Rauniticine-allo-Oxindole B and Rauniticinic-allo Acid B, New Heteroyohimbine-Type Oxindole Alkaloids from the Stems of Malaysian Uncaria longiflora var. pteropoda
Abstract
:1. Introduction
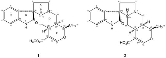
2. Results and Discussion

3. Experimental
3.1. General
3.2. Plant Materials
3.3. Extraction of Crude Extracts
3.4. Acid/Base Extraction
3.5. Isolation and Purification of Alkaloids
| H | 1 | 2 |
|---|---|---|
| 3 | 2.34, dd, J = 12, 3.6 Hz | 2.34, dd, J = 12, 3.6 Hz |
| 5α | 2.41, m | 2.41, m |
| 5β | 3.32, ddd, J = 13, 9, 2 Hz | 3.32, ddd, J = 13, 9, 2 Hz |
| 6α | 2.00, m | 2.00, m |
| 6β | 2.41, m | 2.41, m |
| 9 | 7.22, d, J = 7.5 Hz | 7.22, d, J = 7.5 Hz |
| 10 | 7.08, ddd, J = 7.5, 7.5, 0.9 Hz | 7.08, ddd, J = 7.5, 7.5, 0.9 Hz |
| 11 | 7.20, ddd, J = 7.5, 7.5, 1.2 Hz | 7.21, ddd, J = 7.5, 7.5, 1.2 Hz |
| 12 | 6.87, d, J = 7.5 | 6.87, d, J = 7.5 |
| 14α | 1.78, ddd, J = 12, 4.8, 3.6 Hz | 1.78, ddd, J = 12, 4.8, 3.6 Hz |
| 14β | 1.59, ddd, J = 12, 12, 12 Hz | 1.59, ddd, J = 12, 12, 12 Hz |
| 15 | 2.48, m | 2.48, m |
| 17 | 7.65, s | 7.65, s |
| 18 | 1.44, d, J = 6 Hz | 1.44, d, J = 6 Hz |
| 19 | 4.58, q, J = 6, 5.7 Hz | 4.59, q, J = 6, 5.8 Hz |
| 20 | 1.65, br m | 1.65, br m |
| 21α | 2.44, dd, J = 12, 4 Hz | 2.44, dd, J = 12, 4 Hz |
| 21β | 3.27, d, J = 12 Hz | 3.27, d, J = 12 Hz |
| 23 | 3.51, s | – |
| NH | 9.98, br s | 10.03, br s |
| Carbon No. | 1 | 2 |
|---|---|---|
| 2 | 183.06 | 183.13 |
| 3 | 74.04 | 74.04 |
| 5 | 55.31 | 55.31 |
| 6 | 35.58 | 35.59 |
| 7 | 56.34 | 56.34 |
| 8 | 134.06 | 134.08 |
| 9 | 122.96 | 122.96 |
| 10 | 122.75 | 122.74 |
| 11 | 127.90 | 127.89 |
| 12 | 110.37 | 110.40 |
| 13 | 140.74 | 140.75 |
| 14 | 29.61 | 29.61 |
| 15 | 30.92 | 30.92 |
| 16 | 108.69 | 108.72 |
| 17 | 157.25 | 157.25 |
| 18 | 18.95 | 18.98 |
| 19 | 72.47 | 72.37 |
| 20 | 37.86 | 37.86 |
| 21 | 53.73 | 53.74 |
| 22 | 172.02 | 22 |
| 23 | 50.87 | – |
4. Conclusions
Acknowledgments
Conflict of Interest
References
- Burkill, I.H. A Dictionary of the Economics Products of the Malay Peninsula; Crown Agents to the Colonies: London, UK, 1935; Volume 2, pp. 2244–2245, (reprint 1966, Kuala Lumpur. Ministry of Agriculture and Cooperatives). [Google Scholar]
- Risdale, C.E. A revision of Mitragyna and Uncaria (Rubiaceae). Blumea 1978, 24, 43–100. [Google Scholar]
- Heitzman, M.E.; Neto, C.C.; Winiarz, E.; Vaisberg, A.J.; Hammond, G.B. Ethnobotany, Phytochemistry and Pharmacology of Uncaria (Rubiaceae). Phytochemistry 2005, 66, 5–29. [Google Scholar]
- Yeoh, G.B.; Chan, K.C.; Morsingh, F. Pteropodine and Isopteropodine, the Alkaloids from Uncaria pteropoda. Tetrahedron Lett. 1966, 9, 931–938. [Google Scholar]
- Kam, T.S.; Lee, K.H.; Goh, S.H. Studies of Malaysian Uncaria. Part 5. Alkaloid Distribution in Malaysian Uncaria. Phytochemistry 1992, 31, 2031–2034. [Google Scholar]
- Hashim, M.H.; Ahmad, R.; Noor, M.Z.; Ismail, N.H.; Ahmat, H.; Lajis, N.H.; Shaari, K. Antioxidant and Antimicrobial Properties of Malaysian Uncaria longiflora var. pteropoda. Planta Med. 2009, 9, 1009. [Google Scholar]
- Ahmad, R.; Hashim, M.H.; Noor, M.Z.; Ismail, N.H.; Salim, F.; Lajis, N.H.; Shaari, K. Antioxidant and Antidiabetic Potential of Malaysian Uncaria. Res. J. Med. Plant 2011, 5, 587–595. [Google Scholar]
- Salim, F.; Ahmad, R. Isopteropodic acid from Malaysian Uncaria longiflora var. pteropoda. World Appl. Sci. J. 2010, 10, 1334–1337. [Google Scholar] [CrossRef]
- Salim, F.; Ahmad, R. Alkaloids from Malaysia Uncaria longiflora var. pteropoda. Biochem. Syst. Ecol. 2011, 39, 151–152. [Google Scholar] [CrossRef]
- Seki, H.; Takayama, H.; Aimi, N.; Sakai, S.; Ponglux, D. A Nuclear Magnetic Resonance Study on the Eleven Stereoisomers of Heteroyohimbine-Type Oxindole Alkaloids. Chem. Pharm. Bull. 1993, 41, 2077–2086. [Google Scholar]
- Shamma, M.; Shine, R.J.; Kompiš, I.; Sticzay, T.; Morsingh, F.; Poisson, J.; Pousset, J.L. The Stereochemistry of the Pentacyclic Oxindole Alkaloids. J. Am. Chem. Soc. 1967, 89, 1739–1740. [Google Scholar]
- Phillipson, J.D; Supavita, N. Alkaloids from Uncaria Species. Part 8. Alkaloids of Uncaria elliptica. Phytochemistry 1983, 22, 1809–1813. [Google Scholar]
- Phillipson, J.D.; Hemingway, S.R. Alkaloids from Uncaria Species. Part I. Indole and Oxindole Alkaloids from Uncaria bernaysia. Phytochemistry 1973, 12, 1481–1487. [Google Scholar]
- Laus, G.; Brössner, D.; Senn, G.; Wurst, K. Analysis of the Kinetics of Isomerisation of Spiro Oxindole Alkaloids. J. Chem. Soc. Perkin Trans. 1996, 2, 1931–1936. [Google Scholar]
- Sample Availability: Samples of the compounds are available from the authors.
© 2011 by the authors; licensee MDPI, Basel, Switzerland. This article is an open access article distributed under the terms and conditions of the Creative Commons Attribution license ( http://creativecommons.org/licenses/by/3.0/).
Share and Cite
Salim, F.; Ismail, N.H.; Awang, K.; Ahmad, R. Rauniticine-allo-Oxindole B and Rauniticinic-allo Acid B, New Heteroyohimbine-Type Oxindole Alkaloids from the Stems of Malaysian Uncaria longiflora var. pteropoda. Molecules 2011, 16, 6541-6548. https://doi.org/10.3390/molecules16086541
Salim F, Ismail NH, Awang K, Ahmad R. Rauniticine-allo-Oxindole B and Rauniticinic-allo Acid B, New Heteroyohimbine-Type Oxindole Alkaloids from the Stems of Malaysian Uncaria longiflora var. pteropoda. Molecules. 2011; 16(8):6541-6548. https://doi.org/10.3390/molecules16086541
Chicago/Turabian StyleSalim, Fatimah, Nor Hadiani Ismail, Khalijah Awang, and Rohaya Ahmad. 2011. "Rauniticine-allo-Oxindole B and Rauniticinic-allo Acid B, New Heteroyohimbine-Type Oxindole Alkaloids from the Stems of Malaysian Uncaria longiflora var. pteropoda" Molecules 16, no. 8: 6541-6548. https://doi.org/10.3390/molecules16086541
APA StyleSalim, F., Ismail, N. H., Awang, K., & Ahmad, R. (2011). Rauniticine-allo-Oxindole B and Rauniticinic-allo Acid B, New Heteroyohimbine-Type Oxindole Alkaloids from the Stems of Malaysian Uncaria longiflora var. pteropoda. Molecules, 16(8), 6541-6548. https://doi.org/10.3390/molecules16086541
