Abstract
The reaction of cyanoacetylhydrazine with chloroacetyl chloride gave N'-(2-chloroacetyl)-2-cyanoacetohydrazide. The latter underwent cyclization to afford 1-(5 amino-3-hydroxy-1H-pyrazol-1-yl)-2-chloroethanone, which underwent nucleophilic substitution to give 3-(5-amino-3-hydroxy-1H-pyrazol-1-yl)-3-oxopropanenitrile. The latter two compounds were used as key synthons to synthesize new thiophene, pyran, thiazole and some fused heterocyclic derivatives. The antitumor activity of the newly synthesized compounds was evaluated against three human tumor cells lines, namely breast adenocarcinoma (MCF-7), non-small cell lung cancer (NCI-H460) and CNS cancer (SF-268) and some of these compounds were found to exhibit much higher inhibitory effects towards the three tumor cell lines than the Gram positive control doxorubicin.
1. Introduction
Cancer is a major public health problem in the world. Chemotherapy is still one of the primary modalities for the treatment of cancer. However, the use of this method is limited mainly due to the small number of the available chemotherapeutic agents to choose among them and also because the use of these agents is often accompanied by undesirable side effects. This clearly underlies the urgent need for developing novel chemotherapeutic agents with more potent antitumor activities and reduced side effects.
Many pyrazole derivatives have attracted considerable attention in the recent years for their diverse biological activities [1,2,3,4,5,6]. They are also acknowledged for their anticancer activities [7,8,9]. Moreover, the chemistry of fused pyrazolo- and thieno-pyrazole derivatives has drawn great attention due to their pharmacological importance [10,11,12]. Such excellent pharmacology encouraged us to synthesize novel pyrazole derivatives with evaluation of their antitumor activities.
2. Results and Discussion
2.1. Chemistry
The starting material, N'-(2-chloroacetyl)-2-cyanoacetohydrazide (3) was prepared by reacting cyanoacetylhydrazine (1) with chloroacetyl chloride (2) in 1,4-dioxane. Structural elucidation of compound 3 was based on its 1H-NMR and 13C-NMR data. Thus, the 1H-NMR spectrum showed the presence of two singlets at δ 3.51, 4.05 ppm indicating the presence of the two CH2 groups and two broad singlets at δ 8.22–8.26 ppm corresponding to the two NH groups. Moreover, the 13C-NMR spectrum revealed the presence of the following signals at δ: 25.8, 40.8 (2 CH2), 116.8 (CN), 162.3, 168.9 (2 C=O).
Heterocyclization of N-α-halocarbonyl derivatives using sodium ethoxide has been previously reported [13,14,15,16,17]. Thus, compound 3 readily underwent cyclization when heated in sodium ethoxide solution to give 1-(5-amino-3-hydroxy-1H-pyrazol-1-yl)-2-chloroethanone (4). The IR spectrum of this compound indicated the presence of OH and NH2 groups at 3583–3305 cm−1 and C=O at 1693 cm−1. Furthermore the 1H-NMR spectrum revealed the presence of a singlet δ at 4.51 ppm, a singlet at δ 4.88 ppm, a singlet at δ 6.89, and a singlet at δ 10.36 ppm (D2O exchangeable) corresponding to the CH2, NH2, the pyrazole H-4 and the OH group protons, respectively. Compound 4 was converted to the corresponding N-carbonylacetonitrilopyrazole derivative 5 by nucleophilic substitution of the chlorine atom using potassium cyanide. Subjecting compound 5 to the Gewald thiophene synthesis [18,19,20,21,22] via its reaction with either malononitrile (6a) or ethyl cyanoacetate (6b) and elemental sulfur in presence of triethylamine as basic catalyst afforded the pyrazol-1-yl N-thiophen-5-yl derivatives 7a and 7b, respectively. On the other hand, the reaction of compound 5 with cyclohexanone and elemental sulfur in presence of triethylamine as basic catalyst afforded the (5-amino-3-hydroxy-1H-pyrazol-1-yl)(2-amino-4,5,6,7‑tetrahydrobenzo-[b]thiophen-3-y0,l)methanone derivative 8 (Scheme 1). The analytical and spectroscopic data of compounds 7a,b and 8 are consistent with the proposed structures (see Experimental section). Thus, the 1H-NMR spectrum of compound 8 showed the presence of two multiplets at δ 2.23–2.27 ppm indicating the presence of the four CH2, two singlets at δ 4.49, 4.80 ppm indicating the presence of two NH2 groups, a singlet at δ 6.89 ppm indicating the pyrazole H-4 and a singlet at δ 10.23 ppm corresponding to the OH group. Moreover, the 13C-NMR showed the following signals at δ: 20.0, 23.1, 14.0, and 24.6 (cyclohexane C), 109.3, 113.4, 138.6, 143.8, 144.8, 150.2, and 152.9 (pyrazole, thiophene C), 160.6 (C=O).
Scheme 1.
Synthesis of compounds 3, 5, 7a,b and 8.
Scheme 1.
Synthesis of compounds 3, 5, 7a,b and 8.

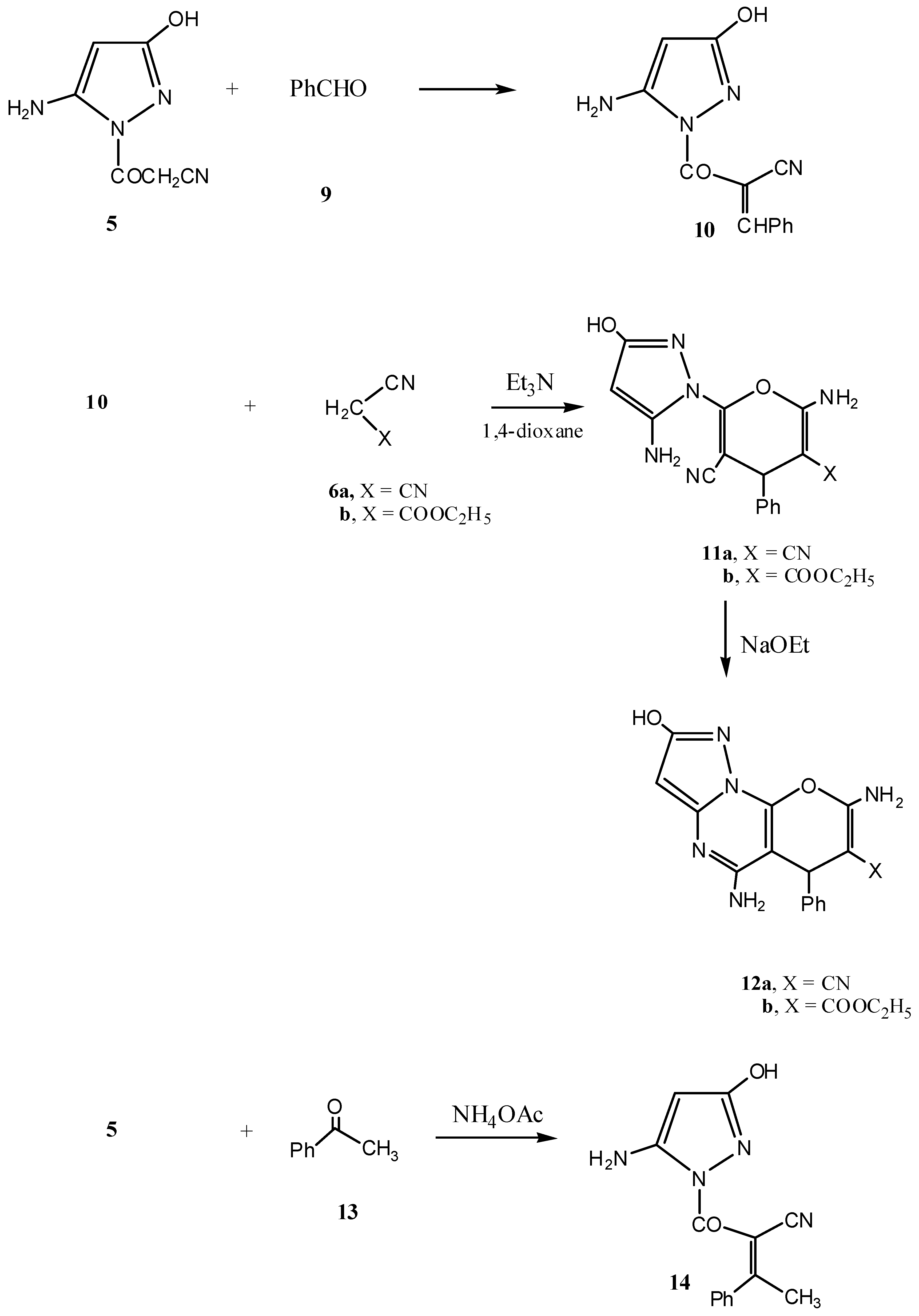
The reaction of compound 5 with benzaldehyde (9) gave the phenylmethylidene derivative 10. The latter showed interesting reactivity towards cyanomethylene reagents, namely malononitrile (6a) and ethyl cyanoacetate (6b) and afforded the pyrazole-1-yl-pyran derivatives 11a and 11b, respectively. The latter products underwent ready cyclization in sodium ethoxide solution to give thedihydropyrazolo[1,5-a]pyrano[2,3-d]pyrimidines 12a and 12b, respectively. On the other hand, heating compound 5 with acetophenone (13) in an oil bath at 120 °C in the presence of ammonium acetate afforded the Knoevenagel condensation product 14 (Scheme 2) [23,24,25,26,27].
Scheme 2.
Synthesis of compounds 10, 11a,b, 12a,b and 14.
Scheme 2.
Synthesis of compounds 10, 11a,b, 12a,b and 14.

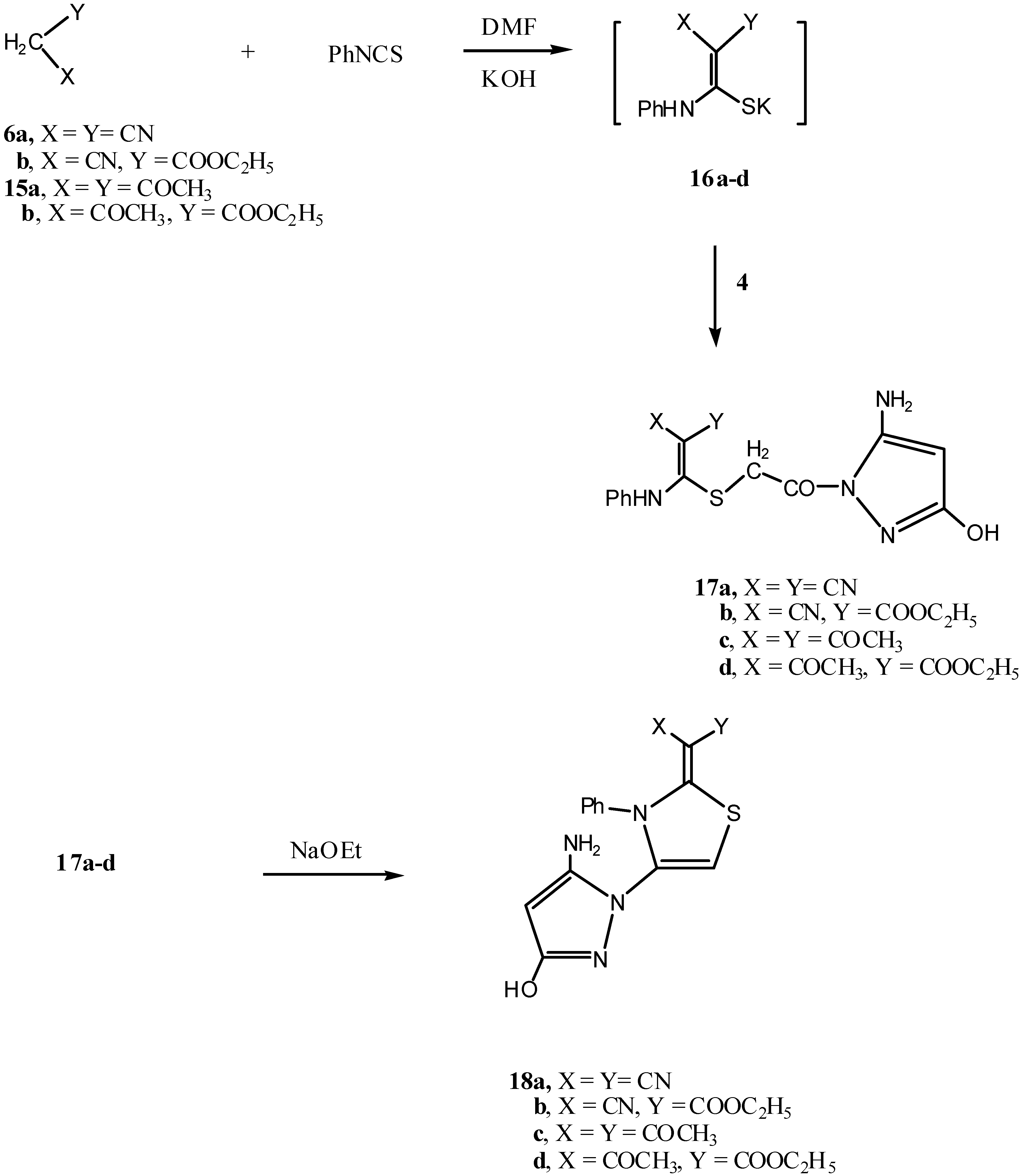
Finally, the reactivity of compound 4 as an α-halocarbonyl compound to produce thiazole derivatives was investigated. Thus, the reaction of the active methylene reagents 6a,b and 15a,b with phenylisothiocyanate in DMF/KOH solution afforded the nonisolable intermediate potassium sulfide salts 16a–d which in turn were allowed to react in situ with compound 4 to form the thioether derivatives 17a–d, respectively. The analytical and spectroscopic data of the latter products were in agreement with the assigned structures. Compounds 17a–d underwent ready cyclization when heated in sodium ethoxide solution to give the pyrazol-1-yl-thiazole derivatives 18a–d, respectively (Scheme 3). The structures of compounds 18a–d were confirmed on the basis of their respective 1H-NMR and 13C-NMR spectra (see Experimental section).
Scheme 3.
Synthesis of compounds 17a–d and 18a–d.
Scheme 3.
Synthesis of compounds 17a–d and 18a–d.

2.2. Antitumor Evaluations
2.2.1. Structure Activity Relationship of the Newly Synthesized Products
The effect of the newly synthesized products was evaluated on the in-vitro growth of three human tumor cell lines representing different tumor types, namely, breast adenocarcinoma (MCF-7), non-small cell lung cancer (NCI-H460) and CNS cancer (SF-268), after a continuous exposure of 48 h. The results are summarized in Table 1.
Table 1.
Effect of the newly synthesized compounds on the growth of three human tumor cell lines.
| Compound | GI50 (mol L−1) | ||
|---|---|---|---|
| MCF-7 | NCI-H460 | SF-268 | |
| 3 | 20.1 ± 0.6 | 16.3 ± 1.4 | 22.3 ± 1.5 |
| 4 | 22.6 ± 0.4 | 21.3 ± 0.8 | 22 ± 0.8 |
| 5 | 40.6 ± 16.9 | 38.9 ± 10.8 | 20.8 ± 8.6 |
| 7a | 40.6 ± 12.2 | 32.6 ± 8.6 | 60.4 ± 14.8 |
| 7b | 35.4 ± 8.2 | 26.1 ± 2.8 | 28.9 ± 4.8 |
| 8 | 11.8 ± 0.6 | 14.5 ± 0.8 | 16.7 ± 1.6 |
| 10 | 33.7 ± 17.5 | 20.2 ± 8.8 | 12.0 ± 2.4 |
| 11a | 2.1 ± 0.7 | 1.2 ± 0.8 | 1.4 ± 0.8 |
| 11b | 20.0 ± 1.2 | 20.6 ± 3.4 | 18.4 ± 2.6 |
| 12a | 0.01 ± 0.001 | 0.01 ± 0.008 | 0.02 ± 0.001 |
| 12b | 16.0 ± 3.6 | 20.0 ± 2.4 | 18.5 ± 6.0 |
| 14 | 50.6 ± 12.9 | 36.4 ± 8.8 | 44.8 ± 6.6 |
| 17a | 0.1± 0.02 | 0.4 ± 0.01 | 0.4 ± 0.08 |
| 17b | 12.4 ± 8.2 | 10.1 ± 2.8 | 8.2 ± 1.8 |
| 17c | 6.2 ± 1.6 | 4.2 ± 1.8 | 2.7 ± 0.6 |
| 17d | 0.2 ± 0.01 | 0.1 ± 0.06 | 0.3 ± 0.05 |
| 18a | 0.02 ± 0.008 | 0.03 ± 0.008 | 0.01 ± 0.004 |
| 18b | 20.0 ± 3.6 | 22.0 ± 2.4 | 31.5 ± 8.0 |
| 18c | 0.03 ± 0.006 | 0.01 ± 0.006 | 0.03 ± 0.005 |
| 18d | 1.9 ± 0.9 | 0.6 ± 1.8 | 0.8 ± 0.08 |
| Doxorubicin | 0.04 ± 0.008 | 0.09 ± 0.008 | 0.09 ± 0.007 |
Results are given in concentrations that were able to cause 50% of cell growth inhibition (GI50) after a continuous exposure of 48 h and show means ± SEM of three-independent experiments performed in duplicate
All the compounds were able to inhibit the growth of the human tumor cell lines in a dose-dependent manner. 5,8-Diamino-7-cyano-2-hydroxy-6-phenyl-6,7-dihydro−[1,5−α] pyrano[2,3-d] pyrimidine(12a), 2-(4-(5-amino-3-hydroxy-1H-pyrazol-1-yl)-3-phenylthiazol-2(3H)-ylidene)-malononitrile (18a) and 2-(4-(5-amino-3-hydroxy-1H-pyrazol-1-yl)-3-phenylthiazol-2(3H)-ylidene) pentane-2,4-dione (18c) showed the best results, exhibiting the highest inhibitory effects of the tested compounds towards the three tumor cell lines, which are higher than that of the reference compound doxorubicin. On the other hand, compounds 17a, 17d, and 18d showed high growth inhibitory effect but such activity are lower than the reference, doxorubicin. Comparing the activities of 11a and 11b indicated that the presence of the CN group in 11a resulted a stronger growth inhibitory effect than COOC2H5 group in compound 11b. Similarly comparing the reactivity of compounds 12a and 12b indicated that the presence of the CN group in 12a also is responsible of its higher reactivity over 12b. On the other hand, compound 17a with the CN group is the most active compound towards the three cancer cell lines among the pyrazole derivatives 17a–d, of course the presence of the CN group in 17a is responsible for such high activity. On the other hand, compound 17c where X = Y = COCH3 is of lower activity than 17d with X = COCH3 & Y = COOC2H5. Finally it worthy to refer to observation that indicated also that compound 18a showed the highest reactivity towards the three cancer cell line among compound 8a–d. On the other hand, compounds 5, 7a, 7b, 10 and 14 exhibited the lowest reactivity towards the cancer cell lines.
3. Experimental
3.1. Antitumor Activity Tests
Reagents: Fetal bovine serum (FBS) and L-glutamine, were from Gibco Invitrogen Co. (Oxford, UK). RPMI-1640 medium was from Cambrex (Ashland, NJ, USA). Dimethyl sulfoxide (DMSO), doxorubicin, penicillin, streptomycin and sulforhodamine B (SRB) were obtained from Sigma Chemical Co. (St. Louis, MO, USA).
Cell cultures: Three human tumor cell lines, MCF-7 (breast adenocarcinoma), NCI-H460 (non-small cell lung cancer), and SF-268 (CNS cancer) were used. MCF-7 was obtained from the European Collection of Cell Cultures (ECACC, Salisbury, UK) and NCI-H460 and SF-268 were kindly provided by the National Cancer Institute (NCI, Cairo, Egypt). They grow as monolayer and routinely maintained in RPMI-1640 medium supplemented with 5% heat inactivated FBS, 2 mM glutamine and antibiotics (penicillin 100 U/mL, streptomycin 100 μg/mL), at 37 °C in a humidified atmosphere containing 5% CO2. Exponentially growing cells were obtained by plating 1.5 × 105 cells/mL for MCF-7 and SF-268 and 0.75 × 104 cells/mL for NCI-H460, followed by 24 h of incubation. The effect of the vehicle solvent (DMSO) on the growth of these cell lines was evaluated in all the experiments by exposing untreated control cells to the maximum concentration (0.5%) of DMSO used in each assay.
Tumor cell growth assay: The effects of compounds 3–18a–d on the in-vitro growth of human tumor cell lines were evaluated according to the procedure adopted by the National Cancer Institute (NCI, Cairo, Egypt). In the ‘ in-vitro Anticancer Drug Discovery Screen’ that uses the protein-binding dye sulforhodamine B to assess cell growth [28]. Briefly, cells growing exponentially in 96-well plates were then exposed for 48 h to five serial concentrations of each compound, starting from a maximum concentration of 150 μM. Following this exposure period adherent cells were fixed, washed, and stained. The bound stain was solubilized and the absorbance was measured at 492 nm in a plate reader (Bio-Tek Instruments Inc., Powerwave XS, Wincoski, San Diego, CA, USA). For each test compound and cell line, a dose-response curve was obtained and the growth inhibition of 50% (GI50), corresponding to the concentration of the compounds that inhibited 50% of the net cell growth, was calculated as described elsewhere [29]. Doxorubicin was used as a positive control and tested in the same manner.
3.2. Chemistry
All melting points are uncorrected. IR spectra were recorded for KBr discs on a Pye Unicam SP-1000 spectrophotometer. 1H-NMR and 13C-NMR spectra were measured on a Varian EM-390–200 MHz in DMSO as solvent using TMS as internal standard, and chemical shifts are expressed as δ. Analytical data were obtained from the Microanalytical Data Unit at Cairo University, Giza, Egypt and the Microanalytical Data Unit at Erlangen University, Erlangen, Germany.
N'-(2-Chloroacetyl)-2-cyanoacetohydrazide (3). To a solution of cyanoacetylhydrazide (1.0 g, 0.01 mol) in 1,4-dioxane (20 mL), chloroacetylchloride (1.12 g, 0.01 mol) was added. The reaction mixture was stirred at room temperature overnight, then evaporated under vacuum. The residue was triturated with ethanol and the formed solid product was collected by filtration. Colorless crystals from ethanol, yield 1.40 g (80%), m.p. 135 °C. Anal. Calculated for C5H6ClN3O2 (175.57): C, 34.20; H, 3.44; N, 23.93. Found: C, 34.44; H, 3.29; N, 24.31. IR, υ: 3366–3238 (2NH), 2926 (CH2), 2256 (CN), 1688–1678 (2 CO). 1H-NMR, δ: 3.51, 4.05 (2s, 4H, 2CH2), 8.22–8.26 (2s, 2H, 2NH). 13C-NMR, δ: 25.8, 40.8 (2 CH2), 116.8 (CN), 162.3, 168.9 (2 CO).
1-(5-Amino-3-hydroxy-1H-pyrazol-1-yl)-2-chloroethanone (4). To a suspension of compound 3(1.75 g, 0.01 mol) in sodium ethoxide solution [prepared by dissolving metallic sodium(0.64 g, 0.01 mol) in absolute ethanol (30 mL)] was heated in a boiling water bath for 3 h. The reaction mixture was left to cool then poured onto crushed ice containing few drops of hydrochloric acid. The formed solid product was collected by filtration. Crystallized from ethanol to give white crystals, yield 1.54 g (88%), m.p. 188–191 °C. Anal. Calculated for C5H6ClN3O2 (175.57): C, 34.20; H, 3.44; N, 23.93. Found: C, 33.93; H, 3.31; N, 24.17. IR, υ: 3583–3305 (OH, NH2), 1693 (CO), 1655 (C=N). 1H-NMR, δ: 4.51 (s, 2H, CH2), 4.88 (s, 2H, NH2), 6.89 (s, 1H, pyrazole H-4), 10.36 (s, 1H, OH). 13C-NMR, δ: 41.3 (CH2), 105.2, 150.1, 152.3 (pyrazole C), 170.3 (CO).
3-(5-Amino-3-hydroxy-1H-pyrazol-1-yl)-3-oxopropanenitrile (5). To a well stirred solution of compound 4 (1.75 g, 0.01 mol) in ethanol (30 mL) at 60 °C was added dropwise a solution of potassium cyanide (1.70 g, 0.02 mol in 5 mL water). Stirring was continued for 1 h and the resulting reaction mixture was poured onto crushed ice then acidified with concentrated hydrochloric acid (to pH 6). The formed solid product was collected by filtration. Crystallized from ethanol to give pale yellow crystals, yield 1.13 g (68%), m.p. 140–142 °C. Anal. Calculated for C6H6N4O2 (166.14): C, 43.38; H, 3.64; N, 33.72. Found: C, 43.49; H, 3.48; N, 33.59. IR, υ: 3566–3325 (OH, NH2), 2222 (CN), 1686 (CO). 1H-NMR, δ: 4.56 (s, 2H, CH2), 4.90 (s, 2H, NH2), 6.86 (s, 1H, pyrazole H-4), 10.35 (s, 1H, OH). 13C-NMR, δ: 38.6 (CH2), 117.2 (CN), 104.8, 150.4, 154.8 (pyrazole C), 172.8 (CO).
5-Amino-3-hydroxy-1H-pyrazol-1-yl)(2,4-diamino-3-cyanothiophene-5-yl)methanone (7a) and 5-amino-3-hydroxy-1H-pyrazol-1-yl)(ethyl 2,4-diaminothiophene-5-yl-3-carboxylate)methanone (7b). General procedure: To a solution of compound 5 (1.66 g, 0.01 mol) in 1,4-dioxane (30 mL) containing triethylamine (1.0 mL) either malononitrile (0.66 g, 0.01 mol) or ethyl cyanoacetate (1.13 g, 0.01 mol) were added, followed by elemental sulfur (0.32 g, 0.01 mol). The whole reaction mixture, in each case was heated under reflux for 1 h then left to cool then poured onto ice/water mixture containing few drops of hydrochloric acid. The formed solid product, in each case, was collected by filtration.
Compound 7a: Crystallized from ethanol to give yellow crystals, yield 1.90 g (72%), m.p. 166–169 °C. Anal. Calculated for C9H8N6O2S (264.26): C, 40.90; H, 3.05; N, 31.80; S, 12.13. Found: C, 41.11; H, 3.23; N, 32.19; S, 11.99; MS m/z (%): 264 (M+, 18%). IR, υ: 3546–3331 (OH, 3NH2), 2220 (CN), 1689 (CO). 1H-NMR, δ: 4.81, 4.83, 4.90 (3s, 6H, D2O exchangeable, 3 NH2), 6.88 (s, 1H, pyrazole H-4), 10.36 (s, 1H, D2O exchangeable, OH). 13C-NMR, δ: 116.7 (CN), 104.8, 112.8, 140.6, 147.2, 148.2, 150.2, 154.4 (pyrazole, thiophene C), 174.2 (CO).
Compound 7b: Crystallized from ethanol to give yellow crystals, yield 2.74 g (88%), m.p. 190–193 °C. Anal. Calculated for C11H13N5O4S (311.32): C, 42.44; H, 4.21; N, 22.50; S, 10.30. Found: C, 42.36; H, 4.43; N, 22.79; S, 10.48; MS m/z (%): 311 (M+, 14%). IR, υ: 3556–3342 (OH, 3NH2), 1710, 1689 (2CO). 1H-NMR, δ: 1.36 (t, 3H, J = 7.02 Hz, CH3), 4.23 (q, 2H, J = 7.02 Hz, CH2), 4.79, 4.84, 4.92 (3s, 6H, D2O exchangeable, 3NH2), 6.85 (s, 1H, pyrazole H-4), 10.31 (s, 1H, D2O exchangeable, OH). 13C-NMR, δ: 16.8 (CH3), 44.4 (CH2), 105.3, 112.2, 138.9, 144.0, 146.2, 151.7, 153.8 (pyrazole, thiophene C), 163.6, 174.0 (2CO).
(5-Amino-3-hydroxy-1H-pyrazol-1-yl)(2-amino-4,5,6,7-tetrahydrobenzo-[b]thiophen-3-yl)-methanone (8). To a solution of compound 5 (1.66 g, 0.01 mol) in 1,4-dioxane (30 mL) containing triethylamine (1.0 mL), cyclohexanone (0.98 g, 0.01 mol) was added, followed by elemental sulfur (0.32 g, 0.01 mol). The whole reaction mixture was heated under reflux for 2 h then left to cool then poured onto ice/water containing few drops of hydrochloric acid. The formed solid product, in each case, was collected by filtration. Crystallized from acetic acid to give yellow crystals yield 1.95 g (70%), m.p. 220–223 °C. Anal. Calculated for C12H14N4O2S (278.33): C, 51.78; H, 5.07; N, 20.13; S, 11.52. Found: C, 51.94; H, 5.14; N; 20.26; S, 11.83. IR, υ: 3542–3332 (OH, 2 NH2), 1691 (CO). 1H-NMR, δ: 2.23–2.27 (2m, 8H, 4 CH2), 4.49, 4.80 (2s, 4H, D2O exchangeable, 2 NH2), 6.89 (s, 1H, pyrazole H-4), 10.23 (s, 1H, D2O exchangeable, OH). 13C-NMR, δ: 20.0, 23.1, 14.0, 24.6 (cyclohexene C), 109.3, 113.4, 138.6, 143.8, 144.8, 150.2, 152.9 (pyrazole, thiophene C), 160.6 (CO).
3-(5-Amino-3-hydroxy-1H-pyrazol-1-yl)-3-oxo-2-benzalydinepropanenitrile (10). To a solution of compound 5 (1.66 g, 0.01 mol) in 1,4-dioxane (40 mL) containing piperidine (0.50 mL) benzaldehyde (1.06 g, 0.01 mol) was added. The reaction mixture was heated under reflux for 3 h then left to cool. The solid product, so formed, was collected by filtration. Crystalized from ethanol to give pale yellow crystals, yield 1.27 g (50%), m.p. 180–183 °C. Anal. Calculated for C13H10N4O2 (254.24): C, 61.41; H, 3.96; N, 22.04. Found: C, 61.62; H, 4.29; N; 21.96. IR, υ: 3540–3341 (OH, NH2), 2223 (CN), 1689 (CO), 1655 (C=N). 1H-NMR, δ: 4.45 (s, 2H, D2O exchangeable, NH2), 6.22 (s, 1H, CH=C), 6.86 (s, 1H, pyrazole H-4), 7.28–7.33 (m, 5H, C6H5), 10.28 (s, 1H, D2O exchangeable, OH). 13C-NMR, δ: 116.3 (CN), 118.0, 120.6 (CH=C), 112.0, 124.7, 126.3, 136.2 (C6H5 C), 104.5 150.2, 152.9 (pyrazole C), 182.3 (CO).
2-Amino-6-(5-amino-3-hydroxy-1H-pyrazol-1-yl)-4-phenyl-4H-pyran-3,5-dicarbonitrile (11a) and ethyl 2-amino-6-(5-amino-3-hydroxy-1H-pyrazol-1-yl)-5-cyano-4-phenyl-4H-pyran-3-carboxylate (11b). General procedure: To a solution of compound 10 (2.54 g, 0.01 mol) in 1,4-dioxane (30 mL) containing triethylamine (0.50 mL), either malononitrile (0.66 g, 0.01 mol) or ethyl cyanoacetate (1.13 g, 0.01 mol) was added. The resulting reaction mixture in each case was heated under reflux for 6 h then the excess solvent was evaporated under reduced pressure.
Compound 11a: Crystallized from ethanol to give yellow crystals, yield 1.92 g (60%), m.p. 193–195 °C. Anal. Calculated for C16H12N6O2 (320.31): C, 60.00; H, 3.78; N, 26.24. Found: C, 59.87; H, 3.53; N, 26.19; MS m/z (%): 320 (M+, 40%). IR, υ: 3555–3345 (OH, 2NH2), 2222, 2219 (2CN), 1648 (C=N). 1H-NMR, δ: 4.77, 5.21 (2s, 4H, D2O exchangeable, 2NH2), 6.40 (s, 1H, pyran H-4), 6.83 (s, 1H, pyrazole H-4), 10.32 (s, 1H, D2O exchangeable, OH). 13C-NMR, δ: 28.1 (pyran C-4), 116.8, 118.0 (2 CN), 118.4, 120.8, 126.5, 129.3, 138.3 (C6H5, pyran C), 105.2, 151.4, 154.8 (pyrazole C).
Compound 11b: Crystallized from ethanol to give pale yellow crystals, yield 2.46 g (67%), m.p. 162–164 °C. Anal. Calculated for C18H17N5O4 (367.36): C, 58.85; H, 4.66; N, 19.06. Found: C, 58.66; H, 4.53; N; 19.29; MS m/z (%): 367 (M+, 18%). IR, υ: 3542–3368 (OH, NH2), 2222 (CN), 1687 (CO). 1H-NMR, δ: 1.33 (t, 3H, J = 6.78 Hz, CH3), 4.24 (q, 2H, J = 6.78 Hz, CH2), 4.65, 4.83 (2s, 4H, D2O exchangeable, 2NH2), 6.80, 6.93 (2s, 2H, pyrazole H-4, pyran H-4), 7.31–7.39 (m, 5H, C6H5), 10.36 (s, 1H, D2O exchangeable, OH). 13C-NMR, δ: 16.8 (CH3), 28.9 (pyran C-4), 42.4 (CH2), 117.3 (CN), 118.8, 121.3, 126.2, 128.7, 138.93 (C6H5, pyran C), 105.4, 151.6, 154.6 (pyrazole C), 163.4 (CO).
5,8-Diamino-7-cyano-2-hydroxy-6-phenyl-6,7-dihydropyrazolo[1,5-a]pyrano[2,3-d]pyrimidine (12a) and ethyl 5,8-diamino-2-hydroxy-6-phenyl-6,7-dihydropyrazolo[1,5-a]pyrano[2,3-d]pyrimidin-7-carboxylate (12b). General procedure: To a solution of sodium ethoxide [prepared by dissolving sodium metal (0.23 g, 0.01 mol) in absolute ethanol (30 mL)] either compound 11a (3.20 g, 0.01 mol) or compound 11b (3.67 g, 0.01 mol) was added. The resulting mixture in each case was refluxed in a boiling water bath for 11 h then left to cool then poured onto ice/water mixture containing few drops of hydrochloric acid. The formed solid product in each case was collected by filtration
Compound 12a: Crystallized from 1,4-dioxane to give yellow crystals, yield 2.34 g (73%), m.p. 256–259 °C. Anal. Calculated for C16H12N6O2 (320.31): C, 60.00; H, 3.78; N, 26.24. Found: C, 59.93; H, 3.94; N, 26.36; MS m/z (%): 320 (M+, 66%). IR, υ: 3528–3335 (OH, 2NH2), 2220 (CN), 1638 (C=C). 1H-NMR, δ: 4.78, 5.28 (2s, 4H, D2O exchangeable, 2NH2), 6.85, 6.92 (2s, 2H, pyrazole H-4, pyran H-4), 7.30–7.41 (m, 5H, C6H5), 10.35 (s, 1H, D2O exchangeable, OH). 13C-NMR, δ: 28.9 (pyran C-4), 116.9 (CN), 118.8, 122.6, 127.2, 129.3, 138.3, 149.2 (C6H5, pyran, pyrimidine C), 105.5, 152.0, 154.9 (pyrazole C).
Compound 12b: Crystallized from 1,4-dioxane to give white crystals, yield 2.94 g (80%), m.p. 188–192 °C. Anal. Calculated for C18H17N5O4 (367.36): C, 58.85; H, 4.66; N, 19.06. Found: C, 58.93; H, 4.71; N, 19.32; MS m/z (%): 367 (M+, 65%). IR, υ: 3540–3351 (OH, 2NH2), 1689 (CO), 1640 (C=C). 1H-NMR, δ: 1.32 (t, 3H, J = 7.01 Hz, CH3), 4.24 (q, 2H, J = 7.01 Hz, CH2), 4.61, 4.88 (2s, 4H, D2O exchangeable, 2NH2), 6.52 (s, 1H, pyran H-4), 6.83 (s, 1H, pyrazole H-4), 7.28–7.37 (m, 5H, C6H5), 10.35 (s, 1H, D2O exchangeable, OH). 13C-NMR, δ: 16.9 (CH3), 28.9 (pyran C-4), 42.9 (CH2), 117.6 (CN), 118.8, 123.7, 126.8, 129.3, 138.9, 148.9 (C6H5, pyran, pyrimidine C), 105.5, 152.3, 155.1 (pyrazole C), 164.3 (CO).
3-(5-Amino-3-hydroxy-1H-pyrazol-1-yl)-2-cyano-3-pheny-2-buten-1-one (14). A mixture of compound 5 (1.66 g, 0.01 mol), acetophenone 13 (1.20 g, 0.01 mol) and ammonium acetate (1.0 g) was heated in an oil bath at 120 °C for 15 min then left to cool to room temperature. The resulting residue was then heated in ethanol (20 mL) and the formed solid product was collected by filtration. Crystallized from 1,4-dioxane to give orange crystals, yield 1.61 g (60%), m.p. 177–180 °C. Anal. Calculated for C14H12N4O2 (268.27): C, 62.68; H, 4.51; N, 20.88. Found: C, 62.83; H, 4.62; N, 20.76; MS m/z (%): 268 (M+, 40%). IR, υ: 3522–3341 (OH, NH2), 2227 (CN), 1691 (CO), 1641 (C=C). 1H-NMR, δ: 2.69 (s, 3H, CH3), 4.88 (s, 2H, D2O exchangeable, NH2), 6.88 (s, 1H, pyrazole H-4), 7.27–7.38 (m, 5H, C6H5), 10.40 (s, 1H, D2O exchangeable, OH). 13C-NMR, δ: 18.8 (CH3), 116.8 (CN), 118.0, 119.6 (C=C), 119.2, 120.5, 122.4, 132.6 (C6H5), 105.3, 152.6, 155.9 (pyrazole C), 163.8 (CO).
1-(5-Amino-3-hydroxy-1H-pyrazol-1-yl)-2-thio(2-cyano-3-phenylamino-acrylonitril-3-yl)-ethanone (17a), 1-(5-amino-3-hydroxy-1H-pyrazol-1-yl)-2-thio(ethyl 2-cyano-3-phenylaminoacrylat-3-yl)ethanone (17b), 1-(5-amino-3-hydroxy-1H-pyrazol-1-yl)-2-thio(2-acetyl-4-phenylamino-but-3-ene-2-one-4-yl)ethanone (17c) and 1-(5-amino-3-hydroxy-1H-pyrazol-1-yl)-2-thio(ethyl 2-acetyl-3-phenylaminopropenoat-3-yl)ethanone (17d). General procedure: To a solution of either 6a (0.66 g, 0.01 mol) or 6b (1.13 g, 0.01 mol), 6c (1.0 g, 0.01 mol) or 6d (1.30 g, 0.01 mol) in dimethylformamide (30 mL) containing potassium hydroxide (0.56 g, 0.01 mol), phenylisothiocyanate (1.30 g, 0.01 mol) was added. The whole reaction mixture was stirred at room temperature overnight. On the next day compound 4 (1.75 g, 0.01 mol) was added with continuous stirring overnight at room temperature then poured onto ice/water containing few drops of hydrochloric acid (to pH 6). The solid product, formed in each case, was collected by filtration.
Compound 17a: Crystallized from ethanol to give yellow crystals, yield 2.31 g (68%), m.p. 220–224 °C. Anal. Calculated for C15H12N6O2S (340.36): C, 52.93; H, 3.55; N, 24.69; S, 9.42. Found: C, 52.78; H, 3.63; N, 24.49; S, 9.53; MS m/z (%): 340 (M+, 15%). IR, υ: 3539–3329 (OH, NH, NH2), 2227, 2218 (2CN); 1688 (CO), 1634 (C=C). 1H-NMR, δ: 4.30 (s, 2H, CH2), 4.83 (s, 2H, D2O exchangeable, NH2), 6.77 (s, 1H, pyrazole H-4), 7.30–7.40 (m, 5H, C6H5), 8.30 (s, 1H, D2O exchangeable, NH), 10.40 (s, 1H, D2O exchangeable, OH). 13C-NMR, δ: 38.3 (CH2), 116.4, 117.8 (2 CN), 120.2, 121.8, 122.8, 133.8 (C6H5), 105.2, 153.0, 155. 9 (pyrazole C), 164.2 (CO).
Compound 17b: Crystallized from ethanol to give yellow crystals, yield 2.86 g (74%), m.p. 195–198 °C. Anal. Calculated for C17H17N5O4S (387.41): C, 52.70; H, 4.42; N, 18.08; S, 8.28. Found: C, 52.68; H, 4.53; N, 18.24; S, 8.46; MS m/z (%): 387 (M+, 22%). IR, υ: 3567–3302 (OH, NH, NH2), 2223 (CN); 1692, 1689 (2CO), 1638 (C=C). 1H-NMR, δ: 1.14 (t, 3H, J = 6.08 Hz, CH3), 4.21 (q, 2H, J = 6.08 Hz, CH2), 4.32 (s, 2H, CH2), 4.79 (s, 2H, D2O exchangeable, NH2), 6.72 (s, 1H, pyrazole H-4), 7.28–7.38 (m, 5H, C6H5), 10.37 (s, 1H, D2O exchangeable, OH). 13C-NMR, δ: 16.4 (ester CH3), 38.1 (CH2), 41.8 (ester CH2), 116.8 (CN), 119.8, 122.0, 122.8, 134.0 (C6H5), 105.4, 154.2, 155.5 (pyrazole C), 160.2, 164.5 (2 CO).
Compound 17c: Crystallized from 1,4-dioxane to give orange crystals, yield 2.99 g (80%), m.p. 145–147 °C. Anal. Calculated for C17H18N4O4S (374.41): C, 54.53; H, 4.85; N, 14.96; S, 8.56. Found: C, 54.64; H, 4.73; N, 14.82; S, 8.66; MS m/z (%): 374 (M+, 38%). IR, υ: 3559–3341 (OH, NH, NH2), 1690, 1689–1684 (3 CO), 1636 (C=C). 1H-NMR, δ: 2.65, 2.84 (2s, 6H, 2CH3), 4.40 (s, 2H, CH2), 4.73 (s, 2H, D2O exchangeable, NH2), 6.69 (s, 1H, pyrazole H-4), 7.30–7.39 (m, 5H, C6H5), 8.29 (s, 1H, NH), 10.39 (s, 1H, D2O exchangeable, OH). 13C-NMR, δ: 24.8, 29.4 (2 CH3), 38.3 (CH2), 120.2, 123.6, 124.2, 134.2 (C6H5), 105.2, 153.8, 155.2 (pyrazole C), 161.8, 164.8, 166.2 (3 CO).
Compound 17d: Crystallized from ethanol to give pale yellow crystals, yield 2.26 g (56%), m.p. 120–122 °C. Anal. Calculated for C18H20N4O5S (404.44): C, 53.45; H, 4.98; N, 13.85; S, 7.93. Found: C, 53.55; H, 4.72; N, 13.64; S, 7.66; MS m/z (%): 404 (M+, 14%). IR, υ: 3559–3328 (OH, NH, NH2), 1690, 1689–1684 (3 CO), 1636 (C=C). 1H-NMR, δ: 1.13 (t, 3H, J = 7.01 Hz, CH3), 2.83 (s, 3H, CH3), 4.23 (q, 2H, J = 7.01 Hz, CH2), 4.38 (s, 2H, CH2), 4.81 (s, 2H, D2O exchangeable, NH2), 6.69 (s, 1H, pyrazole H-4), 7.26–7.39 (m, 5H, C6H5), 8.31 (s, 1H, D2O exchangeable, NH), 10.37 (s, 1H, D2O exchangeable, OH). 13C-NMR, δ: 17.2 (ester CH3), 20.8 (CH3), 38.41 (CH2), 42.3 (ester CH2), 120.81, 122.2, 124.2, 132.8 (C6H5), 105.2, 154.42, 154.9 (pyrazole C), 160.6, 164.8, 168.3 (3 CO).
2-(4-(5-Amino-3-hydroxy-1H-pyrazol-1-yl)-3-phenylthiazol-2(3H)-ylidene)-malononitrile (18a), ethyl 2-(4-(5-aino-3-hydroxy-1H-pyrazol-1-yl)-3-phenylthiazol-2(3H)-ylidene)-2-cyanoacetate (18b), 2-(4-(5-amino-3-hydroxy-1H-pyrazol-1-yl)-3-phenylthiazol-2(3H)-ylidene)pentane-2,4-dione (18c) and ethyl 2-(4-(5-amino-3-hydroxy-1H-pyrazol-1-yl)-3-phenylthiazol-2(3H)-ylidene)-3-oxo-butanoate (18d). General procedure: To a suspension of either compound 17a (3.40 g, 0.01 mol), 17b (3.87 g, 0.01 mol), 17c (3.74 g, 0.01 mol) or 17d (4.04 g, 0.01 mol) in sodium ethoxide solution [prepared by dissolving metallic solvent (0.64 g, 0.01 mol) in absolute ethanol (30 mL)] was boiled in a boiling water bath for 8 h. The reaction mixture was left to cool then poured onto ice/water containing few drops of hydrochloric acid. The formed solid product was collected by filtration.
Compound 18a: Crystallized from ethanol to give yellow crystals, yield 2.48 g (77%), m.p. 260–263 °C. Anal. Calculated for C15H10N6OS (322.34): C, 55.89; H, 3.13; N, 26.07; S, 9.95. Found: C, 55.79; H, 3.43; N, 26.22; S, 9.76; MS m/z (%): 322 (M+, 80%). IR, υ: 3549–3338 (OH, NH2), 2225, 2215 (2CN); 1637 (C=C). 1H-NMR, δ: 4.88 (s, 2H, D2O exchangeable, NH2), 6.79, 6.93 (2s, 2H, pyrazole H-4, thiazole H-5), 7.32–7.43 (m, 5H, C6H5), 10.40 (s, 1H, D2O exchangeable, OH). 13C-NMR, δ: 116.8, 118.3 (2 CN), 119.4, 122.0, 122.6, 134.0, 144.2, 152.9, 153.1 (C6H5, thiazole C), 132.1, 138.9 (C=C), 105.2, 153.0, 155. 9 (pyrazole C).
Compound 18b: Crystallized from ethanol to give buff crystals, yield 2.82 g (80%), m.p. 188–191 °C. Anal. Calculated for C17H15N5O3S (369.40): C, 55.27; H, 4.09; N, 18.96; S, 8.68. Found: C, 55.59; H, 4.37; N, 18.82; S, 8.56; MS m/z (%): 369 (M+, 77%). IR, υ: 3576–3326 (OH, NH2), 2220 (CN), 1686 (CO), 1638 (C=C). 1H-NMR, δ: 1.13 (t, 3H, J = 7.11 Hz, CH3), 4.24 (q, 2H, J = 7.11 Hz, CH2), 4.83 (s, 2H, D2O exchangeable, NH2), 6.70, 6.83 (2s, 2H, pyrazole H-4, thiazole H-5), 7.32–7.39 (m, 5H, C6H5), 10.35 (s, 1H, D2O exchangeable, OH). 13C-NMR, δ: 16.8 (ester CH3), 40.8 (ester CH2), 116.6 (CN), 120.6, 122.3, 124.8, 134.0, 143.8, 152.4, 153.8 (C6H5, thiazole C), 132.1, 138.0 (C=C), 105.6, 154.2, 155.3 (pyrazole C), 164.8 (CO).
Compound 18c: Crystallized from 1,4-dioxane to give pale yellow crystals, yield 2.49 g (70%), m.p. 199–202 °C. Anal. Calculated for C17H16N4O3S (356.40): C, 57.29; H, 4.52; N, 15.72; S, 9.00. Found: C, 57.49; H, 4.58; N, 16.02; S, 9.04; MS m/z (%): 356 (M+, 22%). IR, υ: 3545–3322 (OH, NH2), 1692, 1689 (2 CO), 1634 (C=C). 1H-NMR, δ: 2.59, 2.82 (2s, 6H, 2CH3), 4.43 (s, 2H, D2O exchangeable, NH2), 6.63, 6.93 (2s, 2H, pyrazole H-4, thiazole H-5), 7.28–7.35 (m, 5H, C6H5), 10.31 (s, 1H, D2O exchangeable, OH). 13C-NMR, δ: 24.8, 28.6 (2 CH3), 120.8, 123.0, 126.9, 134.2, 143.8, 153.0, 154.4 (C6H5, thiazole C), 132.8, 138.9 (C=C), 105.3, 154.0, 154.8 (pyrazole C), 162.7, 164.6 (2 CO).
Compound 18d: Crystallized from ethanol to give yellow crystals, yield 2.66 g (69%), m.p. 221–224 °C. Anal. Calculated for C18H18N4O4S (386.42): C, 55.95; H, 4.70; N, 14.50; S, 8.30. Found: C, 56.27; H, 4.67; N, 14.39; S, 8.52; MS m/z (%): 386 (M+, 40%). IR, υ: 3541–3339 (OH, NH2), 1688, 1680 (2 CO), 1631 (C=C). 1H-NMR, δ: 1.14 (t, 3H, J = 6.55 Hz, CH3), 2.82 (s, 3H, CH3), 4.21 (q, 2H, J = 6.55 Hz, CH2), 4.59 (s, 2H, D2O exchangeable, NH2), 6.55, 6.80 (2s, 2H, pyrazole H-4, thiazole H-5), 7.28–7.35 (m, 5H, C6H5), 10.24 (s, 1H, D2O exchangeable, OH). 13C-NMR, δ: 16.8 (ester CH3), 24.5 (CH3), 42.0 (ester CH2), 121.3, 123.1, 126.6, 134.0, 144.0, 153.0, 153.8 (C6H5, thiazole C), 133.0, 138.9 (C=C), 105.1, 154.2, 154.4 (pyrazole C), 163.2, 164.8 (2 CO).
4. Conclusions
The aim of this work was to synthesize a series of new pyrazole derivatives. The key intermediate for most of these molecules was N'-(2-chloroacetyl)-2-cyanoacetohydrazide (3), which underwent ready cyclization to give 1-(5-amino-3-hydroxy-1H-pyrazol-1-yl)-2-chloroethanone (4). The anti-tumor evaluations of the newly synthesized pyrazole derivatives showed that among the tested compounds 5,8-diamino-7-cyano-2-hydroxy-6-phenyl-6,7-dihydropyrazolo[1,5-a]pyrano[2,3-d]-pyrimidine (12a), 2-(4-(5-amino-3-hydroxy-1H-pyraol-1-yl)-3-phenylthiazol-2(3H)-ylidene)-malononitrile (18a) and 2-(4-(5-amino-3-hydroxy-1H-pyrazol-1-yl)-3-phenylthiazol-2(3H)-ylidene)-pentane-2,4-dione (18c) showed the best results, exhibiting the highest inhibitory effects towards the three tumor cell lines, which were higher than that of the reference doxorubicin. Such high cytotoxicity of 12a, 18a and 18c is attributed to the presence of strong electron withdrawing groups together with their solubility in polar solvents.
Acknowledgements
R. M. Mohareb would like to thank the Alexander von Humboldt foundation in Bonn, Germany for affording a fellowship during summer 2012 in Munchin for doing research and completing this work.
References
- Liu, X.H.; Cui, P.; Song, B.A.; Bhadury, P.S.; Zhu, H.L.; Wang, S.F. Synthesis, structure and antibacterial activity of novel 1-(5-substituted-3-substituted-4,5-dihydropyrazol-1-yl)ethanone oxime ester derivatives. Bioorgan. Med. Chem. 2008, 16, 4075–4082. [Google Scholar]
- Ouyang, G.; Chen, Z.; Cai, X.J.; Song, B.A.; Bhadury, P.S.; Yang, S.; Jin, L.H.; Xue, W.; Hu, D.Y.; Zeng, S. Synthesis and antiviral activity of novel pyrazole derivatives containing oxime esters group. Bioorgan. Med. Chem. 2008, 16, 9699–9707. [Google Scholar] [CrossRef]
- Abdel-Hafez, E.M.N.; Rahma, G.E.A.A.; Aziz, M.A.; Radwan, M.F.; Farag, H.H. Design, synthesis and biological investigation of certain pyrazole-3-carboxylic acid derivatives as novel carriers for nitric oxide. Bioorgan. Med. Chem. 2009, 17, 3829–3837. [Google Scholar]
- Park, H.J.; Lee, K.; Park, S.J.; Ahn, B.; Lee, J.C.; Cho, H.Y.; Lee, K.I. Identification of antitumor activity of pyrazole oxime ethers. Bioorgan. Med. Chem. Lett. 2005, 15, 3307–3312. [Google Scholar]
- Ouyang, G.; Cai, X.J.; Chen, Z.; Song, B.A.; Bhadury, P.S.; Yang, S.; Jin, L.H.; Xue, W.; Hu, D.Y.; Zeng, S. Synthesis and antiviral activities of pyrazole derivatives containing an oxime moiety. J. Agric. Food Chem. 2008, 56, 101601–102607. [Google Scholar]
- Dai, H.; Li, Y.Q.; Du, D.; Qin, X.; Zhang, X.; Yu, H.B.; Fang, J.X. Synthesis and biological activities of novel pyrazole oxime derivatives containing a 2-chloro-5-thiazolyl moiety. Food Chem. 2008, 56, 10805–10810. [Google Scholar] [CrossRef]
- Riyadh, S.M.; Farghaly, T.A.; Abdallah, M.A.; Abdalla, M.M.; El-Aziz, M.R.A. New pyrazoles incorporating pyrazolylpyrazole moiety: Synthesis, anti-HCV and antitumor activity. Eur. J. Med. Chem. 2010, 45, 1042–1050. [Google Scholar]
- Anzaldi, M.; Maccio, C.; Mazzei, M.; Bertolotto, M.; Ottonello, L.; Dallegri, F.; Balbi, A. Antiproliferative and proapoptotic activities of a new class of pyrazole derivatives in HL-60 cells. Chem. Biodivers. 2009, 6, 1674–1684. [Google Scholar]
- El-Shafei, A.; Fadda, A.A.; Khalil, A.M.; Ameen, T.A.E.; Badria, F.A. Synthesis, antitumor evaluation, molecular modeling and quantitative structure-activity relationship (QSAR) of some novel arylazopyrazolodiazine and triazine analogs. Bioorgan. Med. Chem. 2009, 17, 5096–5105. [Google Scholar]
- Huang, K.H.; Veal, J.M.; Fadden, P.R.; Rice, J.W.; Eaves, J.; Strachan, J.P.; Barabasz, A.F.; Foley, B.E.; Barta, T.E.; Ma, W.; et al. Discovery of Novel 2-Aminobenzamide Inhibitors of Heat Shock Protein 90 as Potent, Selective and Orally Active Antitumor Agents. J. Med. Chem. 2009, 52, 4288–4305. [Google Scholar]
- Chandanshive, J.Z.; Bonini, B.F.; Tiznado, W.; Escobar, C.A.; Caballero, J.; Femoni, C.; Fochi, M.; Franchini, M.C. 1,3-Dipolar Cycloaddition of Nitrile Imines with Cyclic α-β-Unsaturated Ketones: A Regiochemical Route to Ring-Fused Pyrazoles. Eur. J. Org. Chem. 2011, 4806–4811. [Google Scholar]
- Chandanshive, J.Z.; Bonini, B.F.; Gentili, D.; Fochi, M.; Bernardi, L.; Franchini, M.C. Regiocontrolled Synthesis of Ring-Fused Thieno[2,3-c]pyrazoles through 1,3-Dipolar Cycloaddition of Nitrile Imines with Sulfur-Based Acetylenes. Eur. J. Org. Chem. 2010, 33, 6440–6447. [Google Scholar]
- Bondock, S.; Fadaly, W.; Metwally, M.A. Synthesis and antimicrobial activity of some new thiazole, thiophene and pyrazole derivatives containing benzothiazole moiety. Eur. J. Med. Chem. 2010, 45, 3692–3701. [Google Scholar]
- Mohareb, R.M.; Samir, E.M. The Reaction of cyanoacetylhydrazine with chloroacetone: Synthesis of 1,2,4-triazine, 1,3,4–oxadiazine and their fused derivatives with antitumor activities. Open J. Med. Chem. 2012, 2, 1–9. [Google Scholar] [CrossRef] [Green Version]
- Mohareb, R.M.; Ibrahim, R.A.; Moustafa, H.E. Hydrazide-hydrazones in the synthesis of 1,3,4-oxadiazine, 1,2,4-triazine and pyrazole derivatives with anti-tumor activities. Open Org. Chem. J. 2010, 4, 8–14. [Google Scholar]
- Mohareb, R.M.; Schatz, J. Anti-tumor and anti-leishmanial evaluations of 1,3,4-oxadiazine, pyran derivatives derived from cross-coupling reactions of β-bromo-6H-1,3,4- oxadiazine derivatives. Bioorgan. Med. Chem. 2011, 19, 2707–2713. [Google Scholar] [CrossRef]
- Khalil, A.M.; Berghot, M.A.; Gouda, M.A. Synthesis and antibacterial activity of some new thiazole and thiophene derivatives. Eur. J. Med. Chem. 2009, 44, 4434–4440. [Google Scholar]
- McKibben, B.P.; Cartwright, C.H.; Castelhano, A.L. Practical synthesis of tetrasubstituted thiophenes for use in compound libraies. Tetrahedron 1999, 40, 5471–5474. [Google Scholar] [CrossRef]
- Balamurugan, K.; Perumal, S.; Sunil, A.; Reddy, A.S.K.; Yogeeswari, P.; Sriram, D.A. facile domino protocol for the regioselective synthesis and discovery of novel 2-amino-5-arylthieno [2,3-b] thiophene as antimycobacterial agents. Tetrahedron Lett. 2009, 50, 6191–6195. [Google Scholar]
- Ye, D.; Zhang, Y.; Wang, F.; Zheng, M.; Zhang, X.; Luo, X.; Shen, X.; Jiang, H.; Liu, H. Novel thiophene derivatives as PTP1B inhibitors with selectivity and cellular activity. Bioorgan. Med. Chem. 2010, 18, 1773–1782. [Google Scholar]
- Mansour, S.A.; Mahmoud, S.B.; Saleh, I.A.; Mostafa, M.G. Ant-breast cancer activity of some novel 1,2-dihydropyridine, thiophene and thiazole derivatives. Eur. J. Med. Chem. 2011, 46, 137–141. [Google Scholar] [CrossRef]
- Scrowston, R.M. Recent advances in the chemistry of benzo [b]-thiophene. Adv. Heterocycl. Chem. 1981, 29, 171–249. [Google Scholar] [CrossRef]
- Parida, K.M.; Rath, D. Amine functionalized MCM-41: An active and reusable catalyst for Knoevenagel condensation reaction. J. Mol. Catal. A: Chem. 2009, 310, 93–100. [Google Scholar] [CrossRef]
- Jain, D.; Mishra, M.; Rani, A. Synthesis and characterization of novel aminopropylated fly ash catalyst and its beneficial application in base catalyzed Knoevenagel condensation reaction. Fuel Process. Technol. 2012, 95, 119–126. [Google Scholar] [CrossRef]
- Tisseh, Z.N.; Dabiri, M.; Nobahar, M.; Khavasi, H.R.; Bazgir, A. Catalyst-free, aqueous and highly diastereoselective synthesis of new 5-substituted 1H-tetrazoles via a muti-component domino Knoevenagel condensation/1,3- dipolar cycloaddition reaction. Tetrahedron 2012, 68, 1769–1773. [Google Scholar]
- Atamanyuk, D.V.; Ostapiuk, Y.V.; Kryshchyshyn, A.P. A new domino-Knoevenagel-hetero-Diels-Alder reaction. Tetrahedron Lett. 2008, 49, 4648–4651. [Google Scholar]
- Cateni, F.; Zilic, J.; Zacchigna, M.; Bonivento, P.; Frausin, F.; Scarcia, V. Synthesis and biological properties of new α-methylene-butyrolactones and α,β-unsaturated γ-butyrolactones. Eur. J. Med. Chem. 2006, 41, 192–200. [Google Scholar] [CrossRef]
- Skehan, P.; Storeng, R.; Scudiero, D.; Monks, A.; McMahon, J.; Vistica, D.; Warren, J.T.; Bokesch, H.; Kenne, S.; Boyd, M.R. New colorimetric cytotoxicity assay for anticancer-drug screening. J. Natl. Cancer Inst. 1990, 82, 1107–1112. [Google Scholar]
- Monks, A.; Scudiero, D.; Skehan, P.; Shoemaker, R.; Paul, K.; Vistica, D.; Hose, C.; Langley, J.; Cronise, P.; Vaigro-Wolff, A.; et al. Feasibility of a high-flux anticancer drug screen using a diverse panel of cultured human tumor cell lines. J. Natl. Cancer Inst. 1991, 83, 757–766. [Google Scholar]
- Sample Availability: Samples of compounds 3, 5, 7a,b, 8, 10, 11a,b, 12a,b, 14, 17a–d and 18a–d are available from the authors.
© 2012 by the authors; licensee MDPI, Basel, Switzerland. This article is an open-access article distributed under the terms and conditions of the Creative Commons Attribution license (http://creativecommons.org/licenses/by/3.0/).