Abstract
Three new spermidine alkaloids and two known compounds were isolated from the leaves of Androya decaryi. Their structures were elucidated on the basis of their spectroscopic data (NMR and mass spectrometry), by X-Ray diffraction and by comparison with literature values. Evaluation of the in vitro antiplamosdial properties of the isolated compounds revealed they did not possess any significant activity.
1. Introduction
Androya decaryi L. Perrier (Scrophulariaceae) [1] is an evergreen shrub endemic to the southwest of Madagascar. Traditionally used in folk medicine, the decoction of the aerial parts is used to treat yellow fever and malaria-like symptoms (according to local ethnopharmacological investigations). Considering the need for new antiplasmodial compounds due to the emergence of resistant strains of Plasmodium falciparum [2], and the fact that natural products and phytomedicines are still promising sources of antimalarial agents [3,4,5], the aerial parts of A. decaryi were phytochemically investigated.
Herein, we report the isolation and structural identification of three new macrocyclic spermidine alkaloids 1-2a/b, along with a lignan 3 and (E)-cinnamamide (4) from the leaves A. decaryi, as well as the evaluation of their in vitro antiplasmodial activity. To the best of our knowledge, this is the first report on phytochemistry of the genus Androya and on spermidine alkaloids from a plant belonging to the Scrophulariaceae.
2. Results and Discussion
Since alkaloids have been detected by TLC in the leaves of A. decaryi, a leaf alkaloid extract was studied. Compounds 1 and 2a (Figure 1) were isolated from the crude alkaloid fraction. Minor alkaloids were also detected; a second extraction was therefore performed on a larger amount of A. decaryi, leading to the isolation of the alkaloid 2b and compounds 3 and 4 (Figure 1).
Figure 1.
Structures of compounds 1–4.
Figure 1.
Structures of compounds 1–4.

Compound 1, a yellow oil, had the molecular formula C16H25N3O as established by HR-ESIMS (m/z 276.2078 [M+H]+). The 16 carbon signals (Table 1) were identified with J-modulated 13C-NMR spectrum as eight sp3 methylenes, one sp3 methine, five sp2 methines and two sp2 quaternary carbons, including one amide carbonyl. The 1H-NMR and HSQC spectra displayed signals for three pairs of aliphatic methylene protons between δH 1.40 and 1.85, five pairs of deshielded methylene protons between δH 2.33 and 3.74, one deshielded methine (δH 4.01), and a monosubstituted benzene ring. These data were consistent with a 13-membered cyclic spermidine alkaloid bearing an aromatic ring. Analysis of COSY and HMBC spectra, measurement of a negative optical rotation ( = −13 (c 3.0, MeOH), and comparison with literature values indicated that Compound 1 was (–)-(2S)-2-phenyl-1,5,9-triazacyclotridecan-4-one [6]. Although this alkaloid has been used as a building block for the synthesis of other natural spermidine alkaloids [6,7,8], it is reported here for the first time as a natural product.
Table 1.
1H and 13C-NMR data for Compound 1 in CDCl3.
| δH (J in Hz) a | δC | |
|---|---|---|
| 2 | 4.01 dd (11.5, 2.9) | 60.0 |
| 3 | 2.48 dd (15.0, 2.9); 2.56 dd (15.0, 11.5) | 45.0 |
| 4 | - | 171.7 |
| 5 | 8.57 bs | - |
| 6 | 3.19 dt (13.7, 5.5); 3.70 dt (13.7, 5.2) | 39.6 |
| 7 | 1.80–1.85 m | 27.8 |
| 8 | 2.86 dt (12.1, 5.0) 2.96 dt (12.1, 5.6) | 49.7 |
| 10 | 2.74–2.75 m | 49.1 |
| 11 | 1.55–1.61 m; 1.74–1.80 m | 27.9 |
| 12 | 1.40–1.49 m; 1.63–1.69 m | 27.6 |
| 13 | 2.33 ddd (12.5, 8.8, 1.9); 2.52–2.56 m | 45.8 |
| 1’ | - | 142.7 |
| 2'/6' | 7.23–7.27 m | 126.4 |
| 3'/5' | 7.30–7.36 m | 128.7 |
| 4' | 7.23–7.27 m | 127.3 |
Compound 2a was obtained as colorless crystals (CH2Cl2). In the HR-ESIMS spectrum, it exhibited a quasi-molecular ion at m/z 310.2501 [M+H]+, establishing a molecular formula of C17H31N3O2. The molecular formula and the general framework of the 1H and 13C-NMR spectra (Table 2) indicated that compound 2a was also a macrocyclic lactam spermidine alkaloid. The J-modulated 13C-NMR and HSQC spectra displayed signals for an amide carbonyl carbon at δC 173.2, two methylenes adjacent to an amide function at δC 37.4 (CONH-CH2) and δC 41.9 (CH2-CONH), three nitrogenated CH2 (δC 45.8, 46.3 and 54.4), three methylenes (δC 22.2, 22.5 and 26.9) and one methine carbon at δC 56.5. These signals were consistent with a macrocyclic spermidine moiety and the partial structure was confirmed by analysis of the 1H-NMR spectroscopic data (Table 2), and COSY and HMBC correlations (Figure 2). Moreover, two additional methylene carbons (δC 20.5, 28.9), one methyl at δC 10.7, and four deshielded methine, including one oxygenated (δC 73.0) and two olefinic methines at δC 123.7 and 126.6, were observed. The 1H-NMR data and COSY correlations supported the presence of an ethyl moiety adjacent to an oxymethine and a double bond (δH 5.59, d, J = 10 Hz and 5.79–5.84, m). The connectivity between H-2/H-14, H-14/H-15, H-15/H2-16, H2-16/H-17, H-17/H-18, H-18/H2-19 and H2-19/H-20 was evident from COSY correlations suggesting that an unsaturated and hydroxylated chain was linked to the macrocyclic lactam through C-2. Further HMBC correlations revealed that C-17 was also connected through N-1 to the macrocyclic lactam (C-17/H-2 and C-17/2H-13). This was in accordance with the downfield chemical shift of C-17 (δC 63.5). The structure of 2a was finally confirmed by single-crystal X-ray diffraction (Figure 3). Moreover, owing to the presence of chloride atoms in the crystal, the absolute configurations of C-2, C-17 and C-18 were assigned as 2S, 17S and 18S using the refinement of the Flack parameter [9]. On the basis of the above findings and the measurement of a positive optical rotation = +12 (c 0.84, MeOH), the structure of 2a was unambiguously elucidated and the trivial name (+)-decaryine A was proposed. (+)-Decaryine A is different from palustrine previously isolated from Equisetum palustre [10,11] with respect to the orientation of the spermidine moiety in the macrocyclic lactam.
Table 2.
1H and 13C-NMR data for compounds 2a and 2b in CDCl3.
| 2a | 2b | |||
|---|---|---|---|---|
| δH (J in Hz) a | δC | δH | δCa | |
| 2 | 3.56–3.62 m | 56.5 | 3.71–3.73, m | 57.05 |
| 3 | 2.22 dd (13.7, 2.3); 2.52–2.62 m | 41.9 | 2.40 dd (14.4, 3.8); 2.56–2.61 m | 40.4 |
| 4 | - | 173.2 | - | 173.9 |
| 5 | 7.45–7.53 m | - | 8.10 br s | - |
| 6 | 2.97–3.03 m; 4.12–4.21 m | 37.4 | 3.05–3.11 m; 3.76–3.81 m | 38.8 |
| 7 | 2.02–2.06 m; 2.42–2.52 m | 26.9 | 1.98–2.03 m; 2.20–2.26 m | 25.8 |
| 8 | 2.87–2.95 m; 3.27–3.36 m | 46.3 | 3.05–3.11 m; 3.16–3.22 m | 49.5 |
| 10 | 2.87–2.95 m; 3.21–3.27 m | 45.8 | 2.88 ddd (13.2, 11.5, 2.4); 2.97–3.01 m | 50.1 |
| 11 | 1.70–1.77 m; 1.94–2.02 m | 22.5 | 1.67–1.77 m; 1.98–2.09 m | 26.4 |
| 12 | 1.73–1.82 m | 22.1 | 1.57–1.78 m | 24.7 |
| 13 | 2.28–2.37 m; 2.87–2.93 m | 54.4 | 2.46–2.53 m; 2.56–2.61 m | 46.8 |
| 14 | 5.59 d (10.4) | 126.6 | 5.55–5.58 m | 126.95 |
| 15 | 5.79–5.84 m | 123.7 | 5.83 ddd (10.0, 4.3, 3.7) | 127.0 |
| 16 | 1.85–1.92 m; 2.28–2.37 m | 20.5 | 1.83–1.85 m | 22.2 |
| 17 | 2.73–2.79 m | 63.5 | 3.16–3.22 m | 57.0 |
| 18 | 3.53 dt (11.0, 1.8) | 73.0 | 3.54, ddd (9.5, 6.4, 5.2) | 72.2 |
| 19 | 1.61–1.77 m | 28.9 | 1.50–1.56 m | 26.7 |
| 20 | 1.13 t (7.4) | 10.7 | 1.06 t (7.3) | 10.4 |
a Assignment of 13C-NMR data based on J-modulated, HSQC and HMBC spectra.
Figure 2.
Selected COSY (bold) and HMBC correlations of compound 2a.
Figure 2.
Selected COSY (bold) and HMBC correlations of compound 2a.

Figure 3.
Perspective drawing of the X-Ray structure of compound 2a hydrochloride. Thermal ellipsoids are set at the 50% probability level. The solvent molecule, the chloride counter anion and all hydrogen atoms, except those on the chiral carbons, have been omitted for clarity.
Figure 3.
Perspective drawing of the X-Ray structure of compound 2a hydrochloride. Thermal ellipsoids are set at the 50% probability level. The solvent molecule, the chloride counter anion and all hydrogen atoms, except those on the chiral carbons, have been omitted for clarity.

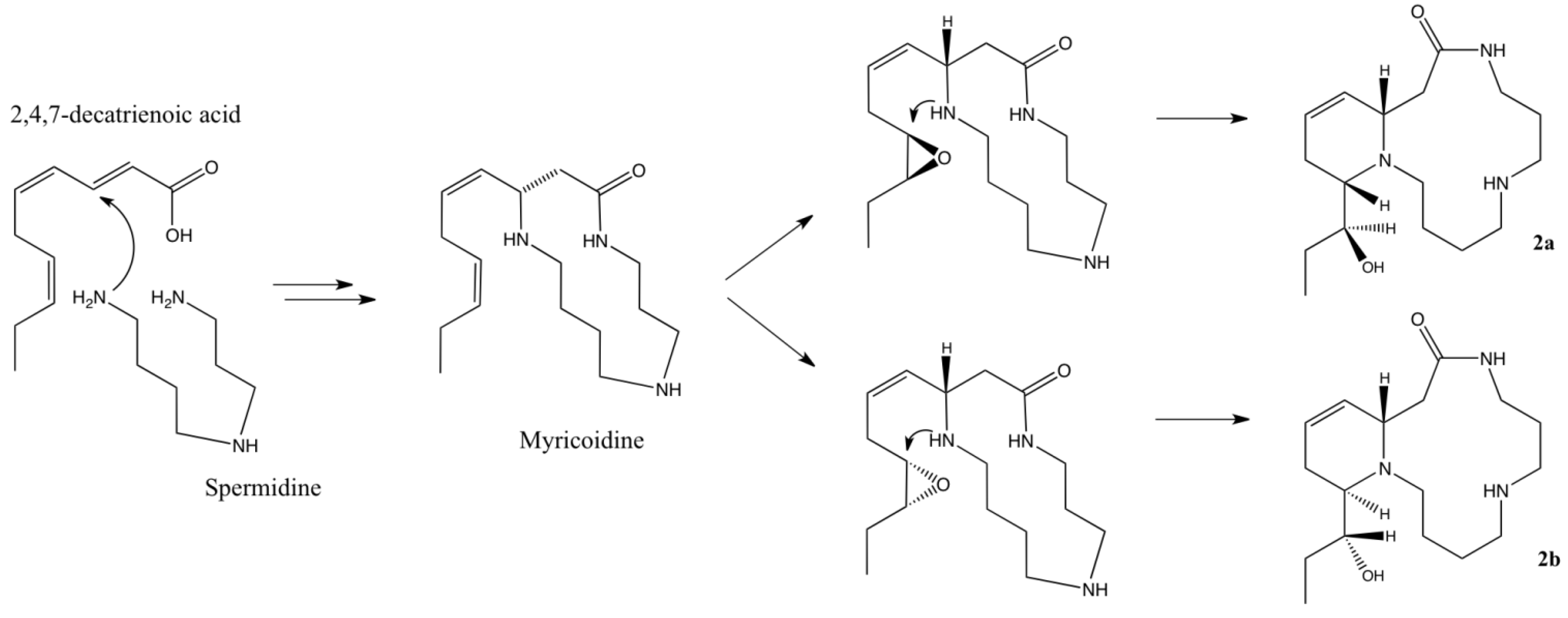
Compound 2b ( = −15 (c 0.13, MeOH)) was isolated as a yellow oil. The molecular formula was determined as C17H31N3O2 by HR-ESIMS (m/z 310.2497 [M+H]+). The 13C-NMR data (Table 2) in combination with analysis of HSQC and HMBC spectra revealed the presence of 17 carbons similar to those of compound 2. These data along with 1H-NMR data (Table 2) and extensive analysis of COSY and HMBC correlations suggested that compound 2b is a diastereoisomer of 2a. The relative and absolute configurations of C-2, C-17 and C-18 could not have been assessed by spectroscopic analyses. Nevertheless, considering the fact that all spermidine alkaloids, including those described here, exhibit the same three-dimensional orientation at C-2 [7,12,13,14,15,16,17,18,19], we can speculate that the latter carbon is (S)-configurated. Schultz et al. [12] suggested that the first step of the biogenesis of spermidine alkaloids involves an enzyme-catalyzed Michael addition that would lead to the same stereochemistry at C-2 (Scheme 1). They also proposed a potential biogenetic pathway for palustrine [13] that can be adapted to the alkaloids of A. decaryi (Scheme 1). Indeed, a Michael addition of the primary amine of the butyl unit of spermidine to the α,β double bond of 2,4,7-decatrienoic acid, followed by amidification of the second primary amine may give a first intermediate, an alkaloid named myricoidine. Epoxidation of the double bond in the 17,18-position would then allow a nucleophilic attack by the nitrogen atom N-1 of the secondary amine at C-17 that induce the inversion of C-17 stereochemistry, with a concomitant 6-membered ring closure and hydroxyl group formation at C-18. In that case, we can postulate that epoxidation may occur on both faces of the double bond. Epoxide ring opening could then yield both (2S, 17S, 18S) and (2S, 17R, 18R) diastereoisomers as depicted in Scheme 1. Detection of dihydromyricoidine [19] in crude alkaloidal extract by MS analysis (see Supplementary Material) and notable difference in chemical shift of C-17 (δC 63.5 and δC 57.0 for compound 2a and 2b, respectively) are in agreement with this hypothesis. Therefore, the configuration of compound 2b, named (–)-decaryine B, was proposed as 2S, 17R, 18R.
Scheme 1.
Potential biogenetic pathway for compounds 2a and 2b.
Scheme 1.
Potential biogenetic pathway for compounds 2a and 2b.

The known compounds lantibeside D (3) [20] and (E)-cinnamamide (4) [21] exhibited spectral data consistent with that reported. Finally, compounds 1,2a and 3,4 were evaluated for their in vitro antiplamosdial activity. Compounds 1, 2a and 4 were not active (IC50 > 100 µM), whereas the lignan 3 exhibited a weak antiplasmodial activity (IC50 = 20.7 µM).
3. Experimental
3.1. General
IR spectra were taken on a Perkin Elmer FT-IR Paragon 1000. 1H and 13C-NMR spectra were recorded on a Brüker Avance 500 instrument in CDCl3 or MeOD. HR-ESIMS spectra were recorded on Waters GTC Premier and Waters LCT spectrometers. Single-crystal-X-ray diffraction analysis was performed on a Bruker AXS SMART APEX II diffractometer at low temperature (193(2)K) and using Mo Kα radiation (λ = 0.71073 Å). Optical rotations were measured with a Perkin Elmer 241 polarimeter. Column chromatographies were performed over Merck silica gel 60A (40–63 µm) and Sephadex® LH-20. Analytical and semi-preparative TLC were performed on precoated Kieselgel 60 F254 plates (Merck, 0.5 mm and 20 × 20, 1 or 2 mm, respectively) using Dragendroff reagent for visualization. CCDC 923477 contains the supplementary crystallographic data for this paper. These data can be obtained free of charge via www.ccdc.cam.ac.uk/conts/retrieving.html (or from the CCDC, 12 Union Road, Cambridge CB2 1EZ, UK; fax: +44 1223 336033; e-mail: deposit@ccdc.cam.ac.uk).
3.2. Plant Material
Androya decaryi was collected twice by Frédéric Manjary (in 2008) and Claude Moulis (in 2009) in the Saint-Augustin region, in southwest Madagascar. Voucher specimens (ADFM2008 and ADCM2009) were deposited at the herbarium of the Institut Supérieur de Technologie of Toliara, Madagascar.
3.3. Extraction and Isolation
The dried and powdered leaves of a first sample of A. decaryi (108 g) were macerated with 100 mL of NH4OH (28% aqueous) and then successively percolated with dichloromethane (2 L) and MeOH (1 L). The CH2Cl2 extract was evaporated under reduced pressure at 40 °C to give 3.58 g of a crude extract which was dissolved in CH2Cl2 (200 mL), and extracted with HCl (0.5 M, 3 × 100 mL). The combined aqueous layers were then made alkaline by adding NaOH to pH 12 and extracted three times with CH2Cl2 (200 mL) to obtain the crude alkaloidal fraction (582 mg). This fraction was subjected to Si gel CC eluting with a CH2Cl2-MeOH gradient to yield seven fractions (F1–7). F7 (110 mg) was subjected to a second Si gel CC in the same conditions to afford Compound 1 (40 mg). F5 (150 mg) was rechromatographed over Si gel CC (CH2Cl2-MeOH gradient) and Sephadex LH 20 (CH2Cl2 then MeOH) to yield F521 (75 mg). Compound 2a was repeatedly precipitated in MeOH/Et2O (1/1) from F521, and further crystallization of compound 2a in CH2Cl2 afforded colorless crystal (34 mg).
The second sample of A. decaryi (1.5 kg) was extracted and partitioned according to the same procedure. A portion (2.8 g) of the crude alkaloidal fraction were further partitioned in a mixture of water (500 mL) and EtOAc (500 mL). The aqueous neutral layer was extracted thrice with EtOAc (500 mL) and the combined organic layers were concentrated under reduced pressure to yield AD2E1 (1 g). After alkalinization to pH 12 (28% NH4OH), the aqueous layer was extracted with EtOAc (3 × 500 mL) to give after concentration 1.5 g of AD2E2. A white solid precipitated in CH2Cl2 from AD2E1 to afford after filtering (E)-cinnamamide 4 (125 mg). The resulting filtrate was further concentrated (880 mg) and fractionated on Si gel CC (CH2Cl2-MeOH gradient) to yield compound 3 (30 mg). AD2E2 was subjected to combinations of Sephadex LH 20 (CH2Cl2), Si gel (CH2Cl2-MeOH gradient) chromatography and final semi-preparative TLC (CH2Cl2/MeOH/NHEt2 9/0.5/0.5) yielding compound 2b (1.3 mg).
(–)-(2S)-2-Phenyl-1,5,9-triazacyclotridecan-4-one (1). Yellow oil; = −13 (c 3.0, MeOH); IR (film) νmax 3420, 3250, 3075, 2920, 1639; 1H and 13C-NMR see Table 1; ESI-MS positive m/z [M+H]+ 276 (100); HR-ESIMS m/z [M+H]+ 276.2078 (calc for C16H26N3O, 276.2076).
Decaryine A (2a). Colorless crystals; = +12 (c 0.84, MeOH); IR (film) nmax 3383, 3060, 2926, 1648, 1093; 1H and 13C-NMR see Table 2; ESI-MS positive m/z [M+H]+ 310 (100); HR-ESIMS m/z [M+H]+ 310.2501 (calc for C17H32N3O2, 310.2495).
Decaryine B (2b). Yellow oil; = −15 (c 0.13, MeOH); 1H and 13C-NMR see Table 2; ESI-MS positive m/z [M+H]+ 310 (100); HR-ESIMS m/z [M+H]+ 310.2497 (calc for C17H32N3O2, 310.2495).
Lantibeside D (3). White amorphous powder; = +9 (c 2.0, MeOH); 1H and 13C-NMR see [20]; ESI-MS positive m/z [M+Na]+ 541 (100), [2M+Na]+ 1059 (63).
3.4. Antiplasmodial Bioassay
Parasites (FCM-29 strain) were cultured according to the method described by Trager and Jensen [22] with modifications described by Benoit et al. [23]. The cultures were synchronized every 48 h by 5% D-sorbitol lysis [24] (Merck, Darmstadt, Germany). The FCM-29 strain was considered as a chloroquine-resistant strain (chloroquine IC50: 145 nM). In vitro antimalarial activity testing was performed by [3H]-hypoxanthine (Amersham, Orsay, France) incorporation as described by Desjardins et al. [25] with modifications [26].
4. Conclusions
The phytochemical investigation of Androya decaryi led to the isolation of three macrocyclic spermidine alkaloids named (–)-(2S)-2-phenyl-1,5,9-triazacyclotridecan-4-one (1), (+)-decaryine A (2a) and (–)-decaryine B (2b). To the best of our knowledge, Compound 1 was previously synthesized, but it is reported here for the first time as a natural product. This is also the first report of spermidine alkaloids in Scrophulariaceae. The absolute configurations of alkaloids 1 and 2a were unambiguously elucidated, supporting the hypothesis described by Hesse and co-workers of a common initial biogenetic step. A similar biogenetic pathway was then postulated for compound 2a and 2b, allowing us to propose an absolute configuration for (–)-decaryine B (2b). The structural complexity of macrocyclic spermidine alkaloids has stimulated numerous syntheses, especially to unambiguously determine their absolute configuration [12,13,18,19,27,28]. Thus, enantioselective synthesis of (–)-decaryine B would confirm these hypotheses. Evaluation of their antiplasmodial properties showed that compounds 1, 2a, 3 and 4 exhibited no significant activity against Plasmodium falciparum.
Supplementary Materials
Supplementary materials can be accessed at: http://www.mdpi.com/1420-3049/18/4/3962/s1.
Acknowledgments
The authors gratefully acknowledge Amandine Fabre and Paul-Louis Ricard for technical assistance.
References
- Oxelman, B.; Kornhall, P.; Olmstead, R.G.; Bremer, B. Further disintregration of Scrophulariaceae. Taxon 2005, 54, 411–425. [Google Scholar] [CrossRef]
- Petersen, I.; Eastman, R.; Lanzer, M. Drug-resistant malaria: Molecular mechanisms and implications for public health. FEBS Lett. 2011, 585, 1551–1562. [Google Scholar] [CrossRef]
- Bero, J.; Frédérich, M.; Quetin-Leclercq, J. Antimalarial compounds isolated from plants used in traditional medicine. J. Pharm. Pharmacol. 2009, 61, 1401–1433. [Google Scholar] [CrossRef]
- Bero, J.; Quetin-Leclercq, J. Natural products published in 2009 from plants traditionally used to treat malaria. Planta Med. 2011, 77, 631–640. [Google Scholar] [CrossRef]
- Nogueira, C.R.; Lopes, L.M.X. Antiplasmodial natural products. Molecules 2011, 16, 2146–2190. [Google Scholar] [CrossRef]
- Kuehne, P.; Linden, A.; Hesse, M. Asymmetric synthesis of the alkaloids mayfoline and N(1)-acetyl-N(1)-deoxymayfoline. Helv. Chim. Acta 1996, 79, 1085–1094. [Google Scholar] [CrossRef]
- Kuehne, P.; Guggisberg, A.; Hesse, M. Synthesis and chiroptical properties of 13-membered spermidine alkaloids (–)-(S)-Celacininne. (0)-(S)-celabenzine, (–)-(S)-celafurine, and (+)-(S)-viburnine. Helv. Chim. Acta 1997, 80, 1802–1808. [Google Scholar] [CrossRef]
- Wassermann, H.H.; Matsuyama, H.; Robinson, R. β-lactams as building blocks in the synthesis of macrocyclic spermine and spermidine alkaloids. Tetrahedron 2002, 58, 7177–7190. [Google Scholar] [CrossRef]
- Flack, H.D. On enantiomorph-polarity estimation. Acta Cryst. 1983, A39, 876–881. [Google Scholar]
- Kerrer, P.; Eugster, C.H. An alkaloid from Equisetum palustre. Helv. Chim. Acta 1948, 31, 1062–1066. [Google Scholar] [CrossRef]
- Natsume, M.; Ogawa, M. Total synthesis of (±)-palustrine and structure revision. Chem. Pharm. Bull. 1984, 32, 3789–3791. [Google Scholar] [CrossRef]
- Schultz, K.; Kuehne, P.; Häusermann, U.A.; Hesse, M. Absolute configuration of macrocyclic spermidine alkaloids. Chirality 1997, 9, 3789–3791. [Google Scholar]
- Guggisberg, A.; Hesse, M. Natural polyamine derivatives—New aspects of their isolation, structure elucidation and synthesis. In The Alkaloids, Chemistry and Biology; Academic Press: San Diego, CA, USA, 1998; Volume 50, pp. 219–256. [Google Scholar]
- Murata, T.; Miyase, T.; Yoshizaki, F. Meehanines A–K, Spermidine alkaloidal glycosides from Meehania urticifolia. J. Nat. Prod. 2009, 72, 1049–1056. [Google Scholar] [CrossRef]
- Murata, T.; Miyase, T.; Yoshizaki, F. Meehanines L–W, Spermidine alkaloidal glycosides from Meehania urticifolia. J. Nat. Prod. 2009, 72, 1937–1943. [Google Scholar] [CrossRef]
- Murata, T.; Miyase, T.; Yoshizaki, F. Cyclic spermidine alkaloids and flavone glycosides from Meehania fargesii. Chem. Pharm. Bull. 2010, 58, 696–702. [Google Scholar] [CrossRef]
- Wang, S.Q.; Ren, D.M.; Xiang, F.; Wang, X.N.; Zhu, C.J.; Yuan, H.Q.; Sun, L.M.; Ly, B.B.; Sun, X.J.; Lou, H.X. Dracotanosides A–D, Spermidine glycosides from Dracocephalum tanguticum: Structure and amide rotational barrier. J. Nat. Prod. 2009, 72, 1006–1010. [Google Scholar] [CrossRef]
- Khanjin, N.A.; Hesse, M. Synthesis of the spermidine alkaloids (–)-(2R,3R)- and (–)-(2R,3S)-3-hydrocelacinnine: Macrocyclisation with oxirane-ring opening and inversion via cyclic sulfamidates. Helv. Chim. Acta 2003, 86, 2028–2057. [Google Scholar] [CrossRef]
- Häusermann, U.A.; Linden, A.; Song, J.; Hesse, M. Total synthesis of (–)-(2R)-dihydromyricoidine. Helv. Chim. Acta 1996, 79, 1995–2003. [Google Scholar] [CrossRef]
- Li, T.; Hao, X.J.; Gu, Q.Q.; Zhu, W.M. Minor furofurano lignans from the Tibetan herb. Lancea tibetica. Planta Med. 2008, 74, 1391–1396. [Google Scholar] [CrossRef]
- Cai, M.Z.; Zhao, H.; Hu, W.Y.; Hale, P.D. Silica-supported Arsine Palladium(0) complex: A highly active and stereoselective catalyst for arylation of butyl acrylate and acrylamide. Chin. J. Chem. 2005, 23, 443–447. [Google Scholar] [CrossRef]
- Trager, W.; Jensen, J.B. Human malaria parasites in continuous culture. Science 1976, 193, 673–675. [Google Scholar]
- Benoit, F.; Valentin, A.; Pelissier, Y.; Marion, C.; Dakuyo, Z.; Mallie, M.; Bastide, J.M. Antimalarial activity in vitro of Cochlospermum tinctorium tubercle extracts. Trans. Roy. Soc. Trop. Med. Hyg. 1995, 89, 217–218. [Google Scholar] [CrossRef]
- Lambros, C.; Vanderberg, J.P. Synchronization of Plasmodium falciparum erythrocytic stages in culture. J. Parasitol. 1979, 65, 418–420. [Google Scholar] [CrossRef]
- Desjardins, R.E.; Canfield, C.J.; Haynes, J.D.; Chulay, J.D. Quantitative assessment of antimalarial activity in vitro by a semiautomated microdilution technique. Antimicrob. Agent Chemother. 1979, 16, 710–718. [Google Scholar] [CrossRef]
- Valentin, A.; Benoit-Vical, F.; Moulis, C.; Stanislas, E.; Mallie, M.; Fouraste, I.; Bastide, J.-M. In vitro antimalarial activity of penduline, A bisbenzylisoquinoline from Isopyrum thalictroides. Antimicrob. Agent Chemother. 1997, 41, 2305–2307. [Google Scholar]
- Häusermann, U.A.; Hesse, M. Total syntheses of (+)-(2S)-dihydromyricoidine and (+)-(2S)-myricoidine. Tetrahedron Lett. 1998, 39, 257–260. [Google Scholar] [CrossRef]
- Bienz, S.; Bisegger, P.; Guggisberg, A.; Hesse, M. Polyamine alkaloids. Nat. Prod. Rep. 2005, 22, 647–658. [Google Scholar] [CrossRef]
- Sample Availability: Samples of the compounds 1 and 2a are available from the authors.
© 2013 by the authors; licensee MDPI, Basel, Switzerland. This article is an open access article distributed under the terms and conditions of the Creative Commons Attribution license (http://creativecommons.org/licenses/by/3.0/).