Abstract
A novel series of 7,7-diphenyl-1,2-dihydroimidazo[2,1-c][1,2,4]triazin-6(7H)-one 6a–h, were easily prepared via reactions of novel 2-hydrazinyl-4,4-diphenyl-1H-imidazol-5(4H)-one (2) with hydrazonoyl halides 3a–h. In addition, we also examined the reaction of compound 2 with commercially available active methylene compounds to afford new pyrazoles containing an imidazolone moiety, expected to be biologically active. The structures of the synthesized compounds were assigned on the basis of elemental analysis, IR, 1H-NMR and mass spectral data. The antifungal and antibacterial activities of the newly synthesized compounds were evaluated.
1. Introduction
Imidazoles are reported to have broad biological activities [1,2,3,4]. On the other hand, over the past two decades; pyrazole-containing compounds have received considerable attention owing to their diverse chemotherapeutic potential, including antineoplastic activities. Our literature survey revealed that some pyrazoles have been implemented as antileukemic [5,6], antitumor [7,8] and anti-proliferative [9] agents, in addition to their capability to exert remarkable anticancer effects through inhibiting different types of enzymes that play important roles in cell division [10]. Moreover, they have emerged as analgesic and anti-inflammatory drugs [11,12]. The synthesis of pyrazolo[3,4-d]-pyrimidine derivatives has also received significant attention in recent years because of their wide range of biological and pharmaceutical properties such as antitumor and antileukemia activity [13], anti-mycobacterial [14] and antidiabetic [15,16,17] agents, kinase [18,19] and phosphodiesterase [20] inhibitors, and also for their valuable antiangiogenic [21], fungicidal [22], cytotoxic [23] antitubercular [24], antimicrobial [25], potent antiproliferative agent [26] and anthelmintic [27] activities. In view of the above mentioned findings and as continuation of our effort [28,29,30,31] to identify new candidates that may be of value in designing new, potent, selective and less toxic antimicrobial agents, we report in the present work the synthesis of some new pyrazoles, pyrazolo[3,4-d]pyrimidine- and imidazo[2,1-c][1,2,4]triazinone derivatives starting from 2-hydrazinyl-4,4-diphenyl-1H-imidazol-5(4H)-one in order to investigate their antimicrobial activity.
2. Results and Discussion
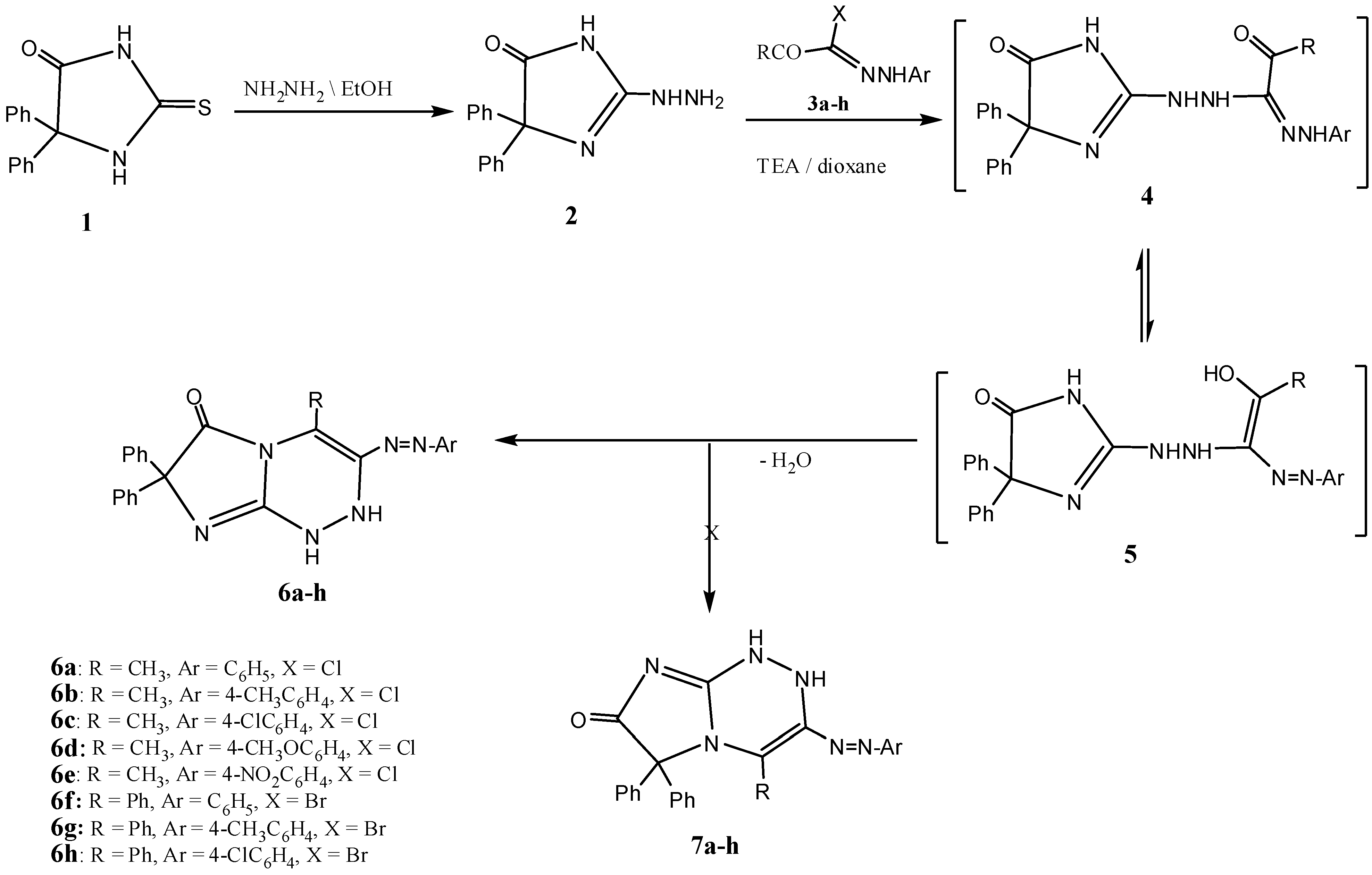
The required starting material 2-hydrazinyl-4,4-diphenyl-1H-imidazol-5(4H)-one (2) was prepared by reacting 5,5-diphenyl-2-thioxoimidazolidin-4-one (1) [32] with hydrazine hydrate in EtOH under reflux for 25 h (Scheme 1). The structure of 2 was elucidated on the basis of spectroscopic data and microanalysis. For example, its mass spectrum showed the correct molecular ion peak as a base peak. The IR spectrum of revealed typical absorption bands at 3440, 3324, 3228, 3166, 1724 cm−1 assignable to NH2, 2NH, and C=O moieties, respectively. The 1H-NMR spectrum showed a characteristic singlet signal at δ 2.10, assigned to the NH2 group.
Scheme 1.
Synthesis of 3,4-disubstituted 7,7-diphenyl-1,2-dihydroimidazo[2,1-c]-[1,2,4]triazin-6(7H)-ones 6a–h.
Scheme 1.
Synthesis of 3,4-disubstituted 7,7-diphenyl-1,2-dihydroimidazo[2,1-c]-[1,2,4]triazin-6(7H)-ones 6a–h.

Reaction of 2 with hydrazonoyl halides 3a–h was carried in EtOH in the presence of triethylamine (TEA) and gave the corresponding substituted 7,7-diphenyl-3-(phenyldiazenyl)-1,2-dihydroimidazo[2,1-c][1,2,4]triazin-6(7H)-ones 6a–h rather than the isomeric 4-substituted-6,6-diphenyl-3-(phenyldiazenyl)-1,2-dihydroimidazo[2,1-c][1,2,4]triazin-7(6H)-ones 7a–h (Scheme 1).
The structural elucidation of compounds 6a–h was based on spectral evidence and microanalytical data. The mass spectra of them showed the molecular ion peaks at the expected m/z values. Their IR spectra indicated the disappearance of the NH2 group, and revealed in each case a C=O band in the region 1734–1710 cm−1 and two bands at 3430–3220 cm−1 assignable to 2NH groups. Also, their 1H-NMR spectra showed the presence of two signals for two NH groups at δ= 8.28–8.41 and 9.28–9.36 ppm. These two signals disappeared upon exchange with deuterium oxide. The 13C-NMR spectrum of 6a, taken as an example for the series of compounds 6, revealed a signal for the C=O group at δ= 166.7 ppm. This chemical shift value suggested that the N-1 near C=O is sp3 hybridized nitrogen atom pyrrole type, similar to that of compounds of type A (δ 164–167) and different from the sp2 hybridized nitrogen that of their isomers having structure B (δ 170–175) ppm (Figure 1). Based on the above finding we conclude that the isolated products have structures 6 and not the isomeric structure 7.
Figure 1.
Comparison of C=O shifts with an N-atom in different bonding states next to C=O.
Figure 1.
Comparison of C=O shifts with an N-atom in different bonding states next to C=O.

Finally, the suggestion that the site of cyclization of the intermediates 4 involves N-1 to give 6 is consistent with literature reports [33]. Our study was extended to the reaction of 2 with a variety of active methylene compounds, namely acetyl acetone (8), ethyl acetoacetate (9), diethyl malonate (10) and malononitrile (11) in order to synthesize compounds 12–15, respectively (Scheme 2). These compounds have a pyrazole moiety and were anticipated to be biologically active. The structures of 12–15 were confirmed on the basis of spectroscopic data and elemental analyses (see Experimental section).
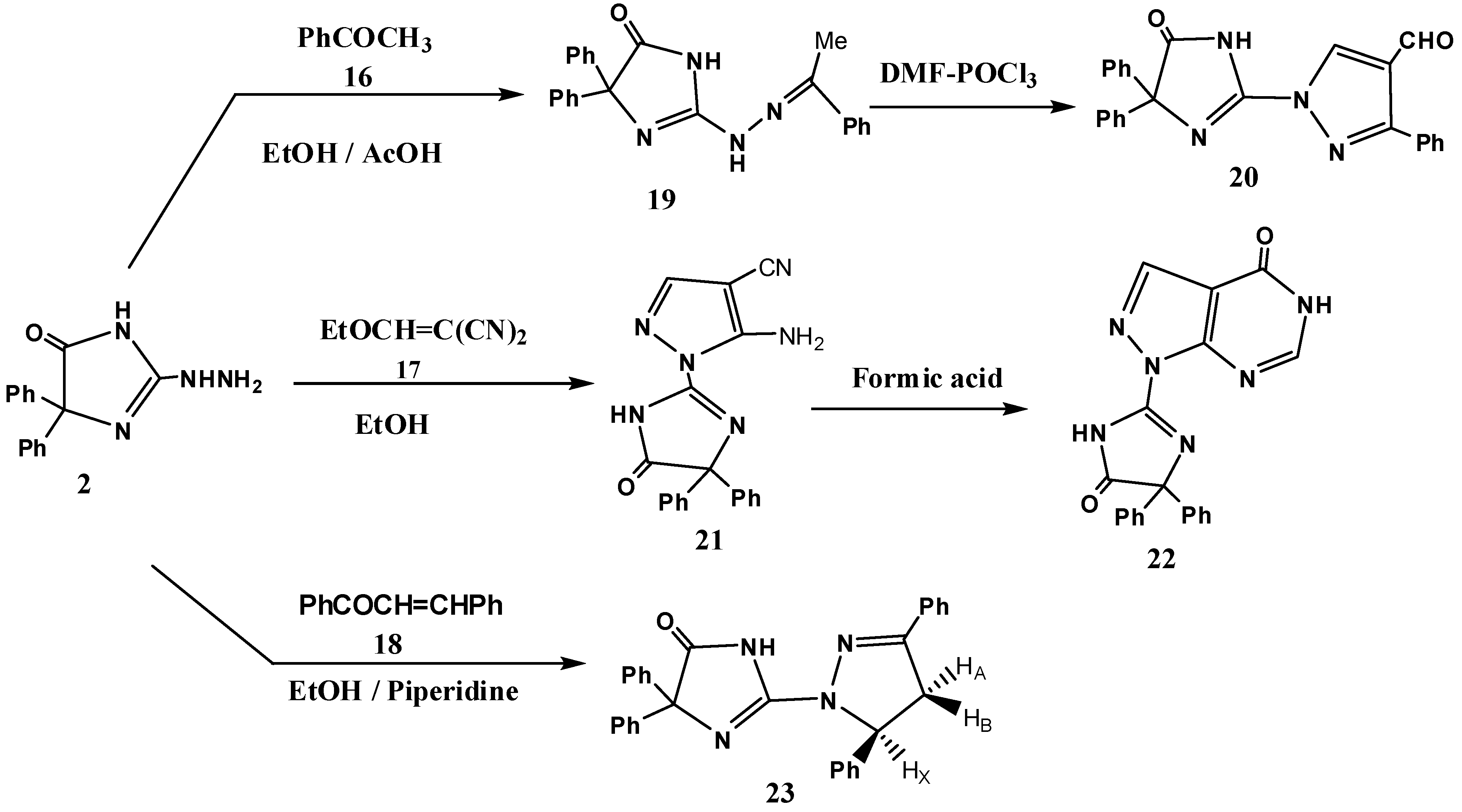
In addition, reaction of the hydrazine derivative 2 with acetophenone (16) gave the hydrazone 19, which was converted further into the 1-(imidazol-2-yl) pyrazole-4-carbaldehyde 20 by treatment with Vilsmeier-Haack reagent (prepared by dropwise addition of phosphorus oxychloride in ice cooled DMF) [34]. The structure of the isolated aldehyde was confirmed on the basis of MS, IR, 1H-NMR spectra and elemental analysis. For example, the IR spectrum revealed absorption bands at 1681, 1724, 3166 cm−1 corresponding to 2 C=O and NH groups, respectively. The 1H-NMR spectra showed the presence of the NH and aldehyde groups at δ= 9.33, 9.88 ppm, respectively (Scheme 3). We also examined the reaction of 2 with ethoxymethylenemalononitrile (17). The isolated product was identified as the pyrazole derivative 21 on the basis of its elemental analysis and spectral data (Scheme 3). For example, the IR spectra of compounds 21 showed vCN and vCO near 2240 and 1724 cm−1, respectively (see Experimental section). The reaction of carbonitrile 21 with formic acid gave the corresponding 1-imidazol-2-yl-1H-pyrazolo[3,4-d]pyrimidin-4(5H)-one 22. The lack of vCN in the IR spectrum of the isolated product supported the formation of structure 22 (Scheme 3).
Scheme 2.
The reactivity of 2-hydrazino-4,4-diphenyl-1H-imidazol-5(4H)-one (2) towards active methylene reagents.
Scheme 2.
The reactivity of 2-hydrazino-4,4-diphenyl-1H-imidazol-5(4H)-one (2) towards active methylene reagents.

Scheme 3.
Synthesis of pyrazole derivatives from 2-hydrazino-4,4-diphenyl-1H-imidazol-5(4H)-one (2).
Scheme 3.
Synthesis of pyrazole derivatives from 2-hydrazino-4,4-diphenyl-1H-imidazol-5(4H)-one (2).

Furthermore, 1-(1H-pyrazol-1-yl)-1H-imidazol-5(4H)-one 23, was prepared by reaction of 2 with chalcone 18 (Scheme 3). The structure of 23 was established based on its spectral data. The IR spectrum showed strong bands at 1722, 3169 cm−1 for C=O and NH, respectively. Also, the 1H-NMR spectra of 23 revealed no signal assignable to the NH2 group, while it revealed the presence of three characteristic signals due to the diasterotopic H atoms of a CH2 group coupled with H atom (Hx) next to it (HA, HB and HX). The HA proton which is cis to HX resonates upfield at δ 2.91 ppm as doublet of doublets (dd, J = 17.2 and 6.5 Hz), while HB which is trans to HX resonates downfield at δ 4.14 ppm (dd, J = 17.3 and 12.6 Hz). HX appeared as double of doublet at δ of 5.98 (dd, J = 12.8 and 6.5 Hz) (see Experimental section).
Antimicrobial Activity
The compounds were tested for their activities against Gram +ve bacteria (Staphylcoccus aureus) and Gram –ve bacteria (Escherichia coli), in addition to the pathogenic fungi Aspergillus flavus and Candida albicans. The antimicrobial screening results were measured by the average diameter of the inhibition zones, expressed in mm, and are depicted in Table 1. The results showed that, all the tested compounds displayed significant activities against E. coli and S. aureus, while, only compounds 6c, 6h and 20 were moderately active against A. flavus and C. albicans. However, the activities of the tested compounds are much less than those of standard antifungal and antibacterial agents used.
Table 1.
Antimicrobial activity of the tested compounds.
| Sample No. | Inhibition zone diameter (mm/mg sample) | |||
|---|---|---|---|---|
| E. coli (G−) | S. aureus (G+) | Fungus | ||
| A. flavus | C. albicans | |||
| 6a | 22 | 16 | -- | -- |
| 6c | 21 | 20 | 10 | 15 |
| 6f | 14 | 16 | -- | -- |
| 6h | 15 | 13 | 9 | 13 |
| 12 | 18 | 15 | -- | -- |
| 13 | 24 | 12 | -- | -- |
| 14 | 16 | 19 | -- | -- |
| 15 | 18 | 14 | -- | -- |
| 20 | 12 | 18 | 11 | 14 |
| 22 | 18 | 22 | -- | -- |
| 23 | 14 | 23 | -- | -- |
| Tetracycline | 30 | 30 | -- | -- |
| Amphotricine | -- | -- | 18 | 21 |
* The concentration of the solution 20.0 mg/mL was tested; E. coli: Esherichia coli; G−: Gram negative bacteria; S. aureus: Staphylococcus aureus; G+: Gram positive bacteria; A. flavus: Aspergillus flavus; C. albicans: Candida albicans.
3. Experimental
3.1. General
All melting points were measured on Electrothermal IA 9000 series digital melting point apparatus. The IR spectra were recorded in potassium bromide discs on a Pye Unicam SP 3300 or Shimadzu FT IR 8101 PC infrared spectrophotometers. The NMR spectra were recorded at 270 MHz on a Varian Mercury VX-300 NMR spectrometer. 1H-NMR (300 MHz) and 13C-NMR (75.46 MHz) were run in deuterated chloroform (CDCl3) or dimethylsulphoxide (DMSO-d6). Chemical shifts were related to those of the solvent. Mass spectra were recorded on a Shimadzu GCMS-QP1000 EX mass spectrometer at 70 eV. Elemental analyses and the biological evaluation of the products were carried out at the Microanalytical Centre of Cairo University, Giza, Egypt. All reactions were followed by TLC (Silica gel, Aluminum Sheets 60 F254, Merck). Hydrazonoyl chlorides 3a–g[35,36] were prepared as reported in the literature.
3.2. 2-Hydrazinyl-4,4-diphenyl-1H-imidazol-5(4H)-one (2)
To 2-thioxoimidazolidin-4-one 1 (1.0 g, 4 mmol) in dry EtOH (10 mL) was added hydrazine hydrate (80%, 2 mL). The reaction mixture was kept under reflux for 25 h, and then cooled. The solid which precipitated was filtered off and crystallized from DMF to give 2 in 70% yield, m.p. 354 °C; MS m/z (%): 266 (M+, 70), 248 (45), 165 (42), 104 (35), 77 (100), 66 (33); IR (KBr): v 3440, 3324 (NH2), 3228, 3166 (2NH), 1724 (CO) cm−1; 1H-NMR (CDCl3): d 2.10 (s, 2H, NH2), 3.57 (s, 1H, NH), 7.34–8.23 (m, 10H, Ar–H), 9.34 (s, 1H, NH); Anal. Calcd. for C15H14N4O (266.12): C, 67.65; H, 5.30; N, 21.04%. Found: C, 67.3; H, 5.32; N, 21.21%.
3.3. 3,4-Disubstituted 7,7-diphenyl-1,2-dihydroimidazo[2,1-c][1,2,4]triazin-6(7H)-ones 6a–h
General procedure: To 2 (2.68 g, 10 mmol) and the appropriate hydrazonoyl halides 3a–h (10 mmol) in dioxane (50 mL) was added triethylamine (1.4 mL, 10 mmol) at room temperature. The reaction mixture was heated under reflux until all the starting material was consumed (6–10 h, monitored by TLC). The solvent was evaporated and the residue was triturated with MeOH. The formed solid was filtered and recrystallized from DMF to give compounds 6a–h.
4-Methyl-7,7-diphenyl-3-(phenyldiazenyl)-1,2-dihydroimidazo[2,1-c][1,2,4]triazin-6(7H)-one (6a). Yield 82%; red crystals (from EtOH); m.p. 152 °C; IR (KBr): v 1724 (C=O), 3425, 3259 (2NH) cm−1; 1H-NMR (DMSO-d6): δ 2.53 (s, 3H, CH3), 6.98–7.52 (m, 15H, Ar–H), 8.31 (s, 1H, NH), 9.36 (s, 1H, NH); MS m/z (%): 408 (M+, 6), 248 (13), 206 (29), 165 (20), 91 (30), 77 (100), 51 (53); 13C-NMR (DMSO-d6) δ ppm: 166.7 (C=O), 158.6 (C=N), 147.3, 139.8, 139.6, 133.8, 132.4, 132.1, 130.9, 130.8, 127.8, 127.1, 124.7, 121.9 (Ar–C) 118.6, 114.3 (C=C), 71.3 (Ph2C), 8.4 (CH3); Anal. Calcd for C24H20N6O (408.17): C, 70.57; H, 4,94; N, 20.58%. Found: C, 70.54; H, 4.88; N, 20.50%.
4-Methyl-7,7-diphenyl-3-(p-tolyldiazenyl)-1,2-dihydroimidazo[2,1-c][1,2,4]triazin-6(7H)-one (6b). Yield 80%, red crystals (from EtOH), m.p. 164 °C; IR (KBr): v 1724 (C=O), 3425, 3257 (2NH) cm−1; 1H-NMR (DMSO-d6): δ 2.25 (s, 3H, CH3), 2.52 (s, 3H, CH3), 6.96–7.48 (m, 10H, Ar–H), 7.54 (d, J = 7.2 Hz, 2H, Ar–H), 8.14 (d, J = 7.2 Hz, 2H, Ar–H), 8.31 (s, 1H, NH), 9.30 (s, 1H, NH); MS m/z (%): 422 (M+, 6), 341 (72), 299 (11), 165 (66), 91 (85), 77 (100), 52 (30); Anal. Calcd for C25H22N6O (422.19): C, 70.07; H, 5.25; N, 19.89%. Found: C, 70.04; H, 5.22; N, 19.74%.
3-[(4-Chlorophenyl)diazeny]-4-methyl-7,7-diphenyl-1,2-dihydroimidazo[2,1-c][1,2,4]triazin-6(7H)-one (6c). Yield 85%, red crystals (from EtOH), m.p. 136 °C; IR (KBr): v 1722 C=O), 3423, 3254 (2NH) cm−1; 1H-NMR (DMSO-d6): δ 2.53 (s, 3H, CH3), 6.99–7.53 (m, 10H, Ar–H), 7.58 (d, J = 8.4 Hz, 2H, Ar–H), 8.22 (d, J = 8.4 Hz, 2H, Ar–H), 8.28 (s, 1H, NH), 9.30 (s, 1H, NH); MS m/z (%): 442 (M+, 26), 401 (32), 360 (19), 165 (57), 91 (13), 77 (100), 51 (60); Anal. Calcd for C24H19ClN6O (442.13): C, 65.08; H, 4.32; N, 18.97%. Found: C, 65.04; H, 4.30; N, 18.74%.
3-[(4-Methoxyphenyl)diazeny]-4-methyl-7,7-diphenyl-1,2-dihydroimidazo[2,1-c][1,2,4]triazin-6(7H)-one (6d). Yield 79%, red crystals (from EtOH), m.p. 122 °C; IR (KBr): v 1724 (C=O), 3422, 3253 (2NH) cm−1; 1H-NMR (DMSO-d6): δ 2.51 (s, 3H, CH3), δ 3.36 (s, 3H, CH3), 6.97–7.52 (m, 10H, Ar–H), 7.58 (d, J = 8.0 Hz, 2H, Ar–H), 8.21 (d, J = 8.0 Hz, 2H, Ar–H), 8.28 (s, 1H, NH), 9.32 (s, 1H, NH); MS m/z (%): 439 (M+, 14), 338 (28), 208 (27), 165 (100), 91 (42), 77 (100), 51 (30). Anal. Calcd for C25H22N6O2 (438.18): C, 68.48; H, 5.06; N, 19.17%. Found: C, 68.44; H, 5.02; N, 19.12%.
4-Methyl-3-[(4-nitrophenyl)diazenyl]-7,7-diphenyl-1,2-dihydroimidazo[2,1-c][1,2,4]triazin-6(7H)-one (6e). Yield 77%, red crystals (from EtOH), m.p. 146 °C; IR (KBr): v 1723 (C=O), 3425, 3255 (2NH) cm−1; 1H-NMR (DMSO-d6): δ 2.5 (s, 3H, CH3), 6.97–7.55 (m, 10H, Ar–H), 7.58 (d, J = 7.2 Hz, 2H, Ar–H), 8.24 (d, J = 7.2 Hz, 2H, Ar–H), 8.29 (s, 1H, NH), 9.36 (s, 1H, NH); MS m/z (%): 453 (M+, 15), 372 (40), 248 (23), 180 (100), 165 (32), 104 (68), 77 (76), 51 (49); Anal. Calcd for C24H19N7O3 (453.15): C, 63.57; H, 4.22; N, 21.62%. Found: C, 63.54; H, 4.20; N, 21.58%.
4,7,7-Triphenyl-3-(phenyldiazenyl)-1,2-dihydroimidazo[2,1-c][1,2,4]triazin-6(7H)-one (6f). Yield 80%, red crystals (from EtOH), m.p. 118 °C; IR (KBr): v 1732 (C=O), 3425, 3264 (2NH) cm−1; 1H-NMR (DMSO-d6): δ 6.91–7.59 (m, 20H, Ar–H), 8.41 (s, 1H, NH), 9.28 (s, 1H, NH); MS m/z (%): 470 (M+, 11), 326 (21), 297 (31), 165 (74), 91 (38), 76 (100), 52 (44); 13C-NMR (DMSO-d6) δ ppm: 166.7 (C=O), 158.2 (C=N), 147.1, 140.4, 139.3, 139.2, 133.8, 133.2, 133.0, 132.1, 130.9, 130.8, 127.8, 127.1, 124.7, 124.3, 121.1, 120.9 (Ar–C) 118, 114 (C=C), 71.3 (Ph2C); Anal. Calcd for C29H22N6O (470.19): C, 74.03; H, 4.71; N, 17.86%. Found: C, 70.04; H, 4.58; N, 17.63%.
4,7,7-Triphenyl-3-(p-tolyldiazenyl)-1,2-dihydroimidazo[2,1-c][1,2,4]triazin-6(7H)-one (6g). Yield 78%, red crystals (from EtOH), m.p. 124 °C; IR (KBr): v 1730 (C=O), 3425, 3266 (2NH) cm−1. 1H-NMR (DMSO-d6): δ 2.27 (s, 3H, CH3), 6.94–7.55 (m, 15H, Ar–H), 7.57 (d, J = 7.2 Hz, 2H, Ar–H), 8.20 (d, J = 7.2 Hz, 2H, Ar–H), 8.40 (s, 1H, NH), 9.28 (s, 1H, NH); MS m/z (%): 484 (M+, 18), 329 (26), 284 (18), 165 (57), 91 (32), 76 (100), 52 (54); Anal. Calcd for C30H24N6O (484.20): C, 74.63; H, 4.99; N, 17.34%. Found: C, 74.71; H, 4.87; N, 17.21%.
3-[(4-Chlorophenyl)diazenyl]-4,7,7-triphenyl-1,2-dihydroimidazo[2,1-c][1,2,4]triazin-6(7H)-one (6h). Yield 81%, red crystals (from EtOH), m.p. 142 °C; IR (KBr): v 1732 (C=O), 3424, 3246 (2NH) cm−1; 1H-NMR (DMSO-d6): δ 6.94–7.55 (m, 15H, Ar–H), 7.64 (d, J = 8.1 Hz, 2H, Ar–H), 8.24 (d, J = 8.1 Hz, 2H, Ar–H), 8.41 (s, 1H, NH), 9.31 (s, 1H, NH); MS m/z (%): 504 (M+, 18), 326 (25), 165 (100), 91 (41), 77 (65), 52 (37); Anal. Calcd for C29H21Cl N6O (504.15): C, 68.98; H, 4.19; N, 16.64%. Found: C, 68.90; H, 4.11; N, 16.60%.
3.4. Reaction of 2 with Active Methylene Compounds
General procedure: A mixture of compound 2 (1.34 g, 5 mmol) and active methylene compound (5 mmol) in glacial acetic acid (20 mL) was refluxed for 6 h. After cooling, the precipitate was collected by filtration and crystallized from the appropriate solvent to afford compounds 12–15.
2-(3,5-Dimethyl-1H-pyrazol-1-yl)-4,4-diphenyl-1H-imidazol-5(4H)-one (12). Yield 80%, Pale yellow solid (from EtOH), m.p. 220 °C; IR (KBr): v 1724 (C=O), 3166 (NH) cm−1; 1H-NMR (DMSO-d6): δ 2.32 (s, 3H, CH3), 2.49 (s, 3H, CH3), 6.08 (s, 1H, pyrazolyl–H), 7.12–7.98 (m, 10H, Ar–H), 9.33 (s, 1H, NH); MS m/z (%): 330 (M+, 30), 223 (41), 180 (100), 104 (51), 77 (53), 51 (49); Anal. Calcd for C20H18ClN4O (330.15): C, 72.71; H, 5.49; N, 16.96%. Found: C, 72.68; H, 5.44; N, 16.86%.
3-Methyl-1-(5-oxo-4,4-diphenyl-4,5-dihydro-1H-imidazol-2-yl)-1H-pyrazol-5(4H)-one (13). Yield 82%, Pale yellow micro-crystals (from EtOH), m.p. 266 °C; IR (KBr): v 1678, 1690, 1720 (3C=O), 3169 (NH) cm−1; 1H-NMR (DMSO-d6): δ 2.41 (s, 3H, CH3), 3.52 (s, 2H, CH2), 7.12–7.96 (m, 10H, Ar–H), 9.33 (s, 1H, NH); MS m/z (%): 332 (M+, 22), 223 (41), 180 (100), 104 (47), 77 (33), 51 (58); Anal. Calcd for C19H16Cl N4O2 (332.13): C, 68.66; H, 4.85; N, 16.86%. Found: C, 68.85; H, 4.79; N, 16.61%.
1-(4-Oxo-4,4-diphenyl-4,5-dihydro-1H-imidazol-2-yl)pyrazolidine-3,5-dione (14). Yield 74%, yellow crystals (from EtOH-dioxane), m.p.292 °C; IR (KBr): v 1679, 1690, 1724 (3C=O), 3166, 3210 (2NH) cm−1; 1H-NMR (DMSO-d6): δ 4.82 (s, 2H, CH2), 7.12–7.98 (m, 10H, Ar–H), 9.33 (s, 1H, NH), 10.64 (s, 1H, NH); MS m/z (%): 334 (M+, 23), 223 (31), 180 (64), 104 (33), 77 (100), 51 (42); Anal. Calcd for C18H14N4O3 (334.11): C, 64.66; H, 4.22; N, 16.76%. Found: C, 64.54; H, 4.12; N, 16.69%.
2-(3,5-Diamino-1H-pyrazol-1-yl)-4,4-diphenyl-1H-imidazol-5(4H)-one (15). Yield 80%, Pale yellow solid (from EtOH), m.p. 312 °C; IR (KBr): v 1722 (C=O), 3166 (NH), 3212–3360 (2NH2) cm−1; 1H-NMR (DMSO-d6): δ 6.01 (s, 1H, pyrazolyl–H), 6.34–6.48 (s, 4H, 2NH2), 7.12–7.98 (m, 10H, Ar–H), 9.33 (s, 1H, NH); MS m/z (%): 332 (M+, 30), 223 (41), 180 (100), 104 (51), 77 (53), 51 (49); Anal. Calcd for C18H16N6O (332.14): C, 65.05; H, 4.85; N, 25.29%. Found: C, 65.10; H, 4.68; N, 25.21%.
Synthesis of 4,4-diphenyl-2-(2-(1-phenylethylidene)hydrazinyl)-1H-imidazol-5(4H)-one (19). A mixture of 2 (2.68 g, 10 mmol) and acetophenone 16 (1.20 g, 10 mmol) in 20 mL absolute ethanol was refluxed in water bath for 4 h in presence of glacial acetic acid (1 mL). The product obtained after cooling was crystallized from absolute ethanol. Yield 80%, yellow crystals (from EtOH), m.p. 148 °C; IR (KBr): v 1722 (C=O), 3166, 3340 (2NH) cm−1; 1H-NMR (DMSO-d6): δ 2.58 (s, 3H, CH3), 7.12–7.98 (m, 15H, Ar–H), 9.33 (s, 1H, NH), 11.60 (s, 1H, NH); MS m/z (%): 368 (M+, 23), 248 (44), 167 (37), 104 (49), 77 (75), 60 (100); Anal. Calcd for C23H20ON4O (368.16): C, 74.98; H, 5.74; N, 15.21%. Found: C, 74.11; H, 5.67; N, 15.14%.
Synthesis of 1-(5-oxo-4,4-diphenyl-4,5-dihydro-1H-imidazol-2-yl)-3-phenyl-1H-pyrazole-4-carb-aldehyde (20). Dimethylformamide (2.19 g, 30 mmol) was cooled to below 5 °C and POCl3 (4.59 g, 30 mmole) was added dropwise under stirring for 30 min, to this mixture (2.68 g, 10 mmol) of compound 2 was added. The resulting mixture was refluxed for 2 h on water-bath. The precipitate obtained by pouring into ice-cold water was collected by filtration and recrystallized from absolute ethanol. Yield 80%, yellow crystals (from EtOH-dioxane), m.p. 294 °C; IR (KBr): v 1681, 1724 (2C=O), 3166 (NH) cm−1; 1H-NMR (DMSO-d6): δ 7.12–7.98 (m, 16H, Ar–H and 1H, pyrazolyl–H), 9.33 (s, 1H, NH), 9.88 (s, 1H, CHO); MS m/z (%): 406 (M+, 24), 248 (44), 182 (100), 104 (98), 77 (90), 51 (66); Anal. Calcd for C25H18N4O2 (406.14): C, 73.88; H, 4.46; N, 13.78%. Found: C, 73.95; H, 4.22; N, 13.72%.
Synthesis of 5-amino-1-(5-oxo-4,4-diphenyl-4,5-dihydro-1H-imidazol-2-yl)-1H-pyrazole-4-carbonitrile (21). A mixture of 2 (2.64 g, 10 mmol) and ethoxymethylenemalononitrile 17 (1.22 g, 10 mmol) in absolute ethanol (50 mL) was heated under reflux for 30 min. The solvent was evaporated under vacuum and the residual solid was crystallized from EtOH to give 21. Yield 80%, yellow solid, m.p. 228 °C; IR (KBr): v 1724 (C=O), 2240 (CN), 3168 (NH), 3294, 3382 (NH2) cm−1; 1H-NMR (DMSO-d6): δ 6.68 (s, 2H, NH2), 7.12–7.98 (m, 11H, Ar–H and 1H, pyrazolyl–H), 9.33 (s, 1H, NH); MS m/z (%): 343 (M++1, 5), 342 (M+, 14), 234 (39), 165 (68), 104 (65), 77 (100), 51 (71); Anal. Calcd for C19H14 N6O (342.12): C, 66.66; H, 4.12; N, 24.55%. Found: C, 66.40; H, 4.12; N, 24.43%.
Synthesis of 1-(5-oxo-4,4-diphenyl-4,5-dihydro-1H-imidazol-2-yl)-1H-pyrazolo[3,4-d]pyrimidin-4(7H)-one (22). Compound 21 (10 mmol) in formic acid (20 mL, 85%) was refluxed for 3 h, cooled, poured onto ice-water to give a precipitate, which was filtered off, dried and recrystallized from EtOH to afford 22. Yield 80%, yellow crystals (from EtOH-dioxane), mp 284 °C; IR (KBr): v 1671, 1723 (2C=O), 3166, 3280 (2NH) cm−1; 1H-NMR (DMSO-d6): δ 7.12–7.98 (m, 12H, Ar–H and 2H, pyrazolyl–H and pyrimidine–H), 9.33 (s, 1H, NH), 11.83 (s, 1H, NH); MS m/z (%): 470 (M+, 28), 323 (26), 208 (21), 165 (49), 93 (14), 77 (100); Anal. Calcd for C20H14N6O2 (370.12): C, 64.86; H, 3.81; N, 22.69%. Found: C, 64.60; H, 3.88; N, 22.60%.
Synthesis of 2-(3,5-diphenyl-4,5-dihydro-1H-pyrazol-1-yl)-4,4-diphenyl-1H-imidazol-5(4H)-one (23). A mixture of compound 2 (0.271 g, 1 mmol) and 3-(phenyl)-1-phenylprop-2-en-1-one (18, 0.238 g, 1 mmol) in acetic acid (20 mL) was refluxed for 7 h. Excess of solvent was removed under reduced pressure and the reaction mixture was added to crushed ice. The product separated was filtered, washed with water, dried and recrystallized from DMF. Yield 80%, yellow crystals (from EtOH-dioxane), m.p.141 °C; IR (KBr): v 1722 (C=O), 3169 (NH) cm−1; 1H-NMR (DMSO-d6): δ 2.91 (dd, 1H, HA, J = 17.2, 6.5 Hz), 4.14 (dd, 1H, HB, J = 17.3, 12.6 Hz), 5.98 (dd, 1H, HX, J = 12.8, 6.5 Hz), 7.12–7.98 (m, 20H, Ar–H), 9.35 (s, 1H, NH); MS m/z (%): 456 (M+, 10), 357 (12), 248 (46), 181 (73), 104 (93), 77 (76), 51 (66); Anal. Calcd for C30H24N4O (456.20): C, 78.92; H, 5.30; N, 12.27%. Found: C, 78.84; H, 5.34; N, 12.22%.
3.5. Preliminary Antimicrobial Screening
A selection of the prepared compounds (namely 6a, 6c, 6f, 6h, 12, 13, 14, 15, 20, 22 and 23) were screened for their antibacterial activity (in nutrient agar broth) and antifungal activity (in Dox’s medium and Saboured’s agar) by the agar diffusion method [37,38] at a concentration 20 mg/mL using DMSO as solvent and blank.
4. Conclusions
We have established a new and efficient synthesis of a novel series of 7,7-diphenyl-1,2-dihydroimidazo[2,1-c][1,2,4]triazin-6(7H)-ones. We could also extend this technique to the synthesis of new pyrazole containing imidazolone moieties. The antifungal and antibacterial activities of the newly synthesized compounds were evaluated.
References and Notes
- Lombardino, J.G.; Wiseman, E.H. Preparation and antiinflammatory activity of some non-acidic trisubstituted imidazoles. J. Med. Chem. 1974, 17, 1182–1188. [Google Scholar]
- Gauthier, M.P.; Michaux, C.; Rolin, S.; Vastersaegher, C.; Leval, X.; Julémont, F.; Pochet, L.; Masereel, B. Synthesis, molecular modelling and enzymatic evaluation of (±)3,5-diphenyl-2-thioxoimidazolidin-4-ones as new potential cyclooxygenase inhibitors. Bioorg. Med. 2006, 14, 918–927. [Google Scholar] [CrossRef]
- Vijesh, A.M.; Isloor, A.M.; Telkar, S.; Peethambar, S.K.; Rai, S.; Isloor, N. Synthesis, characterization and antimicrobial studies of some new pyrazole incorporated imidazole derivatives. Eur. J. Med. Chem. 2011, 46, 3531–3536. [Google Scholar] [CrossRef]
- Pozherskii, A.F.; Soldatenkov, A.T.; Katritzky, A.R. Heterocycles in Life and Society; Wiley: New York, NY, USA, 1997; p. 179. [Google Scholar]
- Daidone, G.; Maggio, B.; Raffa, D.; Plescia, S.; Schillaci, D.; Raimondi, M.V. Synthesis and in vitro antileukemic activity of new 4-triazenopyrazole derivatives. Ⅱ Farmaco 2004, 59, 413–417. [Google Scholar] [CrossRef]
- Manetti, F.; Brullo, C.; Magnani, M.; Mosci, F.; Chelli, B.; Crespan, E.; Schenone, S.; Naldini, A.; Bruno, O.; Trincavelli, M.L.; et al. Structure-based optimization of pyrazolo[3,4-d]pyrimidines as abl inhibitors and antiproliferative agents toward human leukemia cell lines. J. Med. Chem. 2008, 51, 1252–1259. [Google Scholar] [CrossRef]
- Xia, Y.; Dong, Z.-W.; Zhao, B.-X.; Ge, X.; Meng, N.; Shin, D.-S.; Miao, J.-Y. Synthesis and structure-activity relationships of novel 1-arylmethyl-3-aryl-1H-pyrazole-5-carbohydrazide derivatives as potential agents against A549 lung cancer cells. Bioorg. Med. Chem. 2007, 15, 6893–6899. [Google Scholar]
- Farag, A.M.; Mayhoub, A.S.; Barakat, S.E.; Bayomi, A.H. Regioselective synthesis and antitumor screening of some novel N-phenylpyrazole derivatives. Bioorg. Med. Chem. 2008, 16, 881–889. [Google Scholar] [CrossRef]
- Daidone, G.; Raffa, D.; Maggio, B.; Raimondi, M.V.; Plescia, F.; Schillaci, D. Synthesis and antiproliferative activity of triazenoindazoles and triazenopyrazoles: A comparative study. Eur. J. Med. Chem. 2004, 39, 219–224. [Google Scholar]
- Zhu, G.-D.; Gong, J.; Gandhi, V.B.; Woods, K.; Luo, Y.; Liu, X.; Guan, R.; Klinghofer, V.; Johnson, E.F.; Stoll, V.S.; et al. Design and synthesis of pyridine-pyrazolopyridine-based inhibitors of protein kinase B/Akt. Bioorg. Med. Chem. 2007, 15, 2441–2452. [Google Scholar]
- Fylaktakidou, C.K.; Hadjipavlou, J.D.; Litinas, E.K.; Nicolaides, N.D. Natural and synthetic coumarin derivatives with anti-inflammatory/antioxidant activities. Curr. Pharm. Des. 2004, 10, 3813–3833. [Google Scholar] [CrossRef]
- Jung, J.C.; Watkins, E.B.; Avery, M.A. Synthesis and cyclization reaction of pyrazolin-5-one derivatives. Heterocycles 2005, 65, 77. [Google Scholar]
- Anderson, J.D.; Cottam, H.B.; Larson, S.B.; Nord, L.D.; Revankar, G.R.; Robins, R.K. Synthesis of certain pyrazolo[3,4-d]pyrimidin-3-one nucleosides. J. Heterocycl. Chem. 1990, 27, 439–453. [Google Scholar] [CrossRef]
- Ballell, L.; Field, R.A.; Chung, G.A.C.; Young, R. New thiopyrazolo[3,4-d]pyrimidine derivatives as anti-mycobacterial agents. J. Bioorg. Med. Chem. Lett. 2007, 17, 1736–1740. [Google Scholar] [CrossRef]
- Husain, S.; Shearer, T.W.; Crosson, C.E. Mechanisms linking adenosine A1 receptors and extracellular signal-regulated kinase 1/2 activation in human trabecular meshwork cells. J. Pharm. Exp. Ther. 2007, 320, 258–265. [Google Scholar]
- Pittaluga, A.; Feligioni, M.; Longordo, F.; Arvigo, M.; Raiteri, M. Somatostatin-induced activation and up-regulation of N-Methyl-D-aspartate receptor function: Mediation through calmodulin-dependent protein kinase II, phospholipase C, protein kinase C, and tyrosine kinase in hippocampal noradrenergic nerve endings. J. Pharm. Exp. Ther. 2005, 313, 242–249. [Google Scholar]
- Doolen, S.; Zahniser, N.R. Protein tyrosine kinase inhibitors alter human dopamine transporter activity in Xenopus oocytes. J. Pharm. Exp. Ther. 2001, 296, 931–938. [Google Scholar]
- Halazy, S. Designing heterocyclic selective kinase inhibitors: From concept to new drug candidates. ARKIVOC 2006, vii, 496–508. [Google Scholar]
- Hirst, G.C.; Rafferty, P.; Ritter, K.; Calderwood, D.; Wishart, N.; Arnold, L.D.; Friedman, M.M. U.S. U.S. Patent 663,780, 2002. Chem. Abstr. 2002, 137, 310930. [Google Scholar]
- Vicentini, C.B.; Forlani, G.; Manfrini, M.; Romagnoli, C.; Mares, D. Development of new fungicides against magnaporthe grisea: Synthesis and biological activity of pyrazolo[3,4-d][1,3]thiazine, pyrazolo[1,5-c][1,3,5]thiadiazine, and pyrazolo[3,4-d]pyrimidine derivatives. J. Agric. Food Chem. 2002, 50, 4839–4845. [Google Scholar] [CrossRef]
- Quintela, J.M.; Peinador, C.; Moreira, M.J.; Alfonso, A.; Botana, L.M.; Riguera, R. Pyrazolopyrimidines: Synthesis, effect on histamine release from rat peritoneal mast cells and cytotoxic activity. Eur. J. Med. Chem. 2001, 36, 321–332. [Google Scholar]
- Larsen, S.D.; Connell, M.A.; Cudahy, M.M.; Evans, B.R.; May, P.D.; Meglasson, M.D.; O'Sullivan, T.J.; Schostarez, H.J.; Sih, J.C.; Stevens, F.C.; et al. Synthesis and biological activity of analogues of the antidiabetic/antiobesity agent 3-guanidinopropionic acid: Discovery of a novel aminoguanidinoacetic acid antidiabetic agent. J. Med. Chem. 2001, 44, 1217–1230. [Google Scholar] [CrossRef]
- Bhat, G.A.; Montero, J.L.G.; Panzica, R.P.; Wotring, L.L.; Townsend, L.B. Pyrazolo-pyrimidine nucleosides: Synthesis and biological activity of certain pyrazolo[3,4-d]pyrimidine nucleosides related to adenosine. J. Med. Chem. 1981, 24, 1165–1172. [Google Scholar]
- Trivedi, A.R.; Siddiqui, A.B.; Shah, V.H. Design, synthesis, characterization and antitubercular activity of some 2-heterocycle-substituted phenothiazines. ARKIVOC 2008, ii, 210–217. [Google Scholar]
- Mansour, A.K.; Eid, M.M.; Khalil, N.S.A.M. Synthesis and reactions of some new heterocyclic carbohydrazides and related compounds as potential anticancer agents. Molecules 2003, 8, 744–755. [Google Scholar] [CrossRef]
- Carraro, F.; Naldini, A.; Pucci, A.; Locatelli, G.A.; Maga, G.; Schenone, S.; Brullo, C.; Fossa, P.; Menozzi, G.; Mosti, L.; et al. Pyrazolo[3,4-d]pyrimidines as potent antiproliferative and proapoptotic agents toward A431 and 8701-BC cells in culture via inhibition of c-Src phosphorylation. J. Med. Chem. 2006, 49, 1549–1561. [Google Scholar] [CrossRef]
- Kumar, R.; Joshi, Y.C. Synthesis, spectral studies and biological activity of 3H-1,5-benzodiazepine derivatives. ARKIVOC 2007, xiii, 142. [Google Scholar]
- Abdallah, M.A.; Riyadh, S.M.; Abbas, I.M.; Gomha, S.M. Synthesis and biological activities of 7-arylazo-7H-pyrazolo[5,1-c] [1,2,4] triazolo-6(5H)-ones and 7-arylhydrazono-7H-[1,2,4]triazolo-[3,4-b][1,3,4] thiadiazines. J. Chin. Chem. Soc. 2005, 52, 987–994. [Google Scholar]
- Abdallah, M.A.; Riyadh, S.M.; Abbas, I.M.; Gomha, S.M. Synthesis and antimicrobial activity of 3,5-disubstituted-1,3,4-thiadiazol-2-yliden by the intramolecular ring transformation of 1,3,4-oxadiazole. Int. J. Pure Appl. Chem. 2006, 1, 265–271. [Google Scholar]
- Gomha, S.M. A Facile one-pot synthesis of 4,5,6,7-tetrahydro-benzo[4,5]thieno[2,3-d]-1,2,4-triazolo[4,5-a]pyrimidin-5-one. Monatsh. Chem. 2009, 140, 213–220. [Google Scholar] [CrossRef]
- Hassaneen, H.M.; Hassaneen, H.M.E.; Mohammed, Y.S.; Pagni, R.M. Synthesis, Reactions and Antibacterial activity of 3-acetyl[1,2,4]triazolo[3,4-a]isoquinoline derivatives using Chitosan as heterogeneous catalyst under microwave irradiation. Z. Naturforsch. 2011, 66b, 299–310. [Google Scholar]
- Muccioli, G.G.; Poupaert, J.H.; Wouters, J.; Norberg, B.; Poppitz, W.; Gerhard, K.; Lamberta, D.M. A rapid and efficient microwave-assisted synthesis of hydantoins and thiohydantoins. Tetrahedron 2003, 59, 1301–1307. [Google Scholar] [CrossRef]
- Bedford, G.; Taylor, J.; Webb, G.A. 15N-NMR studies of guanidines. II-the fused-in guanidine unit of some oxoheterocycles: A combined 15N-NMR, 13C-NMR and IR study. Mag. Res. Chem. 1995, 33, 389–394. [Google Scholar] [CrossRef]
- Gaudarshivannanavar, B.C.; Jayadevappa, H.; Mahadevan, K.M. A convenient synthesis of 2(2-benz[b]furo)indoles and benzofuropyrazoles. Indian J. Chem. 2009, 48B, 1419–1423. [Google Scholar]
- Eweiss, N.F.; Osman, A. Synthesis of heterocycles. Part II new routes to acetylthiadiazolines and alkylazothiazoles. J. Heterocycl. Chem. 1980, 17, 1713–1717. [Google Scholar] [CrossRef]
- Shawali, A.S.; Abdelhamid, A.O. Reaction of dimethylphenacylsulfonium bromide with N-nitrosoacetarylamides and reactions of the products with nucleophiles. Bull. Chem. Soc. Jpn. 1976, 49, 321–327. [Google Scholar] [CrossRef]
- Grayer, R.J.; Harborne, J.B. A survey of antifungal compounds from higher plants. Phytochemistry 1994, 37, 19–42. [Google Scholar]
- Irob, O.N.; Moo-Young, M.; Anderson, W.A. Antimicrobial activity of annatto extract. Int. J. Pharm. 1996, 34, 87–90. [Google Scholar] [CrossRef]
- Sample Availability: Samples of the compounds 2–23 are available from the authors.
© 2011 by the authors; licensee MDPI, Basel, Switzerland. This article is an open access article distributed under the terms and conditions of the Creative Commons Attribution license ( http://creativecommons.org/licenses/by/3.0/).