Abstract
Glycosylation of vanilloids such as vanillin and 8-nordihydrocapsaicin by cultured plant cells of Eucalyptus perriniana was studied. Vanillin was converted into vanillin 4-O-β-D-glucopyranoside, vanillyl alcohol, and 4-O-β-D-glucopyranosylvanillyl alcohol by E. perriniana cells. Incubation of cultured E. perriniana cells with 8-nor- dihydrocapsaicin gave 8-nordihydrocapsaicin 4-O-β-D-glucopyranoside and 8-nordihydro- capsaicin 4-O-β-D-gentiobioside.
1. Introduction
Biotransformations are considered to be an important method for converting inexpensive and plentiful organic compounds into costly and scarce ones [1,2,3,4,5]. In recent years, plant cell cultures have been studied as potential agents for biotransformation reactions according to the biochemical potential of plant enzymes to produce specific secondary metabolites [1]. Particularly, glycosylation by cultured plant cells has attracted much attention, because one-step enzymatic glycosylation by cultured plant cells is more convenient than chemical glycosylation which requires tedious protection-deprotection procedures [6,7,8,9,10,11,12,13].
Vanilloids including capsaicinoids have been widely used as food additives and have been studied for their broad range of physiological properties such as antioxidative, antimicrobial, analgesic, antigenotoxic, antimutagenic, and anticarcinogenic effects [14,15,16,17,18,19]. Irrespective of such biological and pharmacological activities, vanilloids are water-insoluble and poorly absorbable after oral administration. Furthermore, capsaicinoids are pungent principles of hot peppers, exhibiting direct skin and mucous membrane irritant effects [20]. These shortcomings have limited their use as food additives and medicines. Glycosylation allows water-insoluble and pungent organic compounds to be converted into the corresponding water-soluble and non-pungent compounds to improve their bioavailability. Here we report the glycosylation of vanillin and 8-nordihydrocapsaicin to their glucoconjugates, with greater water-solubility, by cultured plant cells of Eucalyptus perriniana.
2. Results and Discussion
2.1. Biotransformation of Vanillin
The biotransformation of vanilloids, i.e., vanillin and 8-nordihydrocapsaicin, was individually investigated using cultured cells of E. perriniana. After addition of substrates to the cultured suspension cells in Murashige and Skoog’s (MS) medium, the incubation was continued for five days, after which products in each medium and MeOH extracts of cells were detected by HPLC. No products were obtained in the control experiments undertaken without substrate.
Incubation of vanillin (1) with the cultured E. perriniana cells for five days yielded compounds 2–4 which were identified as vanillyl alcohol (2%), vanillin 4-O-β-D-glucopyranoside (20%), and 4-O-β-D-glucopyranosylvanillyl alcohol (70%), respectively, by comparison of spectroscopic data, such as HRFABMS, 1H- and 13C-NMR (Table 1), H-H COSY, C-H COSY, and HMBC-spectra, with those reported previously [21,22]. A time course experiment (Figure 1) revealed that vanillin 4-O-β-D-glucopyranoside (3) was formed, followed by formation of 4-O-β-D-glucopyranosylvanillyl alcohol (4) (Scheme 1) because the amount of vanillin 4-O-β-D-glucopyranoside (3) decreased, accompanied by an increase of that of 4-O-β-D-glucopyranosylvanillyl alcohol (4). These findings suggest that vanillin 4-O-β-D-glucopyranoside (3) was converted into 4-O-β-D-glucopyranosylvanillyl alcohol (4) by E. perriniana cells.
Table 1.
13C chemical shifts of the glycosides 3, 4, 6, and 7 in CD3OD.
| Compound | 3 | 4 | 6 | 7 | |
|---|---|---|---|---|---|
| Aglycone | 1 | 130.2 | 136.0 | 134.8 | 135.1 |
| 2 | 110.1 | 110.7 | 113.0 | 113.1 | |
| 3 | 151.4 | 148.4 | 150.5 | 150.8 | |
| 4 | 148.9 | 144.9 | 146.8 | 146.7 | |
| 5 | 114.2 | 114.8 | 117.9 | 118.3 | |
| 6 | 125.1 | 118.2 | 121.1 | 121.4 | |
| 7 | 191.2 | 62.5 | 43.6 | 43.8 | |
| 8 | 175.7 | 176.0 | |||
| 9 | 37.0 | 37.1 | |||
| 10 | 27.0 | 27.1 | |||
| 11 | 30.3 | 30.3 | |||
| 12 | 30.3 | 30.3 | |||
| 13 | 30.3 | 30.3 | |||
| 14 | 32.9 | 32.9 | |||
| 15 | 23.6 | 23.7 | |||
| 16 | 14.4 | 14.4 | |||
| OCH3 | 55.4 | 55.3 | 56.6 | 56.7 | |
| Glc | 1' | 99.1 | 99.9 | 102.7 | 102.5 |
| 2' | 72.8 | 73.0 | 74.7 | 75.1 | |
| 3' | 76.9 | 76.7 | 77.9 | 77.8 | |
| 4' | 69.3 | 69.4 | 71.2 | 71.5 | |
| 5' | 76.6 | 76.6 | 77.6 | 77.6 | |
| 6' | 60.3 | 60.4 | 62.4 | 69.4 | |
| 1'' | 104.3 | ||||
| 2'' | 74.8 | ||||
| 3'' | 77.6 | ||||
| 4'' | 71.3 | ||||
| 5'' | 77.8 | ||||
| 6'' | 62.6 |
Figure 1.
Time course of the biotransformation of vanillin (1) by cultured cells of E. perriniana. Yields of 1 (■), 2 (○), 3 (●), and 4 (▲) are plotted.
Figure 1.
Time course of the biotransformation of vanillin (1) by cultured cells of E. perriniana. Yields of 1 (■), 2 (○), 3 (●), and 4 (▲) are plotted.

Scheme 1.
Biotransformation pathway of vanillin (1) by plant cultured cells of E. perriniana.
Scheme 1.
Biotransformation pathway of vanillin (1) by plant cultured cells of E. perriniana.

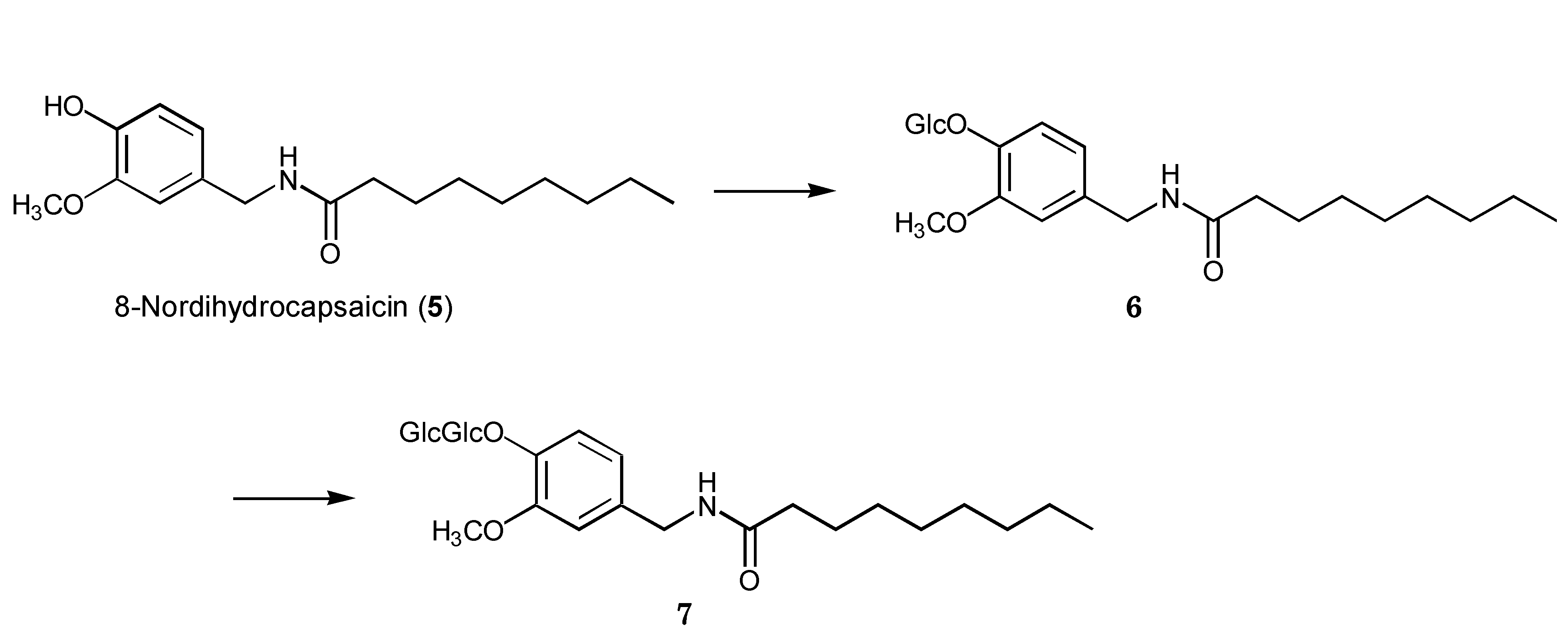
2.2. Biotransformation of 8-Nordihydrocapsaicin
After cultured cells of E. perriniana were incubated with 8-nordihydrocapsaicin (5) for five days, compounds 6 and 7 were obtained as the products. They were identified as 8-nordihydrocapsaicin 4-O-β-D-glucopyranoside (62%) [23] and 8-nordihydrocapsaicin 4-O-β-D-gentiobioside (Glc-β-1,6-Glc) (1%), respectively. The time-course experiment results (Figure 2) indicated that 8-nordihydrocapsaicin 4-O-β-D-glucopyranoside was produced first and further glucosylation gave 8-nordihydrocapsaicin 4-O-β-D-gentiobioside, as shown in Scheme 2. The HRFABMS spectrum of cmpound 7 included a pseudomolecular ion [M+Na]+ peak at m/z 640.2920, consistent with a molecular formula of C29H47NO13 (calcd. 640.2903 for C29H47NO13Na).
Figure 2.
Time course of the biotransformation of 8-nordihydrocapsaicin (5) by cultured cells of E. perriniana. Yields of 5 (■), 6 (▲), and 7 (○) are plotted.
Figure 2.
Time course of the biotransformation of 8-nordihydrocapsaicin (5) by cultured cells of E. perriniana. Yields of 5 (■), 6 (▲), and 7 (○) are plotted.

The 1H NMR spectrum of compound 7 included proton signals at δ 4.35 (1H, d, J = 7.2 Hz) and 4.92 (1H, d, J = 7.6 Hz), indicating the presence of two β-anomers in the sugar moiety. The 1H- and 13C-NMR spectra of compound 7 indicated that it was a β-gentiobiosyl analogue of 8-nordihydrocapsaicin. Thus, the structure of compound 7 was determined as 8-nordihydrocapsaicin 4-O-β-D-gentiobioside, which has not been reported before.
Scheme 2.
Biotransformation pathway of 8-nordihydrocapsaicin (5) by plant cultured cells of E. perriniana.
Scheme 2.
Biotransformation pathway of 8-nordihydrocapsaicin (5) by plant cultured cells of E. perriniana.

3. Experimental
3.1. Analysis of the Products
The structures of the products were determined on the basis of analysis of their HRFABMS, 1H- and 13C-NMR, H-H COSY, C-H COSY, and HMBC spectra. The 1H- and 13C-NMR, H-H COSY, C-H COSY, and HMBC spectra were recorded using a Varian XL-400 spectrometer in CD3OD solution and the chemical shifts are expressed in δ (ppm) referring to TMS. The HRFABMS spectra were measured using a JEOL MStation JMS-700 spectrometer.
3.2. Cell Line and Culture Conditions
Cultured E. perriniana cells were subcultured at 4-week intervals on solid Murashige and Skoog (MS) medium (100 mL in a 300-mL conical flask) containing 3% sucrose, 10 mM 2,4-dichlorophenoxyacetic acid, and 1% agar (adjusted to pH 5.7) at 25 °C in the dark [24]. A suspension culture was started by transferring the cultured cells to 100 mL of liquid medium in a 300-mL conical flask, and incubated on a rotary shaker (120 rpm) at 25 °C in the dark. Prior to use for this work, part of the callus tissues (fr. wt 40 g) was transplanted to freshly prepared MS medium (100 mL in a 300-mL conical flask) and grown with continuous shaking for 2 weeks on a rotary shaker (120 rpm).
3.3. Biotransformation and Purification of Products
To the 500 mL flask containing 200 ml of MS medium and the suspension cultured cells (100 g) of E. perriniana was added 15 mg of substrate. The cultures were incubated at 25 °C for 5 days on a rotary shaker (120 rpm) in the dark. After the incubation period, the cells and medium were separated by filtration with suction. Extraction and purification procedures of biotransformation products were performed according to the previously reported methods [9,10,11,12,13]. The yield of the products was determined on the basis of the peak area from HPLC [column: YMC-Pack R&D ODS column (150 × 30 mm); solvent: MeOH-H2O (9:11, v/v); detection: UV (280 nm); flow rate: 1.0 mL/min] and expressed as a relative percentage to the total amount of the whole reaction products extracted.
8-Nordihydrocapsaicin 4-O-β-D-gentiobioside (2 mg): HRFABMS: m/z 640.2920 [M+Na]+ (calcd 640.2903 for C29H47NO13Na); 1H-NMR (CD3OD): δ 0.89 (3H, t, J = 6.8 Hz, H-16), 1.31 (10H, m, H-11, 12, 13, 14, 15), 1.63 (2H, q, J = 7.6 Hz, H-10), 2.24 (2H, t, J = 7.6 Hz, H-9), 3.10–4.11 (12H, m, H-2', 2'', 3', 3'', 4', 4'', 5', 5'', 6', 6''), 3.85 (3H, s, OCH3), 4.31 (2H, d, J = 8.0 Hz, H-7), 4.35 (1H, d, J = 7.2 Hz, H-1''), 4.92 (1H, d, J = 7.6 Hz, H-1'), 6.85 (1H, dd, J = 8.0, 1.6 Hz, H-6), 6.94 (1H, s, H-2), 7.15 (1H, d, J = 8.4 Hz, H-5); 13C-NMR (CD3OD), see Table 1.
4. Conclusions
The results of this experiment revealed that the cultured suspension cells of E. perriniana are able to convert vanilloids, including capsaicinoid, into the corresponding β-glucosides and β-gentiobioside. Recently, several attempts have been made to glycosylate vanillin by cultured plant cells that resulted in the production of only vanillin 4-O-β-D-glucopyranoside [21,22]. We have already reported that cultured plant cells of E. perriniana had high potential to glycosylate exogenous compounds to their glycosides including gentiobiosides [10,12,13]. However, there have been no reports on the glycosylations of vanillin to the glycoside of vanillyl alcohol and of 8-nordihydrocapsaicin to its gentiobioside derivative, and the biotransformation pathway of vanilloids in cultured plant cells has not yet been elucidated. This paper reports, for the first time, the biological production by cultured plant cells of vanilloid glycosides, such as β-glucoside of vanillyl alcohol and 8-nordihydrocapsaicin β-gentiobioside, which was more soluble [25]. The biotransformation pathway of vanillin to β-glucoside of vanillyl alcohol has not been reported so far. Recently, a few studies were reported on the biocatalytic synthesis of capsaicin primeveroside and vicianoside using Catharanthus roseus cells [26], and on chemo-enzymatic synthesis of dihydronorcapsaicin β-D-glucopyranoside [27]. Cultured C. roseus cells are more active rather than E. perriniana cells in the capsaicin glycosylations. Further studies on the pharmacological activities of vanilloid glycosides are now in progress.
Supplementary Materials
Supplementary materials can be accessed at http://www.mdpi.com/1420-3049/17/5/5013/s1.
Conflict of Interest
The authors declare no conflict of interest.
References and Notes
- Ishihara, K.; Hamada, H.; Hirata, T.; Nakajima, N. Biotransformation using plant cultured cells. J. Mol. Catal. B: Enz. 2003, 23, 145–170. [Google Scholar] [CrossRef]
- Hamada, H.; Kondo, Y.; Ishihara, K.; Nakajima, N.; Hamada, H.; Kurihara, R.; Hirata, T. Stereoselective biotransformation of limonene and limonene oxide by cyanobacterium. J. Biosci. Bioeng. 2003, 96, 581–584. [Google Scholar] [CrossRef]
- Takenaka, S.; Mulyono; Sasano, Y.; Takahashi, Y.; Murakami, S.; Aoki, K. Microbial transformation of aniline derivatives: Regioselective biotransformation and detoxification of 2-phenylenediamine by Bacillus cereus strain PDa-1. J. Biosci. Bioeng. 2006, 102, 21–27. [Google Scholar] [CrossRef]
- Mulyono; Takenaka, S.; Sasano, Y.; Murakami, S.; Aoki, K. Bacillus cereus strain 10-L-2 produces two arylamine N-acetyltransferases that transform 4-phenylenediamine into 4-aminoacetanilide. J. Biosci. Bioeng. 2007, 103, 147–154. [Google Scholar] [CrossRef]
- Yang, G.; Zhang, Z.; Bai, H.; Gong, J.; Wang, Y.; Li, B.; Li, J. Biotransformation of β-amyrin acetate by Rhodobacter sphaeroides. J. Biosci. Bioeng. 2008, 105, 558–561. [Google Scholar] [CrossRef]
- Furuya, T.; Ushiyama, M.; Ashida, Y.; Yoshikawa, T. Biotransformation of 2-phenylpropionic acid in root culture of Panax ginseng. Phytochemistry 1989, 28, 483–487. [Google Scholar]
- Kamel, S.; Brazier, M.; Desmet, G.; Fliniaux, M.-A.; Jacquin-Dubreuil, A. Glucosylation of butyric acid by cell suspension culture of Nicotiana plumbaginifolia. Phytochemistry 1992, 31, 1581–1583. [Google Scholar]
- Lewinson, E.; Berman, E.; Mazur, Y.; Gressel, J. Glucosylation of exogenous flavanones by grapefruit (Citrus paradisi) cell cultures. Phytochemistry 1996, 25, 2531–2535. [Google Scholar]
- Shimoda, K.; Kondo, Y.; Abe, K.; Hamada, H.; Hamada, H. Formation of water-soluble vitamin derivatives from lipophilic vitamins by cultured plant cells. Tetrahedron Lett. 2006, 47, 2695–2698. [Google Scholar]
- Shimoda, K.; Kondo, Y.; Nishida, T.; Hamada, H.; Nakajima, N.; Hamada, H. Biotransformation of thymol, carvacrol, and eugenol by cultured cells of Eucalyptus perrinian. Phytochemistry 2006, 67, 2256–2261. [Google Scholar] [CrossRef]
- Shimoda, K.; Harada, T.; Hamada, H.; Nakajima, N.; Hamada, H. Biotransformation of raspberry ketone and zingerone by cultured cells of Phytolacca americana. Phytochemistry 2007, 68, 487–492. [Google Scholar]
- Shimoda, K.; Hamada, H.; Hamada, H. Glycosylation of hesperetin by plant cell cultures. Phytochemistry 2008, 69, 1135–1140. [Google Scholar]
- Shimoda, K.; Kondo, Y.; Akagi, M.; Abe, K.; Hamada, H.; Hamada, H. Glycosylation of tocopherols by cultured cells of Eucalyptus perriniana. Phytochemistry 2007, 68, 2678–2683. [Google Scholar] [CrossRef]
- Burri, J.; Graf, M.; Lambelet, P.; Loliger, J. Vanillin: more than a flavouring agent-a potent antioxidant. J. Sci. Food Agric. 1989, 48, 49–56. [Google Scholar] [CrossRef]
- Surh, Y.J.; Lee, S.S. Capsaicin, a double edged sword: toxicity, metabolism, and chemopreventative potential (Review). Life Sci. 1995, 56, 1845–1855. [Google Scholar] [CrossRef]
- Surh, Y.J.; Ahn, S.H.; Kim, K.C.; Park, J.B.; Sohn, Y.W.; Lee, S.S. Metabolism of capsaicinoids: evidence for aliphatic hydroxylation and its pharmacological implications. Life Sci. 1995, 56, PL305–PL311. [Google Scholar] [CrossRef]
- Surh, Y.J.; Lee, E.; Lee, J.M. Chemopreventive properties of some pungent ingredients present in red pepper and ginger. Mut. Res. 1998, 402, 259–267. [Google Scholar] [CrossRef]
- Park, K.K.; Chun, K.S.; Yook, J.I.; Surh, Y.J. Lack of tumor promoting activity of capsaicin, a principal pungent ingredient of red peppers, in mouse skin carcinogens. Anticancer Res. 1998, 18, 4201–4205. [Google Scholar]
- Ward, M.H.; Lopez-Carrillo, L. Dietary factors and the risk of gastric cancer in Mexico City. Am. J. Epid. 1999, 149, 925–932. [Google Scholar] [CrossRef]
- Watanabe, T.; Kawada, T.; Yamamoto, M.; Iwai, K. Capsaicin, a pungent principle of hot red pepper, evokes catecholamine secretion from the adrenal medulla of anesthetized rats. Biochem. Biophys. Res. Commun. 1987, 142, 259–264. [Google Scholar] [CrossRef]
- Kometani, T.; Tanimoto, H.; Nishimura, T.; Okada, S. Glucosylation of vanillin by cultured plant cells. Biosci. Biotech. Biochem. 1993, 57, 1290–1293. [Google Scholar] [CrossRef]
- Yuana; Dignum, M.J.W.; Verpoorte, R. Glucosylation of exogenous vanillin by plant cell cultures. Plant Cell Tiss. Org. Cult. 2002, 69, 177–182. [Google Scholar] [CrossRef]
- Higashiguchi, F.; Nakamura, H.; Hayashi, H.; Kometani, T. Purification and structure determination of glucosides of capsaicin and dihydrocapsaicin from various capsicum fruits. J. Agric. Food Chem. 2006, 54, 5948–5953. [Google Scholar] [CrossRef]
- Hamada, H.; Fuchikami, Y.; Ikematsu, Y.; Hirata, T.; Williams, H.; Scott, A.I. Hydroxylation of piperitone by cell suspension cultures of Catharanthus roseus. Phytochemistry 1994, 37, 1037–1038. [Google Scholar]
- Kaminaga, Y.; Nagatsu, A.; Akiyama, T.; Sugimoto, N.; Yamazaki, T.; Maitani, T.; Mizukami, H. Production of unnatural glucosides of curcumin with drastically enhanced water solubility by cell suspension cultures of Catharanthus roseus. FEBS Lett. 2003, 555, 311–316. [Google Scholar] [CrossRef]
- Shimoda, K.; Kwon, S.; Utsuki, A.; Ohiwa, S.; Katsuragi, H.; Yonemoto, N.; Hamada, H.; Hamada, H. Glycosylation of capsaicin and 8-nordihydrocapsaicin by cultured cells of Catharanthus roseus. Phytochemistry 2007, 68, 1391–1396. [Google Scholar]
- Sultana, I.; Shimamoto, M.; Obata, R.; Nishiyama, S.; Sugai, T. An expeditious chemo-enzymatic synthesis of dihydronorcapsaisin β-D-glucopyranoside. Sci. Technol. Adv. Mater. 2006, 7, 197–201. [Google Scholar] [CrossRef]
- Sample Availability: Samples of the compounds are available from the authors.
© 2012 by the authors; licensee MDPI, Basel, Switzerland. This article is an open-access article distributed under the terms and conditions of the Creative Commons Attribution license (http://creativecommons.org/licenses/by/3.0/).