Abstract
A catalytic system consisting of the ruthenium(II) complex [Ru(η3-2-C3H4Me)(CO)(dppf)][SbF6] (dppf = 1,1’-bis(diphenylphosphino)ferrocene) and trifluoroacetic acid has been used to promote the coupling of secondary propargylic alcohols with 6-chloro-4-hydroxychromen-2-one. The reactions afforded unusual 2-methylene-2,3-dihydrofuro[3,2-c]chromen-2-ones in good yields.
1. Introduction
Chromen-2-ones (coumarins) constitute an important family of heterocyclic compounds of natural origin which have attracted considerable attention for many years due to their versatile applications [1,2,3,4]. Among them, furochromen-2-ones (furocoumarins), tricyclic systems in which a furan ring is fused to the chromen-2-one unit, are of particular interest since they exhibit potent biological and pharmacological activity [5,6,7,8]. Although several methods of synthesis are presently known [7,8], new approaches for the rapid and selective construction of furochromen-2-one scaffolds are still highly desirable. In this context, recent efforts by different groups have been focused in the one-pot synthesis of furo[3,2-c]chromen-2-ones (Figure 1) from readily available starting materials, with successful examples including CAN-mediated cycloaddition of 4-hydroxychromen-2-one with terminal alkynes [9,10], rhodium(II)-catalyzed heterocyclization of 3-diazo-2,4-chromenediones with terminal alkynes [11,12], cascade addition/cyclization/oxidation of 3-alkynyl-chromones [13,14], Sonogashira-acetylide coupling/demethylation/cyclization of 3-iodo-4-methoxychromen-2-ones [15,16] and alkynylation/hydroalkoxylation of 3-bromo-4-acetoxychromen-2-ones [17].
Figure 1.
The furo[3,2-c]chromen-2-one skeleton.
Figure 1.
The furo[3,2-c]chromen-2-one skeleton.

In the course of our studies focused on the application of ruthenium catalysts for the construction of furan- and pyrrole-ring frameworks [18,19,20,21,22,23,24,25], we disclosed a straightforward approach of tetra-substituted furans from readily accessible secondary propargylic alcohols and 1,3-dicarbonyl compounds (Scheme 1) [18]. The process, which proceeds in a one-pot manner, involves the initial trifluoroacetic acid-promoted propargylation of the 1,3-dicarbonyl compound, and subsequent cycloisomerization of the resulting γ-ketoalkyne A (5-exo cyclization + aromatization) catalyzed by the 16-electron allyl-ruthenium(II) complex [Ru(η3-2-C3H4Me)(CO)(dppf)][SbF6] (1).
Scheme 1.
Direct synthesis of furans from alkynols and 1,3-dicarbonyl compounds.
Scheme 1.
Direct synthesis of furans from alkynols and 1,3-dicarbonyl compounds.

By applying this synthetic route a large variety of furans containing carbonyl functionalities on the aromatic ring, could be prepared in good yields starting from both terminal and internal secondary alkynols, and β-diketones or β-keto esters [18,21]. In addition, we also demonstrated that furo[3,2-c]chromen-2-ones are also accessible by this route using 4-hydroxychromen-2-one as substrate, representing an appealing one-pot method of synthesis for this type of heterocycles [21]. Related work by Zhou and co-workers also confirmed the utility of this propargylation-cycloisomerization sequence for the construction of furochromen-2-one skeletons [26].
Following with these studies, herein we would like to communicate that related C–C coupling processes involving 6-chloro-4-hydroxychromen-2-one and terminal propargylic alcohols HC≡CC(OH)HR result in the selective formation of the 2-methylene-2,3-dihydrofuro[3,2-c]chromen-2-one derivatives 4 (Figure 2), instead of the expected 8-chloro-substituted furo[3,2-c]chromen-2-ones 5, due to the reluctance of the former to undergo aromatization of the five-membered ring.
Figure 2.
Structures of compounds 4 and 5.
Figure 2.
Structures of compounds 4 and 5.

2. Results and Discussion
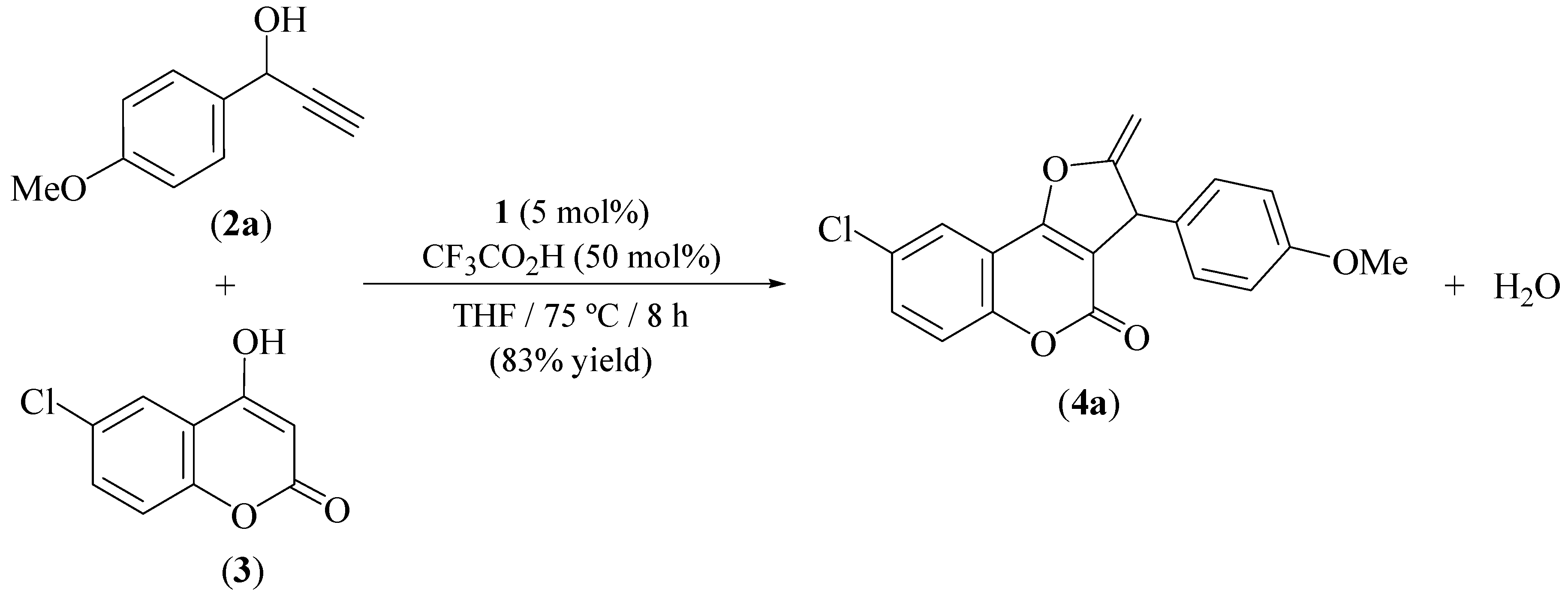
Initially, the coupling of the secondary propargylic alcohol 1-(4-methoxyphenyl)-2-propyn-1-ol (2a) with 6-chloro-4-hydroxychromen-2-one (3) was investigated under the same reaction conditions previously employed by us in the synthesis of furo[3,2-c]chromen-2-one derivatives starting from 4-hydroxychromen-2-one [21], that is, heating a THF solution of both reactants (equimolar mixture) at 75 °C in the presence of 50 mol% of trifluoroacetic acid and 5 mol% of the allyl-ruthenium(II) complex 1 (Scheme 2). Almost complete disappearance of the starting materials, accompanied by the selective formation of a single reaction product 4a, was observed by GC after 8 hours of heating.
Scheme 2.
Catalytic synthesis of compound 4a under classical thermal conditions.
Scheme 2.
Catalytic synthesis of compound 4a under classical thermal conditions.

Appropriate chromatographic workup allowed the isolation of 4a as a crystalline yellow solid in 83% yield. NMR spectroscopic data obtained for 4a clearly revealed the selective formation of a 2-methylene-2,3-dihydrofuran unit, instead of the expected aromatic 2-methylfuran one (details are given in the Experimental), a fact that was unambiguously confirmed by means of a single-crystal X-ray diffraction study (an ORTEP view of the molecule is shown in Figure 3; selected bonding parameters are listed in Table 2). The bond distance C10-C11 (1.321(3) Å) showed the expected value for a C=C bond, while that observed for C10-C12 (1.523(3) Å) falls within the expected range for a C(sp2)-C(sp3) single bond.
Figure 3.
ORTEP-type view of the structure of compound 4a showing the crystallographic labelling scheme. Thermal ellipsoids are drawn at the 20% probability level.
Figure 3.
ORTEP-type view of the structure of compound 4a showing the crystallographic labelling scheme. Thermal ellipsoids are drawn at the 20% probability level.

Table 2.
Selected bond distances (Å) and angles (°) for compound 4a.
| Distances | |
| C8-C9 | 1.338(3) |
| C9-O3 | 1.360(2) |
| O3-C10 | 1.417(2) |
| C10-C11 | 1.321(3) |
| C10-C12 | 1.523(3) |
| C12-C8 | 1.507(3) |
| C7-O1 | 1.393(3) |
| C7-O2 | 1.211(3) |
| C1-Cl1 | 1.738(2) |
| Angles | |
| C8-C9-O3 | 114.13(18) |
| C9-O3-C10 | 106.39(16) |
| O3-C10-C11 | 118.8(2) |
| C11-C10-C12 | 131.1(2) |
| O3-C10-C12 | 110.07(16) |
| C10-C12-C8 | 99.46(17) |
| C12-C8-C9 | 109.77(18) |
The use of microwave (MW) irradiation represents a convenient alternative to the conventional thermal heating in organic synthesis since a more effective energy transfer to the system takes place, thus shortening considerably the reaction times and improving in many cases the product yields [27,28,29]. Accordingly, we have found that, performing the same coupling reaction of alkynol 2a with 3 under controlled microwave heating at 75 °C, selective and almost quantitative formation of 2-methylene-2,3-dihydrofuro[3,2-c]chromen-2-one (4a, 99% GC-yield; 89% isolated yield) takes place after only 10 min. As shown in Scheme 3, the process is general since the related heterocycles 4b–d could also be synthesized in good yields (77%–92%) by reacting 3 with the secondary propargylic alcohols 1-(2-methoxyphenyl)-2-propyn-1-ol (2b), 1-(1-naphthyl)-2-propyn-1-ol (2c) and 1-(2-thienyl)-2-propyn-1-ol (2d) under the same MW conditions.
Scheme 3.
Catalytic synthesis of compound 4a–d under MW-irradiation.
Scheme 3.
Catalytic synthesis of compound 4a–d under MW-irradiation.

The presence of a 2-methylene-2,3-dihydrofuran moiety in the structure of these compounds was readily identified by the appearance of a high-field CH carbon resonance at 43–49 ppm (CHR unit) and a CH2 signal at ca. 92 ppm, typical of a terminal olefinic =CH2 unit, in their 13C{1H}-NMR spectra (DEPT experiments). Characteristic 1H-NMR peaks for these units were also observed at 4.5–5.5 ppm (details can be found in the Experimental).
At this point, it is worthy of note that occurrence of 2-methylene-2,3-dihydrofuro[3,2-c]chromen-2-ones has been scarcely documented in the literature [30,31,32,33,34,35], with most of the know examples being disubstituted at the C-3 position of the 2-methylene-2,3-dihydrofuran ring which prevents their tautomerization into the corresponding 2-methyl-furo[3,2-c]chromen-2-ones. In this sense, the reluctance shown by compounds 4a–d to aromatize under the acidic conditions employed merits to be highlighted. In fact, only in the case of 4b such aromatization process could be observed after prolonged MW irradiation (3 h) of the reaction mixture at 100 °C. Under this conditions, the novel 8-chloro-substituted furo[3,2-c]chromen-2-one 5b could be synthesized with an acceptable 63% yield and fully characterized (Scheme 4).
Scheme 4.
Synthesis of the furo[3,2-c]chromen-2-one 5b.
Scheme 4.
Synthesis of the furo[3,2-c]chromen-2-one 5b.

3. Experimental
3.1. General
Solvents were dried by standard methods and distilled under nitrogen before use. The complex [Ru(η3-2-C3H4Me)(CO)(dppf)][SbF6] (1) [36] and propargylic alcohols 2a–d [37] were prepared by following the methods reported in the literature. Flash chromatography was performed using Merck silica gel 60 (230–400 mesh). Melting points were determined in a Gallenkamp apparatus and are uncorrected. Infrared spectra were recorded on a Perkin-Elmer 1720-XFT spectrometer. NMR spectra were recorded on a Bruker DPX-300 instrument at 300 MHz (1H) or 75.4 MHz (13C). The chemical shift values (δ) are given in parts per million and are referred to the residual peak of the deuterated solvent used (CDCl3). High-resolution mass spectra (HRMS) were provided by the Mass Spectrometry Service of the Instituto de Investigaciones Químicas (IIQ-CSIC, Seville). CCDC 831021 contains the supplementary crystallographic data for this paper. These data can be obtained free of charge from The Cambridge Crystallographic Data Centre via www.ccdc.cam.ac.uk/data_request/cif.
3.2. Synthesis of the 8-chloro-2-methylene-2,3-dihydrofuro[3,2-c]chromen-2-ones 4a–d
Under a nitrogen atmosphere, a pressure-resistant septum-sealed glass vial was charged with the corresponding propargylic alcohol 2a–d (1 mmol), 6-chloro-4-hydroxychromen-2-one (3) (0.197 g, 1 mmol), THF (0.5 mL), [Ru(η3-2-C3H4Me)(CO)(dppf)][SbF6] (1) (0.049 g, 0.05 mmol), CF3CO2H (37 µL, 0.5 mmol) and a magnetic stirring bar. The vial was then placed inside the cavity of a CEM Discover® S-Class microwave synthesizer and power was held at 300 W until the desired temperature was reached (75 °C). Microwave power was automatically regulated for the remainder of the experiment (10 min) to maintain the temperature (monitored by a built-in infrared sensor). Then, the vial was cooled to room temperature, the volatiles removed under vacuum, and the residue purified by flash chromatography (silica gel) using a mixture EtOAc/hexanes (1:20) as eluent. Characterization data for the novel 8-chloro-2-methylene-2,3-dihydrofuro[3,2-c]chromen-2-ones 4a–d are as follows:
8-Chloro-3-(4-methoxyphenyl)-2-methylene-2,3-dihydrofuro[3,2-c]chromen-2-one (4a). Yellow solid (0.303 g, 89%); m.p. 125–127 °C; IR (Nujol) ν = 1721 (C=O) cm−1; 1H-NMR (CDCl3) δ = 3.78 (s, 3H), 4.52 (dd, 1H, J = 3.4 and 2.8 Hz), 5.11 (m, 2H), 6.87 (d, 2H, J = 8.5 Hz), 7.23 (d, 2H, J = 8.5 Hz), 7.32 (d, 1H, J = 8.8 Hz), 7.53 (dd, 1H, J = 8.8 and 2.2 Hz), 7.75 (d, 1H, J = 2.2 Hz) ppm; 13C-NMR (CDCl3) δ = 47.7, 55.2, 91.7, 107.4, 112.5, 114.2, 118.5, 122.2, 128.8, 129.6, 131.2, 132.7, 153.5, 159.1, 157.8, 162.9, 164.8 ppm; HRMS (EI) m/z = 340.0501, C19H13O4Cl requires 340.0502.
8-Chloro-3-(2-methoxyphenyl)-2-methylene-2,3-dihydrofuro[3,2-c]chromen-2-one (4b). Yellow solid (0.262 g, 77%); m.p. 122–124 °C; IR (Nujol) ν = 1748 (C=O) cm−1; 1H-NMR (CDCl3) δ = 3.79 (s, 3H), 4.55 (dd, 1H, J = 3.0 and 2.5 Hz), 5.12 (m, 2H), 6.82–6.91 (m, 3H), 7.25 (m, 1H), 7.34 (d, 1H, J = 8.9 Hz), 7.55 (dd, 1H, J = 8.9 and 2.4 Hz), 7.76 (d, 1H, J = 2.2 Hz) ppm; 13C-NMR (CDCl3) δ = 48.5, 55.3, 92.1, 107.2, 112.6, 113.0, 113.8, 118.6, 120.1, 122.3, 129.8, 130.0, 132.9, 140.7, 153.6, 157.9, 160.0, 163.4, 164.3 ppm; HRMS (EI) m/z = 340.0513, C19H13O4Cl requires 340.0502.
8-Chloro-3-(1-naphthyl)-2-methylene-2,3-dihydrofuro[3,2-c]chromen-2-one (4c). Yellow solid (0.331 g, 92%); m.p. 140–142 °C; IR (Nujol) ν = 1719 (C=O) cm−1; 1H-NMR (CDCl3) δ = 4.55 (dd, 1H, J = 3.3 and 2.5 Hz), 5.15 (dd, 1H, J = 3.3 and 2.5 Hz), 5.33 (dd, 1H, J = 3.3 and 3.3 Hz), 7.33–7.49 (m, 5H), 7.81–7.85 (m, 5H) ppm; 13C-NMR (CDCl3) δ = 48.8, 92.3, 107.3, 112.6, 118.7, 122.4, 125.3, 126.2, 126.4, 127.0, 127.7, 127.9, 129.0, 129.8, 132.9, 133.0, 133.4, 136.5, 153.6, 157.9, 163.4, 164.5 ppm; HRMS (EI) m/z = 360.0557, C22H13O3Cl requires 360.0553.
8-Chloro-3-(2-thienyl)-2-methylene-2,3-dihydrofuro[3,2-c]chromen-2-one (4d). Orange solid (0.253 g, 80%); m.p. 131–133 °C; IR (Nujol) ν = 1733 (C=O) cm−1; 1H-NMR (CDCl3) δ = 4.72 (dd, 1H, J = 3.5 and 2.4 Hz), 5.18 (dd, 1H, J = 3.5 and 2.7 Hz), 5.48 (dd, 1H, J = 2.7 and 2.4 Hz), 6.98 (dd, 1H, J = 5.2 and 3.6 Hz), 7.12 (dd, 1H, J = 3.6 and 1.1 Hz), 7.25 (dd, 1H, J = 5.2 and 1.1 Hz), 7.35 (d, 1H, J = 9.0 Hz), 7.56 (dd, 1H, J = 9.0 and 2.5 Hz), 7.75 (d, 1H, J = 2.5 Hz) ppm; 13C-NMR (CDCl3) δ = 43.0, 92.3, 106.3, 112.1, 118.2, 122.0, 124.9, 125.6, 126.7, 129.4, 132.7, 141.2, 153.1, 157.3, 162.9, 163.0 ppm; HRMS (EI) m/z = 315.9971, C16H9O3ClS requires 315.9961.
3.3. Synthesis of 8-chloro-3-(2-methoxyphenyl)-2-methyl-furo[3,2-c]chromen-2-one (5b)
Under nitrogen atmosphere, a pressure-resistant septum-sealed glass vial was charged with 1-(2-methoxyphenyl)-2-propyn-1-ol (2b, 0.162 g, 1 mmol), 6-chloro-4-hydroxychromen-2-one (3, 0.197 g, 1 mmol), THF (0.5 mL), [Ru(η3-2-C3H4Me)(CO)(dppf)][SbF6] (1, 0.049 g, 0.05 mmol), CF3CO2H (37 µL, 0.5 mmol) and a magnetic stirring bar. The vial was then placed inside the cavity of a CEM Discover® S-Class microwave synthesizer and power was held at 300 W until the desired temperature was reached (100 °C). Microwave power was automatically regulated for the remainder of the experiment (3 h) to maintain the temperature (monitored by a built-in infrared sensor). Then, the vial was cooled to room temperature, the volatiles removed under vacuum, and the residue purified by flash chromatography (silica gel) using a mixture EtOAc/hexanes (1:20) as eluent to give 5b. Yellow solid (0.214 g, 63%); m.p. 120–122 °C; IR (Nujol) ν = 1749 (C=O) cm−1; 1H-NMR (CDCl3) δ = 2.42 (s, 3H), 3.82 (s, 3H), 7.01–7.08 (m, 2H), 7.26–7.43 (m, 4H), 7.85 (d, 1H, J = 2.5 Hz) ppm; 13C-NMR (CDCl3) δ = 12.1, 55.1, 110.6, 113.7, 116.2, 118.0, 118.3, 119.6, 120.0, 129.2, 129.4, 131.0, 132.9, 136.5, 150.1, 152.5, 156.9, 162.5, 163.0 ppm; HRMS (EI) m/z = 340.0496, C19H13O4Cl requires 340.0502.
3.4. X-ray Crystal Structure Determination of Compound 4a
The most relevant crystal and refinement data are collected in Table 1. Data collection was performed on a Oxford Diffraction Xcalibur Nova single crystal diffractometer, using Cu-Kα radiation. Images were collected at a 65 mm fixed crystal-to-detector distance using the oscillation method, with 1° oscillation and a 5 s exposure time per image. Data collection strategy was calculated with the program CrysAlis Pro CCD [38]. Data reduction and cell refinement were performed with the program CrysAlis Pro RED [38]. An empirical absorption correction was applied using the SCALE3 ABSPACK algorithm as implemented in the program CrysAlis Pro RED [38]. The software package WinGX was used for space group determination, structure solution and refinement [39]. The structure was solved by direct methods using SIR92 [40]. Isotropic least-squares refinement on F2 using SHELXL97 was performed [41]. During the final stages of the refinements, all the positional parameters and the anisotropic temperature factors of all the non-H atoms were refined. The coordinates of the H atoms were found from different Fourier maps and included in a refinement with isotropic parameters. The function minimized was [ΣwFo2 − Fc2)/Σw(Fo2)]1/2 where w = 1/[σ2(Fo2) + (aP)2 + bP] (a = 0.0902; b = 0.0000) with σ2(Fo2) from counting statistics and P = (Max (Fo2 + 2Fc2)/3. Atomic scattering factors were taken from the International Tables for X-ray Crystallography [42]. The crystallographic plot was made with PLATON [43].
Table 1.
Crystal data and structure refinement parameters for compound 4a.
| Empirical formula | C19H13O4Cl |
| Formula weight | 340.74 |
| Temperature | 150(2) K |
| Wavelength | 1.5418 Å |
| Crystal system, space group | triclinic, P-1 |
| Unit cell dimensions | a = 4.8366(2) Å α = 94.822(4)° |
| b = 11.0016(5) Å β = 90.363(4)° | |
| c = 14.6466(7) Å γ = 94.200(4)° | |
| Volume | 774.45(6) Å3 |
| Z, calculated density | 2, 1.461 mg/m3 |
| Absorption coefficient | 2.369 mm−1 |
| F(000) | 352 |
| Crystal size | 0.37 × 0.03 × 0.02 mm |
| Theta range for data collection | 3.03 to 73.76° |
| Limiting indices | −4 ≤ h ≤ 6, −13 ≤ k ≤ 12, −17 ≤ l ≤ 17 |
| Reflections collected / unique | 7403/2919 (Rint = 0.0214) |
| Completeness to theta = 73.76º | 93.4% |
| Refinement method | Full-matrix least-squares on F2 |
| Data / restrains / parameters | 2919/0/269 |
| Goodness-of-fit on F2 | 1.166 |
| Final R indices [I > 2sigma(I)] | R1 = 0.0411, wR2 = 0.1177 |
| R indices (all data) | R1 = 0.0517, wR2 = 0.1354 |
| Largest diff. peak and hole | 0.334 and −0.267 e∙Å3 |
4. Conclusions
In summary, an efficient synthesis of unusual and remarkably stable 2-methylene-2,3-dihydrofuro[3,2-c]chromen-2-one derivatives, by coupling of secondary propargylic alcohols with commercially available 6-chloro-4-hydroxychromen-2-one, has been developed with the aid of the catalytic system [Ru(η3-2-C3H4Me)(CO)(dppf)][SbF6]/CF3CO2H. Apparently, the presence of the electron-withdrawing Cl substituent on the 4-hydroxychromen-2-one skeleton exerts a marked influence on the behavior of these species since, as previously described by us [21], the same reactions performed with its non-substituted counterpart leads to the selective formation of isomeric furo[3,2-c]chromen-2-ones by aromatization of the five-membered ring. Overall, the results reported herein represent a new example of the utility of the allyl-ruthenium(II) complex 1 in synthetic organic chemistry [25].
Acknowledgments
This work was supported by the Spanish MICINN (Projects CTQ2006-08485/BQU, CSD2007-00006 and CTQ2010-14796/BQU). N.N. thanks MEC of Spain and the European Social Fund (FPU program) for the award of a Ph.D. grant.
Conflict of Interest
The authors declare no conflict of interest.
References and Notes
- Sethna, S.M.; Shah, N.M. The chemistry of coumarins. Chem. Rev. 1945, 36, 1–62. [Google Scholar] [CrossRef]
- Murray, R.D.; Méndez, J.; Brown, S.A. The Natural Coumarins: Occurrence, Chemistry & Biochemistry; John Wiley & Sons: New York, NY, USA, 1982. [Google Scholar]
- Hoult, J.R.S.; Payá, M. Pharmacological and biochemical actions of simple coumarins: Natural products with therapeutic potential. Gen. Pharmacol. 1996, 27, 713–722. [Google Scholar] [CrossRef]
- Coumarins: Biology, Applications and Mode of Action; O´Kennedy, R.; Thornes, R.D. (Eds.) John Wiley & Sons: Chichester, UK, 1997.
- Gambari, R.; Lampronti, I.; Bianchi, N.; Zuccato, C.; Viola, G.; Vedaldi, D.; Dall´Acqua, F. Structure and biological activity of furocoumarins. Top. Heterocycl. Chem. 2007, 9, 265–276. [Google Scholar]
- Conforti, F.; Marrelli, M.; Menichini, F.; Bonesi, M.; Statti, G.; Provenzano, E.; Menichini, F. Natural and synthetic furanocoumarins as treatment for vitiligo and psoriasis. Curr. Drug Ther. 2009, 4, 38–58. [Google Scholar] [CrossRef]
- Santana, L.; Uriarte, E.; Roleira, F.; Milhazes, N.; Borges, F. Furocoumarins in medicinal chemistry. Synthesis, applications, and biological activity. Curr. Med. Chem. 2004, 11, 3239–3261. [Google Scholar] [CrossRef]
- Traven, V.F. New synthetic routes to furocoumarins and their analogs: A review. Molecules 2004, 9, 50–66. [Google Scholar] [CrossRef]
- Lee, Y.R.; Byun, M.W.; Kim, B.S. Efficient one-step synthesis of 2-arylfurans by ceric ammonium nitrate (CAN)-mediated cycloaddition of 1,3-dicarbonyl compounds to alkynes. Bull. Korean Chem. Soc. 1998, 19, 1080–1083. [Google Scholar]
- Kobayashi, K.; Sakashita, K.; Akamatsu, H.; Tanaka, K.; Uchida, M.; Uneda, T.; Kitamura, T.; Morikawa, O.; Konishi, H. CAN-mediated formation of furopyranones and furoquinolinones. Heterocycles 1999, 51, 2881–2892. [Google Scholar] [CrossRef]
- Lee, Y.R.; Suk, J.Y.; Kim, B.S. Rhodium(II)-catalyzed reactions of 3-diazo-2,4-chromenediones. First one-step synthesis of pterophyllin 2. Tetrahedron Lett. 1999, 40, 6603–6607. [Google Scholar] [CrossRef]
- Tollari, S.; Palmisano, G.; Cenini, S.; Crovotto, G.; Giovenzana, G.B.; Penoni, A. Synthesis of furocoumarins via rhodium(II)-catalysed heterocyclisation of 3-diazobenzopyran-2,4(3H)-dione with terminal alkynes. Synthesis 2001, 735–740. [Google Scholar]
- Cheng, G.; Hu, Y. One-pot synthesis of furocoumarins through cascade addition-cyclization-oxidation. Chem. Commun. 2007, 3285–3287. [Google Scholar] [CrossRef]
- Cheng, G.; Hu, Y. Two efficient cascade reactions to synthesize substituted furocoumarins. J. Org. Chem. 2008, 73, 4732–4735. [Google Scholar] [CrossRef]
- Conreaux, D.; Belot, S.; Desbordes, P.; Monteiro, N.; Balme, G. Et3N-Induced demethylation-annulation of 3-alkynyl-4-methoxy-2-pyridonas and structurally related compounds in the synthesis of furan-fused heterocycles. J. Org. Chem. 2008, 73, 8619–8622. [Google Scholar]
- Raffa, G.; Rusch, M.; Balme, G.; Monteiro, N. A Pd-catalyzed heteroannulation approach to 2,3-disubstituted furo[3,2-c]coumarins. Org. Lett. 2009, 11, 5254–5257. [Google Scholar] [CrossRef]
- Chen, L.; Li, Y.; Xu, M.-H. One-pot synthesis of furocoumarins via sequential Pd/Cu-catalyzed alkynylation and intramolecular hydroalkoxylation. Org. Biomol. Chem. 2010, 8, 3073–3077. [Google Scholar] [CrossRef]
- Cadierno, V.; Gimeno, J.; Nebra, N. A novel propargylation/cycloisomerization tandem process catalyzed by a ruthenium(II)/trifluoroacetic acid system: One-pot entry to fully substituted furans from readily available secondary propargylic alcohols and 1,3-dicarbonyl compounds. Adv. Synth. Catal. 2007, 349, 382–394. [Google Scholar] [CrossRef]
- Albers, J.; Cadierno, V.; Crochet, P.; García-Garrido, S.E.; Gimeno, J. Octahedral ruthenium(II) complexes cis,cis-[RuX2(CNR)(CO)(P^P)] and cis,cis,cis-[RuX2(CO)2(P^P)] (X = Cl, Br; P^P = 1,1’-bis(diphenylphosphino)ferrocene, 1,1’-bis(diisopropylphosphino)ferrocene): Synthesis and catalytic applications in transfer hydrogenation of acetophenone and cycloisomerization of (Z)-3-methylpent-2-en-4-yn-1-ol. J. Organomet. Chem. 2007, 692, 5234–5244. [Google Scholar] [CrossRef]
- Cadierno, V.; Gimeno, J.; Nebra, N. One-pot three-component catalytic synthesis of fully substituted pyrroles from readily available propargylic alcohols, 1,3-dicarbonyl compounds and primary amines. Chem. Eur. J. 2007, 13, 9973–9981. [Google Scholar] [CrossRef]
- Cadierno, V.; Díez, J.; Gimeno, J.; Nebra, N. Ruthenium/TFA catalyzed coupling of activated secondary propargylic alcohols with cyclic 1,3-diones: Furan vs. pyran ring formation. J. Org. Chem. 2008, 73, 5852–5858. [Google Scholar] [CrossRef]
- Cadierno, V.; Crochet, P. Ruthenium-catalyzed furan- and pyrrole-ring formation. Curr. Org. Synth. 2008, 5, 343–364. [Google Scholar] [CrossRef]
- Cadierno, V.; Gimeno, J.; Nebra, N. One-pot three-component synthesis of tetrasubstituted N–H pyrroles from secondary propargylic alcohols, 1,3-dicarbonyl compounds and tert-butyl carbamate. J. Heterocycl. Chem. 2010, 47, 233–236. [Google Scholar]
- García-Garrido, S.E.; Francos, J.; Cadierno, V.; Basset, J.M.; Polshettiwar, V. Chemistry by nanocatalysis: First example of a solid-supported RAPTA complex for organic reactions in aqueous medium. ChemSusChem 2011, 4, 104–111. [Google Scholar] [CrossRef]
- Cadierno, V.; García-Garrido, S.E.; Gimeno, J.; Nebra, N. Atom-economic transformations of propargylic alcohols catalyzed by the 16-electron allyl-ruthenium(II) complex [Ru(η3-2-C3H4Me)(CO)(dppf)][SbF6] (dppf = 1,1’-bis(diphenylphosphino)ferrocene). Inorg. Chim. Acta 2010, 363, 1912–1934. [Google Scholar] [CrossRef]
- Huang, W.; Wang, J.; Shen, Q.; Zhou, X. Yb(OTf)3-catalyzed propargylation and allenylation of 1,3-dicarbonyl derivatives with propargylic alcohols: One-pot synthesis of multisubstituted furocoumarin. Tetrahedron 2007, 63, 11636–11643. [Google Scholar] [CrossRef]
- Microwaves in Organic Synthesis; Loupy, A. (Ed.) Wiley-VCH: Weinheim, Germany, 2006.
- Kappe, C.O.; Dallinger, D.; Murphee, S.S. Practical Microwave Synthesis for Organic Chemists; Wiley-VCH: Weinheim, Germany, 2009. [Google Scholar]
- Microwave Heating as a Tool for Sustainable Chemistry; Leadbeater, N.E. (Ed.) CRC Press: Boca Raton, FL, USA, 2011.
- Sawhney, K.N.; Mathur, K.B.L. Studies on some structural aspects of 4-hydroxycoumarin: Further extension of Meerwein´s diazo reaction and a substitution reaction involving 2-chloro-2-methylbut-yne. Indian J. Chem. B: Org. Chem. 1976, 14, 518–521. [Google Scholar]
- Chênevert, R.; Pagé, J.; Plante, R.; Beaucage, D. Synthesis of 4,4-dimethyl-5-methylene-4,5-dihydrofurans. Synthesis 1982, 75–77. [Google Scholar]
- Chênevert, R.; Pagé, J.; Voyer, N. Synthesis of (±)-dehydroxyglaupalol and analogs. Synth. Commun. 1984, 14, 737–742. [Google Scholar] [CrossRef]
- Reisch, J.; Dharmaratne, H.R.W. A convenient synthesis of the 2-dimethyl-2H-chromene system. Z. Naturforsch. B 1985, 40, 636–638. [Google Scholar]
- Mitra, J.; Mitra, A.K. Palladium(II) assisted cyclization of hydroxyallylcoumarins. Indian J. Chem. B: Org. Chem. 1994, 33, 276–279. [Google Scholar]
- Berger, S.; Haak, E. Ruthenium-catalyzed addition of carboxylic acids or cyclic 1,3-dicarbonyl compounds to propargylic alcohols. Tetrahedron Lett. 2010, 51, 6630–6634. [Google Scholar] [CrossRef]
- Cadierno, V.; Díez, J.; García-Garrido, S.E.; Gimeno, J. Ru(η3-2-C3H4Me)(CO)(dppf)][SbF6]: A mononuclear 16e− ruthenium(II) catalyst for propargylic substitution and isomerization of HCCCPh2(OH). Chem. Commun. 2004, 2716–2717. [Google Scholar]
- Midland, M.M. Preparation of monolithium acetylide in tetrahydrofuran. Reaction with aldehydes and ketones. J. Org. Chem. 1975, 40, 2250–2252. [Google Scholar] [CrossRef]
- CrysAlisPro CCD & CrysAlisPro RED; Oxford Diffraction Ltd.: Oxford, UK, 2008.
- Farrugia, L.J. WinGX suite for small-molecule single-crystal crystallography. J. Appl. Crystallogr. 1999, 32, 837–838. [Google Scholar] [CrossRef]
- Altomare, A.; Cascarano, G.; Giacovazzo, C.; Guagliardi, A. Completion and refinement of crystal structures with SIR92. J. Appl. Crystallogr. 1993, 26, 343–350. [Google Scholar] [CrossRef]
- Sheldrick, G.M. SHELXL97: Program for the Refinement of Crystal Structures; University of Göttingen: Göttingen, Germany, 1997. [Google Scholar]
- International Tables for X-Ray Crystallography; Kynoch Press: Birminghan, UK, 1974; Volume IV, (present distributor: Kluwer Academic Publishers: Dordrecht, The Netherlands).
- Spek, A.L. PLATON: A multipurpose Crystallographic Tool; University of Utrecht: Utrecht, The Netherlands, 2006. [Google Scholar]
- Sample Availability: Samples of the compounds 4a–d and 5b are available from the authors.
© 2011 by the authors; licensee MDPI, Basel, Switzerland. This article is an open access article distributed under the terms and conditions of the Creative Commons Attribution license ( http://creativecommons.org/licenses/by/3.0/).