Abstract
A series of new 3-[(5-aryl-1,3,4-oxadiazol-2-yl)methy])benzo[d]thiazol-2(3H)-ones were synthesized by reaction of (5-substituted-2-oxobenzothiazolin-3-yl)-acetohydrazide with various aromatic acids in POCl3 under reflux conditions. The structures of the title compounds were confirmed by 1H-NMR, 13C-NMR, IR, MS and elemental analysis. Furthermore, the structure of compound 4i was determined by single-crystal X-ray diffraction. The preliminary bioassy results indicated that some of them showed moderate inhibition activity against Colletotrichum orbiculare, Botrytis cinerea and Rhizoctonia solani.
1. Introduction
Benzothiazole derivatives have been found to exhibit broad spectrum of biological effects, such as insecticidal [1], fungicidal [2], antiviral [3], herbicidal [4] and plant-growth-regulating [5] activities, and thus play an important role in research and development of agrochemicals. Meanwhile, 1,3,4-oxadiazole derivatives have gained great importance because of their diverse biological properties, such as insecticidal [6], herbicidal [7] and antifungal [8] activities, and some of them have been successfully commercialized [9,10]. Several synthetic methods for 1,3,4-oxadiazoles were reported. Traditionally, they can be prepared by cyclization of the corresponding acyclic semicarbazide or thiosemicarbazide derivatives using a variety of reagents, including POCl3[11], PCl5[12], PPA [13], (CF3CO)2O [14] and so on. Nowadays, new synthetic approaches to 1,3,4-oxadiazoles have been developed, such as microwave assisted synthesis [15], solid phase synthesis [16], Pd-catalyzed [17] and solvent-free [18] methods.
In view of these facts, and as a continuation of our ongoing project aimed at looking for novel biologically active sulfur and nitrogen linked heterocyclic compounds [19,20,21], a series of new 3-[(5-aryl-1,3,4-oxadiazol-2-yl)methyl]benzo[d]thiazol-2(3H)-ones were synthesized, and their antifungal activities were evaluated.
2. Results and Discussion
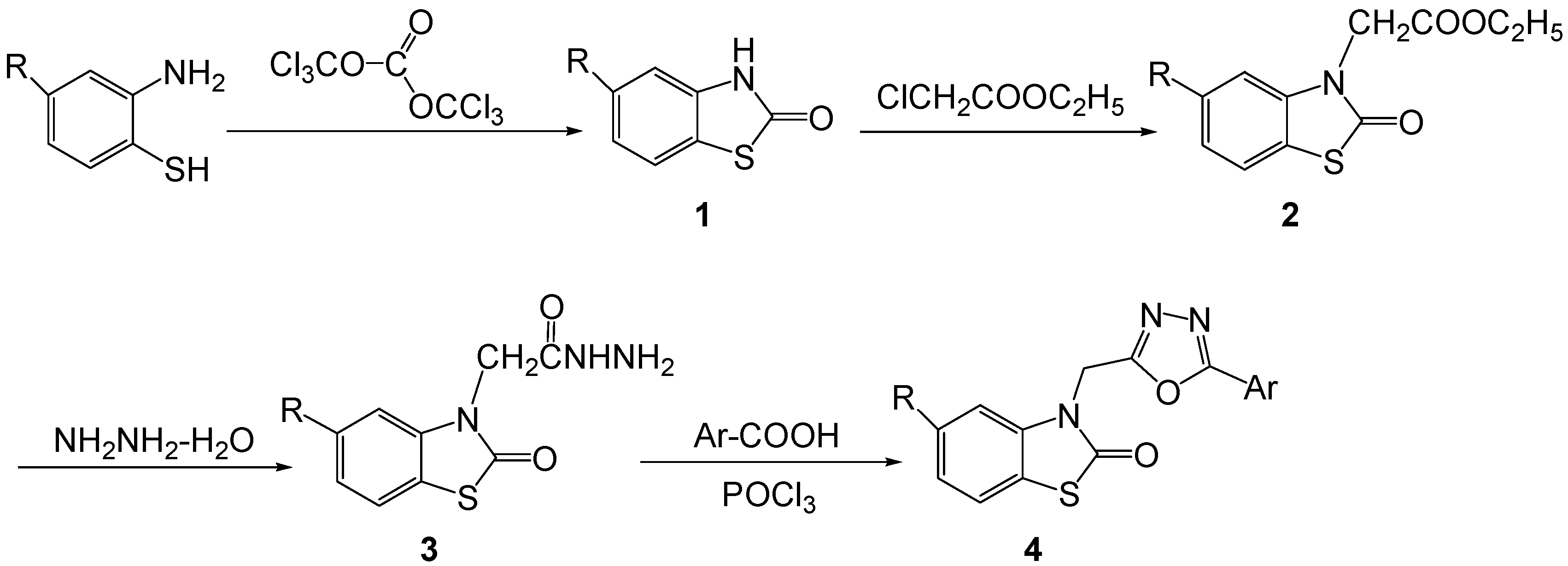
The synthetic route to the title compounds 4a–4v is shown in Scheme 1.
Scheme 1.
The synthetic route to title compounds 4.
Scheme 1.
The synthetic route to title compounds 4.

Substituted 2(3H)-benzothiazolones 1 were obtained by the cyclization of 4-substituted-2-aminothiophenol with triphosgene, which was seldom reported. The reaction of 1 with ethyl chloroacetate in the presence of potassium carbonate gave the ethyl 2-(2-oxobenzothiazolin-3-yl)acetates 2. Their acetohyrazides 3 were produced by reaction of compounds 2 and hydrazine hydrate. Finally, the title 3-[(5-aryl-1,3,4-oxadiazol-2-yl)methyl]benzo[d]thiazol-2(3H)-ones 4a–v were obtained in 69.0–93.2% yields by refluxing acetohydrazides 3 and an aromatic acid in POCl3. In general, the yields of compounds 4 bearing chloro in the 5-position are lower than those possessing a hydrogen at that position. Their structures were confirmed by 1H-NMR, 13C-NMR, IR, MS and elemental analysis. In the 1H-NMR spectra of title compounds 4, the peaks of the 3-position methylene groups appear in the δ 5.41–5.51 ppm range, and in the corrsponding 13C-NMR spectra, they appear in the δ 36.67–37.22 ppm range. In the IR spectra of compounds 4a–v, the characteristic ν (C=O) stretching vibration signals appear at 1667–1703 cm−1. Meanwhile, all the title compounds exhibited M+ or [M+1]+ peaks in the MS.
When compound 4i was recrystallized by slow evaporation from acetone, a single crystal was obtained and analyzed by X-ray diffraction crystallography. The molecular structure of compound 4i is shown in Figure 1 and the packing of the molecule in crystal lattice is illustrated in Figure 2. Its crystal structure is of monoclinic system, space group C2/c with a = 2.718 (2) nm, b = 1.2432 (10) nm, c = 0.9425 (8) nm, α = 90°, β = 108.666 (14)°, γ = 90°, V = 3.017 (4) nm3, Z = 8. The bond length of N(2)–N(3) is 0.1420 nm, which is shorter than the normal single N–N bond length (0.1450 nm). The bond lengths are 0.1388 nm and 0.1285 nm for N(1)–C(7) and N(2)–C(9), respectively, which are shorter than the normal single N–C bond length (0.1470 nm) and hence indicative of some double bond character. In the molecular structure of 4i, the CH2 group is nearly perpendicular to the phenyl ring and oxadiazole ring with a θ angle of 110.5°, The oxadiazole ring (O2, C9, N2, N3, C10), phenyl ring (C11, C12, C13, C14, C15, C16), and benzothiazole (C1, S1, C2, C3, C4, C5, C6, C7, N1) are fairly planar with plane equation 4.260x + 8.778y + 5.694z = 4.311, 4.43x + 7.23y + 6.623z = 4.434, 26.998x − 0.047y − 4.027z = −1.253, and the largest deviations from the least squares plane are 0.0037 nm, 0.0054 nm, 0.0189 nm. Meanwhile, the oxadiazole ring is perpendicular to the benzothiazole ring about an angle of 86.1°, and nearly planar with the phenyl ring with an angle of 9.4°.
Figure 1.
The molecular structure of 4i.
Figure 1.
The molecular structure of 4i.

Figure 2.
The packing of the molecules in the crystal lattice of 4i.
Figure 2.
The packing of the molecules in the crystal lattice of 4i.

The in vitro antifungal activities of 4a–v against Colletotrichum orbiculare, Botrytis cinerea and Rhizoctonia solani at the dosage of 50 μg/mL were evaluated compared with the commercial fungicide propiconazole. The antifungal activity data are listed in Table 1.
Table 1.
The inhibition ratios (%) of 4 against C. orbiculare, B. cinerea and R. solani at 50 μg/mL.
| Compd. | R | Ar | C. orbiculare | B. cinerea | R. solani |
|---|---|---|---|---|---|
| CK | 0 | 0 | 0 | ||
| Propiconazole | 87.20 | 35.00 | 95.52 | ||
| 4a | H | C6H5- | 34.96 | 50.13 | 52.57 |
| 4b | H | 2-CH3C6H4- | 32.41 | 14.75 | 12.02 |
| 4c | H | 3-CH3C6H4- | 32.41 | 16.42 | 12.64 |
| 4d | H | 4-CH3C6H4- | 60.63 | 44.46 | 48.19 |
| 4e | H | 4-C3H7C6H4- | 34.96 | 48.47 | 4.88 |
| 4f | H | 4-i-C3H7C6H4- | 28.86 | 26.77 | 44.93 |
| 4g | H | 4-t-C4H9C6H4- | 38.50 | 50.10 | 42.05 |
| 4h | H | 4-C5H11C6H4- | 26.31 | 10.75 | 2.63 |
| 4i | H | 3-ClC6H4- | 28.86 | 62.50 | 30.41 |
| 4j | H | 2,4-Cl2C6H3- | 28.82 | 53.76 | 4.88 |
| 4k | H | 3-FC6H4- | 34.96 | 58.81 | 59.94 |
| 4l | H | 4-FC6H4- | 54.24 | 72.52 | 76.37 |
| 4m | H | 2-OCH3C6H4- | 38.50 | 62.50 | 38.17 |
| 4n | H | 4-OCH3C6H4- | 60.34 | 74.21 | 48.81 |
| 4o | H | 3-NO2C6H4- | 42.05 | 64.49 | 48.81 |
| 4p | H | 2-ClC5H3N-3- | 34.96 | 50.80 | 42.68 |
| 4q | Cl | C6H5- | 36.40 | 48.22 | 52.02 |
| 4r | Cl | 3-CH3C6H4- | 28.64 | 20.10 | 13.86 |
| 4s | Cl | 4-CH3C6H4- | 61.54 | 40.50 | 46.37 |
| 4t | Cl | 4-t-C4H9C6H4- | 41.24 | 45.60 | 44.63 |
| 4u | Cl | 4-OCH3C6H4- | 64.28 | 69.50 | 39.66 |
| 4v | Cl | 2-ClC5H3N-3- | 38.33 | 52.81 | 39.02 |
The preliminary bioassay results showed that all compounds exhibited certain inhibitory activity against all the tested fungi, and some of them possessed moderate antifungal activity. For example, compounds 4d, 4l, 4n, 4s and 4u exhibited more than 50% inhibitory activity against C. orbiculare, and compounds 4a, 4k, 4l and 4q displayed greater than 50% inhibition activity against R. solani, but their activities were still lower than that of the control fungicide (propiconazole), while most of compounds 4a–v showed activities against B. cinerea higher than propiconazole, especially compounds 4i, 4l, 4m, 4n, 4o and 4u showed above 60% inhibition activity against B. cinerea. The activity data indicated that compounds 4a–v did not exhibit improved inhibition when a chlorine atom was introduced in 5-position. In general, the compounds bearing an electron-withdrawing group (e.g., halogen and nitro) or methoxy on the aromatic ring (Ar), exhibited higher activity against B. cinerea than those bearing an alkyl substituent. It is also note worthy that the inhibition rates of 4a–v against R. solani evidently went up when a fluorine atom was introduced on the aromatic ring, especially in the para-position (i.e., compound 4l, which exhibited 76.37% inhibitory activity). Further studies on structural optimization and structure-activity relationships of these title compounds are in progress.
3. Experimental
3.1. Materials and Reagents
Melting points were determined using an X-4 apparatus without calibration. 1H-NMR and 13C-NMR spectra were measured on a Bruker ADVANCE III instrument (500 MHz) using TMS as an internal standard and CDCl3 or DMSO-d6 as solvents. IR spectra were obtained on a Thermo Nicolet AVATAR 370 FT-IR instrument with KBr plates. Mass spectra were recorded on a Thermo Scientific ITQ 1100TM (EI) or Thermo-Finnigan LCQ-Advantage (ESI) instruments. Elemental analyses were performed on a Vario EL elemental analyzer. X-ray diffraction crystallography was measured on Rigaku Saturn 724 diffractometer. The reaction progress was monitored by TLC plates running in a PE-EtOAc solvent system, and spots were visualized by exposure to UV light (254 nm). All chemical reagents and solvents used in this study were commercial and were used without further purification.
3.2. Chemical Synthesis
3.2.1. 5-Substituted-2(3H)-benzothiazolones 1a–b
4-Substituted-2-aminothiophenol (0.10 mol) and Et3N (33.8 mL, 0.24 mol) were dissolved in CHCl3 (30 mL), cooled to 0 °C, and a solution of triphosgene (10.5 g, 0.035 mol) in CHCl3 (15 mL) was added dropwise. The resulting mixture was refluxed for 7 h, and then cooled to room temperature, washed with H2O (3 × 50 mL), the organic layer was dried over anhydrous MgSO4 and evaporated in vacuo. The residual solid was recrystallized from ethyl acetate to give pure 5-substituted-2(3H)-benzothiazolone (1).
2(3H)-Benzothiazolone (1a, R = H): yield 71.4%; m.p. 139–141 °C (138–140 °C, lit [22]). 1H-NMR (CDCl3) δ: 7.14 ~ 7.42 (m, 4H, ArH), 9.75(s, NH, 1H).
5-Chloro-2(3H)-benzothiazolone (1b, R = Cl): yield 77.0%; m.p. 240–241 °C (239–240 °C, lit [23]). 1H-NMR (CDCl3) δ: 7.19 ~ 7.50 (m, 3H, ArH), 9.77 (s, NH, 1H).
3.2.2. Ethyl 2-(5-substituted-2-oxobenzothiazolin-3-yl)acetates 2a–b
A mixture of 5-substituted-benzo[d]thiazol-2(3H)-one 1 (0.1 mol), potassium carbonate (15.9 g, 0.115 mol) and acetone (180 mL) was placed in a flask under stirring. Ethyl chloroacetate (0.11 mol) was added dropwise to the mixture and then refluxed for 6 h. The reaction mixture was next cooled and poured into ice-water. The precipitate formed was filtered and recrystallized from ethanol to give the corresponding ethyl 2-(5-substituted-2-oxobenzothiazolin-3-yl)acetate 2.
Ethyl 2-(2-oxo-benzothiazolin-3-yl)acetate (2a): 20.5 g, yield 92.0%, white solid, m.p. 91–92 °C (90–91 °C, lit [23]).
Ethyl 2-(5-chloro-2-oxobenzothiazolin-3-yl)acetate (2b): 24.3 g, yield 94.3%, white solid, m.p. 113–115 °C (115–116 °C, lit [23]).
3.2.3. (5-Substituted-2-oxobenzothiazolin-3-yl)-acetohydrazides 3a–b
A solution of ethyl (5-substituted-2-oxobenzothiazolin-3-yl)acetate 2 (0.01 mol) and hydrazine hydrate 85% (0.2 mol) in ethanol (100 mL) was refluxed while stirring for 24 h. Then the reaction mixture was cooled, and the precipitate formed was filtered, washed with water and dried to give (5-substituted-2-oxobenzothiazolin-3-yl)-acetohydrazide 3.
(2-Oxobenzothiazolin-3-yl)-acetohydrazide (3a): 1.86 g, yield 83.5%, white solid, m.p. 211–212 °C (211 °C, lit [24]).
(5-Chloro-2-oxobenzothiazolin-3-yl)-acetohydrazide (3b): 2.11 g, yield 81.7%, white solid, m.p. 208–210 °C. 1H-NMR δ (CDCl3): 4.31 (s, 2H, NH2), 4.54 (s, 2H, CH2), 7.23 ~ 7.68 (m, 3H, ArH), 9.46 (s, 1H, NH).
3.2.4. General Procedure for the Synthesis of Title Compounds 4
A mixture of (5-substituted-2-oxobenzothiazolin-3-yl)-acetohydrazide 3 (1 mmol), the corresponding aromatic acid (1.05 mmol) and POCl3 (5 mL) was heated under refluxing for 8 h. A portion of the POCl3 was distilled out and the remaining reaction mixture poured into ice-water. The precipitate formed was filtered and then was purified by column chromatography with PE-EtOAc (V:V = 3:1) to obtain the title 3-((5-aryl-1,3,4-oxadiazol-2-yl)methyl)benzo[d]thiazol-2(3H)-ones 4a–v.
3-[(5-Phenyl-1,3,4-oxadiazol-2-yl)methyl]benzo[d]thiazol-2(3H)-one (4a). Yield: 91.4%. Yellow solid, m.p. 166–168 °C; 1H-NMR (CDCl3) δ: 5.47 (s, 2H, CH2), 7.21 ~ 7.24 (m, 1H, Ar-H), 7.32 ~ 7.37 (m, 2H, Ar-H), 7.46 ~ 7.51 (m, 3H, Ar-H), 7.55 (t, J = 7.5 Hz, 1H, Ar-H), 8.02 (d, J = 7.5 Hz, 2H, Ar-H); 13C-NMR (DMSO-d6) δ: 168.95, 164.66, 161.53, 136.20, 132.16, 129.43, 126.76, 126.51, 123.69, 123.07, 122.95, 121.20, 111.59, 36.94; IR (cm−1) ν: 3057, 2988, 1682, 1592, 1475, 1324, 1186, 1016, 774, 747, 710, 687; EI-MS m/z (relative intensity): 310 (M+1, 16), 309 (M+, 82), 281 (16), 159 (14), 136 (100), 109 (24), 105 (81), 77 (53); Elemental anal. (%), calcd. for C16H11N3O2S: C, 62.12; H, 3.58; N, 13.58; found: C, 62.31; H, 3.55; N, 13.62.
3-[(5-o-Tolyl-1,3,4-oxadiazol-2-yl)methyl]benzo[d]thiazol-2(3H)-one (4b). Yield: 89.7%. Yellow solid, m.p. 187–189 °C; 1H-NMR (CDCl3) δ: 2.65 (s, 3H, CH3), 5.48 (s, 2H, CH2), 7.20 ~ 7.24 (m, 1H, Ar-H), 7.29 ~ 7.37 (m, 4H, Ar-H), 7.42 (t, J = 7.0 Hz, 1H, Ar-H), 7.46 (d, J = 7.5 Hz, 1H, Ar-H), 7.89 (d, J = 7.5 Hz, 1H, Ar-H); 13C-NMR (DMSO-d6) δ: 168.95, 164.84, 161.09, 137.57, 136.20, 131.72, 131.61, 128.69, 126.75, 126.47, 123.70, 123.07, 122.13, 121.20, 111.62, 36.88, 21.14; IR (cm−1) ν: 3071, 2973, 1674, 1592, 1475, 1390, 1331, 1184, 1133, 1070, 1020, 745; EI-MS m/z (relative intensity): 324 (M+1, 7), 323 (M+, 34), 136 (100), 119 (49), 109 (17), 91 (34), 77 (10), 65 (13); Elemental anal. (%), calcd. for C17H13N3O2S: C, 63.14; H, 4.05; N, 12.99; found: C, 63.33; H, 4.03; N, 13.04.
3-[(5-m-Tolyl-1,3,4-oxadiazol-2-yl)methyl]benzo[d]thiazol-2(3H)-one (4c). Yield: 87.4%. Yellow solid, m.p. 146–148 °C; 1H-NMR (CDCl3) δ: 2.65 (s, 3H, CH3), 5.48 (s, 2H, CH2), 7.20 ~ 7.23 (m, 1H, Ar-H), 7.34 ~ 7.39 (m, 4H, Ar-H), 7.46 (d, J = 7.5 Hz, 1H, Ar-H), 7.81 (d, J = 7.5 Hz, 1H, Ar-H), 7.85 (s, 1H, Ar-H); 13C-NMR (DMSO-d6) δ: 168.94, 164.74, 161.45, 138.93, 136.19, 132.82, 129.33, 126.78, 126.74, 123.71, 123.68, 123.06, 122.87, 121.19, 111.58, 36.93, 20.74; IR (cm−1) ν: 3074, 2954, 1682, 1589, 1549, 1473, 1323, 1183, 1081, 763, 726, 583; EI-MS m/z (relative intensity): 324 (M+1, 21), 323 (M+, 100), 173 (16), 136 (84), 119 (88), 109 (19), 91 (50), 77 (11); Elemental anal. (%), calcd. for C17H13N3O2S: C, 63.14; H, 4.05; N, 12.99; found: C, 63.37; H, 4.03; N, 13.03.
3-[(5-p-Tolyl-1,3,4-oxadiazol-2-yl)methyl]benzo[d]thiazol-2(3H)-one (4d). Yield: 90.2%. Yellow solid, m.p. 183–185 °C; 1H-NMR (CDCl3) δ: 2.42 (s, 3H, CH3), 5.45 (s, 2H, CH2), 7.20 ~ 7.23 (m, 1H, Ar-H), 7.29 (d, J = 8.0 Hz, 2H, Ar-H), 7.33 ~ 7.35 (m, 2H, Ar-H), 7.50 (d, J = 7.5 Hz, 1H, Ar-H), 7.90 (d, J = 8.0 Hz, 2H, Ar-H); 13C-NMR (CDCl3) δ: 169.88, 166.12, 160.35, 142.80, 135.93, 129.76, 127.08, 126.87, 123.99, 122.80, 122.24, 120.40, 111.03, 36.74, 21.64; IR (cm−1) ν: 3078, 2920, 1685, 1614, 1591, 1499, 1474, 1323, 1181, 1068, 745, 470; EI-MS m/z (relative intensity): 324 (M+1, 11), 323 (M+, 52), 173 (19), 136 (73), 119 (100), 109 (15), 91 (37), 65 (15); Elemental anal. (%), calcd. for C17H13N3O2S: C, 63.14; H, 4.05; N, 12.99; found: C, 63.29; H, 4.03; N, 12.95.
3-[(5-(4-Propylphenyl)-1,3,4-oxadiazol-2-yl)methyl]benzo[d]thiazol-2(3H)-one (4e). Yield: 86.0%. Pale solid, m.p. 145–147 °C; 1H-NMR (CDCl3) δ: 0.95 (t, J = 7.5Hz, 3H, CH3), 1.65 ~ 1.69 (m, 2H, CH2CH2CH3), 2.65 (t, J = 7.5 Hz, 2H, CH2CH2CH3), 5.45 (s, 2H, CH2), 7.21 ~ 7.23 (m, 1H, Ar-H), 7.29 (d, J = 8.5 Hz, 2H, Ar-H), 7.32 ~ 7.34 (m, 2H, Ar-H), 7.45 (d, J = 8.0 Hz, 1H, Ar-H), 7.92 (d, J = 8.0 Hz, 2H, Ar-H); 13C-NMR (DMSO-d6) δ: 168.93, 164.75, 161.27, 146.37, 136.20, 129.38, 128.34, 127.43, 123.69, 123.25, 121.20, 120.47, 111.58, 43.20, 36.97, 23.70, 13.49; IR (cm−1) ν: 3032, 2960, 1680, 1605, 1566, 1474, 1409, 1360, 1332, 1243, 1185, 755; EI-MS m/z (relative intensity): 352 (M+1, 6), 351 (M+, 27), 201 (15), 147 (100), 136 (93), 116 (19), 109 (14), 91 (19); Elemental anal. (%), calcd. for C19H17N3O2S: C, 64.94; H, 4.88; N, 11.96; found: C, 65.06; H, 4.85; N, 12.01.
3-[(5-(4-Isopropylphenyl)-1,3,4-oxadiazol-2-yl)methyl]benzo[d]thiazol-2(3H)-one (4f). Yield: 83.8%. Yellow solid, m.p. 143–145 °C; 1H-NMR (CDCl3) δ: 1.27 (d, J = 7.0 Hz, 6H, CH(CH3)2), 2.94 ~ 2.99 (m, 1H, CH(CH3)2), 5.46 (s, 2H, CH2), 7.20 ~ 7.23 (m, 1H, Ar-H), 7.33 ~ 7.35 (m, 4H, Ar-H), 7.47 (d, J = 6.0 Hz, 1H, Ar-H), 7.93 (d, J = 8.0 Hz, 2H, Ar-H); 13C-NMR (DMSO-d6) δ: 168.93, 164.70, 161.28, 152.92, 136.20, 127.40, 126.74, 126.63, 123.68, 123.24, 121.18, 120.57, 111.58, 36.92, 33.40, 23.40; IR (cm−1) ν: 3071, 2964, 1687, 1614, 1593, 1476, 1421, 1322, 1181, 1012, 842, 741; EI-MS m/z (relative intensity): 352 (M+1, 14), 351 (M+, 59), 147 (78), 136 (100), 130 (16), 109 (13), 103 (11), 91 (13); Elemental anal. (%), calcd. for C19H17N3O2S: C, 64.94; H, 4.88; N, 11.96; found: C, 65.09; H, 4.86; N, 12.04.
3-[(5-(4-tert-Butylphenyl)-1,3,4-oxadiazol-2-yl)methyl]benzo[d]thiazol-2(3H)-one (4g). Yield: 78.5%. Yellow solid, m.p. 188–190 °C; 1H-NMR (CDCl3) δ: 1.35 (s, 9H, C(CH3)3), 5.46 (s, 2H, CH2), 7.19 ~ 7.23 (m, 1H, Ar-H), 7.31 ~ 7.35 (m, 2H, Ar-H), 7.45 (d, J = 7.5 Hz, 1H, Ar-H), 7.49 (d, J = 8.5 Hz, 2H, Ar-H), 7.93 (d, J = 8.0 Hz, 2H, Ar-H); 13C-NMR (CDCl3) δ: 169.86, 166.05, 160.37, 155.86, 135.92, 126.96, 126.86, 126.04, 123.98, 122.80, 122.23, 120.34, 111.00, 36.76, 35.09, 31.05; IR (cm−1) ν: 3061, 2968, 1685, 1615, 1593, 1477, 1322, 1180, 1116, 1011, 844, 742; EI-MS m/z (relative intensity): 366 (M+1, 7), 365 (M+, 32), 350 (8), 161 (66), 144 (11), 136 (100), 116 (13), 91 (8); Elemental anal. (%), calcd. for C20H19N3O2S: C, 65.73; H, 5.24; N, 11.50; found: C, 65.81; H, 5.22; N, 11.54.
3-[(5-(4-Pentylphenyl)-1,3,4-oxadiazol-2-yl)methyl]benzo[d]thiazol-2(3H)-one (4h). Yield: 81.1%. Pale solid, m.p. 196–198 °C; 1H-NMR (CDCl3) δ: 0.90(t, J = 7.0 Hz, 3H, CH3), 1.32 ~ 1.65 (m, 6H, CH2(CH2)3CH3), 2.66 (t, J = 7.5 Hz, 2H, CH2(CH2)3CH3), 5.46 (s, 2H, CH2), 7.19 ~ 7.23 (m, 1H, Ar-H), 7.29 (d, J = 8.5 Hz, 2H, Ar-H), 7.38 (t, J = 7.5 Hz, 1H, Ar-H), 7.47 (t, J = 7.5 Hz, 2H, Ar-H), 7.91 (d, J = 8.5 Hz, 2H, Ar-H); 13C-NMR (DMSO-d6) δ: 168.99, 164.81, 161.29, 147.15, 136.23, 129.35, 126.81, 126.56, 123.74, 123.10, 121.24, 120.45, 111.62, 36.95, 34.99, 30.78, 30.19, 21.88, 13.85; IR (cm−1) ν: 3031, 2929, 1667, 1612, 1595, 1476, 1340, 1242, 1190, 1023, 853, 748; EI-MS m/z (relative intensity): 380 (M+1, 23), 379 (M+, 97), 229 (13), 175 (92), 136 (100), 118 (13), 109 (13), 91 (22); Elemental anal. (%), calcd. for C21H21N3O2S: C, 66.47; H, 5.58; N, 11.07; found: C, 66.54; H, 5.55; N, 11.11.
3-[(5-(3-Chlorophenyl)-1,3,4-oxadiazol-2-yl)methyl]benzo[d]thiazol-2(3H)-one (4i). Yield: 85.8%. White solid, m.p. 171–173 °C; 1H-NMR (CDCl3) δ: 5.47 (s, 2H, CH2), 7.20 ~ 7.24 (m, 1H, Ar-H), 7.31 ~ 7.36 (m, 2H, Ar-H), 7.44 ~ 7.48 (m, 2H, Ar-H), 7.51 ~ 7.54 (m, 1H, Ar-H), 7.91 (d, J = 7.5 Hz, 1H, Ar-H), 8.02 (s, 1H, Ar-H); 13C-NMR (CDCl3) δ: 169.89, 164.84, 160.98, 135.82, 135.27, 132.23, 130.44, 127.07, 126.91, 125.22, 124.79, 124.09, 122.89, 122.26, 110.91, 36.67; IR (cm−1) ν: 3064, 2960, 1699, 1594, 1571, 1477, 1424, 1325, 1242, 1180, 801, 746, 585; EI-MS m/z (relative intensity): 345 (M+2, 31), 344 (M+1, 17), 343 (M+, 74), 314 (16), 193 (12), 141 (28), 136 (100), 111 (41), 75 (16); Elemental anal. (%), calcd. for C16H10ClN3O2S: C, 55.90; H, 2.93; N, 12.22; found: C, 56.07; H, 2.91; N, 12.27.
3-[(5-(2,4-Dichlorophenyl)-1,3,4-oxadiazol-2-yl)methyl]benzo[d]thiazol-2(3H)-one (4j). Yield: 84.6%. White solid, m.p. 162–163 °C; 1H-NMR (CDCl3) δ: 5.49 (s, 2H, CH2), 7.21 ~ 7.25 (m, 1H, Ar-H), 7.29 (d, J = 8.0 Hz, 1H, Ar-H), 7.33 ~ 7.36 (m, 1H, Ar-H), 7.38 ~ 7.40 (m, 1H, Ar-H), 7.47 (d, J = 7.5 Hz, 1H, Ar-H), 7.56 (d, J = 2.0 Hz, 1H, Ar-H), 7.91 (d, J = 8.5 Hz, 1H, Ar-H); 13C-NMR (CDCl3) δ: 169.85, 163.55, 161.15, 138.58, 135.79, 134.14, 131.93, 131.25, 127.64, 126.89, 124.08, 122.89, 122.29, 120.99, 110.89, 36.69; IR (cm−1) ν: 3095, 2922, 1674, 1593, 1474, 1418, 1375, 1334, 1184, 1104, 1023, 816, 746; EI-MS m/z (relative intensity): 382 (M+4, 1), 380 (M+2, 5), 379 (M+1, 22), 378 (M+, 8), 377 (M−1, 45), 173 (61), 164 (16), 145 (14), 136 (100), 109 (31); Elemental anal. (%), calcd. for C16H9Cl2N3O2S: C, 50.81; H, 2.40; N, 11.11; found: C, 50.97; H, 2.38; N, 11.15.
3-[(5-(3-Fluorophenyl)-1,3,4-oxadiazol-2-yl)methyl]benzo[d]thiazol-2(3H)-one (4k). Yield: 87.5%. Yellow solid, m.p. 174–176 °C; 1H-NMR (CDCl3) δ: 5.47 (s, 2H, CH2), 7.18 ~ 7.24 (m, 2H, Ar-H), 7.28 ~ 7.34 (m, 2H, Ar-H), 7.44 ~ 7.48 (m, 2H, Ar-H), 7.69 ~ 7.71 (m, 1H, Ar-H), 7.79 (d, J = 7.5 Hz, 1H, Ar-H); 13C-NMR (CDCl3) δ: 169.85, 164.98, 164.95, 163.75, 161.78, 160.93, 135.83, 130.99, 130.92, 126.90, 125.07, 125.00, 124.07, 122.92, 122.90, 122.88, 122.27, 119.35, 119.18, 114.27, 114.08, 110.90, 36.68; IR (cm−1) ν: 3082, 2951, 1681, 1591, 1473, 1423, 1323, 1270, 1194, 1184, 869, 766, 728; EI-MS m/z (relative intensity): 328 (M+1, 19), 327 (M+, 100), 299 (20), 177 (13), 136 (98), 123 (98), 109 (27), 95 (65); Elemental anal. (%), calcd. for C16H10FN3O2S: C, 58.71; H, 3.08; N, 12.84; found: C, 58.85; H, 3.06; N, 12.80.
3-[(5-(4-Fluorophenyl)-1,3,4-oxadiazol-2-yl)methyl]benzo[d]thiazol-2(3H)-one (4l). Yield: 82.6%. Yellow solid, m.p. 192–194 °C; 1H-NMR (CDCl3) δ: 5.46 (s, 2H, CH2), 7.17 ~ 7.24 (m, 3H, Ar-H), 7.32 ~ 7.37 (m, 2H, Ar-H), 7.46 ~ 7.48 (m, 1H, Ar-H), 8.02 ~ 8.06 (m, 2H, Ar-H); 13C-NMR (CDCl3) δ: 169.86, 166.03, 165.16, 164.01, 160.64, 135.87, 129.52, 129.45, 126.89, 124.05, 122.85, 122.25, 119.54, 119.52, 116.55, 116.37, 110.96, 36.68; IR (cm−1) ν: 3075, 3006, 1681, 1607, 1495, 1472, 1323, 1235, 1176, 1156, 1087, 848, 750; EI-MS m/z (relative intensity): 328 (M+1, 16), 327 (M+, 85), 299 (16), 177 (20), 136 (77), 123 (100), 109 (24), 95 (43); Elemental anal. (%), calcd. for C16H10FN3O2S: C, 58.71; H, 3.08; N, 12.84; found: C, 58.82; H, 3.07; N, 12.88.
3-[(5-(2-Methoxyphenyl)-1,3,4-oxadiazol-2-yl)methyl]benzo[d]thiazol-2(3H)-one (4m). Yield: 91.5%. Yellow solid, m.p. 173–174 °C; 1H-NMR (CDCl3) δ: 3.92 (s, 3H, OCH3), 5.47 (s, 2H, CH2), 7.02 ~ 7.07 (m, 2H, Ar-H), 7.20 ~ 7.23 (m, 1H, Ar-H), 7.33 ~ 7.34 (m, 2H, Ar-H), 7.45 (d, J = 7.5 Hz, 1H, Ar-H), 7.49 ~ 7.52 (m, 1H, Ar-H), 7.87 ~ 7.89 (dd, J1 = 2.0 Hz, J2 = 7.5 Hz, 1H, Ar-H); 13C-NMR (CDCl3) δ: 169.81, 164.65, 160.29, 157.97, 135.99, 133.45, 130.54, 126.81, 123.91, 122.73, 122.24, 120.72, 112.35, 111.96, 111.09, 55.93, 36.80; IR (cm−1) ν: 3090, 2995, 1686, 1605, 1592, 1496, 1474, 1323, 1269, 1181, 1022, 751; EI-MS m/z (relative intensity): 340 (M+1, 12), 339 (M+, 56), 237 (14), 175 (20), 164 (25), 136 (100), 109 (26), 77 (22); Elemental anal. (%), calcd. for C17H13N3O3S: C, 60.17; H, 3.86; N, 12.38; found: C, 60.33; H, 3.88; N, 12.46.
3-[(5-(4-Methoxyphenyl)-1,3,4-oxadiazol-2-yl)methyl]benzo[d]thiazol-2(3H)-one (4n). Yield: 93.2%. Yellow solid, m.p. 142–143 °C; 1H-NMR (CDCl3) δ: 3.88 (s, 3H, OCH3), 5.44 (s, 2H, CH2), 6.98 ~ 7.00 (m, 2H, Ar-H), 7.21 ~ 7.23 (m, 1H, Ar-H), 7.34 ~ 7.35 (m, 2H, Ar-H), 7.46 (d, J = 7.5 Hz, 1H, Ar-H), 7.95 ~ 7.97 (m, 2H, Ar-H); 13C-NMR (DMSO-d6) δ: 168.94, 164.59, 162.14, 160.94, 136.22, 128.38, 126.76, 123.69, 123.07, 121.20, 115.26, 114.90, 111.60, 55.49, 36.92; IR (cm−1) ν: 3086, 2979, 1671, 1593, 1499, 1474, 1325, 1309, 1257, 1179, 1020, 842, 762; EI-MS m/z (relative intensity): 340 (M+1, 5), 339 (M+, 24), 189 (15), 135 (100), 133 (24), 109 (10), 92 (8), 77 (10); Elemental anal. (%), calcd. for C17H13N3O3S: C, 60.17; H, 3.86; N, 12.38; found: C, 60.38; H, 3.82; N, 12.44.
3-[(5-(3-Nitrophenyl)-1,3,4-oxadiazol-2-yl)methyl]benzo[d]thiazol-2(3H)-one (4o). Yield: 82.6%. Yellow solid, m.p. 158–160 °C; 1H-NMR (CDCl3) δ: 5.51 (s, 2H, CH2), 7.22 ~ 7.24 (m, 1H, Ar-H), 7.30 ~ 7.33 (m, 1H, Ar-H), 7.35 ~ 7.39 (m, 1H, Ar-H), 7.48 (d, J = 8.0 Hz, 1H, Ar-H), 7.74 (t, J = 8.0 Hz, 1H, Ar-H), 8.37 ~ 8.39 (m, 1H, Ar-H), 8.41 ~ 8.43 (m, 1H, Ar-H), 8.87 ~ 8.88 (m, 1H, Ar-H); 13C-NMR (DMSO-d6) δ: 168.99, 163.24, 162.19, 148.18, 136.17, 132.61, 131.40, 126.62, 126.52, 124.46, 123.73, 123.09, 121.22, 121.10, 111.63, 36.92; IR (cm−1) ν: 3085, 2926, 1689, 1595, 1529, 1474, 1426, 1351, 1327, 1230, 1183, 744, 713; EI-MS m/z (relative intensity): 355 (M+1, 4), 354 (M+, 15), 322 (100), 265 (85), 150 (27), 136 (18), 91 (50), 77 (14); Elemental anal. (%), calcd. for C16H10N4O4S: C, 54.23; H, 2.84; N, 15.81; found: C, 54.40; H, 2.82; N, 15.87.
3-[(5-(2-Chloropyridin-3-yl)-1,3,4-oxadiazol-2-yl)methyl]benzo[d]thiazol-2(3H)-one (4p). Yield: 73.5%. Yellow solid, m.p. 169–171 °C; 1H-NMR (CDCl3) δ: 5.51 (s, 2H, CH2), 7.24 (t, J = 7.5 Hz, 1H, Ar-H), 7.29 (d, J = 8.0 Hz, 1H, Ar-H), 7.37 (t, J = 7.5 Hz, 1H, Ar-H), 7.41 ~ 7.44 (m, 1H, Ar-H), 7.48 ~ 7.49 (m, 1H, Ar-H), 8.31 ~ 8.33 (m, 1H, Ar-H), 8.58 ~ 8.59 (m, 1H, Ar-H); 13C-NMR (DMSO-d6) δ: 168.98, 162.37, 161.68, 152.50, 147.72, 140.56, 136.15, 126.77, 123.75, 123.54, 123.10, 121.22, 119.51, 111.66, 36.87; IR (cm−1) ν: 3089, 2923, 1703, 1593, 1542, 1475, 1427, 1380, 1323, 1178, 1061, 748; EI-MS m/z (relative intensity): 346 (M+2, 15), 344 (M+, 55), 164 (11), 142 (12), 136 (100), 112 (22), 109 (27), 76 (15); Elemental anal. (%), calcd. for C15H9ClN4O2S: C, 52.25; H, 2.63; N, 16.25; found: C, 52.47; H, 2.62; N, 16.31.
5-Chloro-3-[(5-phenyl-1,3,4-oxadiazol-2-yl)methyl)]benzo[d]thiazol-2(3H)-one (4q). Yield: 83.6%. Yellow solid, m.p. 218–220 °C; 1H-NMR (CDCl3) δ: 5.43 (s, 2H, CH2), 7.20 ~ 7.22 (m, 1H, Ar-H), 7.36 ~ 7.39 (m, 2H, Ar-H), 7.50 ~ 7.53 (m, 2H, Ar-H), 7.55 ~ 7.59 (m, 1H, Ar-H), 8.03 (d, J = 7.0 Hz, 2H, Ar-H); 13C-NMR (DMSO-d6) δ: 169.15, 164.74, 161.36, 137.46, 132.20, 131.49, 129.48, 126.54, 124.56, 123.52, 123.01, 120.08, 111.90, 37.22; IR (cm−1) ν: 3097, 2950, 1692, 1591, 1473, 1440, 1322, 1240, 1169, 1089, 800, 712; ESI-MS m/z: 344 [M+H]+, 345 [M+2]+, 366 [M+Na]+. Elemental anal. (%), calcd. for C16H10ClN3O2S: C, 55.90; H, 2.93; N, 12.22; found: C, 56.16; H, 2.91; N, 12.24.
5-Chloro-3-[(5-m-tolyl-1,3,4-oxadiazol-2-yl)methyl]benzo[d]thiazol-2(3H)-one (4r). Yield: 81.5%. Yellow solid, m.p. 209–211 °C; 1H-NMR (CDCl3) δ: 2.43 (s, 3H, CH3), 5.43 (s, 2H, CH2), 7.20 ~ 7.22 (m, 1H, Ar-H), 7.36 ~ 7.38 (m, 3H, Ar-H), 7.39 (s, 1H, Ar-H), 7.82 (d, J = 7.0 Hz, 1H, Ar-H), 7.86 (s, 1H, Ar-H); 13C-NMR (DMSO-d6) δ: 169.15, 164.81, 161.28, 138.97, 137.46, 132.86, 131.49, 129.38, 126.83, 124.56, 123.73, 123.52, 122.94, 120.09, 111.91, 37.20, 20.78; IR (cm−1) ν: 3091, 2951, 1682, 1591, 1473, 1441, 1324, 1182, 1140, 1087, 893, 799; ESI-MS m/z: 358 [M+H]+, 359 [M+2]+, 380 [M+Na]+. Elemental anal. (%), calcd. for C17H12ClN3O2S: C, 57.06; H, 3.38; N, 11.74; found: C, 57.32; H, 3.36; N, 11.77.
5-Chloro-3-[(5-p-tolyl-1,3,4-oxadiazol-2-yl)methyl]benzo[d]thiazol-2(3H)-one (4s). Yield: 83.0%. Yellow solid, m.p. 109–110 °C; 1H-NMR (CDCl3) δ: 2.43 (s, 3H, CH3), 5.42 (s, 2H, CH2), 7.20 ~ 7.22 (m, 1H, Ar-H), 7.30 (d, J = 8.0 Hz, 2H, Ar-H), 7.36 (d, J = 2.0 Hz, 1H, Ar-H), 7.37 (d, J = 8.5 Hz, 1H, Ar-H), 7.91 (d, J = 8.0 Hz, 2H, Ar-H); 13C-NMR (DMSO-d6) δ: 169.12, 164.81, 161.06, 142.37, 137.44, 131.48, 129.98, 126.47, 124.52, 123.49, 120.25, 120.07, 111.87, 37.19, 21.08; IR (cm−1) ν: 3094, 2923, 1686, 1591, 1490, 1471, 1440, 1317, 1182, 1087, 825, 730; ESI-MS m/z: 358 [M+H]+, 359 [M+2]+, 380 [M+Na]+. Elemental anal. (%), calcd. for C17H12ClN3O2S: C, 57.06; H, 3.38; N, 11.74; found: C, 57.14; H, 3.39; N, 11.78.
3-[(5-(4-tert-Butylphenyl)-1,3,4-oxadiazol-2-yl)methyl]-5-chlorobenzo[d]thiazol-2(3H)-one (4t). Yield: 73.0%. Yellow solid, m.p. 180–181 °C; 1H-NMR (CDCl3) δ: 1.35 (s, 9H, C(CH3)3), 5.42 (s, 2H, CH2), 7.19 ~ 7.21 (m, 1H, Ar-H), 7.35 (d, J = 2.0 Hz, 1H, Ar-H), 7.37 (d, J = 8.5 Hz, 1H, Ar-H), 7.51 (d, J = 8.5 Hz, 2H, Ar-H), 7.95 (d, J = 8.5 Hz, 2H, Ar-H); 13C-NMR (DMSO-d6) δ: 169.12, 164.72, 161.13, 155.15, 137.45, 131.48, 126.38, 126.28, 124.54, 123.50, 120.27, 120.07, 111.87, 37.20, 34.80, 30.74; IR (cm−1) ν: 3096, 2921, 1681, 1591, 1494, 1475, 1447, 1337, 1189, 1113, 852, 811; ESI-MS m/z: 400 [M+H]+, 401 [M+2]+, 422 [M+Na]+. Elemental anal. (%), calcd. for C20H18ClN3O2S: C, 60.07; H, 4.54; N, 10.51; found: C, 60.31; H, 4.51; N, 10.55.
5-Chloro-3-[(5-(4-methoxyphenyl)-1,3,4-oxadiazol-2-yl)methyl]benzo[d]thiazol-2(3H)-one (4u). Yield: 85.8%. Yellow solid, m.p. 170–171 °C; 1H-NMR (CDCl3) δ: 3.88 (s, 3H, OCH3), 5.41 (s, 2H, CH2), 6.99 ~ 7.01 (m, 2H, Ar-H), 7.19 ~ 7.21 (m, 1H, Ar-H), 7.36 ~ 7.39 (m, 2H, Ar-H), 7.96 (d, J = 9.0 Hz, 2H, Ar-H); 13C-NMR (DMSO-d6) δ: 169.12, 164.65, 162.15, 160.76, 137.46, 131.48, 128.38, 124.54, 123.49, 120.07, 115.30, 114.92, 111.87, 55.50, 37.18; IR (cm−1) ν: 3094, 2922, 1687, 1593, 1501, 1475, 1326, 1259, 1180, 1088, 1026, 837, 800; ESI-MS m/z: 374 [M+H]+, 375 [M+2]+, 396 [M+Na]+. Elemental anal. (%), calcd. for C17H12ClN3O3S: C, 54.62; H, 3.24; N, 11.24; found: C, 54.77; H, 3.27; N, 11.26.
5-Chloro-3-[(5-(2-chloropyridin-3-yl)-1,3,4-oxadiazol-2-yl)methyl]benzo[d]thiazol-2(3H)-one (4v). Yield: 69.0%. Yellow solid, m.p. 165–167 °C; 1H-NMR (CDCl3) δ: 5.48 (s, 2H, CH2), 7.22 ~ 7.24 (dd, J1 = 2.0 Hz, J2 = 8.5 Hz, 1H, Ar-H), 7.32 (d, J = 2.0 Hz, 1H, Ar-H), 7.39 (d, J = 8.5 Hz, 1H, Ar-H), 7.42 ~ 7.45 (m, 1H, Ar-H), 8.35 ~ 8.37 (dd, J1 = 2.0 Hz, J2 = 7.5 Hz, 1H, Ar-H), 8.59 ~ 8.60 (dd, J1 = 2.0 Hz, J2 = 4.5 Hz, 1H, Ar-H); 13C-NMR (DMSO-d6) δ: 169.13, 162.17, 161.73, 152.51, 147.67, 140.54, 137.36, 131.48, 124.55, 123.54, 120.07, 119.50, 111.96, 37.06; IR (cm−1) ν: 3077, 2976, 1693, 1591, 1575, 1473, 1441, 1391, 1340, 1184, 809, 742; ESI-MS m/z: 379 [M+H]+, 380 [M+2]+, 382 [M+4]+, 401 [M+Na]+. Elemental anal. (%), calcd. for C15H8Cl2N4O2S: C, 47.51; H, 2.13; N, 14.77; found: C, 47.70; H, 2.12; N, 14.82.
3.3. Crystal Structure Determination
The crystal of compound 4i with dimensions of 0.20 mm × 0.18 mm × 0.16 mm was mounted on a Rigaku Saturn 724 diffractometer with a graphite-monochromated MoKα radiation (λ = 0.71073 Å) by using a Phi scan modes at 113 (2) K in the reange of 1.82° ≤ θ ≤ 25.02°. A total of 12122 reflections were collected, of which 2669 were independent (Rint = 0.127) and 2406 were observed with I > 2σ(I). The calculations were performed with SHELXS-97 program [25] and the empirical absorption corrections were applied to all intensity data. The non-hydrogen atoms were refined anisotropically. The hydrogen atoms were determined with theoretical calculations and refined isotropically. The final full-matrix least squares refinement gave R = 0.089 and wR = 0.251 (w = 1/[s2(Fo2) + (0.1322P)2 + 9.386P] where P = (Fo2 + 2Fc2)/3, S = 1.06, (Δ/σ) max = 0.121, Δρmax = 0.94 and Δρmin = −0.60 e Å−3. CCDC No. 856797 contains the supplementary crystallographic data for this paper. These data can be obtained free of charge via www.ccdc.cam.ac.uk/conts/retrieving.html (or from the CCDC, 12 Union Road, Cambridge CB2 1EZ, UK; Fax: +44 1223 336033; Email: deposit@ccdc.cam.ac.uk).
3.4. Antifungal Activity Assays
The in vitro antifungal activities of 4a–v against Colletotrichum orbiculare, Botrytis cinerea and Rhizoctonia solani were evaluated using the mycelium growth rate test [26]. The method for testing the primary biological activity was performed in an isolated culture. Under sterile conditions, sample (1 mL) was added to the culture plates, followed by the addition of culture medium (9 mL). The final mass concentration was 50 μg/mL. Circle mycelium with a diameter of 4 mm was cut using a drill. The culture plates were cultivated at 24 ± 1 °C. The extended diameters of the circle mycelium were measured after 72 h. Propiconazole, a commercial fungicide, was used as a control, and sterile water was used as a blank. Three replications were performed. The relative inhibition rate of the circle mycelium compared to blank assay was calculated via the following equation:
where dex is the extended diameter of the circle mycelium during the blank assay; and dex' is the extended diameter of the circle mycelium during testing.
Relative inhibition rate (%) = [(dex − dex')/dex] × 100%
4. Conclusions
In summary, 22 new 3-[(5-aryl-1,3,4-oxadiazol-2-yl)methyl]benzo[d]thiazol-2(3H)-ones were designed and synthesized by reaction of (5-substituted-2-oxobenzothiazolin-3-yl)-acetohydrazide with various aromatic acids in POCl3 under reflux conditions. The structures of the title compounds possess both benzothiazole and 1,3,4-oxadiazole skeletons, and their structures were confirmed by 1H-NMR, 13C-NMR, IR, MS and elemental analysis. Furthermore, the structure of compound 4i was determined by single-crystal X-ray diffraction. The biological evaluation showed that some of them exhibited moderate inhibition activity against Colletotrichum orbiculare, Botrytis cinerea and Rhizoctonia solani, and could be useful lead compounds for fungicide development.
Supplementary Materials
Supplementary materials can be accessed at: http://www.mdpi.com/1420-3049/17/1/989/s1.
Acknowledgements
These projects were financed by the National Natural Science Foundation of China (No. 30900959) and the National Twelfth Five-Year Research Program of China (No. 2011BAE06B03-01).
References and Notes
- Mahran, M.A.; El-nassry, S.M.F.; Allam, S.R.; El-zawawy, L.A. Synthesis of some new benzothiazole derivatives as potential antimicrobial and antiparasotic agents. Pharmazie 2003, 58, 527–530. [Google Scholar]
- Sidoova, E.; Loos, D.; Bujdakova, H.; Kallova, J. New anticandidous 2-alkylthio-6-aminobenzothiazoles. Molecules 1997, 2, 36–42. [Google Scholar] [CrossRef]
- Wang, W.; Zhang, G.P.; Song, B.A.; Wang, H.; Jin, L.H.; Hu, D.Y.; Yang, S. Synthesis and anti-tobacco mosaic virus activity of O,O'-dialkyl-α-(substituted benzothiazol-2-yl)amino-(substituted phenylmethyl)phosphonate. Chin. J. Org. Chem. 2007, 27, 279–284. [Google Scholar]
- Michael, G.; Gabriele, D.; Wilfried, F.; Gerhard, J.; Richard, R. Preparation of substituted benzothiazoles as herbicides. Ger. Offen. DE 4,117,508, 1992. Chem. Abstr. 1993, 118, 101946. [Google Scholar]
- Clifford, D.P.; Edwards, R.V.; Hewson, R.T. Synthesis and plant growth regulatory properties of substituted 2-(2,2,2-trichloroethylideneamino)phenols, 2-(trichloromethyl)benzoxazoles and benzothiazoles. J. Agric. Food Chem. 1981, 29, 640–643. [Google Scholar] [CrossRef]
- Huang, Q.C.; Qian, X.H.; Song, G.H.; Cao, S. The toxic and antifeedant activity of 2H-pyridazin-3-one-substituted 1,3,4-oxadiazoles against the armyworm Pseudaletia separata (walker) and other insects and mites. Pest Manag. Sci. 2003, 59, 933–939. [Google Scholar] [CrossRef]
- Mo, Q.J.; Duan, W.G.; Li, X.R.; Huang, D.P.; Luo, Z.J. Synthesis and herbicidal activity of 2-substituted amino-5-dehydroabietyl-1,3,4-oxadiazole derivatives. Chin. J. Org. Chem. 2011, 31, 1114–1121. [Google Scholar]
- Omar, F.A.; Mahfouz, N.M.; Rahman, M.A. Design, synthesis and antiinflammatory activity of some 1,3,4-oxadiazole derivatives. Eur. J. Med. Chem. 1996, 31, 819–825. [Google Scholar] [CrossRef]
- Okuda, F.; Kado, K.; Kio, M.; Kubo, Y. Fumigant compositions containing oxadiazole insecticide for control of pyrethroid-resistant cockroaches. JP Patent 09,157,114, 1997. Chem. Abstr. 1997, 127, 289378. [Google Scholar]
- Rhone-Poulenc, S.A. Oxadiazolinone compounds and herbicidal compositions. GB Patent 1,110,500, 1968. Chem. Abstr. 1968, 69, 52143. [Google Scholar]
- Vansdadia, R.N.; Roda, K.P.; Parekh, H. Studies on 1,3,4-oxadiazoles. Part X. Preparation and antimicrobial activity of 2-aryl-5-p-phenylsulfophenyl-1,3,4-oxadiazoles. J. Indian Chem. Soc. 1988, 65, 809–811. [Google Scholar]
- Dacons, J.C.; Sitzmann, M.E. Synthesis of 2,4,6-trinitrophenyl derivatives of heterocyclic compounds. J. Heterocycl. Chem. 1977, 14, 1151–1155. [Google Scholar] [CrossRef]
- Wang, S.; Li, Z.T.; Hua, W.T. Synthesis and characterization of fully conjugated schiff base macrocycles containing 1,3,4-oxadiazole moiety. Synth. Commun. 2002, 32, 3339–3345. [Google Scholar] [CrossRef]
- Liras, S.; Allen, M.P.; Segelstein, B.E. A mild method for the preparation of 1,3,4-oxadiazoles: Triflic anhydride promoted cyclization of diacylhydrazines. Synth. Commun. 2000, 30, 437–443. [Google Scholar] [CrossRef]
- Bentiss, F.; Lagrenee, M.; Barbry, D. Rapid synthesis of 2,5-disubstituted 1,3,4-oxadiazoles under microwave irradiation. Synth. Commun. 2001, 31, 935–938. [Google Scholar] [CrossRef]
- Brown, B.J.; Clemens, I.R.; Neesom, J.K. Diisopropylcarbodiimide. A novel reagent for the synthesis of 1,3,4-oxadiazoles on solid-phase. Synlett 2000, 1, 131–133. [Google Scholar]
- Lutun, S.; Hasiak, B.; Couturier, D. A new synthesis of 1,3,4-oxadiazoles by cyclization of N,N'-diacylhydrazines catalyzed by palladium (0). Synth. Commun. 1999, 29, 111–116. [Google Scholar] [CrossRef]
- Mogilaiah, K.; Reddy, P.R. Hypervalent iodine mediated solid state synthesis of 1,8-naphthyridinyl-1,3,4-oxadiazoles. Indian J. Chem. B. 2001, 40, 619–621. [Google Scholar]
- Weng, J.Q.; Shen, D.L.; Tan, C.X.; Ou, X.M. Synthesis, structure and biological activities of N-arylaminocarbonyl-2-oxo/thio-thiazolidine. Chin. J. Org. Chem. 2006, 26, 1106–1110. [Google Scholar]
- Weng, J.Q.; Liu, H.J.; Liu, X.H.; Tan, C.X.; Shen, D.L. Synthesis and fungicidal activity of 2-(4-(4-fluorophenyl)thiazol)-2-yl)-3-hydroxy-3-hydrocarbyloxy acrylonitriles. Chin. J. Pestic. Sci. 2010, 12, 463–467. [Google Scholar]
- Weng, J.Q.; Huang, H.; Yu, Z.Q.; Zhang, H.M.; Tan, C.X.; Liu, X.H. Synthesis and fungicidal activity of hydrazone derivatives containing 2(3H)-benzothiazolone moiety. Asian J. Chem. 2012, 24, 561–564. [Google Scholar]
- Itoh, T.; Mase, T. A novel practical synthesis of benzothiazoles via Pd-catalyzed thiol cross-coupling. Org. Lett. 2007, 9, 3687–3689. [Google Scholar] [CrossRef]
- D’Amico, J.J.; Bollinger, F.G. Synthesis of 2-oxo-3-benzothiazolineacetyl chloride (7), 5-chloro-2-oxo-3-benzothiazolineacetyl chloride (8) and derivatives. J. Heterocycl. Chem. 1988, 25, 1183–1190. [Google Scholar] [CrossRef]
- Cakir, B.; Yildirim, E.; Ercanli, T.; Erol, K.; Sahin, M.F. Synthesis and anticonvulsant activity of some (2/4-substituted)benzaldehyde(2-oxobenzothiazolin-3-yl)acetohydrazones. Il Farmaco 1999, 54, 842–845. [Google Scholar] [CrossRef]
- Sheldrick, G.M. SHELX-97; University of Gǒttingen: Gǒttingen, Germany, 1997. [Google Scholar]
- Mu, L.Y. Research Method of Plant Chemical Protection, 1st ed; China Agriculture Press: Beijing, China, 1994; pp. 76–82. [Google Scholar]
- Sample Availability: Samples of the compounds 4a–v are available from the authors.
© 2012 by the authors; licensee MDPI, Basel, Switzerland. This article is an open-access article distributed under the terms and conditions of the Creative Commons Attribution license (http://creativecommons.org/licenses/by/3.0/).