A New C-3/C-3”-Biflavanone from the Roots of Stellera chamaejasme L
Abstract
:1. Introduction

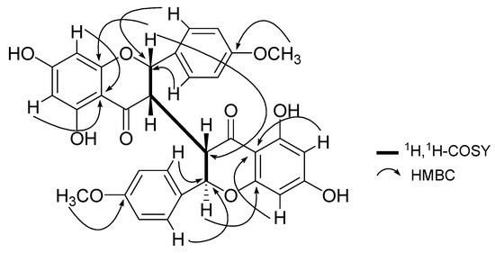
2. Results and Discussion
| No. | δH mult (J = Hz) | δC |
|---|---|---|
| 2 | 5.77 d (4.8) | 79.9 d |
| 3 | 3.24 br s | 48.0 d |
| 4 | - | 197.2 s |
| 5 | - | 164.2 s |
| 6 | 5.95 d (2.0) | 96.2 d |
| 7 | - | 166.5 s |
| 8 | 6.08 d (2.0) | 95.3 d |
| 9 | - | 163.9 s |
| 10 | - | 104.0 s |
| 1’ | - | 128.7 s |
| 2’ | 7.36 d (8.6) | 127.4 d |
| 3’ | 6.98 d (8.6) | 114.1 d |
| 4’ | - | 159.8 s |
| 5’ | 6.98 d (8.6) | 114.1 d |
| 6’ | 7.36 d (8.6) | 127.4 d |
| 2” | 5.22 d (8.8) | 81.8 d |
| 3” | 4.03 dd (8.8, 3.4) | 49.3 d |
| 4” | - | 195.0 s |
| 5” | - | 164.5 s |
| 6” | 5.87 d (2.4) | 96.0 d |
| 7” | - | 166.7 s |
| 8” | 5.86 d (2.4) | 94.9 d |
| 9” | - | 162.1 s |
| 10” | - | 102.8 s |
| 1”’ | - | 128.8 s |
| 2”’ | 7.10 d (8.6) | 129.1 d |
| 3”’ | 6.84 d (8.6) | 113.8 d |
| 4”’ | - | 160.1 s |
| 5”’ | 6.84 d (8.6) | 113.8 d |
| 6”’ | 7.10 d (8.6) | 129.1 d |
| 4’-OCH3 | 3.82 s | 54.8 q |
| 4’”-OCH3 | 3.79 s | 54.8 q |

3. Experimental
3.1. General
3.2. Plant Material
3.3. Extraction and Isolation
4. Conclusions
Acknowledgements
References
- Xu, Z.H.; Qin, G.W.; Li, X.Y.; Xu, R.S. New biflavanones and bioactive compounds from Stellera chamaejasme L. Acta Pharm. Sin. 2001, 36, 668–671. [Google Scholar]
- Niwa, M.; Takamizawa, H.; Tatematsu, H.; Hirata, Y. Piscicidal constituents of Stellera chamaejasme L. Chem. Pharm. Bull. 1982, 30, 4518–4520. [Google Scholar] [CrossRef]
- Niwa, M.; Tatematsu, S.; Liu, G.Q.; Hirata, Y. Isolation and structures of two new C-3/C-3’-biflavanones, neochamaejasmin A and neochamaejasmin B. Chem. Lett. 1984, 539–542. [Google Scholar]
- Niwa, M.; Liu, G.Q.; Tatematsu, S.; Hirata, Y. Chamaechromone, a novel rearranged biflavonoid from Stellera chamaejasme L. Tetrahedron Lett. 1984, 25, 3735–3738. [Google Scholar] [CrossRef]
- Tatematsu, H.; Kurokawa, M.; Niwa, M.; Hirata, Y. Piscicidal constituents of Stellera chamaejasme L. II. Chem. Pharm. Bull. 1984, 32, 1612–1613. [Google Scholar] [CrossRef]
- Liu, G.Q.; Tatematsu, H.; Kurokawa, M.; Niwa, M.; Hirata, Y. Novel C-3/C-3”-biflavanones from stellera chamaejasme L. Chem. Pharm. Bull. 1984, 32, 362–365. [Google Scholar] [CrossRef]
- Niwa, M.; Otsuji, S.; Tatematsu, S.; Liu, G.Q.; Chen, S.F.; Hirata, Y. Stereostructures of two biflavanones from Stellera chamaejasme L. Chem. Pharm. Bull. 1986, 34, 3249–3251. [Google Scholar] [CrossRef]
- Jiang, Z.H.; Tanaka, T.; Sakamoto, T.; Kouno, I.; Duan, J.A.; Zhou, R.H. Biflavanones, diterpenes, and coumarins from the roots of Stellera chamaejasme L. Chem. Pharm. Bull. 2002, 50, 137–139. [Google Scholar] [CrossRef]
- Yang, G.H.; Liao, Z.X.; Xu, Z.Y.; Zhang, H.P.; Chen, D.F. Antimitotic and antifungal C-3/C-3’-biflavanones from Stellera chamaejasme. Chem. Pharm. Bull. 2005, 53, 776–779. [Google Scholar] [CrossRef]
- Sample Availability: Available from the authors.
© 2011 by the authors; licensee MDPI, Basel, Switzerland. This article is an open access article distributed under the terms and conditions of the Creative Commons Attribution license ( http://creativecommons.org/licenses/by/3.0/).
Share and Cite
Li, J.; Zhao, W.; Hu, J.-L.; Cao, X.; Yang, J.; Li, X.-R. A New C-3/C-3”-Biflavanone from the Roots of Stellera chamaejasme L. Molecules 2011, 16, 6465-6469. https://doi.org/10.3390/molecules16086465
Li J, Zhao W, Hu J-L, Cao X, Yang J, Li X-R. A New C-3/C-3”-Biflavanone from the Roots of Stellera chamaejasme L. Molecules. 2011; 16(8):6465-6469. https://doi.org/10.3390/molecules16086465
Chicago/Turabian StyleLi, Jie, Wei Zhao, Jia-Lei Hu, Xin Cao, Jie Yang, and Xiang-Rong Li. 2011. "A New C-3/C-3”-Biflavanone from the Roots of Stellera chamaejasme L" Molecules 16, no. 8: 6465-6469. https://doi.org/10.3390/molecules16086465
APA StyleLi, J., Zhao, W., Hu, J.-L., Cao, X., Yang, J., & Li, X.-R. (2011). A New C-3/C-3”-Biflavanone from the Roots of Stellera chamaejasme L. Molecules, 16(8), 6465-6469. https://doi.org/10.3390/molecules16086465
