Profiling and Characterization of Volatile Components from Non-Fumigated and Sulfur-Fumigated Flos Lonicerae Japonicae Using Comprehensive Two-Dimensional Gas Chromatography Time-of-Flight Mass Spectrometry Coupled with Chemical Group Separation
Abstract
:1. Introduction
2. Results and Discussion
2.1. Qualitative Analyses of Non-Fumigated and Sulfur-Fumigated Flos Lonicerae Japonicae Volatile Oils
2.2. Chemical Group Separation of Non-Fumigated and Sulfur-Fumigated Flos Lonicerae Japonicae Volatile Oils
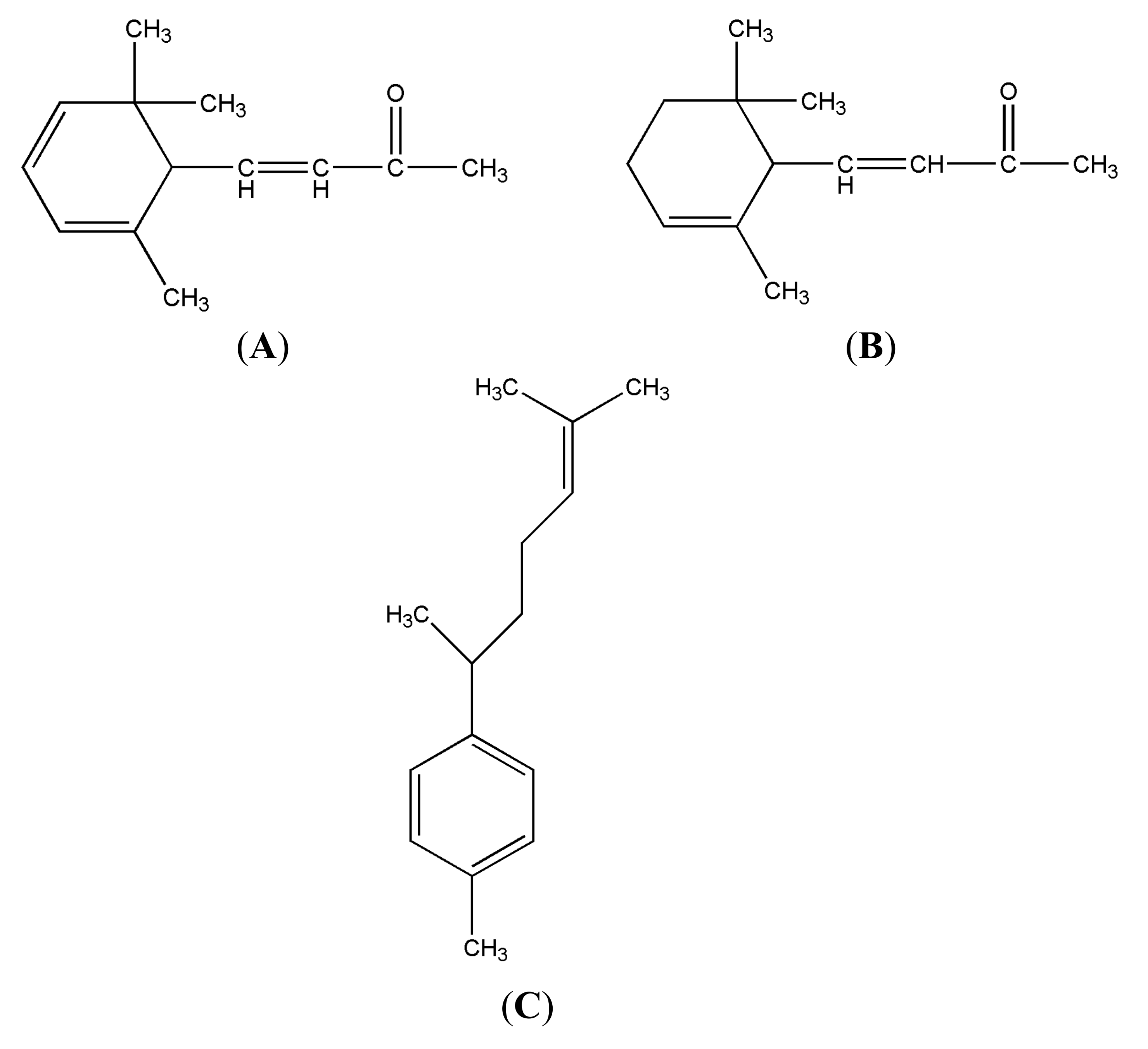
2.3. Identification of Main Volatile Components in FLJ by GC×GC-TOF/MS
3. Experimental
3.1. Samples and Sample Preparation
3.2. GC×GC-TOF/MS Apparatus
3.3. Data Processing
4. Conclusions
Acknowledgments
Conflicts of Interest
References
- Ren, M.T.; Chen, J.; Song, Y.; Sheng, L.S.; Li, P.; Qi, L.W. Identification and quantification of 32 bioactive compounds in Lonicerae species by high performance liquid chromatography coupled with time-of-flight mass spectrometry. J. Pharm. Biomed. Anal. 2008, 48, 1351–1360. [Google Scholar] [CrossRef] [PubMed]
- Qian, Z.M.; Wen, X.D.; Li, H.J.; Liu, Y.; Qin, S.J.; Li, P. Analysis of interaction property of bioactive components in Flos Lonicerae Japonicae with protein by microdialysis coupled with HPLC-DAD-MS. Biol. Pharm. Bull. 2008, 31, 126–130. [Google Scholar] [CrossRef] [PubMed]
- Chen, X.; Xia, Y.; Lu, Y.; Liang, J. Screening of permeable compounds in Flos Lonicerae Japonicae with liposome using ultrafiltration and HPLC. J. Pharm. Biomed. Anal. 2011, 54, 406–410. [Google Scholar] [CrossRef] [PubMed]
- Hu, F.L.; Deng, C.H.; Liu, Y.; Zhang, X.M. Quantitative determination of chlorogenic acid in Honeysuckle using microwave-assisted extraction followed by nano-LC-ESI mass spectrometry. Talanta 2009, 77, 1299–1303. [Google Scholar] [CrossRef] [PubMed]
- Li, S.L.; Shen, H.; Zhu, L.Y.; Xu, J.; Jia, X.B.; Zhang, H.M.; Lin, G.; Cai, H.; Cai, B.C.; Chen, S.L.; Xu, H.X. Ultra-high-performance liquid chromatography–quadrupole/time of flight mass spectrometry based chemical profiling approach to rapidly reveal chemical transformation of sulfur-fumigated medicinal herbs, a case study on white ginseng. J. Chromatogr. A 2012, 1231, 31–45. [Google Scholar] [CrossRef] [PubMed]
- Duan, B.Z.; Huang, L.F.; Chen, S.L. Study on the destructive effect to inherent quality of Fritillaria thunbergii Miq. (Zhebeimu) by sulfur-fumigated process using chromatographic fingerprinting analysis. Phytomedicine 2012, 19, 562–568. [Google Scholar] [CrossRef] [PubMed]
- Shui, G.; Leong, L.P. An improved method for the analysis of major antioxidants of Hibiscus esculentus Linn. J. Chromatogr. A 2004, 1048, 17–24. [Google Scholar] [CrossRef]
- Tang, D.; Li, H.J.; Chen, J.; Guo, C.W.; Li, P. Rapid and simple method for screening of natural antioxidants from Chinese herb Flos Lonicerae Japonicae by DPPH-HPLC-DAD-TOF/MS. J. Sep. Sci. 2008, 31, 3519–3526. [Google Scholar] [CrossRef] [PubMed]
- Shui, G.; Leong, L.P. Screening and identification of antioxidants in biological samples using high-performance liquid chromatography-mass spectrometry and its application on Salacca edulis Reinw. J. Agric. Food Chem. 2005, 53, 880–886. [Google Scholar] [CrossRef] [PubMed]
- Shui, G.; Leong, L.P.; Wong, S.P. Rapid screening and characterisation of antioxidants of Cosmos caudatus using liquid chromatography coupled with mass spectrometry. J. Chromatogr. B 2005, 827, 127–138. [Google Scholar] [CrossRef] [PubMed]
- Chen, X.G.; Hu, L.H.; Su, X.Y.; Kong, L.; Ye, M.L.; Zou, H.F. Separation and detection of compounds in Honeysuckle by integration of ion-exchange chromatography fractionation with reversed-phase liquid chromatography-atmospheric pressure chemical ionization mass spectrometer and matrix-assisted laser desorption/ionization time-of-flight mass spectrometry analysis. J. Pharm. Biomed. Anal. 2006, 40, 559–570. [Google Scholar] [PubMed]
- Qi, L.W.; Chen, C.Y.; Li, P. Structural characterization and identification of iridoid glycosides, saponins, phenolic acids and flavonoids in Flos Lonicerae Japonicae by a fast liquid chromatography method with diode-array detection and time-of-flight mass spectrometry. Rapid Commun. Mass Spectrom. 2009, 23, 3227–3242. [Google Scholar] [CrossRef] [PubMed]
- Cao, G.; Shan, Q.Y.; Li, X.M.; Cong, X.D.; Zhang, Y.; Cai, H.; Cai, B.C. Analysis of fresh Mentha haplocalyx volatile components by comprehensive two-dimensional gas chromatography and high-resolution time-of-flight mass spectrometry. Analyst 2011, 136, 4653–4661. [Google Scholar] [CrossRef] [PubMed]
- Ma, C.F.; Wang, H.H.; Lu, X.; Li, H.F.; Liu, B.Y.; Xu, G.W. Analysis of Artemisia annua L. volatile oil by comprehensive two-dimensional gas chromatography time-of-flight mass spectrometry. J. Chromatogr. A 2007, 1150, 50–53. [Google Scholar] [CrossRef] [PubMed]
- Schoenmaker, P.J.; Oomen, J.L.; Blomberg, J.; Genuit, W.; van Velzen, G. Comparison of comprehensive two-dimensional gas chromatography and gas chromatography-mass spectrometry for the characterization of complex hydrocarbon mixtures. J. Chromatogr. A 2000, 892, 29–46. [Google Scholar] [CrossRef]
- Ong, R.C.; Marriott, P.J. A review of basic concepts in comprehensive two-dimensional gas chromatography. J. Chromatogr. Sci. 2002, 40, 276–291. [Google Scholar] [CrossRef] [PubMed]
- Qiu, Y.Q.; Lu, X.; Pang, T.; Ma, C.F.; Li, X.; Xu, G.W. Determination of radix ginseng volatile oils at different ages by comprehensive two-dimensional gas chromatography/time-of-flight mass spectrometry. J. Sep. Sci. 2008, 31, 3451–3457. [Google Scholar] [CrossRef] [PubMed]
- Djozan, D.; Baheri, T.; Farshbaf, R.; Ashari, S. Investigation of solid-phase microextraction efficiency using pencil lead fiber for in vitro and in vivo sampling of defensive volatiles from insect’s scent gland. Anal. Chim. Acta 2005, 554, 197–201. [Google Scholar] [CrossRef]
- Pharmacopoeia of the People’s Republic of China; China Medical Science Press: Beijing, China, 2010; Volume 1, Appendix XD; p. 63.
Sample Availability: Samples of Flos Lonicerae Japonicae are available from the authors. |






| Group | Name | R.T. (s) | QuantMasses | Similarity | Non-Fumigated Sample (%) | Sulfur-Fumigated Sample | |
|---|---|---|---|---|---|---|---|
| Lab-Prepared (%) | Industrial (%) | ||||||
| Furans | Furan, 2-ethyl- | 312, 1.200 | 81 | 876 | 100 | 45.41 | 45.60 |
| Furan, 2-pentyl- | 498, 1.330 | 81 | 891 | 100 | 71.64 | 41.25 | |
| Alkalies | Pyridine | 342, 1.400 | 52 | 955 | 100 | ND | ND |
| Pyridine, 3-ethyl- | 480, 1.480 | 92 | 943 | 100 | ND | ND | |
| Pyridine, 3-ethenyl- | 486, 1.510 | 104 | 898 | 100 | ND | ND | |
| Isoquinoline | 684, 2.090 | 129 | 935 | 100 | ND | ND | |
| Acids | n-Decanoic acid | 732, 1.680 | 60 | 920 | 100 | 29.81 | ND |
| Dodecanoic acid | 888, 2.120 | 60 | 925 | 100 | ND | 4.03 | |
| Tetradecanoic acid | 1110, 2.560 | 60 | 909 | 100 | 0.09 | 0.32 | |
| Pentadecanoic acid | 1260, 2.650 | 60 | 883 | 100 | ND | ND | |
| (Z)-11-Hexadecenoic acid | 1380, 3.020 | 55 | 919 | 100 | 52.46 | 0.80 | |
| n-Hexadecanoic acid | 1404, 3.070 | 87 | 935 | 100 | ND | ND | |
| Heptadecanoic acid | 1554, 2.930 | 73 | 845 | 100 | ND | ND | |
| Linoleic acid | 1656, 3.540 | 81 | 952 | 100 | ND | 0.32 | |
| trans-13-Octadecenoic acid | 1668, 3.270 | 98 | 860 | 100 | ND | 5.10 | |
| Linolenic acid | 1668, 3.690 | 79 | 923 | 100 | 13.61 | 24.16 | |
| Aldehydes | Hexanal | 366, 1.280 | 56 | 901 | 100 | 75.46 | 26.89 |
| Furfural | 396, 1.480 | 96 | 969 | 100 | ND | 87.18 | |
| (E)-2-Hexenal | 402, 1.370 | 55 | 955 | 100 | ND | ND | |
| Heptanal | 438, 1.320 | 70 | 916 | 100 | 39.42 | 46.60 | |
| 2-Furancarboxaldehyde, 5-methyl- | 480, 1.540 | 110 | 933 | 100 | 113.20 | 247.31 | |
| Benzaldehyde | 486, 1.540 | 106 | 971 | 100 | 5.63 | 1.78 | |
| Lilac aldehyde C | 600, 1.490 | 55 | 931 | 100 | ND | ND | |
| Benzaldehyde, 2,4-dimethyl- | 648, 1.770 | 133 | 932 | 100 | 128.03 | 109.54 | |
| Benzaldehyde, 2,4,5-trimethyl- | 750, 2.220 | 147 | 891 | 100 | 57.75 | ND | |
| Hexadecanal | 1062, 2.340 | 82 | 946 | 100 | 136.70 | 83.14 | |
| Farnesal | 1098, 2.920 | 84 | 947 | 100 | 11.34 | 3.89 | |
| Ketones | 2-Heptanone | 426, 1.330 | 58 | 882 | 100 | 30.03 | 65.47 |
| 1,3-Isobenzofurandione | 714, 2.390 | 76 | 965 | 100 | 4.06 | ND | |
| Piperitenone | 732, 2.140 | 150 | 907 | 100 | ND | 8.42 | |
| cis-Jasmone | 768, 2.210 | 79 | 931 | 100 | ND | ND | |
| Geranylacetone | 798, 2.000 | 69 | 950 | 100 | 59.93 | 7.69 | |
| β-Ionone | 834, 2.300 | 177 | 897 | 100 | 51.73 | 9.90 | |
| 2,3-Dehydro-α-ionone | 834, 2.360 | 175 | 881 | 100 | 29.24 | 19.16 | |
| 1(3H)-Isobenzofuranone, 3-butylidene- | 1038, 3.600 | 159 | 953 | 100 | 92.08 | 4.73 | |
| 2-Pentadecanone | 1044, 2.320 | 58 | 943 | 100 | 89.67 | 27.81 | |
| Muskolactone | 1380, 3.680 | 83 | 913 | 100 | 103.80 | 127.84 | |
| Alcohols | Linaool | 564, 1.360 | 71 | 954 | 100 | 12.21 | 22.83 |
| Ho-trienol | 570, 1.380 | 82 | 931 | 100 | ND | 38.17 | |
| p-Mentha-1,5-dien-8-ol | 618, 1.520 | 59 | 890 | 100 | ND | 9.39 | |
| 4-terpineol | 624, 1.510 | 71 | 927 | 100 | 19.66 | 48.30 | |
| Geraniol | 660, 1.590 | 69 | 959 | 100 | ND | 12.07 | |
| 3-Allylguaiacol | 738, 2.080 | 164 | 951 | 100 | 14.37 | 17.29 | |
| α-ionol | 750, 1.830 | 95 | 868 | 100 | ND | ND | |
| Nerolidol | 900, 2.170 | 69 | 939 | 100 | 62.60 | 29.50 | |
| Ledol | 1038, 3.000 | 71 | 840 | 100 | 3.11 | ND | |
| α-Bisabolol | 1044, 2.680 | 69 | 929 | 100 | 20.02 | 8.65 | |
| trans-Farnesol | 1068, 2.770 | 69 | 942 | 100 | 42.09 | 35.50 | |
| Isophytol | 1374, 2.490 | 71 | 935 | 100 | 594.57 | 910.91 | |
| Terpenes | α-Myrcene | 492, 1.300 | 93 | 925 | 100 | 11.66 | ND |
| trans-Caryophyllene | 798, 1.900 | 133 | 953 | 100 | ND | ND | |
| β-Farnesene | 804, 1.810 | 69 | 947 | 100 | 2.14 | 0.50 | |
| Curcumene | 834, 2.080 | 132 | 946 | 100 | 11.79 | 0.33 | |
| Cedrene | 1158, 3.100 | 119 | 881 | 100 | 37.02 | 30.67 | |
| Esters | Endobornyl acetate | 690, 1.680 | 95 | 957 | 100 | ND | ND |
| Hexyl tiglate | 708, 1.660 | 101 | 925 | 100 | 35.61 | ND | |
| Benzyl tiglate | 846, 2.600 | 83 | 950 | 100 | ND | ND | |
| Tetradecanoic acid, methyl ester | 1068, 2.330 | 74 | 930 | 100 | 100.46 | 246.35 | |
| 2-Ethylhexyl salicylate | 1188, 3.000 | 120 | 847 | 100 | 81.39 | 13.35 | |
| Pentadecanoic acid, methyl ester | 1200, 2.490 | 74 | 884 | 100 | 140.60 | 382.27 | |
| Diisobutyl phthalate | 1254, 3.940 | 149 | 942 | 100 | 47.86 | 17.20 | |
| Hexadecanoic acid, 3-hydroxy-, methyl ester | 1266, 2.890 | 103 | 920 | 100 | 47.04 | 16.10 | |
| Benzoic acid, 2-phenylethyl ester | 1266, 4.540 | 104 | 955 | 100 | 79.55 | 14.85 | |
| (Z)-7-Hexadecenoic acid, methyl ester | 1326, 2.800 | 74 | 865 | 100 | 111.59 | 188.94 | |
| Hexadecanoic acid, methyl ester | 1338, 2.660 | 74 | 937 | 100 | 152.72 | 341.14 | |
| Hexadecanoic acid, ethyl ester | 1440, 2.690 | 88 | 902 | 100 | 265.86 | 331.69 | |
| Linolelaidic acid, methyl ester | 1596, 3.190 | 81 | 935 | 100 | 104.25 | 362.59 | |
| Hexadecanoic acid, 15-methyl-, methyl ester | 1644, 2.860 | 74 | 908 | 100 | 135.10 | 436.97 | |
| Octadecanoic acid, methyl ester | 1956, 2.990 | 74 | 870 | 100 | 139.39 | 320.32 | |
| Eicosanoic acid, methyl ester | 2256, 3.320 | 74 | 919 | 100 | ND | ND | |
| Others | (−)-Caryophyllene oxide | 954, 2.610 | 107 | 869 | 100 | 2.44 | 0.45 |
| Butylated hydroxytoluene | 852, 2.260 | 205 | 861 | 100 | 33.22 | 19.69 | |
| Acetamide, N,N-dimethyl- | 414, 1.530 | 87 | 962 | 100 | 167.00 | 225.95 | |
© 2013 by the authors. This article is an open access article distributed under the terms and conditions of the Creative Commons Attribution license (http://creativecommons.org/licenses/by/3.0/).
Share and Cite
Cai, H.; Cao, G.; Li, L.; Liu, X.; Ma, X.-Q.; Tu, S.-C.; Lou, Y.-J.; Qin, K.-M.; Li, S.-L.; Cai, B.-C. Profiling and Characterization of Volatile Components from Non-Fumigated and Sulfur-Fumigated Flos Lonicerae Japonicae Using Comprehensive Two-Dimensional Gas Chromatography Time-of-Flight Mass Spectrometry Coupled with Chemical Group Separation. Molecules 2013, 18, 1368-1382. https://doi.org/10.3390/molecules18021368
Cai H, Cao G, Li L, Liu X, Ma X-Q, Tu S-C, Lou Y-J, Qin K-M, Li S-L, Cai B-C. Profiling and Characterization of Volatile Components from Non-Fumigated and Sulfur-Fumigated Flos Lonicerae Japonicae Using Comprehensive Two-Dimensional Gas Chromatography Time-of-Flight Mass Spectrometry Coupled with Chemical Group Separation. Molecules. 2013; 18(2):1368-1382. https://doi.org/10.3390/molecules18021368
Chicago/Turabian StyleCai, Hao, Gang Cao, Li Li, Xiao Liu, Xiao-Qing Ma, Si-Cong Tu, Ya-Jing Lou, Kun-Ming Qin, Song-Lin Li, and Bao-Chang Cai. 2013. "Profiling and Characterization of Volatile Components from Non-Fumigated and Sulfur-Fumigated Flos Lonicerae Japonicae Using Comprehensive Two-Dimensional Gas Chromatography Time-of-Flight Mass Spectrometry Coupled with Chemical Group Separation" Molecules 18, no. 2: 1368-1382. https://doi.org/10.3390/molecules18021368
APA StyleCai, H., Cao, G., Li, L., Liu, X., Ma, X.-Q., Tu, S.-C., Lou, Y.-J., Qin, K.-M., Li, S.-L., & Cai, B.-C. (2013). Profiling and Characterization of Volatile Components from Non-Fumigated and Sulfur-Fumigated Flos Lonicerae Japonicae Using Comprehensive Two-Dimensional Gas Chromatography Time-of-Flight Mass Spectrometry Coupled with Chemical Group Separation. Molecules, 18(2), 1368-1382. https://doi.org/10.3390/molecules18021368
