30 min, the mixture added to the prepared solution of crude product at −78 °C. The reaction mixture was slowly warmed to 0 °C in 2 h, and quenched with saturated ammonium chloride. The aqueous solution was extracted three times with ethyl acetate. The organic solution was removed under reduced pressure and dried (MgSO4). The residue was purified by flash chromatography on silica gel prewashed with Et3N using ethyl acetate/hexane (1:5) and 5% Et3N as eluent to give product 7 (63 mg, 57%). Colorless oil; 1H-NMR (CDCl3) δ 7.51–7.38 (5H, m), 5.33 (1H, d, J = 0.9 Hz), 4.62–4.56 (1H, m), 3.65–3.55 (1H, m), 2.57 (1H, dd, J = 16.8, 6.0 Hz), 2.32 (1H, ddd, J = 16.8, 9.0, 1.5 Hz), 1.75–1.40 (8H, m), 1.34–1.22 (2H, m), 0.90 (3H, t, J = 7.2 Hz); 13C-NMR (CDCl3) δ 164.3, 150.4, 135.4, 129.8 (×2), 128.6, 115.9, 49.7, 48.9, 35.3, 33.0, 31.3, 26.8, 19.8, 18.7, 14.1; IR (neat) 3052, 2938, 2870, 1637, 1598, 1411, 1319, 1266, 1086, 858, 738, 692 cm–1; EI-MS (rel. intensity) m/z 301 (M+, 7), 259 (30), 258 (100), 164 (22); Exact mass calcd for C18H23NOS m/z 301.1500; EI-HRMS m/z 301.1497.
Trans-6-ethyl-1,6,7,8,9,9a-hexahydro-4-quinolizinone (8). A mixture of compound 6 (140.2 mg, 0.49 mmol) and a W-2 Raney-Ni (1.1 g) in 95% EtOH (5 mL) was heated at reflux under nitrogen for 2 h. The solid was filtered off, and the residue was evaporated under vacuum. The crude product was purified by flash chromatography on silica gel prewashed with Et3N using ethyl acetate/hexane (1:1) and 5% Et3N as eluent to give product 8 (69.1 mg, 78%). Yellow oil; 1H-NMR (CDCl3) δ 4.86–4.79 (1H, m), 3.40–3.31 (1H, m), 2.46–2.27 (2H, m), 2.00–1.92 (1H, m), 1.82–1.75 (1H, m), 1.72–1.40 (9H, m), 1.32–1.23 (1H, m), 0.85 (3H, t, J = 7.2 Hz); 13C-NMR (CDCl3) δ 169.4, 51.0, 48.9, 34.1, 33.2, 30.7, 27.2, 22.4, 18.9, 18.8, 10.6; IR (neat) 2937, 2871, 1634, 1463, 1347, 1268, 1050, 791 cm–1; EI-MS (rel. intensity) m/z 181 (M+, 3), 153 (29), 152 (100), 41 (30); Exact mass calcd for C11H19NO m/z 181.1467; EI-HRMS m/z 181.1474.
Trans-6-propyl-1,6,7,8,9,9a-hexahydro-4-quinolizinone (9). Using a procedure similar to that for the preparation of compound 8, compound 7 (39.1 mg, 0.13 mmol) gave product 9 (20.3 mg, 80%). Yellow oil; 1H-NMR (CDCl3) δ 4.94–4.87 (1H, m), 3.42–3.33 (1H, m), 2.45–2.26 (2H, m), 1.97–1.91 (1H, m), 1.82–1.38 (10H, m), 1.32–1.18 (3H, m), 0.92 (3H, t, J = 7.2 Hz); 13C-NMR (CDCl3) δ 169.4, 51.1, 47.5, 34.3, 33.3, 32.0, 30.8, 27.8, 19.5, 19.1, 18.9, 14.2; IR (neat) 3054, 2944, 2872, 1621, 1450, 1265, 1092, 705 cm–1; EI-MS (rel. intensity) m/z 195 (M+, 7), 153 (14), 152 (100); Exact mass calcd for C12H21NO m/z 195.1623; EI-HRMS m/z 195.1620.
(4S/9aS,4R/9aR)-4-Ethyloctahedro-1H-quinolizine (10). To a solution of compound 8 (17.1 mg, 0.09 mmol) in THF (1 mL) under nitrogen was added dropwise LiAlH4 (2.4 M in THF, 0.16 mL, 0.38 mmol) at 0 °C. After stirring at 0 °C for 3 h, the solvent was removed under reduced pressure. Saturated NaHCO3 solution was then slowly added. The mixture was extracted three times with ethyl acetate. The organic solution was carefully concentrated under reduced pressure and dried (MgSO4) to give the crude product, which was purified by flash chromatography on silica gel prewashed with Et3N using ethyl acetate/hexane (1:10) and 5% Et3N as eluent to give product 10 (14.2 mg, 90%). Yellow liquid; 1H-NMR (CDCl3) δ 2.67–2.48 (2H, m), 2.30–2.26 (1H, m), 1.73–1.14 (15H, m), 0.84 (3H, t, J = 7.5 Hz); 13C-NMR (CDCl3) δ 61.5, 54.1, 52.1, 34.3, 34.0, 27.7, 26.2, 24.7, 18.7, 15.0, 12.0; IR (neat) 2931, 2865, 2800, 1445, 1096 cm–1; ESI-MS (rel. intensity) m/z 168 (M++H, 100); Exact mass calcd for C11H21N m/z 167.1674; ESI-HRMS m/z 167.1664.
(4S/9aS,4R/9aR)-4-Propyloctahedro-1H-quinolizine (11). Using a procedure similar to that for the preparation of compound 10, compound 9 (26.3 mg, 0.13 mmol) gave product 11 (22.2 mg, 92%). Yellow liquid; 1H-NMR (CDCl3) δ 2.77–2.71 (1H, m), 2.62–2.47 (2H, m), 2.33–2.26 (1H, m), 1.70–1.11 (16H, m), 0.92 (3H, t, J = 7.2 Hz); 13C-NMR (CDCl3) δ 59.7, 54.1, 52.0, 34.3, 34.0, 28.5, 26.2, 24.8, 24.7, 21.0, 18.8, 14.5; IR (neat) 2933, 2866, 2808, 1449, 1096 cm–1; FAB-MS (rel. intensity) m/z 182 (M++H, 14), 127 (27), 92 (32), 82 (55), 73 (51), 71 (62), 63 (87), 54 (69), 53 (100); Exact mass calcd for C12H23N m/z 181.1830; FAB-HRMS m/z 181.1833.
(4R/6S/9aR,4S/6R/9aS)-4-Methyl-2-(phenylthio)-6-propyl-1,6,7,8,9,9a-hexahydroquinolizine (12), (4S/6S/9aR,4R/6R/9aS)-4-methyl-2-(phenylthio)-6-propyl-1,6,7,8,9,9a-hexahydroquinolizine (13) and trans-2-Methyl-6-propyl-1,6,7,8,9,9a-hexahydro-4-quinolizinone (14). To a stirred solution of compound 7 (108.1 mg, 0.36 mmol) in THF (9.5 mL) was added MeMgBr (3M in THF, 0.48 mL, 1.43 mmol) dropwise at room temperature under nitrogen, followed by heating at 65 °C for 2.5 h. The reaction was then quenched with AcOH (0.1 mL) at 0 °C with stirring for about 10 min, then cooled to −50 °C. NaBH4 (78 mg, 2.06 mmol) and MeOH (2 mL) were then added sequentially with stirring at −50 °C for 2.5 h. The mixture was slowly warmed to 0 °C in 2 h. The solvent was removed under reduced pressure. Saturated NaHCO3 solution was then added. The mixture was extracted three times with CH2Cl2. The organic solution was carefully concentrated under reduced pressure and dried (MgSO4) to give the crude product, which was purified by flash chromatography on silica gel prewashed with hexane using ethyl acetate/hexane (1:10) and 5% Et3N as eluent to give compound 12 (37.2 mg, 34%), compound 13 (8.4 mg, 8%) and compound 14 (28.2 mg, 38%). Compound 12: yellow liquid; 1H-NMR (CDCl3) δ 7.35–7.27 (4H, m), 7.24–7.21 (1H, m), 5.97–5.95 (1H, m), 3.65–3.62 (1H, m), 3.36–3.29 (1H, m), 2.74–2.66 (1H, m), 2.25 (1H, dd, J = 17.4, 7.8 Hz), 1.96 (1H, dd, J = 17.4, 5.1 Hz), 1.74–1.22 (10H, m), 1.19 (3H, d, J = 6.6 Hz), 0.90 (3H, t, J = 7.2 Hz); 13C-NMR (CDCl3) δ 135.1, 134.7, 130.5, 129.0, 128.2, 126.6, 53.0, 50.5, 48.6, 35.6, 31.0, 27.9, 27.7, 21.2, 20.1, 19.2, 14.6; IR (neat) 2954, 2930, 2867, 1439, 1378, 1161, 1067, 1024, 744, 692 cm–1; ESI-MS (rel. intensity) m/z 302 (M++H, 50), 300 (100), 298 (12); Exact mass calcd for C19H27NS m/z 301.1864; ESI-HRMS m/z 301.1872. Compound 13: yellow liquid; 1H-NMR (CDCl3) δ 7.33–7.27 (4H, m), 7.23–7.18 (1H, m), 5.83 (1H, d, J = 1.2 Hz), 3.47–3.42 (1H, m), 3.14–3.11 (1H, m), 2.76–2.66 (1H, m), 2.06–2.00 (2H, m), 1.79–1.21 (10H, m), 1.17 (3H, d, J = 6.6 Hz), 0.94 (3H, t, J = 7.2 Hz); 13C-NMR (CDCl3) δ 135.8, 134.6, 130.6, 129.0, 127.5, 126.6, 53.3, 52.2, 50.7, 38.8, 34.4, 28.6, 24.2, 21.0, 20.0, 18.2, 14.5; IR (neat) 2955, 2929, 2867, 1439, 1371, 1133, 1068, 1025, 740, 691 cm–1; ESI-MS (rel. intensity) m/z 302 (M++H, 96), 300 (100), 298 (11); Exact mass calcd for C19H27NS m/z 301.1864; ESI-HRMS m/z 301.1881. Compound 14: yellow oil; 1H-NMR (CDCl3) δ 5.69 (1H, q, J = 1.2 Hz), 4.68–4.62 (1H, m), 3.63–3.53 (1H, m), 2.39 (1H, dd, J = 17.7, 6.9 Hz), 2.08 (1H, dd, J = 17.7, 8.4 Hz), 1.85 (3H, s), 1.70–1.23 (10H, m), 0.92 (3H, t, J = 7.2 Hz); 13C-NMR (CDCl3) δ 165.4, 147.7, 120.4, 49.1, 48.6, 36.0, 33.5, 31.2, 26.8, 22.6, 19.7, 18.8, 14.1; IR (neat) 2934, 2869, 1677, 1424, 1327, 1040 cm–1; EI-MS (rel. intensity) m/z 207 (M+, 7), 165 (17), 164 (100), 82 (6); Exact mass calcd for C13H21NO m/z 207.1623; EI-HRMS m/z 207.1623.
(4R/6S/9aS,4S/6R/9aR)-4-Methyl-6-propyl-2,3,4,6,7,8,9,9a-octahydro-1H-quinolizine (15). A mixture of compound 12 (23.4 mg, 0.08 mmol) and a W-2 Raney-Ni (175 mg) in 95% EtOH (3 mL) was heated at reflux under nitrogen for 2 h. The solid was filtered off, and the residue was evaporated under vacuum. The crude product was purified by flash chromatography on silica gel prewashed with hexane using hexane and 5% Et3N as eluent to give product 15 (11.4 mg, 75%). Yellow liquid; 1H-NMR (CDCl3) δ 3.22–3.18 (1H, m), 3.14–3.00 (2H, m), 1.90–1.81 (2H, m), 1.70–1.54 (9H, m), 1.34–1.24 (4H, m), 1.16–1.12 (1H, m), 1.06 (3H, d, J = 6.0 Hz), 0.91 (3H, t, J = 7.2 Hz); 13C-NMR (CDCl3) δ 52.4, 49.4, 47.1, 34.4, 33.7, 30.2, 24.6, 22.5, 21.0, 20.3 (×2), 20.0, 14.5; IR (neat) 2931, 2864, 2795, 1457, 1365 cm–1; ESI-MS (rel. intensity) m/z 196 (M++H, 100); Exact mass calcd for C13H25N m/z 195.1987; ESI-HRMS m/z 195.1968.
(4S/6S/9aS,4R/6R/9aR)-4-Methyl-6-propyl-2,3,4,6,7,8,9,9a-octahydro-1H-quinolizine (16). A mixture of compound 13 (34.4 mg, 0.11 mmol) and a W-2 Raney-Ni (258 mg) in 95% EtOH (5 mL) was heated at reflux under nitrogen for 2 h. The solid was filtered off, and the residue was evaporated under vacuum. The crude product was purified by flash chromatography on silica gel prewashed with hexane using hexane and 5% Et3N as eluent to give product 16 (16.3 mg, 73%) as a yellow liquid. The spectral data of compound 16 were identical with the literature data [37].
Trans-6-propyl-2-(phenylsulfonyl)-1,6,7,8,9,9a-hexahydro-4-quinolizinone (17). To a solution of compound 7 (69.5 mg, 0.23 mmol) in CH2Cl2 (2 mL) at 0 °C was added dropwise another solution of mCPBA (60% in H2O, 264 mg, 0.92 mmol) in CH2Cl2 (3 mL). The reaction mixture was slowly warmed to room temperature and stirred for another 4 h, then diluted with more CH2Cl2. The solution was washed with saturated aqueous sodium thiosulfate and saturated sodium bicarbonate solution. The organic solution was removed under reduced pressure and dried (MgSO4). The residue was purified by flash chromatography on silica gel prewashed with Et3N using ethyl acetate/hexane (1:3) and 5% Et3N as eluent to give product 17 (60.4 mg, 79%). Colorless oil; 1H-NMR (CDCl3) δ 7.90 (2H, d, J = 7.2 Hz), 7.73–7.68 (1H, m), 7.60 (2H, t, J = 7.2 Hz), 6.62 (1H, s), 4.65–4.59 (1H, m), 3.71–3.61 (1H, m), 2.73 (1H, dd, J = 17.4, 6.6 Hz), 2.26 (1H, ddd, J = 17.4, 8.7, 1.8 Hz), 1.70–1.43 (7H, m), 1.38–1.20 (3H, m), 0.90 (3H, t, J = 7.2 Hz); 13C-NMR (CDCl3) δ 162.1, 147.2, 137.3, 134.4, 129.6, 128.5, 127.8, 49.7, 49.6, 33.0, 31.3, 28.3, 26.6, 19.6, 18.3, 13.9; IR (neat) 3064, 2936, 2870, 1665, 1623, 1428, 1322, 1155, 1081, 858, 759, 689 cm−1; FAB-MS (rel. intensity) m/z 334 (M++H, 100), 332 (14), 290 (17), 126 (16), 105 (20); Exact mass calcd for C18H23NO3S m/z 333.1399; FAB-HRMS m/z 333.1400.
Trans-6-(2-hydroxyethyl)-1,6,7,8,9,9a-hexahydro-4-quinolizinone (18). Using a procedure similar to that for the preparation of compound 8, compound 5 (309 mg, 1.02 mmol) gave product 18 (157 mg, 78%). Yellow oil; 1H-NMR (CDCl3) δ 5.00–4.96 (1H, m), 3.86 (1H, OH), 3.64–3.57 (1H, m), 3.32–3.23 (2H, m), 2.51–2.32 (2H, m), 2.05–1.46 (11H, m), 1.38–1.26 (1H, m); 13C-NMR (CDCl3) δ 171.4, 58.0, 51.7, 44.4, 34.0, 33.1, 32.5, 30.8, 29.2, 19.2, 19.0; IR (neat) 3400, 2938, 2867, 1610, 1449, 1064 cm–1; EI-MS (rel. intensity) m/z 197 (M+, 10), 153 (26), 152 (100); Exact mass calcd for C11H19NO2 m/z 197.1416; EI-HRMS m/z 197.1416.
(2R/4S/9aS,2S/4R/9aR)- and (2S/4S/9aS,2R/4R9aR)-2-Methyl-6-propyl-1,2,3,6,7,8,9,9a-octa-hydro-4-quinolizinone (19). A mixture of compound 14 (22.3 mg, 0.11 mmol) and PtO2 (4 mg) in EtOAc (3 mL) was stirred vigorously under a balloon of hydrogen at room temperature for 12 h. The reaction mixture was then filtered with Celite, washed with ethyl acetate, dried (MgSO4), and evaporated under vacuum to give product 19 (20.6 mg, 92%). Yellow liquid; 1H-NMR (CDCl3) δ 4.94–4.84 (m), 3.53–3.45 (m), 3.40–3.31 (m), 2.50–2.42 (m), 2.06–1.87 (m), 1.81–1.03 (m), 0.99–0.88 (m); 13C-NMR (CDCl3,) δ 169.5, 168.9, 51.4, 49.0, 48.0, 47.5, 41.6, 40.8, 39.9, 37.1, 34.9, 33.8, 32.2, 31.9, 27.9, 27.8, 26.3, 23.9, 21.2, 20.3, 19.8, 19.7, 19.6, 18.8, 14.2 (×2); IR (neat) 3052, 2936, 2872, 1623, 1452, 1266, 1088, 738 cm–1; EI-MS (rel. intensity) m/z 209 (M+, 14), 167 (38), 166 (100); Exact mass calcd for C13H23NO m/z 209.1780; EI-HRMS m/z 209.1784.
Trans-6-propyl-1,6,7,8,9,9a-hexahydro-4-quinolizinone (20). To a solution of compound 17 (56.2 mg, 0.17 mmol) in dried THF (4 mL) was added 6% sodium amalgam (1.68 mmol) and two drops of concentrated phosphoric acid. The mixture was heated at reflux for 2 h. Upon cooling the mixture was filtered through Celite, rinsed with ethyl acetate, and evaporated under vacuum. The residue was purified by flash chromatography on silica gel prewashed with Et3N using ethyl acetate/hexane (1:2) and 5% Et3N as eluent to give product 20 (25.1 mg, 77%). Yellow oil; 1H-NMR (CDCl3) δ 6.43–6.37 (1H, m), 5.88 (1H, dt, J = 9.6 1.8 Hz), 4.71–4.64 (1H, m), 3.65–3.56 (1H, m), 2.51 (1H, dddd, J = 18.0, 7.2, 5.1, 1.8 Hz), 2.15 (1H, dddd, J = 18.0, 8.4, 3.6, 2.4 Hz), 1.72–1.43 (8H, m), 1.37–1.25 (2H, m), 0.93 (3H, t, J = 7.2 Hz); 13C-NMR (CDCl3) δ 164.6, 136.8, 125.1, 49.2, 48.8, 33.4, 31.2, 30.8, 26.8, 19.7, 18.8, 14.1; IR (neat) 2934, 2870, 1667, 1614, 1424, 1307, 1157 cm–1; ESI-MS (rel. intensity) m/z 194 (M++H, 100); Exact mass calcd for C12H19NO m/z 193.1467; ESI-HRMS m/z 193.1459.
Trans-6-[2-oxoproyl]-2-(phenylthio)-1,6,7,8,9,9a-hexahydro-4-quinolizinone (21). To a stirred solution of compound 4b (22.2 mg, 0.07 mmol) in THF (1.5 mL) was added (trimethylsilyl)methylmagnesium chloride (1.3 M in THF, 0.15 mL, 0.20 mmol) at room temperature under nitrogen for 3 h. The reaction solution was washed with 1N HCl solution. The aqueous layer was extracted three times with ethyl acetate. The organic solution was concentrated under reduced pressure and dried (MgSO4) to give the crude product, which was purified by flash chromatography on silica gel prewashed with hexane using ethyl acetate/hexane (1:4) and 5% Et3N as eluent to give compound 21 (13.4 mg, 64%). Colorless oil; 1H-NMR (CDCl3) δ 7.50–7.38 (5H, m), 5.28 (1H, d, J = 1.8 Hz), 5.02–4.96 (1H, m), 3.62–3.52 (1H, m), 2.60 (2H, d, J = 7.2 Hz), 2.50 (1H, dd, J = 17.1, 6.0 Hz), 2.38 (1H, ddd, J = 17.1, 10.2, 1.8 Hz), 2.18 (3H, s), 1.80–1.76 (1H, m), 1.71–1.55 (4H, m), 1.47–1.38 (1H, m); 13C-NMR (CDCl3) δ 207.4, 164.7, 152.0, 135.3, 129.9, 129.8, 128.2, 115.2, 50.3, 45.7, 43.8, 35.6, 32.7, 29.8, 27.3, 18.2; IR (neat) 3057, 2938, 2864, 1712, 1639, 1599, 1408, 1303, 1168, 1023, 856, 752 cm–1; EI-MS (rel. intensity) m/z 315 (M+, 24), 314 (17), 272 (39), 258 (67), 56 (100); Exact mass calcd for C18H21NO2S m/z 315.1293; EI-HRMS m/z 315.1291.
4. Conclusions
In summary, we have converted trans-quinolizidinone 4b into the C-6 alkylated derivatives 6–11. Treatment of compound 7 with methylmagnesium bromide, followed by acidification with acetic acid and reduction with NaBH4 at low temperature gave selectively the C-6,9a trans-compound 12, which was reacted with Raney nickel in refluxing 95% EtOH to achieve the synthesis of compound 15 which was the proposed structure of the natural product (±)-quinolizidine 195C. However, the spectral data of compound 15 differed significantly from that reported in the literature, so the true structure of (±)-quinolizidine 195C remains uncertain. We have also prepared some other functionalized quinolizidines 17–21 for further biological studies.
Supplementary Material
1H- and 13C-NMR spectra of compounds 5–21 can be found in the online Supplementary Data.
Supplementary materials can be accessed at: http://www.mdpi.com/1420-3049/18/7/8243/s1.
Acknowledgments
Financial support by the National Science Council of the Republic of China (NSC 97-2113-M-030-001-MY3, NSC 100-2113-M-030-007, and 101-2113-M-030-001-MY2) is gratefully acknowledged.
Conflicts of Interest
The authors declare no conflict of interest.
References
- Rubiralta, M.; Giralt, E.; Diez, E. Structure, Preparation, Reactivity and Synthetic Applications of Piperidine and its Derivatives; Elsevier: Amsterdam, The Netherlands, 1991. [Google Scholar]
- Laschat, S.; Dickner, T. Stereoselective synthesis of piperidines. Synthesis 2000, 13, 1781–1813. [Google Scholar] [CrossRef]
- Buffat, M.G.P. Synthesis of piperidines. Tetrahedron 2004, 60, 1701–1729. [Google Scholar] [CrossRef]
- Merino, P.; Tejero, T.; Greco, G.; Marca, E.; Delso, I.; Gomez-SanJuan, A.; Matute, R. Recent advances on the synthesis of piperidines through ruthenium-catalyzed ring-closing metathesis (RCM) reactions. Heterocycles 2012, 84, 75–100. [Google Scholar] [CrossRef]
- Daly, J.W.; Spande, T.F. Alkaloids: Chemical and Biological Perspectives; Pelletier, S.W., Ed.; Wiley: New York, NY, USA, 1986; Volume 3, Chapter 1. [Google Scholar]
- Michael, J.P. Indolizidine and quinolizidine alkaloids. Nat. Prod. Rep. 2008, 25, 139–165. [Google Scholar] [CrossRef]
- Rueping, M.; Hubener, L. Enantioselective synthesis of quinolizidines and indolizidines via a catalytic asymmetric hydrogenation cascade. Synlett 2011, 1243–1246. [Google Scholar] [CrossRef]
- Belanger, G.; O’Brien, G.; Larouche-Gauthier, R. Rapid assembly of quinolizidines via consecutive nucleophilic cyclizations onto activated amides. Org. Lett. 2011, 13, 4268–4271. [Google Scholar] [CrossRef]
- Buchanan, G.S.; Dai, H.; Hsung, R.P.; Gerasyuto, A.I.; Scheinebeck, C.M. Asymmetric aza-[3+3] annulation in the synthesis of indolizidines: an unexpected reversal of regiochemistry. Org. Lett. 2011, 13, 4402–4405. [Google Scholar] [CrossRef]
- Lazzaroni, R.; Settambolo, R. Synthesis of indolizidines from optically pure α-amino acids via stereocontrolled rhodium-catalyzed hydroformylation of N-allylpyrroles. Chirality 2011, 23, 730–735. [Google Scholar] [CrossRef]
- Yang, D.; Micalizio, G.C. A convergent stereoselective synthesis of quinolizidines and indolizidines: Chemoselective coupling of 2-hydroxymethyl-substituted allylic silanes with imines. J. Am. Chem. Soc. 2009, 131, 17548–17549. [Google Scholar] [CrossRef]
- Amorde, S.M.; Jewett, I.T.; Martin, S.F. Iminium ion cascade reactions: stereoselective synthesis of quinolizidines and indolizidines. Tetrahedron 2009, 65, 3222–3231. [Google Scholar] [CrossRef]
- Furman, B.; Lipner, G. Rhodium-catalyzed intramolecular conjugate addition of vinylstannanes to dihydro-4-pyridones: A simple method for stereoselective construction of 1-azabicyclic alkaloids. Tetrahedron 2008, 64, 3464–3470. [Google Scholar] [CrossRef]
- Coldham, I.; Jana, S.; Watson, L.; Pilgram, C.D. Cascade cyclization intermolecular dipolar cycloaddition by multi-component couplings–synthesis of indolizidines and pyrrolizidines. Tetrahedron Lett. 2008, 49, 5408–5410. [Google Scholar] [CrossRef]
- Pattenden, L.C.; Adams, H.; Smith, S.A.; Harrity, J.P.A. Development of a [3+3] approach to tetrahydropyridines and its application in indolizidine alkaloid synthesis. Tetrahedron 2008, 64, 2951–2961. [Google Scholar] [CrossRef]
- Lee, E.E.; Rovis, T. Enantioselective synthesis of indolizidines bearing quaternary substituted stereocenters via rhodium-catalyzed [2+2+2] cycloaddition of alkenyl isocyanates and terminal alkynes. Org. Lett. 2008, 10, 1231–1234. [Google Scholar] [CrossRef]
- Buonora, P.; Olsen, J.-C.; Oh, T. Recent developments in imino Diels–Alder reactions. Tetrahedron 2001, 57, 6099–6138. [Google Scholar] [CrossRef]
- Heintzelman, G.R.; Meigh, I.R.; Mahajan, Y.R.; Weinreb, S.M. Diels-Alder reactions of imino dienophiles. Org. React. 2005, 65, 141. [Google Scholar]
- Maison, W. Science of Synthesis; Enders, D., Schaumann, E., Eds.; Georg Thieme Verlag KG: Stuttgart, Germany, 2009; Volume 40a, p. 343. [Google Scholar]
- Chou, S.S.P.; Hung, C.C. Aza-Diels–Alder reactions and synthetic applications of thio-substituted 1,3-dienes with arylsulfonyl isocyanates. Tetrahedron Lett. 2000, 41, 8323–8326. [Google Scholar] [CrossRef]
- Chou, S.S.P.; Hung, C.C. Synthesis and applications of tetrahydro-2-pyridinones via aza-Diels-Alder reactions of thio-substituted 1,3-dienes with arylsulfonyl isocyanates. Synthesis 2001, 2450–2462. [Google Scholar] [CrossRef]
- Chou, S.S.P.; Chiu, H.C.; Hung, C.C. Synthesis of 6-substituted tetrahydropyridinones and cyclization to indolizidine and quinolizidine structures. Tetrahedron Lett. 2003, 44, 4653–4655. [Google Scholar] [CrossRef]
- Chou, S.S.P.; Ho, C.W. Synthesis and transformations of sulfur-substituted indolizidines and quinolizidines. Tetrahedron Lett. 2005, 46, 8551–8554. [Google Scholar] [CrossRef]
- Chou, S.S.P.; Liang, C.F.; Lee, T.M.; Liu, C.F. Synthesis of sulfur-substituted quinolizidines and pyrido[1,2-a]azepines by ring-closing metathesis. Tetrahedron 2007, 63, 8267–8273. [Google Scholar] [CrossRef]
- Chou, S.S.P.; Liu, C.F. A rapid, solvent-free phase-transfer catalysis procedure for N-alkylation of dihydropyridones and construction of the indolizidine, quinolizidine and pyridoazepine structures. J. Chin. Chem. Soc. 2010, 57, 811–819. [Google Scholar]
- Chou, S.S.P.; Cai, Y.L. Synthesis and applications of sulfur-substituted cis-hexahydro-2-quinolinones. Tetrahedron 2011, 67, 1183–1186. [Google Scholar] [CrossRef]
- Chou, S.S.P.; Chung, Y.C.; Chen, P.A.; Chiang, S.L.; Wu, C.J. Synthetic applications of sulfur-substituted indolizidines and quinolizidines. J. Org. Chem. 2011, 76, 692–695. [Google Scholar] [CrossRef]
- Chou, S.S.P.; Yang, T.H.; Wu, W.S.; Chiu, T.H. Stereospecific synthesis of trans-5,6-dihydropyridinones. Synthesis 2011, 759–763. [Google Scholar]
- Chou, S.S.P.; Wu, C.J.J. Ring opening of dihydro-2-pyridones and intramolecular Diels-Alder reactions. Tetrahedron 2012, 68, 1185–1191. [Google Scholar] [CrossRef]
- Chou, S.S.P.; Lu, C.L.; Hsu, Y.H. Synthesis of triazolyl-substituted quinolizidine imides. J. Chin. Chem. Soc. 2012, 59, 365–372. [Google Scholar] [CrossRef]
- Chou, S.S.P.; Wu, C.J.J. Chiral synthesis of indolizidines 209D and 167B via asymmetric oxidation of sulfides and sulfoxides. Tetrahedron 2012, 68, 5025–5030. [Google Scholar] [CrossRef]
- Chou, S.S.P.; Chiang, S.L.; Huang, G.L.; Chiang, B.S.; Yu, Y.C. New synthesis and reactions of indolizidine 167E and indolizidine derivatives. Tetrahedron 2013, 69, 274–283. [Google Scholar] [CrossRef]
- Chou, S.S.P.; Huang, J.L. Tandem cross metathesis and intramolecular aza-Michael reaction to synthesize bicyclic piperidines and indolizidine 167E. Tetrahedron Lett. 2012, 53, 5552–5554. [Google Scholar] [CrossRef]
- Jones, T.H.; Gorman, J.S.T.; Snelling, R.R.; Delabie, J.H.C.; Blum, M.S.; Garraffo, H.M.; Jain, P.; Daly, J.W.; Spande, T.F. Further alkaloids common to ants and frogs: decahydroquinolines and a quinolizidine. J. Chem. Ecol. 1999, 25, 1179–1193. [Google Scholar] [CrossRef]
- Daly, J.W.; Spande, T.F.; Garraffo, H.M. Alkaloids from amphibian skin: a tabulation of over eight-hundred compounds. J. Nat. Prod. 2005, 68, 1556–1575. [Google Scholar] [CrossRef]
- Airiau, E.; Girard, N.; Pizzeti, M.; Salvadori, J.; Taddei, M.; Mann, A. Hydroformylation of alkenylamines. Concise approaches toward piperidines, quinolizidines, and related alkaloids. J. Org. Chem. 2010, 75, 8670–8673. [Google Scholar]
- Chou, S.S.P.; Zhang, J.W.; Chen, K.H. Synthetic studies of quinolizidine 195C and derivatives. Tetrahedron 2013, 69, 1499–1508. [Google Scholar] [CrossRef]
- Chou, S.S.P.; Sun, C.M. A facile synthesis of stable precursors to 2-alkylated and 2,3-dialkylated 1,3-butadienes. Tetrahedron Lett. 1990, 31, 1035–1038. [Google Scholar] [CrossRef]
- Chou, S.S.P.; Lee, B.H.; Ni, C.H.; Lin, Y.H. Synthesis and reactions of sulfur-substituted indolizidinones. Tetrahedron 2011, 67, 5395–5401. [Google Scholar] [CrossRef]
- Sample Availability: Not available.
© 2013 by the authors; licensee MDPI, Basel, Switzerland. This article is an open access article distributed under the terms and conditions of the Creative Commons Attribution license (http://creativecommons.org/licenses/by/3.0/).