Abstract
A three step synthesis of various thiobarbiturate derivatives 17–24 was established. The first step is mediated by Mn(OAc)3, in order to generate a carbon-carbon bond between a terminal alkene and malonate. Derivatives 1–8 were obtained in moderate to good yields under mild conditions. This key step allows synthesis of a wide variety of lipophilic thiobarbiturates, which could be tested for their anticonvulsive or anesthesic potential.
1. Introduction
Manganese(III) acetate has been extensively explored during the past decades, and it remains an useful tool for carbon-carbon bond formation [1,2]. Its specificity to carbonyl derivatives allows a wide variety of radical synthetic applications, as studied on acetoacetate [3], β-ketoesters [4], β-ketonitriles [5,6] and β-ketosulfones [7,8,9]. Malonate derivatives, key-step substrates for barbiturates synthesis [10,11], are also useful substrates for manganese(III) acetate-mediated reactions [12,13]. In continuation of our research program centered on the design and synthesis of original molecules with pharmacological properties [14,15,16,17,18], we propose herein a manganese(III) acetate-mediated multistep synthesis of new original barbiturates.
Barbiturate derivatives are a well-known pharmacological class with anticonvulsive, sedative and anesthetic properties [19]. Original barbiturates were also recently reported as matrix metalloproteinase inhibitors with potent pharmacological applications against focal cerebral ischemia after acute stroke [20] and cancer cells invasiveness inhibitors [21]. Barbiturate derivatives also show antitubercular [22], PPAR-γ agonist [23,24,25] and protein kinase C inhibitor [26] activities.
The lipophilicity of barbiturates is an important parameter which enhances anesthetic onset [27]. It can be improved by replacing oxygen by a sulfur [28], as seen with the very short acting barbiturate thiopenthal. Substituents on the carbons of the barbituric acid scaffold also have a great influence on the pharmacological activity [27,29]. Our methodology allows synthesis of a wide variety of substituted barbiturates, which could be tested for their anticonvulsive or anesthetic potentialities.
2. Results and Discussion
Starting from malonate barbiturate precursors, reproducible methodology for synthesis of various and highly functionalized derivatives was established. As reported in previously described mechanisms [30], Mn(OAc)3 and malonates in acetic acid form a Mn3+-enolate complex. Mn3+ is reduced in Mn2+, generating a carbon centered radical between carbonyl groups. This radical reacts with terminal alkene, generating a carbon-carbon bond.
Depending on the malonate substituent, several reactions may occur and in order to investigate a larger variety of barbiturate synthesis possibilities, we have studied three of them. Results are reported in Scheme 1.
Scheme 1.
Mn(OAc)3 reactivity towards various malonate derivatives.
Scheme 1.
Mn(OAc)3 reactivity towards various malonate derivatives.

As reported by Citterio and coworkers [31,32,33], benzylmalonate allowed synthesis of two derivatives: Tetralines 1,3 from radical aromatic substitution, and elimination products 2,4. We have previously reported different methods for optimizing yields of these two products [34]. For conditions favoring spirocyclic tetralin 1,3 formation, we divided up the Mn(OAc)3 to ensure moderate oxidizing conditions (method A). Tetralins 1,3 were obtained as the major compound (49–52%) and alkenes 2,4 were observed as secondary products (10–11%). Stronger oxidative conditions [Cu(OAc)2 + Mn(OAc)3, method B] afforded an increase in elimination products 2,4 (31–36%), while these conditions drastically decreased yields of tetralines 1,3 (11–17%).
With methyl malonate, only elimination products 5–6 were obtained with moderate yields (46–47%). With allyl malonate, cyclization generates a cyclopentane ring [35], and annulation products 7–8 were synthesized (26–68%). These three different reactivities depend on the malonate substituents, and allow access to a wide variety of substituted substrates for barbiturate synthesis.
C-Functionalized malonates 1–8 thus obtained reacted with thiourea [36], forming thiobarbituric scaffolds 9–16 in moderate to good yields (46–90%). Results are summarized in Scheme 2 and Table 1.
Scheme 2.
Thiobarbituric acid synthesis from malonates 1–8.
Scheme 2.
Thiobarbituric acid synthesis from malonates 1–8.

Table 1.
Thiobarbituric acids 9–16 synthesis from malonates 1–8.
| Entry | R1,R2 (malonate) | Product | Yields |
|---|---|---|---|
| 1 | ![]() | ![]() | 53% |
| 2 | ![]() | ![]() | 46% |
| 3 | ![]() | ![]() | 64% |
| 4 | ![]() | ![]() | 88% |
| 5 | ![]() | ![]() | 75% |
| 6 | ![]() | ![]() | 90% |
| 7 | ![]() | ![]() | 70% |
| 8 | ![]() | ![]() | 54% |
Finally, in order to synthesize intravenous administrable thiobarbiturates, each thiobarbituric acid was turned into the corresponding salt with potassium hydroxide in isopropanol [37], as reported in Scheme 3.
Scheme 3.
Thiobarbituric acid to thiobarbiturate salt formation.
Scheme 3.
Thiobarbituric acid to thiobarbiturate salt formation.

3. Experimental
3.1. General
Microwave-assisted reactions were performed in a multimode microwave oven (ETHOS Synth Lab Station, Ethos start, Milestone Inc., Shelton, CT, USA). Melting points were determined with a B-540 Büchi melting point apparatus. 1H-NMR (200 MHz) and 13C-NMR (50 MHz) spectra were recorded on a Bruker ARX 200 spectrometer in CDCl3 or D2O at the Service interuniversitaire de RMN de la Faculté de Pharmacie de Marseille. The 1H-NMR chemical shifts are reported as parts per million downfield from tetramethylsilane (Me4Si), and the 13C-NMR chemical shifts were referenced to the solvent peaks: CDCl3 (76.9 ppm) or DMSO-d6 (39.6 ppm). Absorptions are reported with the following notations: s, singlet; bs, broad singlet; d, doublet; t, triplet; q, quartet; m, a more complex multiplet or overlapping multiplets. Elemental analysis and mass spectra which were run on an API-QqToF mass spectrometer were carried out at the Spectropole de la Faculté des Sciences Saint-Jérôme site. Silica gel 60 (Merck, particle size 0.040–0.063 nm, 70–230 mesh ASTM) was used for flash column chromatography. TLC were performed on 5 cm × 10 cm aluminium plates coated with silica gel 60 F-254 (Merck, Gernsteim, Germany) in an appropriate solvent.
3.2. General Procedure for the Synthesis of Substituted Malonates 1–8
Method A: A solution of manganese(III) acetate dihydrate (1.68 mmol, 0.45 g) in glacial acetic acid (55 mL) was heated under microwave irradiation (200 W, 80 °C) for 15 min, until dissolution. Then, the reaction mixture was cooled down to 60 °C, and a solution of malonate (3.99 mmol, 1 equiv.) and alkene (11.97 mmol, 3 equiv.) in glacial acetic acid (5 mL) was added. The mixture was heated under microwave irradiation (200 W, 80 °C) for 20 min. Then, the reaction mixture was cooled down to 60 °C once more, and a second portion of manganese(III) acetate dihydrate (1.68 mmol, 0.45 g) was added. The mixture was heated under microwave irradiation (200 W, 80 °C) for 20 min. The addition of manganese(III) acetate dihydrate (1.68 mmol, 0.45 g) was repeated three times under the same conditions every 20 min. successively. The reaction mixture was poured into cold water (100 mL), and extracted with chloroform (3 × 70 mL). The organic extracts were collected, washed with saturated aqueous NaHCO3 (3 × 50 mL) and brine (3 × 50 mL), dried over MgSO4, filtrated, and concentrated under vacuum. The crude product was purified by silica gel chromatography with ethyl acetate/petroleum ether (0.5/9.5) to give corresponding compounds 1–4.
Method B: A solution of manganese(III) acetate dihydrate (8.38 mmol, 2.24 g, 2.1 equiv.) and copper(II) acetate monohydrate (3.99 mmol, 0.80 g, 1 equiv.) in glacial acetic acid (55 mL) was heated under microwave irradiation (200 W, 80 °C) for 15 min, until dissolution. Then, the reaction mixture was cooled down to 60 °C, and a solution of malonate (3.99 mmol, 1 equiv.) and alkene (7.98 mmol, 3 equiv.) in glacial acetic acid (5 mL) was added. The mixture was heated under microwave irradiation (200 W, 80 °C) for 60 min. The reaction mixture was poured into cold water (100 mL), and extracted with chloroform (3 × 70 mL). The organic extracts were collected, washed with saturated aqueous NaHCO3 (3 × 50 mL) and brine (3 × 50 mL), dried over MgSO4, filtrated, and concentrated under vacuum. The crude product was purified by silica gel chromatography with ethyl acetate/petroleum ether (0.5/9.5) to give corresponding compounds 1–8.
Diethyl 4,4-diethyl-3,4-dihydronaphthalene-2,2(1H)-dicarboxylate (1). Colorless oil; yields: 49% (method A), 11% (method B); 1H-NMR (CDCl3) δH 0.77 (t, J = 7.3, 6H, 2CH3), 1.22 (t, J = 7.2, 6H, 2CH3), 1.52–1.68 (m, 4H, 2CH2), 2.32 (s, 2H, CH2), 3.17 (s, 2H, CH2), 4.08–4.21 (m, 4H, 2CH2), 7.10–7.18 (m, 4H, 4CH). 13C-NMR (CDCl3) δC 8.3 (2CH3), 13.8 (2CH3), 33.1 (CH2), 33.3 (2CH2), 35.4 (CH2), 40.2 (C), 52.5 (C), 61.2 (2CH2), 125.5 (CH), 126.2 (CH), 126.5 (CH), 128.6 (CH), 134.2 (C), 141.5 (C), 172.9 (2C). HMRS (ESI): m/z calcd for C20H28O4[M+H+]: 333.2060. Found: 333.2061.
Diethyl 2-benzyl-2-(2-ethylbut-2-enyl)malonate (2a/2b) (50:50 inseparable mixture of Z/E isomers). Colorless oil; yields: 10% (method A), 36% (method B); 1H-NMR (CDCl3) δH 0.89–0.99 (m, 3H, CH3), 1.12–1.22 (m, 6H, 2CH3), 1.54–1.64 (m, 3H, CH3), 1.93–2.04 (m, 2H, CH2), 2.63 and 2.80 (s, 2H, CH2), 3.24 and 3.26 (s, 2H, CH2), 4.03–4.15 (m, 4H, 2CH2), 5.26–5.42 (m, 1H, CH), 7.11–7.36 (m, 5H, 5CH). 13C-NMR (CDCl3) δC 12.7 (CH3), 12.8 and 13.2 (CH3), 13.8 and 13.9 (2CH3), 23.3 and 29.6 (CH2), 33.5 and 40.6 (CH2), 39.1 and 39.2 (CH2), 58.9 and 59.0 (C), 61.1 (2CH2), 122.2 and 123.0 (CH), 126.7 (CH), 128.0 (2CH), 130.1 (2CH), 130.2 (C), 136.8 and 137.3 (C), 171.5 and 171.6 (2C). HMRS (ESI): m/z calcd for C20H28O4 [M+H+]: 333.2060. Found: 333.2063.
Diethyl 2'H-spiro[cyclohexane-1,1'-naphtalene]-3',3'(4'H)-dicarboxylate (3). [34] Colorless oil; yields: 52% (method A), 17% (method B); 1H-NMR (CDCl3) δH 1.22 (t, J = 7.1, 6H, 2CH3), 1.47–1.80 (m, 10H, 5CH2), 2.46 (s, 2H, CH2), 3.19 (s, 2H, CH2), 4.14 (q, J = 7.1, 2H, CH2), 4.15 (q, J = 7.1, 2H, CH2), 7.10–7.23 (m, 3H, 3CH), 7.35–7.39 (m, 1H, 1CH). 13C-NMR (CDCl3) δC 13.9 (2CH3), 21.9 (2CH2), 25.9 (CH2), 34.9 (CH2), 35.6 (CH2), 36.8 (C), 39.6 (2CH2), 52.4 (C), 61.26 (2CH2), 125.8 (CH), 126.1 (CH), 126.5 (CH), 128.7 (CH), 133.4 (C), 144.0 (C), 171.8 (2C). Anal. Calcd for C21H28O4: C, 73.23; H, 8.19. Found: C, 73.40; H, 8.50.
Diethyl 2-benzyl-2-(cyclohexenylmethyl)malonate (4). [34] Colorless oil; yields: 11% (method A), 31% (method B); 1H-NMR (CDCl3) δH 1.20 (t, J = 7.1, 6H, 2CH3), 1.55–1.59 (m, 4H, 2CH2), 1.90–2.00 (m, 4H, 2CH2), 2.58 (s, 2H, CH2), 3.26 (s, 2H, CH2), 4.12 (q, J = 7.1, 4H, 2CH2), 5.52 (s, 1H, 1CH), 7.11–7.24 (m, 5H, 5CH). 13C-NMR (CDCl3) δC 13.9 (2CH3), 22.1 (CH2), 23.0 (CH2), 25.5 (CH2), 29.2 (CH2), 39.0 (CH2), 41.4 (CH2), 58.7 (C), 61.0 (2CH2), 126.4 (CH), 126.7 (CH), 128.0 (2CH), 130.1 (2CH), 133.1 (C), 136.7 (C), 171.4 (2C). Anal. Calcd for C21H28O4: C, 73.23; H, 8.19. Found: C, 72.95; H, 8.35.
Diethyl 2-(2-ethylbut-2-enyl)-2-methylmalonate (5a/5b) (50:50 inseparable mixture of Z/E isomers). Colorless oil; yields: 47% (method B); 1H-NMR (CDCl3) δH 0.81–0.93 (m, 3H, CH3), 1.14–1.21 (m, 6H, 2CH3), 1.27 (s, 3H, CH3), 1.48–1.53 (m, 3H, CH3), 1.65–1.96 (m, 2H, CH2), 2.57 and 2.71 (s, 2H, CH2), 4.04–4.15 (m; 4H, 2CH2), 5.13 and 5.34 (m, 1H, 1CH). 13C-NMR (CDCl3) δC 12.4 (CH3), 12.6 and 12.9 (CH3), 13.7 and 13.8 (CH3), 19.2 and 19.7 (CH3), 22.9 and 29.7 (CH2), 33.6 and 40.8 (CH2), 53.2 and 53.4 (C), 60.9 and 61.0 (2CH2), 122.4 and 123.4 (CH), 136.6 and 136.8 (C), 172.3 and 172.5 (2C). HMRS (ESI): m/z calcd for C14H24O4 [M+H+]: 257.1747. Found: 257.1743.
Diethyl 2-(cyclohexenylmethyl)-2-methylmalonate (6). Colorless oil; yields: 46% (method B); 1H-NMR (CDCl3) δH 1.23 (t, J = 7.1 Hz, 6H, 2CH3), 1.34 (s, 3H, CH3), 1.44–1.58 (m, 4H, 2CH2), 1.73–2.03 (m, 4H, 2CH2), 2.58 (s, 2H, CH2), 4.15 (q, J = 7.1, 2CH2), 5.43 (s, 1H, 1CH). 13C-NMR (CDCl3) δC 14.0 (2CH3), 19.9 (CH3), 22.0 (CH2), 22.9 (CH2), 25.4 (CH2), 29.2 (CH2), 43.7 (CH2), 53.3 (C), 61.1 (2CH2), 126.6 (CH), 132.9 (C), 172.6 (2C). HMRS (ESI): m/z calcd for C15H24O4 [M+H+]: 269.1747. Found: 269.1754.
Diethyl 3,3-diethyl-4-methylenecyclopentane-1,1-dicarboxylate (7). Colorless oil; yields: 26% (method B); 1H-NMR (CDCl3) δH 0.79 (t, J = 7.3, 6H, 2CH3), 1.24 (t, J = 7.1, 6H, 2CH3), 1.33–1.41 (m, 4H, 2CH2), 2.29 (s, 2H, CH2), 2.98–3.00 (m, 2H, CH2), 4.17 (q, J = 7.1, 4H, 2CH2), 4.65 (bs, 1H, CH), 4.95 (bs, 1H, CH). 13C-NMR (CDCl3) δC 8.6 (2CH3), 14.0 (2CH3), 29.9 (2CH2), 41.8 (CH2), 43.3 (CH2), 48.5 (C), 57.3 (C), 61.4 (2CH2), 106.0 (CH2), 154.8 (C), 172.3 (2C). HMRS (ESI): m/z calcd for C16H26O4 [M+H+]: 283.1904. Found: 283.1906.
Diethyl 4-methylenespiro[4.5]decane-2,2-dicarboxylate (8). Colorless oil; yields: 68% (method B); 1H-NMR (CDCl3) δH 1.22 (t, J = 7.2, 6H, 2CH3), 1.33–1.66 (m, 10H, 5CH2), 2.33 (s, 2H, CH2), 3.01 (bs, 2H, CH2), 4.15 (q, J = 7.1, 4H, 2CH2), 4.77 (bs, 1H, CH), 4.87 (bs, 1H, CH). 13C-NMR (CDCl3) δC 13.9 (2CH3), 23.2 (2CH2), 25.8 (CH2), 38.0 (2CH2), 40.8 (CH2), 42.6 (CH2), 45.6 (C), 57.9 (C), 61.4 (2CH2), 104.6 (CH2), 158.4 (C), 172.1 (2C). HMRS (ESI): m/z calcd for C17H26O4[M+H+]: 295.1904. Found: 295.1903.
3.3. General Procedure for the Synthesis of Thiobarbituric Acids 9–16
Thiourea (1.25 g, 16.38 mmol, 6 equiv.) was added to a solution of malonate 1–8 (2.73 mmol, 1 equiv.) in dry DMSO (3 mL). Then, a solution 1M of potassium tert-butoxide (0.67 g, 6.0 mmol, 2.2 equiv.) was added dropwise. The solution was stirred for 4 h under inert atmosphere and at rt (starting from malonates 1, 3, 7, 8) or at 50 °C (starting from malonates 2, 4, 5, 6). The solution was diluted with ethyl acetate (15 mL) and washed with a solution of 1 N hydrochloric acid. The layers were separated and the aqueous phase was extracted with ethyl acetate. The collected organic phase was washed with brine, dried over anhydrous Na2SO4, filtered and the solvent was removed in vacuo. The residue was purified with column chromatography (CH2Cl2/petroleum ether, 8:2), affording the corresponding thiobarbituric acids 9–16.
4,4-Diethyl-2'-thioxo-3,4-dihydro-1H,2'H-spiro[naphthalene-2,5'-pyrimidine]-4',6'(1'H,3'H)-dione (9). White solid; m.p. 151 °C (cyclohexane); yields: 53% 1H-NMR (CDCl3) δH 0.76 (t, J = 7.4, 6H, 2CH3), 1.67–1.80 (m, 4H, 2CH2), 2.23 (s, 2H, CH2), 3.28 (s, 2H, CH2), 7.12–7.36 (m, 4H, 4CH), 8.99 (bs, 2H). 13C-NMR (CDCl3) δC 8.4 (2CH3), 31.5 (2CH2), 34.3 (CH2), 38.2 (CH2), 52.2 (C), 53.4 (C), 126.0 (CH), 126.2 (CH), 126.8 (CH), 128.5 (CH), 132.4 (C), 140.9 (C), 170.4 (2C), 176.0 (C). HMRS (ESI): m/z calcd for C17H20N2O2S [M+H+]: 317.1318. Found: 317.1317.
5-Benzyl-5-(2-ethylbut-2-enyl)-2-thioxo-dihydropyrimidine-4,6(1H,5H)-dione (10a/10b) (50:50 inseparable mixture of Z/E isomers). White solid; m.p. 182 °C (cyclohexane); yields: 46% 1H-NMR (CDCl3) δH 0.90–0.99 (m, 3H, CH3), 1.53–1.66 (m, 3H, CH3), 1.85–2.02 (m, 2H, CH2), 2.87 and 3.00 (s, 2H, CH2), 3.30 and 3.38 (s, 2H, CH2), 5.19–5.30 and 5.41–5.52 (m, 1H, CH), 7.07–7.24 (m, 5H, 5CH), 8.84 (bs, 2H). 13C-NMR (CDCl3) δC 12.6 and 13.0 (CH3), 13.4 and 13.7 (CH3), 23.4 and 29.9 (CH2), 39.1 and 44.9 (CH2), 45.0 and 45.2 (CH2), 58.0 and 59.0 (C), 124.6 and 124.8 (CH), 127.9 (CH), 128.9 (2CH), 129.5 and 129.6 (2CH), 134.2 and 134.3 (C), 134.7 and 135.7 (C), 169.6 (2C), 175.3 (C). m/z calcd for C17H20N2O2S [M+H+]: 317.1318. Found: 317.1323.
2"-Thioxo-2"H,4'H-dispiro[cyclohexane-1,1'-naphtalene-3',5"-pyrimidine]-4",6"(1"H,3"H)-dione (11). White solid; m.p. 200–202 °C (ethyl alcohol); yields: 64% 1H-NMR (CDCl3) δH 1.49–1.84 (m, 10H, 5CH2), 2.35 (s, 2H, CH2), 3.31 (s, 2H, CH2), 7.12–7.41 (m, 4H, 4CH), 9.33 (bs, 2H, 2NH). 13C-NMR (CDCl3) δC 22.0 (2CH2), 25.7 (CH2), 33.6 (CH2), 37.8 (C), 38.1 (2CH2), 38.3 (CH2), 52.2 (C), 125.1 (CH), 126.1 (CH), 127.2 (CH), 128.5 (CH), 132.1 (C), 143.8 (C), 170.2 (2C), 176.0 (C). HMRS (ESI): m/z calcd for C18H20N2O2S [M+H+]: 329.1318. Found: 329.1317.
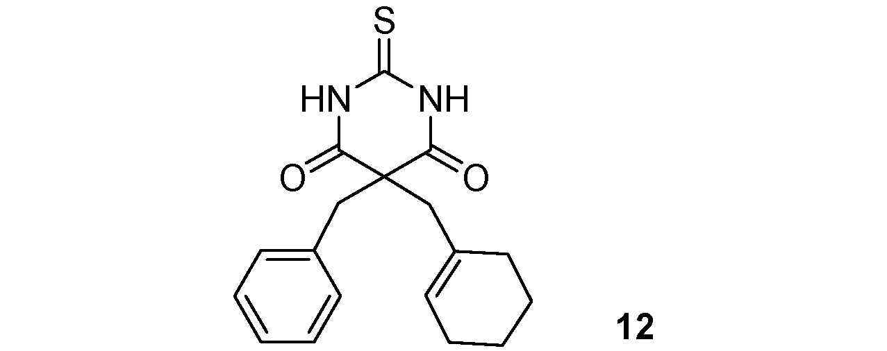
5-Benzyl-5-(cyclohexenylmethyl)-2-thioxo-dihydropyrimidine-4,6(1H,5H)-dione (12). Colorless oil; yields: 88% 1H-NMR (CDCl3) δH 1.35–2.04 (m, 8H, 4CH2), 2.82 (s, 2H, CH2), 3.31 (s, 2H, CH2), 5.50 (s, 1H, 1CH), 7.13–7.26 (m, 5H, 5CH), 8.98 (bs, 2H, 2NH). 13C-NMR (CDCl3) δC 21.9 (CH2), 22.8 (CH2), 23.6 (CH2), 29.8 (CH2), 44.5 (CH2), 47.6 (CH2), 58.9 (C), 127.7 (CH), 127.8 (CH), 128.8 (2CH), 129.5 (2CH), 131.5 (C), 134.3 (C), 169.7 (2C), 175.4 (C). HMRS (ESI): m/z calcd for C18H20N2O2S [M+NH4+]: 346.1584. Found: 346.1579.
5-(2-Ethylbut-2-enyl)-5-methyl-2-thioxo-dihydropyrimidine-4,6(1H,5H)-dione (13a/13b) (50:50 inseparable mixture of Z/E isomers). Colorless oil; yields: 75% 1H-NMR (CDCl3) δH 0.87–0.97 (m, 3H, CH3), 1.54–1.61 (m, 3H, CH3), 1.57 (s, 3H, CH3), 1.80–2.01 (m, 2H, CH2), 2.70 and 2.82 (s, 2H, CH2), 5.18 and 5.47 (m, 1H, CH), 9.05 (bs, 2H, 2NH). 13C-NMR (CDCl3) δC 12.6 and 13.0 (CH3), 13.3 and 13.9 (CH3), 23.1 and 23.3 (CH3), 23.5 and 29.9 (CH2), 40.4 and 46.2 (CH2), 51.0 and 51.9 (C), 124.5 and 125.0 (CH), 134.8 and 135.9 (C), 170.5 and 170.6 (2C), 176.0 (C). Anal. Calcd for C11H16N2O2S: C, 54.98; H, 6.71; N, 11.66. Found: C, 55.15; H, 6.86; N, 11.63.
5-(Cyclohexenylmethyl)-5-methyl-2-thioxo-dihydropyrimidine-4,6(1H,5H)-dione (14). White solid; m.p. 160–164 °C (ethyl alcohol); yields: 90% 1H-NMR (CDCl3) δH 1.37–1.52 (m, 4H, 2CH2), 1.57 (s, 3H, CH3), 1.76–1.98 (m, 4H, 2CH2), 2.65 (s, 2H, CH2), 5.44 (s, 1H, 1CH), 9.61 (bs, 2H, 2NH). 13C-NMR (CDCl3) δC 21.8 (CH2), 22.8 (CH2), 23.0 (CH3), 25.4 (CH2), 29.7 (CH2), 48.5 (CH2), 51.8 (C), 127.5 (CH), 131.6 (C), 170.9 (2C), 176.2 (C). HMRS (ESI): m/z calcd for C12H16N2O2S [M+H+]: 253.1005. Found: 253.1007.
2,2-Diethyl-3-methylene-8-thioxo-7,9-diazaspiro[4.5]decane-6,10-dione (15). White solid; m.p. 194–196 °C (cyclohexane); yields: 70% 1H-NMR (CDCl3) δH 0.83 (t, J = 7.4, 6H, 2CH3), 1.43–1.70 (m, 4H, 2CH2), 2.27 (s, 2H, CH2), 3.03 (bs, 2H, CH2), 4.77 (bs, 1H, CH), 5.01 (bs, 1H, CH), 8.96 (bs, 2H, 2NH). 13C-NMR (CDCl3) δC 8.7 (2CH3), 29.0 (2CH2), 44.4 (CH2), 47.2 (CH2), 49.9 (C), 54.3 (C), 107.4 (CH2), 153.4 (C), 170.7 (2C), 176.1 (C). HMRS (ESI): m/z calcd for C13H18N2O2S [M+NH4+]: 284.1427. Found: 284.1434.
14-Methylene-3-thioxo-2,4-diazadispiro[5.1.5.2]pentadecane-1,5-dione (16). White solid; m.p. 177 °C (isopropanol); yields: 54% 1H-NMR (CDCl3) δH 1.22–1.47 (m, 6H, 2CH3), 1.66–1.77 (m, 4H, 2CH2), 2.33 (s, 2H, CH2), 3.06 (s, 2H, CH2), 4.89–4.93 (m, 2H, CH2), 9.09 (bs, 2H, 2NH). 13C-NMR (CDCl3) δC 23.2 (2CH2), 25.7 (CH2), 37.5 (2CH2), 44.0 (CH2), 45.2 (CH2), 46.8 (C), 55.0 (C), 105.4 (CH2), 157.4 (C), 170.7 (2C), 176.2 (C). HMRS (ESI): m/z calcd for C14H18N2O2S [M+NH4+]: 296.1427. Found: 296.1422.
3.4. General Procedure for Salification of Barbituric Acids to Barbiturate Potassium Salts 17–24
A suspension of potassium hydroxide (0.02 g, 0.36 mmol, 1 equiv.) in isopropanol (5 mL) was stirred under inert atmosphere. The corresponding barbituric acid 9–16 (0.36 mmol, 1 equiv.) was added, and reaction was monitored by TLC until the barbituric acid disappeared. Isopropanol was removed in vacuo, and corresponding barbiturates 17–24 were obtained without further purification.
Potassium 4,4-diethyl-4',6'-dioxo-1',3,4,6'-tetrahydro-1H,4'H-spiro[naphthalene-2,5'-pyrimidine]-2'-thiolate (17). White solid; m.p. 161–163 °C (isopropanol); yields: 77%; 1H-NMR (D2O) δH 0.72 (s, 3H, CH3), 0.99 (s, 3H, CH3), 1.42–1.79 (m, 4H, 2CH2), 2.38 (d, J = 15.4, 1H, CH2), 2.53 (d, J = 15.4, 1H, CH2), 3.13 (d, J = 16.4, 1H, CH2), 3.40 (d, J = 16.4, 1H, CH2), 7.35–7.41 (m, 4H, 4CH). 13C-NMR (D2O) δC 8.4 (CH3), 8.5 (CH3), 32.9 (CH2), 35.1 (CH2), 35.2 (CH2), 35.8 (CH2), 41.2 (C), 57.2 (C), 126.5 (CH), 127.0 (CH), 127.9 (CH), 129.1 (CH), 136.2 (C), 142.8 (C), 177.0 (2C), 178.9 (C). HMRS (ESI): m/z calcd for C17H19N2O2S− M: 315.1173. Found: 315.1183.
Potassium 5-benzyl-5-[2-ethylbut-2-en-1-yl]-4,6-thioxo-1,4,5,6-tetrahydropyrimidine-2-thiolate (18a/ 18b) (50:50 inseparable mixture of Z/E isomers). White solid; m.p. 142–144 °C (isopropanol); yields: 78%; 1H-NMR (D2O) δH 0.98–1.05 (m, 3H, CH3), 1.61–1.73 (m, 3H, CH2), 1.93–2.12 (m, 2H, CH2), 2.89 and 3.01 (s, 2H, CH2), 3.28 and 3.38 (s, 2H, CH2), 5.11 and 5.51 (bs, 1H, 1CH), 7.22–7.39 (m, 5H, 5CH). 13C-NMR (D2O) δC 12.6 and 12.7 (CH3), 13.2 and 13.3 (CH3), 23.6 and 29.8 (CH2), 39.3 and 44.8 (CH2), 45.0 and 45.9 (CH2), 57.6 (C), 122.7 and 123.8 (CH), 128.0 (CH), 129.1 (2CH), 129.9 (2CH), 135.9 (C), 138.0 (C), 172.9 (C), 179.6 (2C). HMRS (ESI): m/z calcd for C17H19N2O2S− M: 315.1173. Found: 315.1180.
Potassium 4",6"-dioxo-1",6"-dihydro-4'H,4"H-dispiro[cyclohexane-1,1'-naphtalene-3',5"-pyrimidine]-2"-thiolate (19). White solid; m.p. 216–218 °C (isopropanol); yields: 70%; 1H-NMR (D2O) δH 1.38–2.25 (m, 10H, 5CH2), 2.40 (bs, 1H, CH2), 3.08–3.68 (m, 3H, CH2), 7.40–7.58 (m, 3H, 3CH), 7.72–7.78 (m, 1H, 1CH). 13C-NMR (D2O) δC 22.1 (CH2), 22.4 (CH2), 26.0 (CH2), 35.8 (CH2), 37.6 (CH2), 37.7 (C), 38.2 (CH2), 42.0 (CH2), 56.9 (C), 126.8 (CH), 127.2 (CH), 127.3 (CH), 129.3 (CH), 135.3 (C), 144.7 (C), 176.5 (C), 178.8 (C), 181.5 (C). HMRS (ESI): m/z calcd for C18H19N2O2S− M: 327.1173. Found: 327.1184.
Potassium 5-benzyl-5-(cyclohex-1-en-1-ylmethyl)-4,6-dioxo-1,4,5,6-tetrahydropyrimidine-2-thiolate (20). White solid; m.p. 143 °C (isopropanol); yields: 84% 1H-NMR (D2O) δH 1.36–1.60 (m, 4H, 2CH2), 1.74–2.00 (m, 4H, 2CH2), 2.70 (s, 2H, CH2), 3.18 (s, 2H, CH2), 5.39 (s, 1H, 1CH), 7.06–7.11 (m, 2H, 2CH), 7.26–7.30 (m, 3H, 3CH). 13C-NMR (D2O) δC 22.3 (CH2), 23.3 (CH2), 25.7 (CH2), 29.8 (CH2), 45.5 (CH2), 47.6 (CH2), 57.3 (C), 126.2 (CH), 127.8 (CH), 129.1 (2CH), 129.9 (2CH), 134.0 (C), 136.6 (C), 181.5 (2C), 192.6 (C). HMRS (ESI): m/z calcd for C18H19N2O2S− M: 327.1173. Found: 327.1173.
Potassium 5-[2-ethylbut-2-en-1-yl]-5-methyl-4,6-dioxo-1,4,5,6-tetrahydropyrimidine-2-thiolate (21a/ 21b) (50:50 inseparable mixture of Z/E isomers). White solid; m.p. 174–176 °C (isopropanol); yields: 28% 1H-NMR (D2O) δH 0.82–0.98 (m, 3H, CH3), 1.32–1.42 (m, 3H, CH3), 1.49–1.56 (m, 3H, CH3), 1.76–2.05 (m, 2H, CH2), 2.54–2.69 (m, 2H, CH2), 5.01 and 5.45 (bs, 1H, 1CH). 13C-NMR (D2O) δC 12.8 and 13.0 (CH3), 13.2 and 14.0 (CH3), 21.0 and 22.7 (CH3), 23.7 and 30.2 (CH2), 38.5 and 44.8 (CH2), 56.7 and 57.0 (C), 123.1 and 123.8 (CH), 138.3 and 139.1 (C), 177.8 and 177.9 (C), 180.0 and 180.1 (C), 181.5 and 181.6 (C). HMRS (ESI): m/z calcd for C11H15N2O2S− M: 239.0860. Found: 239.0857.
Potassium 5-(cyclohex-1-en-1-ylmethyl)-5-methyl-4,6-dioxo-1,4,5,6-tetrahydropyrimidine-2-thiolate (22). White solid; m.p. 177 °C (isopropanol); yields: 69% 1H-NMR (D2O) δH 1.47 (s, 3H, CH3), 1.45–1.61 (m, 4H, 2CH2), 1.84–2.09 (m, 4H, 2CH2), 2.55 (s, 2H, CH2), 5.41 (s, 1H, 1CH). 13C-NMR (D2O) δC 22.4 (CH2), 22.5 (CH3), 23.3 (CH2), 25.7 (CH2), 29.6 (CH2), 47.4 (CH2), 56.8 (C), 126.7 (CH), 134.9 (C), 177.9 (2C), 181.6 (C). HMRS (ESI): m/z calcd for C12H15N2O2S− M: 251.0860. Found: 251.0859.
Potassium 2,2-diethyl-3-methylene-6,10-dioxo-7,9-diazaspiro[4.5]dec-7-ene-8-thiolate (23). White solid; decomp. 270 °C (isopropanol); yields: 88% 1H-NMR (D2O) δH 0.72–0.83 (m, 6H, 2CH3), 1.14–1.53 (m, 4H, 2CH2), 2.27 (s, 2H, CH2), 2.84 (d, J = 16.3, 1H, CH2), 3.04 (d, J = 16.3, 1H, CH2), 4.72 (bs, 1H, CH), 5.01 (bs, 1H, CH). 13C-NMR (D2O) δC 8.6 (CH3), 8.7 (CH3), 30.5 (CH2), 31.0 (CH2), 41.7 (CH2), 45.0 (CH2), 49.1 (C), 62.5 (C), 105.8 (CH2), 157.2 (C), 176.7 (C), 179.1 (C), 182.1 (C). HMRS (ESI): m/z calcd for C13H17N2O2S− M: 265.1016. Found: 265.1025.
Potassium 14-methylene-1,5-dioxo-2,4-diazaspiro[5.1.5.2]pentadec-2-ene-3-thiolate (24). White solid; m.p. 174–176 °C (isopropanol); yields: 53% 1H-NMR (D2O) δH 1.13–1.65 (m, 10H, 5CH2), 2.25 (d, J = 14.0, 1H, CH2), 2.40 (d, J = 14.0, 1H, CH2), 2.88 (d, J = 16.4, 1H, CH2), 3.04 (d, J = 16.4, 1H, CH2), 4.86 (bs, CH), 4.96 (bs, CH). 13C-NMR (D2O) δC 22.8 (CH2), 22.9 (CH2), 37.6 (CH2), 38.6 (CH2), 40.1 (CH2), 44.0 (CH2), 45.7 (C), 62.3 (C), 104.0 (CH2), 160.7 (C), 175.9 (C), 178.3 (C). 1C not observed in these conditions. HMRS (ESI): m/z calcd for C14H17N2O2S− M: 277.1016. Found: 277.1009.
4. Conclusions
We have synthesized eight new functionalized thiobarbiturates by a three steps synthesis, thanks to Mn(OAc)3 radical reactivity. This methodology allows C-functionalization of barbituric acid with a wide variety of scaffolds, such as aromatic, aliphatic and spirocyclic moieties. Derivatives thus obtained could be tested for their anesthetic potentialities, but also for targeting anticonvulsive leads.
Acknowledgements
This work was supported by the Centre National de la Recherche Scientifique and Aix-Marseille University. We would like to express our thanks to V. Remusat for recording the NMR spectra and V. Monnier for recording the mass spectra.
References and Notes
- Snider, B.B. Manganese(III)-based oxidative free-radical cyclizations. Chem. Rev. 1996, 96, 339–363. [Google Scholar]
- Demir, A.S.; Emrullahoglu, M. Manganese(III) acetate: A versatile reagent in organic chemistry. Curr. Org. Synth. 2007, 4, 321–350. [Google Scholar]
- Dombroski, M.A.; Snider, B.B. Manganese(III)-Based oxidative free-radical. Cyclizations of γ,γ-bis(allylic) acetoacetates. Tetrahedron 1992, 48, 1417–1426. [Google Scholar] [CrossRef]
- Kates, S.A.; Dombroski, M.A.; Snider, B.B. Manganese(III)-based oxidative free-radical cyclization of unsaturated beta-keto esters, 1,3-diketones, and malonate diesters. J. Org. Chem. 1990, 55, 2427–2436. [Google Scholar] [CrossRef]
- Chuang, C.-P.; Tsai, A.-I. A novel oxidative free radical reaction between 2-amino-1,4-benzoquinones and benzoylacetonitriles. Tetrahedron 2007, 63, 9712–9717. [Google Scholar]
- Logoglu, E.; Yilmaz, M.; Katircioglu, H.; Yakut, M.; Mercan, S. Synthesis and biological activity studies of furan derivatives. Med. Chem. Res. 2010, 19, 490–497. [Google Scholar]
- Curti, C.; Crozet, M.D.; Vanelle, P. Microwave-assisted manganese(III) acetate based oxidative cyclizations of alkenes with β-ketosulfones. Tetrahedron 2009, 65, 200–205. [Google Scholar]
- Bouhlel, A.; Curti, C.; Dumètre, A.; Laget, M.; Crozet, M.D.; Azas, N.; Vanelle, P. Synthesis and evaluation of original amidoximes as antileishmanial agents. Bioorg. Med. Chem. 2010, 18, 7310–7320. [Google Scholar]
- Paloque, L.; Bouhlel, A.; Curti, C.; Dumètre, A.; Verhaeghe, P.; Azas, N.; Vanelle, P. Synthesis and evaluation of monoamidoxime derivatives: Toward new antileishmanial compounds. Eur. J. Med. Chem. 2011, 46, 2984–2991. [Google Scholar]
- Biltz, H.; Witteck, H. Alkylated and acylated barbituric acids. Ber. Dtsch. Chem. Ges. 1921, 54, 1035–1059. [Google Scholar]
- Clark-Lewis, J.W.; Thompson, M.J. Preparation of 1,3-dimethylbarbituric acid and formation of 5-ethoxycarbonylacetyl-1,3-dimethylbarbituric acid. J. Chem. Soc. 1959, 1628–1629. [Google Scholar]
- Nguyen, V.; Nishino, H. Novel synthesis of dihydropyrans and 2,8-dioxabicylo[3.3.0]oct-3-enes using Mn(III)-based oxidative cyclization. Tetrahedron Lett. 2004, 45, 3373–3377. [Google Scholar] [CrossRef]
- Tsubusaki, T.; Nishino, H. Manganese(III)-mediated facile synthesis of 3,4-dihydro-2(1H)-quinolinones: Selectivity of the 6-endo and 5-exo cyclization. Tetrahedron 2009, 65, 9448–9459. [Google Scholar]
- Delmas, F.; Gasquet, M.; Timon-David, P.; Madadi, N.; Vanelle, P.; Vaille, A.; Maldonado, J. Synthesis and in vitro anti-protozoan activity of new 5-nitrothiophene oxime ether derivatives. Eur. J. Med. Chem. 1993, 28, 23–27. [Google Scholar] [CrossRef]
- Baraldi, P.G.; El-Kashef, H.; Farghaly, A.R.; Vanelle, P.; Fruttarolo, F. Synthesis of new pyrazolo[4,3-e]-1,2,4-triazolo[1,5-c]pyrimidines and related heterocycles. Tetrahedron 2004, 60, 5093–5104. [Google Scholar]
- Boufatah, N.; Gellis, A.; Maldonado, J.; Vanelle, P. Efficient microwave-assisted synthesis of new sulfonylbenzimidazole-4,7-diones: Heterocyclic quinones with potential antitumor activity. Tetrahedron 2004, 60, 9131–9137. [Google Scholar]
- Verhaeghe, P.; Azas, N.; Gasquet, M.; Hutter, S.; Ducros, C.; Laget, M.; Rault, S.; Rathelot, P.; Vanelle, P. Synthesis and antiplasmodial activity of new 4-aryl-2-trichloromethylquinazolines. Bioorg. Med. Chem. Lett. 2008, 18, 396–401. [Google Scholar]
- Kabri, Y.; Gellis, A.; Vanelle, P. Microwave-assisted synthesis in aqueous medium of new quinazoline derivatives as anticancer agent precursors. Green Chem. 2009, 11, 201–208. [Google Scholar]
- Smith, M.C.; Riskin, B.J. The clinical use of barbiturates in neurological disorders. Drugs 1991, 42, 365–378. [Google Scholar]
- Nagel, S.; von Heinemann, P.; Heiland, S.; Koziol, J.; Gardner, H.; Wagner, S. Selective MMP-inhibition with Ro 28-2653 in acute experimental stroke—A magnetic resonance imaging efficacy study. Brain Res. 2011, 1368, 264–270. [Google Scholar] [CrossRef]
- Wang, J.; Medina, C.; Radomski, M.W.; Gilmer, J.F. N-substituted homopiperazine barbiturates as gelatinase inhibitors. Bioorg. Med. Chem. 2011, 19, 4985–4999. [Google Scholar]
- Vijaya, L.S.; Thirupathi, R.Y.; Suresh, K.B.; Narsimha, R.P.; Crooks, P.A.; Rajitha, B. Synthesis and evaluation of chromenyl barbiturates and thiobarbiturates as potential antitubercular agents. Bioorg. Med. Chem. Lett. 2011, 21, 4329–4331. [Google Scholar]
- Al-Najjar, B.O.; Wahab, H.A.; Muhammad, T.S.T.; Shu-Chien, A.C.; Noruddin, N.A.A.; Taha, M.O. Discovery of new nanomolar peroxisome proliferator-activated receptor γ activators via elaborate ligand-based modeling. Eur. J. Med. Chem. 2011, 46, 2513–2529. [Google Scholar]
- Ma, L.; Li, S.; Zheng, H.; Chen, J.; Lin, L.; Ye, X.; Chen, Z.; Xu, Q.; Chen, T.; Yang, J.; et al. Synthesis and biological activity of novel barbituric and thiobarbituric acid derivatives against non-alcoholic fatty liver disease. Eur. J. Med. Chem. 2011, 46, 2003–2010. [Google Scholar]
- Zheng, H.; Li, S.; Ma, L.; Cheng, L.; Deng, C.; Chen, Z.; Xie, C.; Xiang, M.; Jiang, W.; Chen, L. A novel agonist of PPAR-γ based on barbituric acid alleviates the development of non-alcoholic fatty liver disease by regulating adipocytokine expression and preventing insulin resistance. Eur. J. Pharmacol. 2011, 659, 244–251. [Google Scholar] [CrossRef]
- Gruber, P.; Rechfeld, F.; Kirchmair, J.; Hauser, N.; Boehler, M.; Garczarczyk, D.; Langer, T.; Hofmann, J. Barbituric acid derivative BAS 02104951 inhibits PKCε, PKCη, PKCε/RACK2 interaction, Elk-1 phosphorylation in HeLa and PKCε and η translocation in PC3 cells following TPA-induction. J. Biochem. 2011, 149, 331–336. [Google Scholar]
- Soine, W. Sedative-Hypnotics. In Foye’s Principles of Medicinal Chemistry, 6th; Foye, W.O., Lemke, T.L., Williams, D.A., Eds.; Lippincott Williams & Wilkins: Baltimore, MD, USA, 2007; pp. 504–520. [Google Scholar]
- Kepczyńska, E.; Obłoza, E.; Stasiewicz-Urban, A.; Bojarski, J.; Pyka, A. Lipophilicity of thiobarbiturates determined by TLC. Acta Pol. Pharm. 2007, 64, 295–302. [Google Scholar]
- Toon, S.; Rowland, M. Structure-pharmacokinetic relationships among the barbiturates in the rat. J. Pharmacol. Exp. Ther. 1983, 225, 752–763. [Google Scholar]
- Snider, B.B.; Patricia, J.J.; Kates, S.A. Mechanism of manganese(III)-based. Oxidation of β-keto esters. J. Org. Chem. 1988, 53, 2137–2143. [Google Scholar] [CrossRef]
- Citterio, A.; Sebastiano, R.; Marion, A. Synthesis of substituted tetrahydronaphthalenes by manganese(III), cerium(IV), and iron(III) oxidation of substituted diethyl alpha-benzylmalonates in the presence of olefins. J. Org. Chem. 1991, 56, 5328–5335. [Google Scholar]
- Santi, R.; Bergamini, F.; Citterio, A.; Sebastiano, R.; Nicolini, M. Reactivity of malonyl radicals. Synthesis of substituted dihydronaphthalenes by manganese(III) oxidation of diethyl alpha-benzylmalonate in the presence of alkynes. J. Org. Chem. 1992, 57, 4250–4255. [Google Scholar]
- Bergamini, F.; Citterio, A.; Gatti, N.; Nicolini, M.; Santi, R.; Sebastiano, R. Metal-induced electrochemical oxidation of diethyl benzylmalonates in the presence of alkenes and alkynes. Synthesis of substituted tetrahydro- and dihydronaphthalenes. J. Chem. Res. (S) 1993, 9, 364–365. [Google Scholar]
- Bouhlel, A.; Curti, C.; Vanelle, P. Access to original spirocyclic derivatives via inter- or intramolecular reaction mediated by manganese(III) acetate. Tetrahedron 2012, 68, 3596–3604. [Google Scholar]
- Snider, B.B.; Buckman, B.O. Manganese(III) based oxidative free-radical annulations. Tetrahedron 1989, 45, 6969–6978. [Google Scholar]
- Jagodzinska, M.; Huguenot, F.; Candiani, G.; Zanda, M. Assessing the bioisosterism of the trifluoromethyl group with a protease probe. Chem. Med. Chem. 2009, 4, 49–51. [Google Scholar]
- Sun, T.; Watson, S.; Manchanda, R. Disclosed are new phenobarbital salts, methods of preparation, and uses thereof. U.S. Patent 0035904, 11 February 2010. Chem. Abstr. 2010, 152, 223581. [Google Scholar]
- Sample Availability: Samples of the compounds 6, 8, 10, 15, 17–24 are available from the authors.
© 2012 by the authors; licensee MDPI, Basel, Switzerland. This article is an open-access article distributed under the terms and conditions of the Creative Commons Attribution license (http://creativecommons.org/licenses/by/3.0/).















