Hydrophilic Carotenoids: Recent Progress
Abstract
:1. Introduction
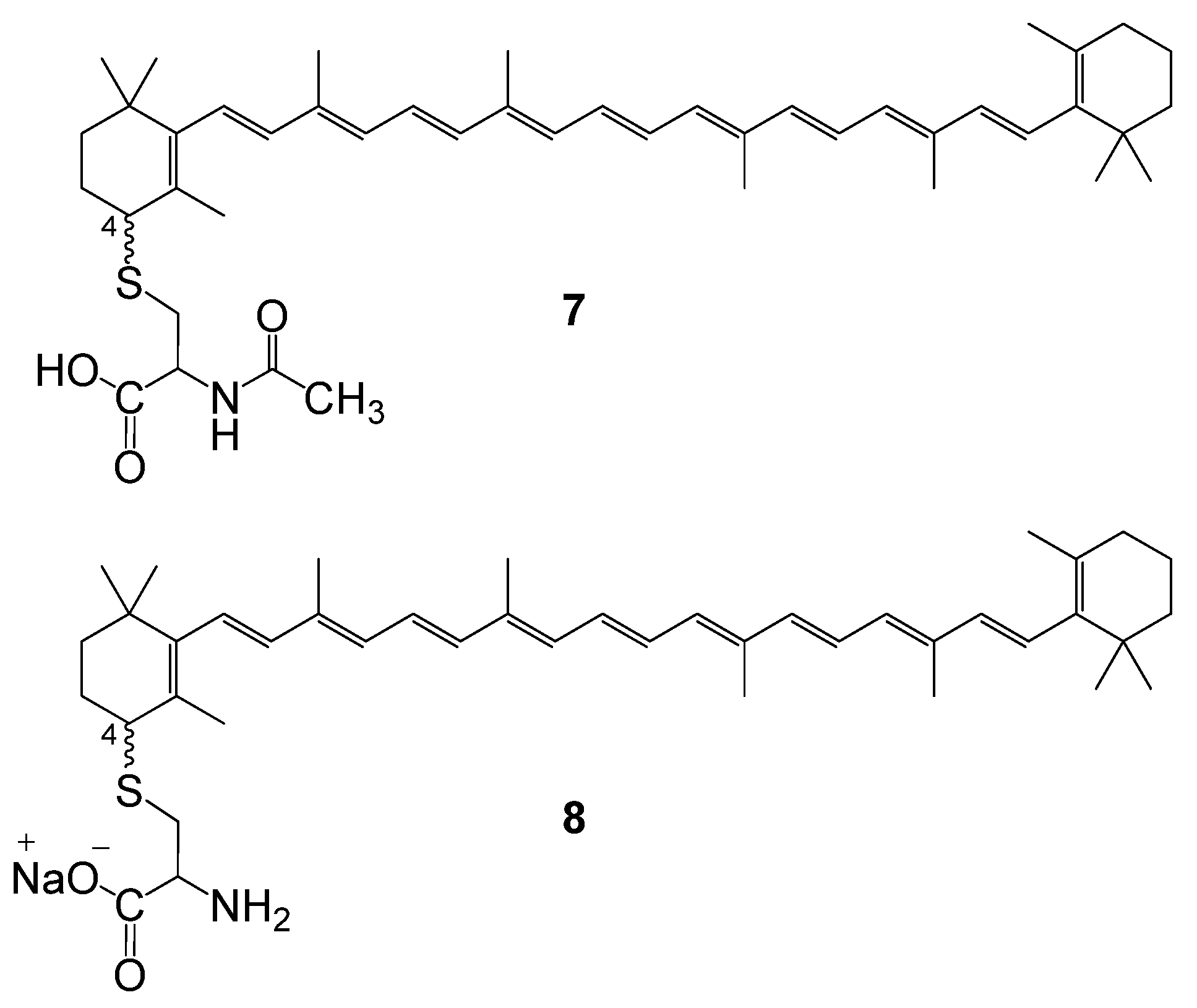
2. Hydrophilic Salts of Carotenoid Esters

3. Complexation with Cyclodextrins
4. Glycosides


5. PEGylated Carotenoids



6. Conclusions
Acknowledgements
References and Notes
- Sliwka, H.R.; Melø, T.B.; Foss, B.J.; Abdel-Hafez, S.H.; Partali, V.; Nadolski, G.; Jackson, H.; Lockwood, S.E. Electron- and energy-transfer properties of hydrophilic carotenoids. Chem. Eur. J. 2007, 13, 4458–4466. [Google Scholar] [CrossRef]
- Cardounel, A.J.; Dumitrescu, C.; Zweier, J.L.; Lockwood, S.F. Direct superoxide anion scavenging by a disodium disuccinate astaxanthin derivative: Relative efficacy of individual stereoisomers versus the statistical mixture of stereoisomers by electron paramagnetic resonance imaging. Biochem. Biophys. Res. Commun. 2003, 307, 704–712. [Google Scholar] [CrossRef]
- Frey, D.A.; Kataisto, E.W.; Ekmanis, J.L.; O’Malley, S.; Lockwood, S.F. The efficient synthesis of disodium disuccinate astaxanthin (Cardax). Org. Process. Res. Dev. 2004, 8, 796–801. [Google Scholar] [CrossRef]
- Gross, G.J.; Lockwood, S.F. Cardioprotection and myocardial salvage by a disodium disuccinate astaxanthin derivative (Cardax (TM)). Life Sci. 2004, 75, 215–224. [Google Scholar] [CrossRef]
- Gross, G.J.; Lockwood, S.F. Acute and chronic administration of disodium disuccinate astaxanthin (Cardax (TM)) produces marked cardioprotection in dog hearts. Mol. Cell Biochem. 2005, 272, 221–227. [Google Scholar] [CrossRef]
- Hix, L.M.; Frey, D.A.; McLaws, M.D.; Osterlie, M.; Lockwood, S.F.; Bertram, J.S. Inhibition of chemically-induced neoplastic transformation by a novel tetrasodium diphosphate astaxanthin derivative. Carcinogenesis 2005, 26, 1634–1641. [Google Scholar] [CrossRef]
- Nadolski, G.; Cardounel, A.J.; Zweier, J.L.; Lockwood, S.F. The synthesis and aqueous superoxide anion scavenging of water-dispersible lutein esters. Bioorg. Med. Chem. Lett. 2006, 16, 775–781. [Google Scholar] [CrossRef]
- Zsila, F.; Nadolski, G.; Lockwood, S.F. Association studies of aggregated aqueous lutein diphosphate with human serum albumin and alpha(1)-acid glycoprotein in vitro: Evidence from circular dichroism and electronic absorption spectroscopy. Bioorg. Med. Chem. Lett. 2006, 16, 3797–3801. [Google Scholar] [CrossRef]
- Jackson, H.L.; Cardounel, A.J.; Zweier, J.L.; Lockwood, S.F. Synthesis, characterization, and direct aqueous superoxide anion scavenging of a highly water-dispersible astaxanthin-amino acid conjugate. Bioorg. Med. Chem. Lett. 2004, 14, 3985–3991. [Google Scholar] [CrossRef]
- Zsila, F.; Fitos, I.; Bikadi, Z.; Simonyi, M.; Jackson, H.L.; Lockwood, S.F. In vitro plasma protein binding and aqueous aggregation behavior of astaxanthin dilysinate tetrahydrochloride. Bioorg. Med. Chem. Lett. 2004, 14, 5357–5366. [Google Scholar] [CrossRef]
- Naess, S.N.; Sliwka, H.R.; Partali, V.; Melo, T.B.; Naqvi, K.R.; Jackson, H.L.; Lockwood, S.F. Hydrophilic carotenoids: Surface properties and aggregation of an astaxanthin-lysine conjugate, a rigid, long-chain, highly unsaturated and highly water-soluble tetracationic bolaamphiphile. Chem. Phys. Lipids 2007, 148, 63–69. [Google Scholar] [CrossRef]
- Popplewell, L.J.; Abu-Dayya, A.; Khanna, T.; Flinterman, M.; Khalique, N.A.; Raju, L.; Opstad, C.L.; Sliwka, H.R.; Partali, V.; Dickson, G.; Pungente, M.D. Novel Cationic Carotenoid Lipids as Delivery Vectors of Antisense Oligonucleotides for Exon Skipping in Duchenne Muscular Dystrophy. Molecules 2012, 17, 1138–1148. [Google Scholar] [CrossRef]
- Pungente, M.D.; Jubeli, E.; Øpstad, C.L.; Al-Kawaz, M.; Barakat, N.; Ibrahim, T.; Khalique, N.A.; Raju, L.; Jones, C.; Leopold, P.L.; et al. Synthesis and Preliminary Investigations of the siRNA Delivery Potential of Novel, Single-Chain Rigid Cationic Carotenoid Lipids. Molecules 2012, 17, 3484–3500. [Google Scholar]
- Foss, B.J.; Nalum Naess, S.; Sliwka, H.R.; Partali, V. Stable and highly water-dispersible, highly unsaturated carotenoid phospholipids - Surface properties and aggregate size. Angew. Chem. Int. Ed. 2003, 42, 5237–5240. [Google Scholar] [CrossRef]
- Foss, B.J.; Sliwka, H.R.; Partali, V.; Naess, S.N.; Elgsaeter, A.; Melo, T.B.; Naqvi, K.R. Hydrophilic carotenoids: Surface properties and aggregation behavior of a highly unsaturated carotenoid lysophospholipid. Chem. Phys. Lipids 2005, 134, 85–96. [Google Scholar] [CrossRef]
- Foss, B.J.; Sliwka, H.R.; Partali, V.; Naess, S.N.; Elgsaeter, A.; Melo, T.B.; Naqvi, K.R.; O’Malley, S.; Lockwood, S.F. Hydrophilic carotenoids: Surface properties and aqueous aggregation of a rigid, long-chain, highly unsaturated dianionic bolaamphiphile with a carotenoid spacer. Chem. Phys. Lipids 2005, 135, 157–167. [Google Scholar] [CrossRef]
- Naess, S.N.; Elgsaeter, A.; Foss, B.J.; Li, B.J.; Sliwka, H.R.; Partali, V.; Melo, T.B.; Naqvi, K.R. Hydrophilic carotenoids: Surface properties and aggregation of crocin as a biosurfactant. Helv. Chim. Acta 2006, 89, 45–53. [Google Scholar] [CrossRef]
- Breukers, S.; Opstad, C.L.; Sliwka, H.R.; Partali, V. Hydrophilic Carotenoids: Surface Properties and Aggregation Behavior of the Potassium Salt of the Highly Unsaturated Diacid Norbixin. Helv. Chim. Acta 2009, 92, 1741–1747. [Google Scholar] [CrossRef]
- Foss, B.J.; Sliwka, H.R.; Partali, V.; Köpsel, C.; Mayer, B.; Martin, H.D.; Zsila, F.; Bikadi, Z.; Simonyi, M. Optically active oligomer units in aggregates of a highly unsaturated, optically inactive carotenoid phospholipid. Chem. Eur. J. 2005, 11, 4103–4108. [Google Scholar] [CrossRef]
- Willibald, J.; Rennebaum, S.; Breukers, S.; Hafez, S.H.A.; Patel, A.; Opstad, C.L.; Schmid, R.; Naess, S.N.; Sliwka, H.R.; Partali, V. Hydrophilic carotenoids: facile syntheses of carotenoid oxime hydrochlorides as long-chain, highly unsaturated cationic (bola)amphiphiles. Chem. Phys. Lipids 2009, 161, 32–37. [Google Scholar] [CrossRef]
- Foss, B.J.; Nadolski, G.; Lockwood, S.F. Hydrophilic carotenoid amphiphiles: Methods of synthesis and biological applications. Mini-Rev. Med. Chem. 2006, 6, 953–969. [Google Scholar] [CrossRef]
- Szente, L.; Mikuni, K.; Hashimoto, H.; Szejtli, J. Stabilization and solubilization of lipophilic natural colorants with cyclodextrins. J. Inclus. Phenom. Mol. 1998, 32, 81–89. [Google Scholar] [CrossRef]
- Pfitzner, I.; Francz, P.I.; Biesalski, H.K. Carotenoid: methyl-beta-cyclodextrin formulations: An improved method for supplementation of cultured cells. Bba-Gen. Subjects 2000, 1474, 163–168. [Google Scholar] [CrossRef]
- Basu, H.N.; Del Vecchio, A. Encapsulated carotenoid preparations from high-carotenoid canola oil and cyclodextrins and their stability. J. Am. Oil Chem. Soc. 2001, 78, 375–380. [Google Scholar] [CrossRef]
- Lancrajan, I.; Diehl, H.A.; Socaciu, C.; Engelke, M.; Zorn-Kruppa, M. Carotenoid incorporation into natural membranes from artificial carriers: liposomes and beta-cyclodextrins. Chem. Phys. Lipids 2001, 112, 1–10. [Google Scholar] [CrossRef]
- Mele, A.; Mendichi, R.; Selva, A.; Molnar, P.; Toth, G. Non-covalent associations of cyclomaltooligosaccharides (cyclodextrins) with carotenoids in water. A study on the alpha- and beta-cyclodextrin/psi,psi-carotene (lycopene) systems by light scattering, ionspray ionization and tandem mass spectrometry. Carbohyd. Res. 2002, 337, 1129–1136. [Google Scholar] [CrossRef]
- Polyakov, N.E.; Leshina, T.V.; Konovalova, T.A.; Hand, E.O.; Kispert, L.D. Inclusion complexes of carotenoids with cyclodextrins: H-1 NMR, EPR, and optical studies. Free Radical. Biol. Med. 2004, 36, 872–880. [Google Scholar] [CrossRef]
- Bikadi, Z.; Kurdi, R.; Balogh, S.; Szeman, J.; Hazai, E. Aggregation of cyclodextrins as an important factor to determine their complexation behavior. Chem. Biodivers. 2006, 3, 1266–1278. [Google Scholar] [CrossRef]
- Lyng, S.M.; Passos, M.; Fontana, J.D. Bixin and alpha-cyclodextrin inclusion complex and stability tests. Process. Biochem. 2005, 40, 865–872. [Google Scholar] [CrossRef]
- Lockwood, S.F.; O’Malley, S.; Mosher, G.L. Improved aqueous solubility of crystalline astaxanthin (3,3'-dihydroxy-beta,beta-carotene-4,4'-dione) by Captisol (R) (sulfobutyl ether beta-cyclodextrin). J. Pharm. Sci. 2003, 92, 922–926. [Google Scholar] [CrossRef]
- Cheeveewattanagul, N.; Jirasripongpun, K.; Jirakanjanakit, N.; Wattanakaroon, W. Carrier Design for Astaxanthin Delivery. Adv. Mat. Res. 2010, 93–94, 202–205. [Google Scholar] [CrossRef]
- Deli, J.; Agocs, A.; Iványi, R.; Németh, K.; Visy, J.; Szemán, J.; Szente, L.; Simonyi, M. Preparation and characterization of water soluble carotenoid/cyclodextrin complexes. Carotenoid Sci. 2008, 12, 201. [Google Scholar]
- Horvath, G.; Szoke, E.; Kemeny, A.; Bagoly, T.; Deli, J.; Szente, L.; Pal, S.; Sandor, K.; Szolcsanyi, J.; Helyes, Z. Lutein Inhibits the Function of the Transient Receptor Potential A1 Ion Channel in Different In Vitro and In Vivo Models. J. Mol. Neurosci. 2012, 46, 1–9. [Google Scholar] [CrossRef]
- Yokoyama, A.; Sandmann, G.; Hoshino, T.; Adachi, K.; Sakai, M.; Shizuri, Y. Thermozeaxanthins, New Carotenoid-Glycoside-Esters from Thermophilic Eubacterium Thermus-Thermophilus. Tetrahedron Lett. 1995, 36, 4901–4904. [Google Scholar]
- Pfander, H. Carotenoid Glycosides. Pure Appl. Chem. 1976, 47, 121–128. [Google Scholar] [CrossRef]
- Pfander, H. Synthesis of Carotenoid Glycosylesters and Other Carotenoids. Pure Appl. Chem. 1979, 51, 565–580. [Google Scholar] [CrossRef]
- Yamano, Y.; Sakai, Y.; Hara, M.; Ito, M. Carotenoids and related polyenes. Part 9. Total synthesis of thermozeaxanthin and thermocryptoxanthin and the stabilizing effect of thermozeaxanthin on liposomes. J. Chem. Soc. Perk. Trans. 1 2002, 2006–2013. [Google Scholar]
- Yamano, Y.; Sakai, Y.; Yamashita, S.; Ito, M. Synthesis of zeaxanthin- and cryptoxanthin-beta-D-glucopyranosides. Heterocycles 2000, 52, 141–146. [Google Scholar] [CrossRef]
- Yokoyama, A.; Shizuri, Y.; Misawa, N. Production of new carotenoids, astaxanthin glucosides, by Escherichia coli transformants carrying carotenoid biosynthetic genes. Tetrahedron Lett. 1998, 39, 3709–3712. [Google Scholar] [CrossRef]
- Nagy, V.; Agocs, A.; Turcsi, E.; Deli, J. Experiments on the synthesis of carotenoid glycosides. Tetrahedron Lett. 2010, 51, 2020–2022. [Google Scholar] [CrossRef]
- Zand, A.; Agocs, A.; Deli, J.; Nagy, V. Synthesis of carotenoid-cysteine conjugates. Acta Biochim. Pol. 2012, 59, 149–150. [Google Scholar]
- Khandare, J.; Minko, T. Polymer-drug conjugates: Progress in polymeric prodrugs. Prog. Polym. Sci. 2006, 31, 359–397. [Google Scholar] [CrossRef]
- Kodera, Y.; Matsushima, A.; Hiroto, M.; Nishimura, H.; Ishii, A.; Ueno, T.; Inada, Y. Pegylation of proteins and bioactive substances for medical and technical applications. Prog. Polym. Sci. 1998, 23, 1233–1271. [Google Scholar] [CrossRef]
- Martin, A.; Mattea, F.; Gutierrez, L.; Miguel, F.; Cocero, M.J. Co-precipitation of carotenoids and bio-polymers with the supercritical anti-solvent process. J. Supercrit. Fluid 2007, 41, 138–147. [Google Scholar] [CrossRef]
- Hada, M.; Nagy, V.; Takatsy, A.; Deli, J.; Agocs, A. Dicarotenoid esters of bivalent acids. Tetrahedron Lett. 2008, 49, 3524–3526. [Google Scholar] [CrossRef]
- Hada, M.; Petrovics, D.; Nagy, V.; Boddi, K.; Deli, J.; Agocs, A. The first synthesis of PEG-carotenoid conjugates. Tetrahedron Lett. 2011, 52, 3195–3197. [Google Scholar] [CrossRef]
- Hada, M.; Nagy, V.; Gulyas-Fekete, G.; Deli, J.; Agocs, A. Towards Carotenoid Dendrimers: Carotenoid Diesters and Triesters with Aromatic Cores. Helv. Chim. Acta 2010, 93, 1149–1155. [Google Scholar] [CrossRef]
- Hada, M.; Nagy, V.; Takatsy, A.; Deli, J.; Hait, J.; Agocs, A. Introduction of click chemistry to carotenoids. Tetrahedron Lett. 2012, 53, 2480–2482. [Google Scholar] [CrossRef]
- Sample Availability: Samples of the compounds 5-24 are available from the authors.
© 2012 by the authors; licensee MDPI, Basel, Switzerland. This article is an open-access article distributed under the terms and conditions of the Creative Commons Attribution license (http://creativecommons.org/licenses/by/3.0/).
Share and Cite
Háda, M.; Nagy, V.; Deli, J.; Agócs, A. Hydrophilic Carotenoids: Recent Progress. Molecules 2012, 17, 5003-5012. https://doi.org/10.3390/molecules17055003
Háda M, Nagy V, Deli J, Agócs A. Hydrophilic Carotenoids: Recent Progress. Molecules. 2012; 17(5):5003-5012. https://doi.org/10.3390/molecules17055003
Chicago/Turabian StyleHáda, Magdolna, Veronika Nagy, József Deli, and Attila Agócs. 2012. "Hydrophilic Carotenoids: Recent Progress" Molecules 17, no. 5: 5003-5012. https://doi.org/10.3390/molecules17055003
APA StyleHáda, M., Nagy, V., Deli, J., & Agócs, A. (2012). Hydrophilic Carotenoids: Recent Progress. Molecules, 17(5), 5003-5012. https://doi.org/10.3390/molecules17055003
