Kramecyne — A New Anti-inflammatory Compound Isolated from Krameria cytisoides
Abstract
:1. Introduction
2. Results and Discussion
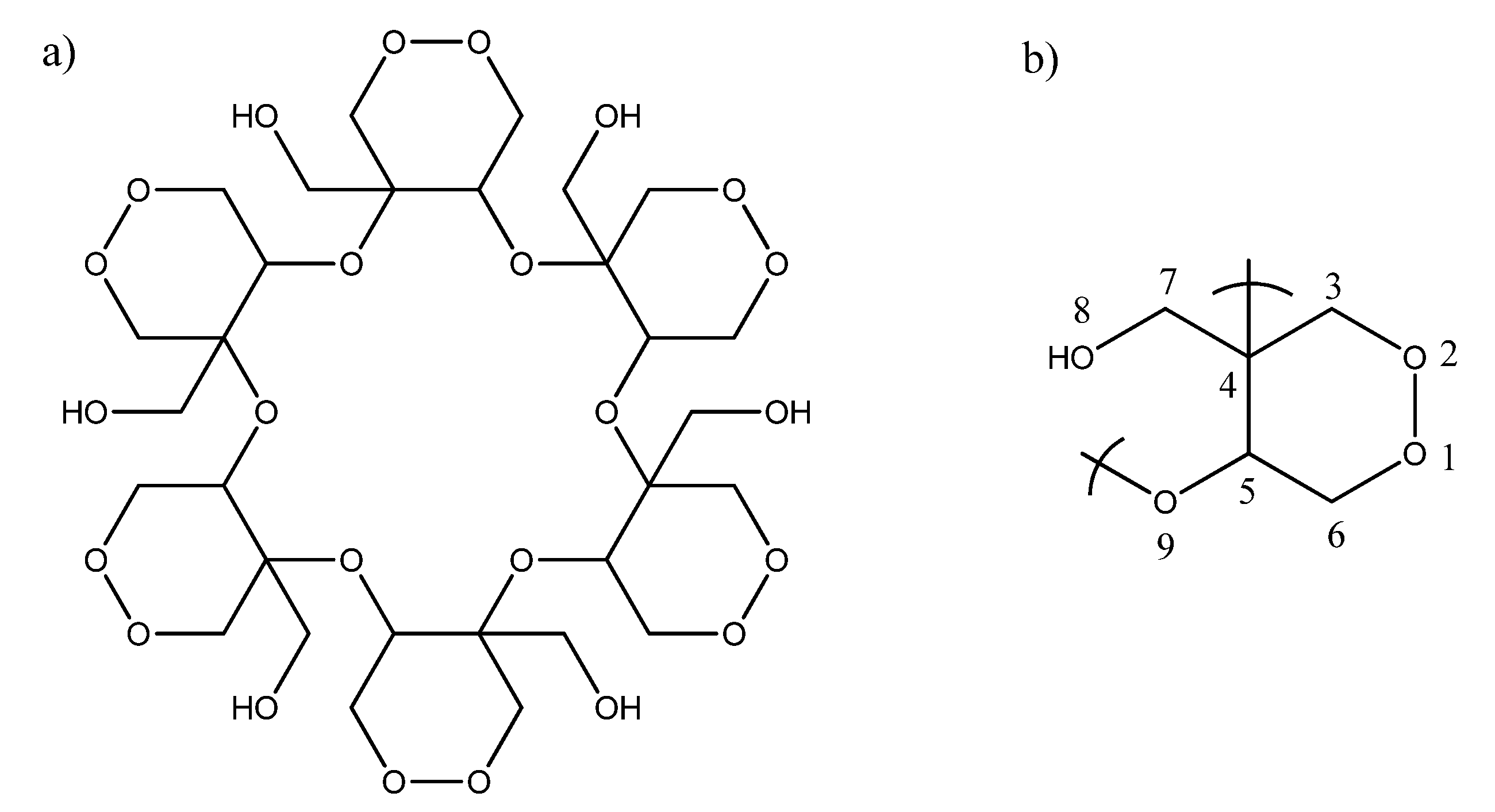
2.1. NMR Studies
| Position | δC, type | δHa, mult(J in Hz) | δHb, mult(J in Hz) |
|---|---|---|---|
| 3 | 63.40, CH2 | 3.61, d (11.47) | 3.63, d (11.47) |
| 4 | 75.15, C | - | - |
| 5 | 73.17, CH | 3.74, dd (-, 3.19) | - |
| 6 | 62.12, CH2 | 3.69, m | 3.78, dd (10.54, 3.19) |
| 7 | 62.85, CH2 | 3.63, d (11.50) | 3.67, d (11.50) |



2.2. Kramecyne Acetate
2.3. Anti-inflammatory Activity
| Time h | Indomethacin | (% inhibition) | ||||
|---|---|---|---|---|---|---|
| Kramecyne | ||||||
| 8 mg/kg | 25 mg/kg | 50 mg/kg | 100 mg/kg | 200 mg/kg | 400 mg/kg | |
| 1 | 26.4 ± 2.1 * | 17.5 ± 13.04 | 63.1 ± 12.1 * | 52.2 ± 6.1 * | 58.6 ± 6.4 * | 42.5 ± 11.1 * |
| 2 | 30.0 ± 4.5 * | 30.8 ± 8.24 | 55.7 ± 5.6 * | 70.1 ± 5.7 * | 36.9 ± 6.3 * | 41.7 ± 6.8 * |
| 3 | 63.1 ± 7.1 * | 40.5 ± 5.54 | 51.4 ± 5.5 * | 46.9 ± 5.8 * | 29.9 ± 4.6 | 33.1 ± 5.9 |
| 4 | 68.3 ± 8.1 * | 46.1 ± 4.05 * | 56.4 ± 4.2 * | 43.2 ± 2.7 | 24.9 ± 5.5 | 28.6 ± 5.0 |
| 5 | 67.6 ± 6.6 * | 60.1 ± 4.09 * | 64.5 ± 4.1 * | 45.2 ± 5.1 | 21.2 ± 4.9 | 19.9 ± 2.7 |
3. Experimental
3.1. General
3.2. Plant Material
3.3. Isolation of Kramecyne
3.4. Kramecyne Acetate
3.5. Detection of Peroxides
3.6. Animals
3.7. 12-O-Tetradecanoylphorbol-13-acetate (TPA)-Induced Mouse Ear Edema
3.8. Carrageenan an Induced Rat Paw Edema
3.9. Acute Toxicity
3.10. Statistical Analysis
4. Conclusions
Acknowledgments
References and Notes
- Healt. Available online: http://www.innvista.com/health/herbs/default.htm (Accessed on 23 January 2012).
- Rhatany. Available online: http://www.innvista.com/healt/herbs/rhatany.htm (Accessed on 23 January 2012).
- Martínez, M. Las Plantas Medicinales de México; Ediciones Botas: México D.F., México, 1995; p. 90. [Google Scholar]
- Achenbach, H.; Grob, J.; Dominguez, X.A.; Cano, G.; Verde, S.J.; Brussolo, L.D.C.; Muñoz, G.; Salgado, F.; López, L. Lignans, neo-lignans and norneolignans from Krameria cystisoides. Phytochemistry 1987, 26, 1159–1166. [Google Scholar]
- Pretsch, E.; Bühlmann, P.; Badertscher, M. Structure Determination of Organic Compounds. Tables of Spectral Data. Fourth, Revised and Enlarged, 4th ed; Springer-Verlag: Berlin/Heidelberg, Germany, 2009; pp. 69–162. [Google Scholar]
- Günther, H. NMR Spectroscopy. Basic Principles, Concepts and Applications in Chemistry; John & Sons: Hoboken, NJ, USA, 1995; pp. 69–132. [Google Scholar]
- Koch, W.; Holthausen, M.C. A Chemist’s Guide to Density Functional Theory; Wiley-VCH: Weinheim, Germany, 2000; pp. 117–134. [Google Scholar]
- Frisch, M.J.; Trucks, G.W.; Schlegel, H.B.; Scuseria, G.E.; Robb, M.A.; Cheeseman, J.R.; Montgomery, J.A., Jr.; Vreven, T.; Kudin, K.N.; Burant, J.C.; et al. GAUSSIAN 03, Revision C.02. Gaussian, Inc.: Wallingford, CT, USA, 2004. [Google Scholar]
- Füstenberger, G.; Richter, H.; Fusening, N.E.; Marks, F. Arachidonic acid and prostaglandin E2 release and enhaced cell proliferation induced by the phorbol ester TPA in a murine epidermal cell line. Cancer Lett. 1981, 11, 191–198. [Google Scholar] [CrossRef]
- Ashendel, C.L.; Boutwell, R.K. Direct measurement of specific binding of highly lipohpilic phorbol diester to mouse epidermal membranes using cold acetone. Biochem. Biophys. Res. Commun. 1981, 543–549. [Google Scholar]
- Crunkhon, P.; Meacock, B.K. Mediators of the anti-inflammatory, analgesic and antipyretic effects of an aqueous extract of Erythraea centarium. Planta Medica 1971, 57, 34–37. [Google Scholar]
- Budavari, S. The Index Merck; Merck & Co.: Rahway, NJ, USA, 1989; p. 787. [Google Scholar]
- Antonio, M.A.; Brito, A.R.M.S. Oral anti-inflammatory and inti-ulcerogenic activities of a hydroalcoholic extract and partitioned fractions of Turnera ulmifolia (Turneraceae). J. Ethnopharmacol. 1998, 61, 215–228. [Google Scholar] [CrossRef]
- Speroni, E.; Cervellati, R.; Innocenti, G.; Costa, S.; Guerra, M.C.; Dall Acqua, S.; Govoni, P. Anti-inflmmatory, anti-nociceptive and antioxidant activities of Balanites aegyptiaca (L) Delile. J. Ethnopharmacol. 2005, 98, 117–125. [Google Scholar] [CrossRef]
- Kelly, J.R. Review of Safety Guidelines for Peroxidizable Organic Chemicals; Eastman: Kingsport, TN, USA, 1997; p. 8. [Google Scholar]
- Young, J.M.; de Young, L.M.; Kheifets, J.B.; Ballaron, S.J. Edema and cell infiltration in the phorbol ester treated mouse ear are temporally separate and can be differentially modulated by pharmacologic agents. Agents Actions 1989, 26, 335–341. [Google Scholar] [CrossRef]
- Olajide, A.O.; Olubusayo, A.S.; Modupe, M.J.; Ekhelar, A.I.; Olusola, A.; Morebise, N.; Okpako, D.T. Studies on the anti-inflamatory, antipyretic and analgesic properties of Alstonia boonei stem bark. J. Ethnopharmacol. 2000, 71, 179–186. [Google Scholar] [CrossRef]
- Lorke, D. A new approach to practical acute toxicity testing. Arch. Toxicol. 1983, 54, 275–287. [Google Scholar] [CrossRef]
- Sample Availability: Samples of the compound is available from the authors.
© 2012 by the authors; licensee MDPI, Basel, Switzerland. This article is an open-access article distributed under the terms and conditions of the Creative Commons Attribution license (http://creativecommons.org/licenses/by/3.0/).
Share and Cite
Pérez-Gutiérrez, S.; Sánchez-Mendoza, E.; Martínez-González, D.; Zavala-Sánchez, M.A.; Pérez-González, C. Kramecyne — A New Anti-inflammatory Compound Isolated from Krameria cytisoides. Molecules 2012, 17, 2049-2057. https://doi.org/10.3390/molecules17022049
Pérez-Gutiérrez S, Sánchez-Mendoza E, Martínez-González D, Zavala-Sánchez MA, Pérez-González C. Kramecyne — A New Anti-inflammatory Compound Isolated from Krameria cytisoides. Molecules. 2012; 17(2):2049-2057. https://doi.org/10.3390/molecules17022049
Chicago/Turabian StylePérez-Gutiérrez, Salud, Ernesto Sánchez-Mendoza, Diana Martínez-González, Miguel Angel Zavala-Sánchez, and Cuauhtemoc Pérez-González. 2012. "Kramecyne — A New Anti-inflammatory Compound Isolated from Krameria cytisoides" Molecules 17, no. 2: 2049-2057. https://doi.org/10.3390/molecules17022049
APA StylePérez-Gutiérrez, S., Sánchez-Mendoza, E., Martínez-González, D., Zavala-Sánchez, M. A., & Pérez-González, C. (2012). Kramecyne — A New Anti-inflammatory Compound Isolated from Krameria cytisoides. Molecules, 17(2), 2049-2057. https://doi.org/10.3390/molecules17022049
