Cardanol-Based Materials as Natural Precursors for Olefin Metathesis
Abstract
:1. Introduction

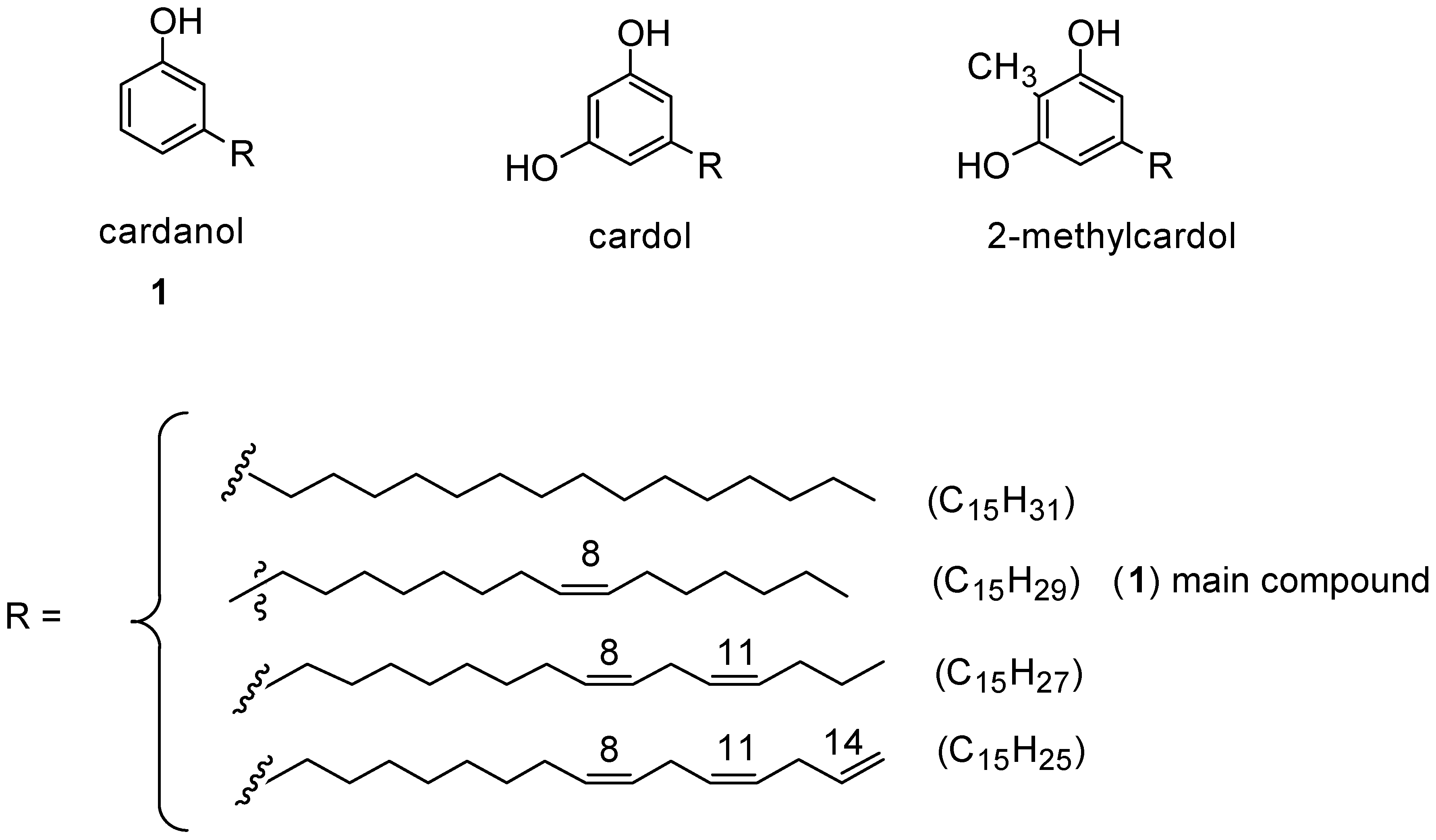
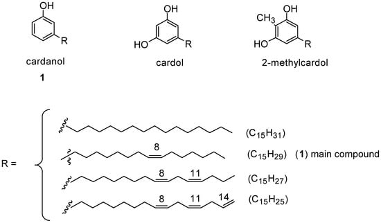
2. Cardanol: Description and Oil Characteristic

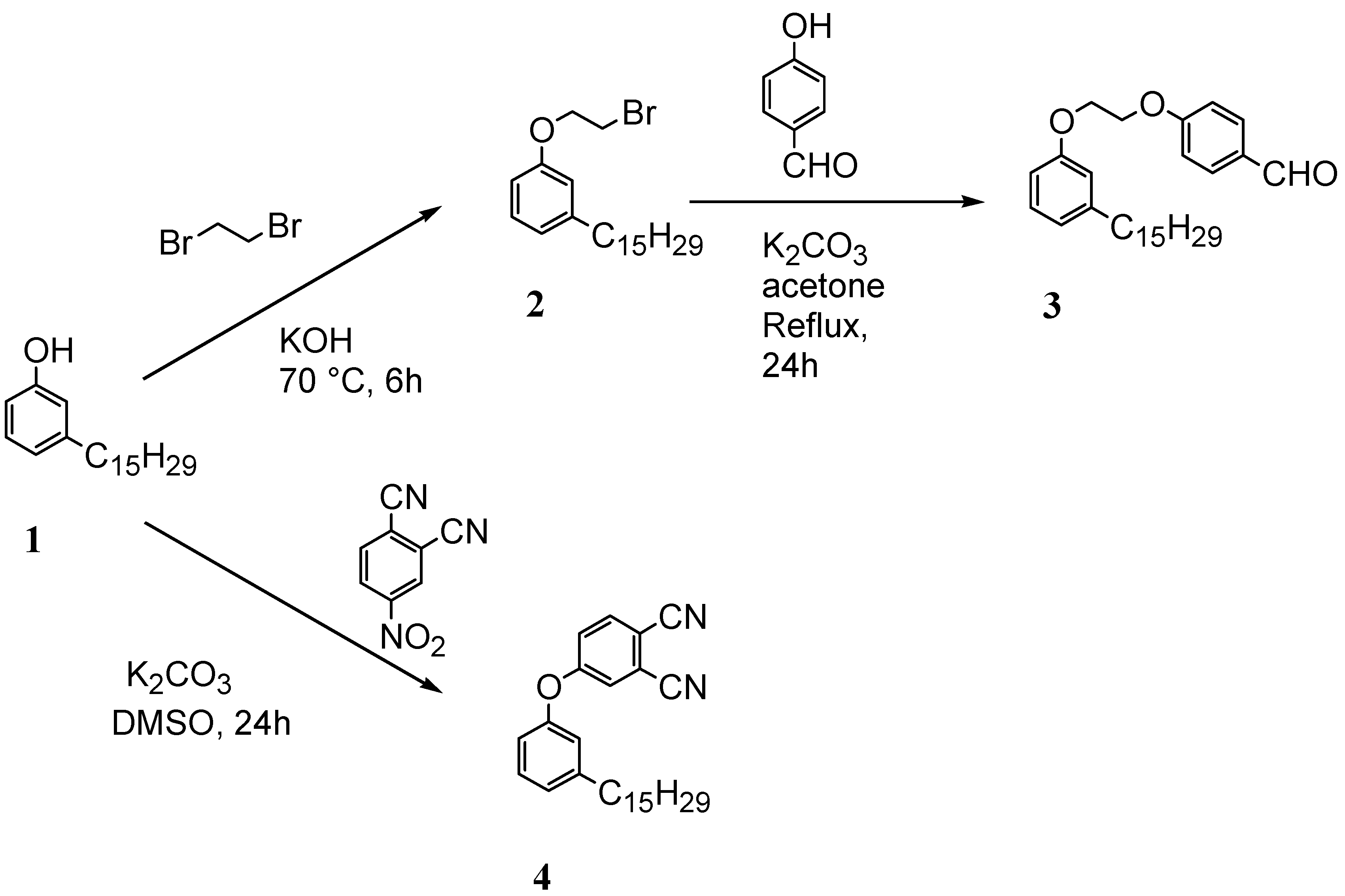
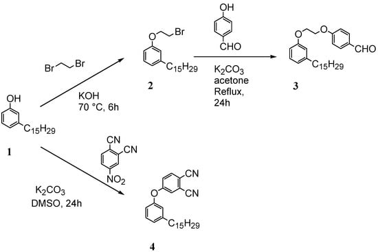
3. Preparation of Cardanol-Based Derivatives


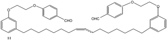
4. Metathesis on Cardanol and Its Hybrid Derivatives


| Substrate | Product | Time (h) | Conv. (%) | Yield (%) |
|---|---|---|---|---|
![]() | ![]() | 72 | 78 | 36 |
![]() | ![]() | 64 | 86 | 51 |
![]() | ![]() | 92 | 62 | 20 |
![]() | ![]() | 87 | 55 | 36 |
| Substrate | Olefin | Product | Yield (%) |
|---|---|---|---|
![]() | ![]() | ![]() | 50 |
![]() | ![]() | ![]() | 30 |






5. Conclusions
Acknowledgments
References
- Tyman, J.H.P. Non-isoprenoid long chain phenols. Chem. Soc. Rev. 1979, 8, 499–537. [Google Scholar] [CrossRef]
- Tyman, J.H.P. Synthetic and Natural Phenols; Elsevier: Amsterdam, The Netherlands, 1996. [Google Scholar]
- Mele, G.; Vasapollo, G. Fine chemicals and new hybrid materials from cardanol. Mini-Rev. Org. Chem. 2008, 5, 243–253. [Google Scholar] [CrossRef]
- Mazzetto, S.E.; Lomonaco, D.; Mele, G. Óleo Da Castanha De Caju: Oportunidades E Desafios No Contexto Do Desenvolvimento E Sustentabilidade Industrial. Quim. Nova 2009, 32, 732–741. [Google Scholar] [CrossRef]
- Lubi, M.C.; Thachil, E.T. Cashew nut shell liquid (CNSL)—A versatile monomer for polymer synthesis. Des. Monomers Polym. 2000, 3, 123–153. [Google Scholar] [CrossRef]
- Rodrigues, F.H.A.; Feitosa, J.P.A.; Ricardo, N.M.P.S.; de Franca, F.C.F.; Carioca, J.O.B. Antioxidant activity of cashew nut shell liquid (CNSL) derivatives on the thermal oxidation of synthetic cis-1,4-polyisoprene. J. Braz. Chem. Soc. 2006, 17, 265–271. [Google Scholar] [CrossRef]
- Kim, Y.H.; Won, K.; Kwon, J.M.; Jeong, H.S.; Park, S.Y.; An, E.S.; Song, B.K. Synthesis of polycardanol from a renewable resource using a fungal peroxidase from Coprinus cinereus. J. Mol. Catal. B-Enzym. 2005, 34, 33–38. [Google Scholar] [CrossRef]
- Attanasi, O.A.; Berretta, S.; Favi, G.; Filippone, P.; Mele, G.; Moscatelli, G.; Saladino, R. Tetrabromo hydrogenated cardanol: Efficient and renewable brominating agent. Org. Lett. 2006, 8, 4291–4293. [Google Scholar] [CrossRef]
- Maffezzoli, A.; Calò, E.; Zurlo, S.; Mele, G.; Tarzia, A.; Stifani, C. Cardanol based matrix biocomposites reinforced with natural fibres. Comp. Sci. Tech. 2004, 64, 839–845. [Google Scholar] [CrossRef]
- Calò, E.; Maffezzoli, A.; Mele, G.; Martina, F.; Mazzetto, S.E.; Tarzia, A.; Stifani, C. Synthesis of a novel cardanol-based benzoxazine monomer and environmentally sustainable production of polymers and bio-composites. Green Chem. 2007, 9, 754–759. [Google Scholar] [CrossRef]
- Bhunia, H.P.; Jana, R.N.; Basak, A.; Lenka, S.; Nando, G.B. Synthesis of polyurethane from cashew nut shell liquid (CNSL), a renewable resource. J. Polym. A-Poly. Chem. 1998, 36, 391–400. [Google Scholar] [CrossRef]
- Coletta, M.; Filippone, P.; Fiorucci, C.; Marini, S.; Mincione, E.; Neri, V.; Saladino, R. A new and efficient synthesis of ortho- and para-benzoquinones of cardanol derivatives by the catalytic system MeReO3-H2O2. J. Chem. Soc. Perkin Trans. 1 2000, 581–586. [Google Scholar]
- Amorati, R.; Pedulli, G.F.; Valgimigli, L.; Attanasi, O.A.; Filippone, P.; Fiorucci, C.; Saladino, R. Absolute rate constants for the reaction of peroxyl radicals with cardanol derivatives. J. Chem. Soc. Perkin Trans. 2 2001, 2142–2146. [Google Scholar]
- Mele, G.; Del Sole, R.; Vasapollo, G.; García-López, E.; Palmisano, L.; Mazzetto, S.E.; Attanasi, O.A.; Filippone, P. Polycrystalline TiO2 impregnated with cardanol-based porphyrins for the photocatalytic degradation of 4-nitrophenol. Green Chem. 2004, 6, 604–608. [Google Scholar] [CrossRef]
- Guo, Y.C.; Xiao, W.J.; Mele, G.; Martina, F.; Margapoti, E.; Mazzetto, S.E.; Vasapollo, G. Synthesis of new meso-tetraarylporphyrins bearing cardanol and further transformation of the unsaturated chains. J. Porphyr. Phtalocya. 2006, 10, 1071–1079. [Google Scholar] [CrossRef]
- Attanasi, O.A.; Del Sole, R.; Filippone, P.; Mazzetto, S.E.; Mele, G.; Vasapollo, G. Synthesis of novel cardanol based porphyrins. J. Porphyr. Phtalocya. 2004, 8, 1276–1284. [Google Scholar] [CrossRef]
- Attanasi, O.A.; Mele, G.; Filippone, P.; Mazzetto, S.E.; Vasapollo, G. Synthesis and characterization of novel cardanol based fulleropyrrolidines. ARKIVOC 2009, VIII, 69–84. [Google Scholar]
- Trnka, T.M.; Grubbs, R.H. The development of L2X2RudCHR olefin metathesis catalysts: An organometallic success story. Acc. Chem. Res. 2001, 34, 18–29. [Google Scholar] [CrossRef]
- Herrmann, W.A. Heterocyclic carbenes: A new concept in organometallic catalysis. Angew. Chem. Int. Ed. 2002, 41, 1290–1309. [Google Scholar] [CrossRef]
- Grubbs, R.H. Olefin metathesis. Tetrahedron 2004, 60, 7117–7140. [Google Scholar] [CrossRef]
- Choi, T.L.; Chatterjee, A.C.; Grubbs, R.H. Synthesis of a,β-unsaturated amides by olefin cross-metathesis. Angew. Chem. Int. Ed. 2001, 40, 1277–1279. [Google Scholar] [CrossRef]
- Guo, Y.C.; Mele, G.; Martina, F.; Margapoti, E.; Vasapollo, G.; Xiao, W.J. An efficient route to biscardanol derivatives and cardanol-based porphyrins via olefin metathesis. J. Organomet. Chem. 2006, 691, 5383–5390. [Google Scholar] [CrossRef]
- Astruc, D. The metathesis reactions: From a historical perspective to recent developments. New J. Chem. 2005, 29, 42–56. [Google Scholar] [CrossRef]
- Grubbs, R.H. Olefin-metathesis catalysts for the preparation of molecules and Materials. Angew. Chem. Int. Ed. Engl. 2006, 45, 3760–3765. [Google Scholar] [CrossRef]
- Meek, S.J.; O’Brien, R.V.; Llaveria, J.; Schrock, R.R.; Hoveyda, A.H. Catalytic Z-selective olefin cross-metathesis for natural product synthesis. Nature 2011, 471, 461–466. [Google Scholar]
- Martina, F. Synthesis and characterization of new derivatives from cardanol. Ph.D. Thesis, University of Salento, Lecce, Italy, 2008. [Google Scholar]
- Vasapollo, G.; Mele, G.; Martina, F. University of Salento. 2009; Unpublished work. [Google Scholar]
- Mele, G.; Li, J.; Margapoti, E.; Martina, F.; Vasapollo, G. Synthesis of novel porphyrins cardanol based via cross metathesis. Catal. Today 2009, 140, 37–43. [Google Scholar]
- Handbook of Porphyrin Science-With Applications to Chemistry, Physics, Materials Science, Engineering, Biology and Medicine; Kadish, K.M.; Smith, K.M.; Guilard, R. (Eds.) World Scientific Publishing Co.: Singapore, 2010; Volume 1-10.
- Attanasi, O.A.; Del Sole, R.; Filippone, P.; Ianne, R.; Mazzetto, S.E.; Mele, G.; Vasapollo, G. Synthesis of fullerene cardanol derivatives. Synlett 2004, 5, 799–802. [Google Scholar]
© 2011 by the authors; licensee MDPI, Basel, Switzerland. This article is an open access article distributed under the terms and conditions of the Creative Commons Attribution license ( http://creativecommons.org/licenses/by/3.0/).
Share and Cite
Vasapollo, G.; Mele, G.; Del Sole, R. Cardanol-Based Materials as Natural Precursors for Olefin Metathesis. Molecules 2011, 16, 6871-6882. https://doi.org/10.3390/molecules16086871
Vasapollo G, Mele G, Del Sole R. Cardanol-Based Materials as Natural Precursors for Olefin Metathesis. Molecules. 2011; 16(8):6871-6882. https://doi.org/10.3390/molecules16086871
Chicago/Turabian StyleVasapollo, Giuseppe, Giuseppe Mele, and Roberta Del Sole. 2011. "Cardanol-Based Materials as Natural Precursors for Olefin Metathesis" Molecules 16, no. 8: 6871-6882. https://doi.org/10.3390/molecules16086871
APA StyleVasapollo, G., Mele, G., & Del Sole, R. (2011). Cardanol-Based Materials as Natural Precursors for Olefin Metathesis. Molecules, 16(8), 6871-6882. https://doi.org/10.3390/molecules16086871















