Purification, Biochemical Characterization, and Bioactive Properties of a Lectin Purified from the Seeds of White Tepary Bean (Phaseolus Acutifolius Variety Latifolius)
Abstract
:1. Introduction
2. Results and Discussion
2.1. Isolation of Lectins

| Fraction | Protein Concentration (mg/mL) | Hemagglutination Titer * | Specific Activity | Purification factor | Lectin (%) |
|---|---|---|---|---|---|
| Crude Extract | 30.41 | 262144 | 8618.05 | 1 | |
| Protein bound to fetuin | 1.16 | 262144 | 226376.51 | 26 | 0.586 |

2.2. Chemical Characterization of the Lectin
| Amino Acid | ng/mg | % |
|---|---|---|
| Lys | 10.91 | 0.24 |
| Glx | 21.25 | 0.47 |
| Ala | 34.53 | 0.77 |
| Val | 52.22 | 1.17 |
| His | 109.50 | 2.45 |
| Tyr | 190.64 | 4.26 |
| Arg | 190.92 | 4.27 |
| Phe | 257.31 | 5.75 |
| Asx | 269.82 | 6.03 |
| Ser | 347.55 | 7.77 |
| Thr | 396.12 | 8.85 |
| Ile | 401.79 | 8.89 |
| Met | 460.67 | 10.29 |
| Leu | 472.22 | 10.55 |
| Gly | 1259.25 | 28.14 |
| Cys | n.d.a | n.d. |
| Metal | Concentration (ppm) |
|---|---|
| Ca | 10739.9 |
| Cu | 2528.8 |
| Zn | 847.3 |
| Mg | 453.8 |
| Fe | 324.6 |
| Mn | 240.5 |
| Cr | 19.8 |
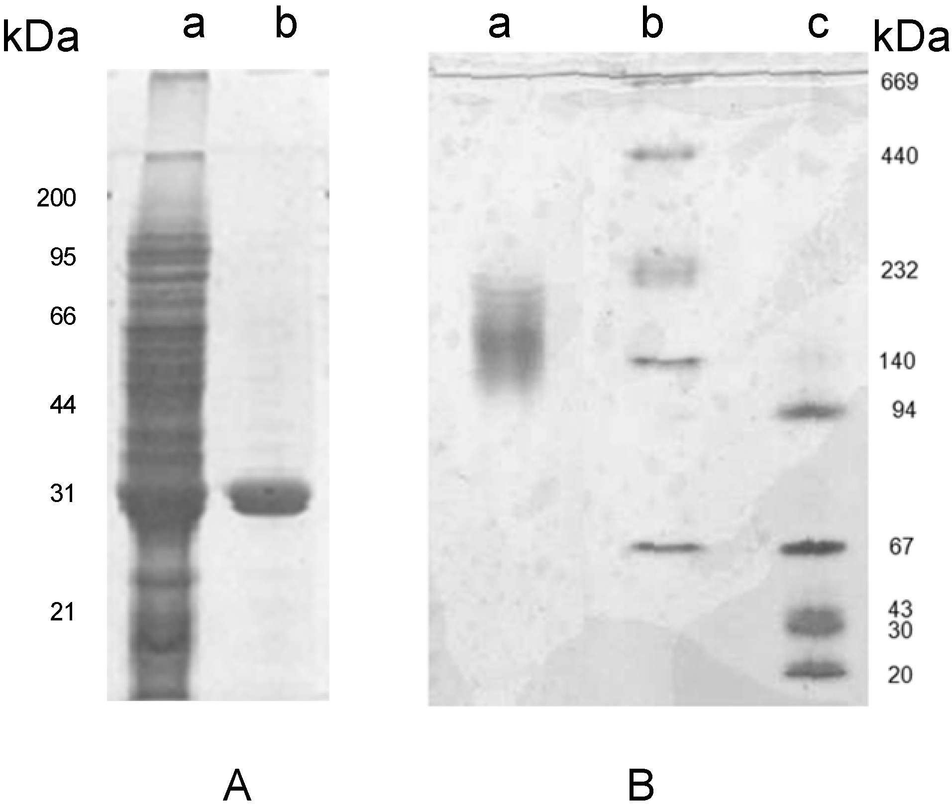
2.3. Oligomerization of the Lectin
). Elution positions of the molecular weight standards (Thyroglobulin 660 kDa, aldolase 150 kDa, bovine serum albumin 67 kDa, and ovoalbumin 44 kDa) are indicated (▲).
). Elution positions of the molecular weight standards (Thyroglobulin 660 kDa, aldolase 150 kDa, bovine serum albumin 67 kDa, and ovoalbumin 44 kDa) are indicated (▲).
2.4. Characterization of the Subunits of the Tepary Bean Lectin

| Calculated Mass | Observed Mass | Start residue | End residue. | Sequence |
|---|---|---|---|---|
| 1095.6156 | 1095.6118 | 161 | 170 | HIGIDVNSIK |
| 1317.7776 | 1317.7792 | 197 | 208 | LLVASLVYPSQK |
| 1324.6995 | 1324.7072 | 209 | 220 | TSFIVSDTVDLK |
| 1635.8125 | 1635.7968 | 140 | 153 | AHTVAVEFDTLYNR |
| 1800.9086 | 1800.8922 | 56 | 72 | LTNLNDNGEPTLSSLGR |
| 2219.2183 | 2219.2234 | 102 | 124 | VPNNAGPADGLAFALVPVGSKPK |
2.5. Hemagglutination Activity
| Lectin | Lectin Concentration (mg/mL) | Trypsinized human erythrocytes(Hemaggluting titer) | |
|---|---|---|---|
| Type A | Type O | ||
| Tepary bean | 3.5 | 292.6 | 36.6 |
| Phaseolus vulgaris (PHA-E) | 3.5 | 20.34 × 107 | 33.55 × 106 |
| Concanavalin A | 3.5 | 1.1 | 0.57 |
| Inhibitory concentration a (mg/mL) | ||
|---|---|---|
| Glycoproteins | Human “O” Erythrocytes | Human “A” Erythrocytes |
| GnT-V | 1.7 × 10E-3 | 27.3 × 10E-3 |
| Fetuin | 78.1 × 10E-3 | 156.3 × 10E-3 |
| Fibrinogen | 9.8 × 10E-3 | 39.1 × 10E-3 |
| Thyroglobulin | 4.8 × 10E-3 | 4.8 × 10E-3 |
| Ovoalbumin | 1.3 | 1.3 |
| Glycopeptides | ||
| Tryptic glycopeptides from bovine fetuin | n.i. | n.i. |
| Tryptic glycopeptides from pocine Thyroglobulin | n.i. | n.i. |
| Tryptic glycopeptides from ovoalbumin | n.i. | n.i. |
| Thermolytic glycopeptides from Fibrinogen | n.i. | n.i. |
| Oligosaccharides | ||
| Chitooligosaccharides | n.i. | n.i. |
| Human milk oligosaccharides mixture | n.i. | n.i. |
| Raffinose | n.i. | n.i. |
| Lactose | n.i. | n.i. |
| Monosaccharides | ||
| Maltose | n.i. | n.i. |
| Glucose | n.i. | n.i. |
| Galactose | n.i. | n.i. |
| Mannose | n.i. | n.i. |
| Fucose | n.i. | n.i. |
| Metilglucopyranose | n.i. | n.i. |
| Glucosaminitol | n.i. | n.i. |
| Galactosaminitol | n.i. | n.i. |
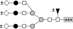
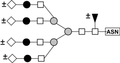
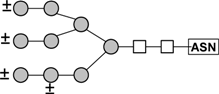
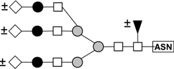
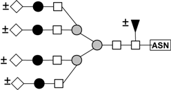
| Structure | Name | Source(s) | References |
|---|---|---|---|
![]() | Biantennary complex | Bovine Fibrinogen | [36,40,49,50] |
| Bovine fetuin | |||
| Porcine Thyroglobulin | |||
| GnT-V | |||
![]() | Triantennary complex | Bovine fetuin | [40,49,50] |
| Porcine Thyroglobulin | |||
| GnT-V | |||
![]() | tetrantennary complex | GnT-V | [49] |
![]() | High mannose | Ovoalbumin | [40,41] |
| Porcine Thyroglobulin | |||
![]() | Hybrid | Ovoalbumin | [40,41] |
| Porcine Thyroglobulin |
Mannose; ◊ N-Acetylneuraminic (sialic) acid; ▲ Fucose; ± indicates that the monosaccharide residue may or not be present as part of the structure.
| Carbohydrate Residue | Monosaccharide composition (%) | ||
|---|---|---|---|
| Fraction 1 | Fraction 2 | Fraction 3 | |
| Fucose | 5.8 | 5.5 | 3.9 |
| Mannose | 49.1 | 43.8 | 26.0 |
| Galactose | 15.5 | 14.9 | 15.8 |
| N-acetylglucosamine | 22.6 | 29.6 | 40.5 |
2.6. Mitogenic Activity

), the leukoagglutinating lectin from Phaseolus vulgaris (
), and Concanavalin A (
). In these experiments, the incorporation of [3H]-thymidine was measured after incubation of cultured human lymphocytes with increasing amounts of each lectin.
), the leukoagglutinating lectin from Phaseolus vulgaris (
), and Concanavalin A (
). In these experiments, the incorporation of [3H]-thymidine was measured after incubation of cultured human lymphocytes with increasing amounts of each lectin.
2.7. Cytotoxicity Activity on Mouse 3T3 Fibroblast Cell Clones

3. Experimental
3.1. Materials
3.2. Preparation of Mini-Leak Agarose Resin
3.3. Purification of PAA
3.4. Size Exclusion Chromatography
3.5. MALDI-TOF Mass Spectrometry
3.6. Polyacrylamide Gel Electrophoresis (PAGE)
3.7. Amino Acid Composition Analysis
3.8. Metal Composition Analysis
3.9. Carbohydrate Content
3.10. Analysis of Partial Sequences of Peptides Subunits by LC/MS/MS
3. 11. Hemagglutination Assays
3.12. Preparation of Fractogel-Azlactone-Lectin Matrix
3.13. Characterization of Lectin Affinity
3.14. Mitogenic Activity on Human Lymphocytes
3.15. Cytotoxicity Activity on Mouse 3T3 Fibroblast Cell Clones
4. Conclusions
Acknowledgments
References and Notes
- Etzler, M. Distribution and function of lectins in vegetables. In The Lectins: Properties, Function and Applications in Biology and Medicine; Liener, I.E.S., Goldstein, I.J., Eds.; Academic Press: London, UK, 1986; pp. 100–200. [Google Scholar]
- Sharon, N.; Lis, H. Lectins; Chapman and Hall: New York, NY, USA, 1989; pp. 56–67. [Google Scholar]
- Sharon, N.; Lis, H. Legume lectins-a large family of homologous proteins. FASEB J. 1990, 4, 3198–3208. [Google Scholar]
- Weiss, W.I.; Drickamer, K. Structural basis of lectin carbohydrate recognition. Ann. Rev. Biochem. 1996, 65, 441–473. [Google Scholar] [CrossRef]
- Chandra, N.R.; Prabu, M.M.; Suguna, K.; Vijayan, M. Structural similarity and functional diversity in proteins containing the legume lectin fold. Protein Eng. 2001, 14, 857–866. [Google Scholar] [CrossRef]
- Manoj, N.; Suguna, K. Signature of quaternary structure in the sequences of legume lectins. Protein Eng. 2001, 14, 735–745. [Google Scholar] [CrossRef]
- Sharon, N.; Lis, H. How proteins bind carbohydrates: Lessons from legume lectins. J. Agr. Food Chem. 2002, 50, 6586–6591. [Google Scholar] [CrossRef]
- Sharma, V.; Surolia, A. Analyses of carbohydrate recognition by legume lectins: Size of the combining site loops and their primary specificity. J. Mol. Biol. 1997, 267, 433–445. [Google Scholar] [CrossRef]
- Clarke, A.E.; Knox, R.B.; Jermyn, M.A. Localization of lectins in legume cotyledons. J. Cell Sci. 1975, 19, 157–167. [Google Scholar]
- Cummings, R.D.; Kornfeld, S. Fractionation of asparagine-linked oligosaccharides by serial lectin-agarose affinity chromatography. J. Biol. Chem. 1982, 257, 11235–11240. [Google Scholar]
- Cummings, R.D. Affinity chromatography of oligosaccharides and glycopeptides. In Glycoconjugates: Composition, Structure and Function; Allen, H.J., Kisalius, E.C., Eds.; Marcel Decker: New York, NY, USA, 1990; pp. 124–139. [Google Scholar]
- Felsted, R.L.; Li, J.; Pokrywka, G.; Egorin, M.J.; Spiegel, J.; Dale, R.M. Comparison of Phaseolus vulgaris cultivars on the basis of isolectin differences. Int. J. Biochem. 1981, 13, 549–557. [Google Scholar] [CrossRef]
- Felsted, R.L.; Egorin, M.J.; Leavitt, R.D.; Bachur, N.R. Recombinations of subunits of Phaseolus vulgaris isolectins. J. Biol. Chem. 1977, 252, 2967–2971. [Google Scholar]
- Leavitt, R.D.; Felsted, R.L.; Bachur, N.R. Biological and biochemical properties of Phaseolus vulgaris isolectins. J. Biol. Chem. 1977, 252, 2961–2966. [Google Scholar]
- Monsigny, M.; Jeune-Chung, K.H.; Perrodon, Y. Separation and biological properties of Phaseolus vulgaris isolectins. Biochimie 1978, 60, 315–1322. [Google Scholar] [CrossRef]
- Pusztai, A.; Watt, W.B. Isolectins of Phaseolus vulgaris. A comprehensive study of fractionation. Biochim. Biophys. Acta 1974, 365, 57–71. [Google Scholar] [CrossRef]
- Felsted, R.L.; Leavitt, R.D.; Bachur, N.R. Purification of the phytohemagglutinin family of proteins from red kidney beans (Phaseolus vulgaris) by affinity chromatography. Biochim. Biophys. Acta 1975, 405, 72–81. [Google Scholar] [CrossRef]
- Glad, C.; Borrebaeck, C.A. Affinity of phytohemagglutinin (PHA) isolectins for serum proteins and regulation of the lectin-induced lymphocyte transformation. J. Immunol. 1984, 133, 2126–2132. [Google Scholar]
- Schuster, M.L. A method for testing resistance of beans to bacterial blights. Phytopathology 1955, 45, 519. [Google Scholar]
- Waines, J.G.; Manshardt, R.M.; Wells, W.C. Interspecific hybridization between Phaseolus vulgaris and Phaseolus acutifolius. In Genetic Resources of Beans: Their Maintenance, Domestication, Evolution, and Utilization; Gepts, P., Ed.; Kluwer Academic Publishers: Dordrecht, The Netherlands, 1988; pp. 485–502. [Google Scholar]
- Yamada, T.; Hattori, K.; Ishimoto, M. Purification and characterization of two alpha-amylase inhibitors from seeds of tepary bean (Phaseolus acutifolius A. Gray). Phytochemistry 2001, 58, 59–66. [Google Scholar]
- Grant, G.; More, L.J.; McKenzie, N.H.; Stewart, J.C.; Pusztai, A. A survey of the nutritional and haemagglutination properties of legume seeds generally available in the UK. Br. J. Nutr. 1983, 50, 207–214. [Google Scholar] [CrossRef]
- Datta, P.K.; Basu, P.S.; Datta, T.K. Purification of human erythrocytes specific lectins from rice bean, Phaseolus calcaratus syn. Vigna umbellata, by high-performance liquid chromatography. J. Chromatogr. 1988, 431, 37–44. [Google Scholar] [CrossRef]
- Maliarik, M.J.; Goldstein, I.J. Photoaffinity labeling of the adenine binding site of the lectins from lima bean, Phaseolus lunatus, and the kidney bean, Phaseolus vulgaris. J. Biol. Chem. 1988, 263, 11274–11279. [Google Scholar]
- Pusztai, A. Plant lectins—Biological functions. Acta Biochim. Biophys. Hung. 1987, 22, 355–375. [Google Scholar]
- Vargas-Albores, F.; De la Fuente, G.; Agundia, C.; Córdoba, F. Purification and characterization of a lectin from Phaseolus acutifolius var. Latifolius. Prep. Biochem. 1987, 17, 379–396. [Google Scholar] [CrossRef]
- Reynoso-Camacho, R.; Gonzalez de Mejia, E.; Loarca-Piña, G. Purification and acute toxicity of a lectin extracted from tepary bean (Phaseolus acutifolius). Food Chem. Toxicol. 2003, 41, 21–27. [Google Scholar] [CrossRef]
- Castillo-Villanueva, A.; Caballero-Ortega, H.; Abdullaev-Jafarova, A.; Garfias, Y.; Jimenez-Martínez, M.C.; Bouquelet, S.; Martínez, G.; Mendoza-Hernández, G.; Zenteno, E. Lectin from Phaseolus acutifolius var. escumite: Chemical characterization, sugar specificity, and effect on human T-lymphocytes. J. Agr. Food Chem. 2007, 55, 5781–5787. [Google Scholar]
- Pusztai, A.; Watt, W.; Stewart, J.C. Erithro and lymphoagglutinins of Phaseolus acutifolius. Phytochemistry 1987, 26, 1009–1013. [Google Scholar] [CrossRef]
- Srinivas, V.R.; Reddy, G.B.; Ahmad, N.; Swaminathan, C.P.; Mitra, N.; Surolia, A. Legume lectin family, the ‘natural mutants of the quaternary state’, provide insights into the relationship between protein stability and oligomerization. Biochim. Biophys. Acta 2001, 1527, 102–111. [Google Scholar] [CrossRef]
- Ueda, H.; Ogawa, H. Glycobiology of the plant Glycoprotein epitope: Structure, immunogenicity and allergenicity of plant glycotopes. Trends Glycosci. Glycotechnol. 1999, 11, 413–428. [Google Scholar] [CrossRef]
- Kamemura, K.; Furuichi, Y.; Umekawa, H.; Takahashi, T. Purification and characterization of novel lectins from Great Northern bean, Phaseolus vulgaris L. Biochim. Biophys. Acta 1993, 1158, 181–188. [Google Scholar] [CrossRef]
- Becker, J.W.; Reeke, G.N., Jr.; Cunningham, B.A.; Edelman, G.M. New evidence on the location of the saccharide-binding site of concanavalin A. Nature 1976, 259, 406–409. [Google Scholar] [CrossRef]
- Roberts, D.D.; Goldstein, I.J. Effect of carbohydrate and metal ion binding on the reactivity of the essential thiol groups of lima bean lectin. J. Biol. Chem. 1984, 259, 903–908. [Google Scholar]
- Hatakeyama, T.; Furukawa, M.; Nagatomo, H.; Yamasaki, N.; Mori, T. Oligomerization of the hemolytic lectin CEL-III from the marine invertebrate Cucumaria echinata induced by the binding of carbohydrate ligands. J. Biol. Chem. 1996, 271, 16915–16920. [Google Scholar] [CrossRef]
- Kuwahara, H.; Yamasaki, T.; Hatakeyama, T.; Aoyagi, H.; Fujisawa, T. Oligomerization process of the hemolytic lectin CEL-III purified from a sea cucumber, Cucumaria echinata. J. Biochem. 2002, 131, 751–756. [Google Scholar] [CrossRef]
- De Mejía, E.G.; Hankins, C.N.; Paredes-López, O.; Shannon, L.M. The lectins and lectin-like proteins of tepary beans and tepary-common bean hybrids. J. Food Biochem. 1990, 14, 117–126. [Google Scholar] [CrossRef]
- Hoffman, L.M.; Donaldson, D.D. Characterization of two Phaseolus vulgaris phytohemagglutinin genes closely linked on the chromosome. EMBO J. 1985, 4, 883–889. [Google Scholar]
- Lioi, L.; Galasso, I.; Santantonio, M.; Lanave, C.; Bollini, R.; Sparvoli, F. Lectin gene sequences and species relationships among cultivated legumes. Genet. Resour. Crop Evol. 2006, 53, 1615–1623. [Google Scholar] [CrossRef]
- Mirkov, T.E.; Wahlstrom, J.M.; Hagiwara, K.; Finardi-Filho, F.; Kjemtrup, S.; Chrispeels, M.J. Evolutionary relationships among proteins in the phytohemagglutinin-arcelin-alpha-amylase inhibitor family of the common bean and its relatives. Plant Mol. Biol. 1994, 26, 1103–1113. [Google Scholar] [CrossRef]
- Huang, Y.; Mechref, Y.; Novotny, M.V. Microscale nonreductive release of O-linked glycans for subsequent analysis through MALDI mass spectrometry and capillary electrophoresis. Anal. Chem. 2001, 73, 6063–6069. [Google Scholar] [CrossRef]
- Charlwood, J.; Birrell, H.; Organ, A.; Camilleri, P. A chromatographic and mass spectrometric strategy for the analysis of oligosaccharides: Determination of the glycan structures in porcine thyroglobulin. Rapid Commun. Mass Spectrom. 1999, 13, 716–723. [Google Scholar] [CrossRef]
- Alvarez-Manilla, G.; Troupe, K.; Fleming, M.; Martinez-Uribe, E.; Pierce, M. Comparison of the substrate specificities and catalytic properties of the sister N-acetylglucosaminyltransferases, GnT-V and GnT-Vb (IX). Glycobiology 2010, 20, 166–174. [Google Scholar] [CrossRef]
- Yamashita, K.; Ueda, I.; Kobata, A. Sulfated asparagine-linked sugar chains of hen egg albumin. J. Biol. Chem. 1983, 258, 14144–14147. [Google Scholar]
- Williams, B.A.; Chervenak, M.C.; Toone, E.J. Energetics of lectin-carbohydrate binding. A microcalorimetric investigation of concanavalin A-oligomannoside complexation. J. Biol. Chem. 1992, 267, 22907–22911. [Google Scholar]
- Cummings, R.D.; Kornfeld, S. Characterization of the structural determinants required for the high affinity interaction of asparagine-linked oligosaccharides with immobilized Phaseolus vulgaris leukoagglutinating and erythroagglutinating lectins. J. Biol. Chem. 1982, 257, 11230–11234. [Google Scholar]
- Delbaere, L.T.; Vandonselaar, M.; Prasad, L.; Quail, J.W.; Wilson, K.S.; Dauter, Z. Structures of the lectin IV of Griffonia simplicifolia and its complex with the Lewis b human blood group determinant at 2.0 A resolution. J. Mol. Biol. 1993, 230, 950–965. [Google Scholar] [CrossRef]
- Prasad, L.; Sharma, S.; Vandonselaar, M.; Quail, J.W.; Lee, J.S.; Waygood, E.B.; Wilson, K.S.; Dauter, Z.; Delbaere, L.T. Evaluation of mutagenesis for epitope mapping. Structure of an antibody-protein antigen complex. J. Biol. Chem. 1993, 268, 10705–10708. [Google Scholar]
- Altmann, F.; Schweiszer, S.; Weber, C. Kinetic comparison of peptide: N-glycosidases F and A reveals several differences in substrate specificity. Glycoconj.J. 1995, 12, 84–93. [Google Scholar] [CrossRef]
- Da Silva, M.L.; Tamura, T.; McBroom, T.; Rice, K.G. Tyrosine derivatization and preparative purification of the sialyl and asialy-N-linked oligosaccharides from porcine fibrinogen. Arch. Biochem. Biophys. 1994, 312, 151–157. [Google Scholar] [CrossRef]
- Valadez-Vega, C.; Alvarez-Manilla, G.; Riverón-Negrete, L.; García-Carrancá, A.; Morales-González, J.A.; Zuñiga-Pérez, C.; Madrigal-Santillán, E.; Esquivel-Soto, J.; Esquivel-Chirino, C.; Villagómez-Ibarra, R.; Bautista, M.; Morales-González, A. Detection of cytotoxic activity of lectin on human colon adenocarcinoma (Sw480) and epithelial cervical carcinoma (C33-A). Molecules 2011, 16, 2107–2118. [Google Scholar]
- De Mejia, E.G.; Valadez-Vega, M.C.; Reynoso-Camacho, R.; Loarca-Pina, G. Tannins, trypsin inhibitors and lectin cytotoxicity in tepary (Phaseolus acutifolius) and common (Phaseolus vulgaris) beans. Plant Food. Hum. Nutr. 2005, 60, 137–145. [Google Scholar] [CrossRef]
- Reynoso-Camacho, R.; González de Mejía, E.; Loarca-Piña, G. Purification and acute toxicity of a lectin extracted from tepary bean (Phaseolus acutifolius). Food Chem. Toxicol. 2003, 41, 21–27. [Google Scholar] [CrossRef]
- Merkle, R.K.; Cummings, R.D. Relationship of the terminal sequences to the length of poly-N-acetyllactosamine chains in asparagine-linked oligosaccharides from the mouse lymphoma cell line BW5147. Immobilized tomato lectin interacts with high affinity with glycopeptides containing long poly-N-acetyllactosamine chains. J. Biol. Chem. 1987, 262, 8179–8189. [Google Scholar]
- Lowry, O.H.; Rosebrough, N.J.; Farr, A.L.; Randall, R.J. Protein measurement with the Folin phenol reagent. J. Biol. Chem. 1951, 193, 265–270. [Google Scholar]
- Laemmli, V.K. Cleavage of structural proteins during the assembly of the head of bacteriophage T4. Nature 1970, 227, 680–685. [Google Scholar] [CrossRef]
- Rehbein, H. Differentiation of scombroid fish species (tunas, bonitos and mackerels) by isoelectric focusing, titration curve analysis and native polyacrylamide gel electrophoresis of sarcoplasmic proteins. Electrophoresis 1996, 16, 820–822. [Google Scholar] [CrossRef]
- Esteve-Romero, J.S.; Yman, I.M.; Bossi, A.; Righetti, P.G. Fish species identification by isoelectric focusing of parvalbumins in immobilized pH gradients. Electrophoresis 1996, 17, 1380–1385. [Google Scholar] [CrossRef]
- Wray, W.; Boulikas, T.; Wray, V.P.; Hancock, R. Silver Stainingof proteins in polyacrylamide gels. Anal. Biochem. 1981, 118, 197–203. [Google Scholar]
- Vázquez-Ortiz, F.A.; Caire, G.; Higuera-Ciapara, I.; Hernández, G. High performance liquid chromatographic determination of free amino acids in Shrimp. J. Liq. Crom. 1995, 18, 2059–2068. [Google Scholar] [CrossRef]
- Townsend, M.S.H.; Smith, J.A.; Ray, D.W.; Currier, C.G. Differential concentration of ten minerals among four ancestral alfalfa germplasms. Crop Sci. 1999, 39, 574–578. [Google Scholar] [CrossRef]
- Dubois, M.; Gilles, K.A.; Hamilton, J.K.; Rebers, P.A.; Smith, F. Colorimetric method for determination of sugar and related substances. Anal. Chem. 1956, 28, 350–356. [Google Scholar] [CrossRef]
- Appella, E.; Arnott, D.; Sakaguchi, K.; Wirth, P.J. Proteome mapping by two-dimensional polyacrylamide gel electrophoresis in combination with mass spectrometric protein sequence analysis. EXS 2000, 88, 1–27. [Google Scholar]
- Nakayama, H.; Uchida, K.; Shinkai, F.; Shinoda, T.; Okuyama, T.; Seta, K.; Isobe, T. Capillary column high-performance liquid chromatographic-electrospray ionization triple-stage quadrupole mass spectrometric analysis of proteins separated by two-dimensional polyacrylamide gel electrophoresis. Application to cerebellar protein mapping. J. Chromatogr. A 1996, 730, 279–287. [Google Scholar] [CrossRef]
- Jaffe, W.G.; Brucher, O.; Palozzo, A. Detection of four types of specific phytohemagglutinins in different lines of beans (Phaseolus vulgaris). Z. Immunitatsforsch. Exp. Klin. Immunol. 1972, 142, 439–447. [Google Scholar]
- Chaplin, M.F. A rapid and sensitive method for the analysis of carbohydrate components in glycoproteins using gas-liquid chromatography. Anal. Biochem. 1982, 123, 336–341. [Google Scholar] [CrossRef]
- Abdullaev, F.I.; Rivera-Luna, R.; Garcia-Carranca, A.; Ayala-Fierro, F.; Espinosa-Aguirre, J.J. Cytotoxic effect of three arsenic compounds in HeLa human tumor and bacterial cells. Mutat. Res. 2001, 493, 31–38. [Google Scholar] [CrossRef]
- Hansen, M.B.; Nielsen, S.E.; Berg, K. Re-examination and further development of a precise and rapid dye method for measuring cell growth/cell kill. J. Immunol. Method. 1989, 119, 203–210. [Google Scholar] [CrossRef]
- Sample Availability: Samples of the compounds are available from the authors.
© 2011 by the authors; licensee MDPI, Basel, Switzerland. This article is an open access article distributed under the terms and conditions of the Creative Commons Attribution license ( http://creativecommons.org/licenses/by/3.0/).
Share and Cite
Valadez-Vega, C.; Guzmán-Partida, A.M.; Soto-Cordova, F.J.; Álvarez-Manilla, G.; Morales-González, J.A.; Madrigal-Santillán, E.; Villagómez-Ibarra, J.R.; Zúñiga-Pérez, C.; Gutiérrez-Salinas, J.; Becerril-Flores, M.A. Purification, Biochemical Characterization, and Bioactive Properties of a Lectin Purified from the Seeds of White Tepary Bean (Phaseolus Acutifolius Variety Latifolius). Molecules 2011, 16, 2561-2582. https://doi.org/10.3390/molecules16032561
Valadez-Vega C, Guzmán-Partida AM, Soto-Cordova FJ, Álvarez-Manilla G, Morales-González JA, Madrigal-Santillán E, Villagómez-Ibarra JR, Zúñiga-Pérez C, Gutiérrez-Salinas J, Becerril-Flores MA. Purification, Biochemical Characterization, and Bioactive Properties of a Lectin Purified from the Seeds of White Tepary Bean (Phaseolus Acutifolius Variety Latifolius). Molecules. 2011; 16(3):2561-2582. https://doi.org/10.3390/molecules16032561
Chicago/Turabian StyleValadez-Vega, Carmen, Ana María Guzmán-Partida, Francisco Javier Soto-Cordova, Gerardo Álvarez-Manilla, José A. Morales-González, Eduardo Madrigal-Santillán, José Roberto Villagómez-Ibarra, Clara Zúñiga-Pérez, José Gutiérrez-Salinas, and Marco A. Becerril-Flores. 2011. "Purification, Biochemical Characterization, and Bioactive Properties of a Lectin Purified from the Seeds of White Tepary Bean (Phaseolus Acutifolius Variety Latifolius)" Molecules 16, no. 3: 2561-2582. https://doi.org/10.3390/molecules16032561
APA StyleValadez-Vega, C., Guzmán-Partida, A. M., Soto-Cordova, F. J., Álvarez-Manilla, G., Morales-González, J. A., Madrigal-Santillán, E., Villagómez-Ibarra, J. R., Zúñiga-Pérez, C., Gutiérrez-Salinas, J., & Becerril-Flores, M. A. (2011). Purification, Biochemical Characterization, and Bioactive Properties of a Lectin Purified from the Seeds of White Tepary Bean (Phaseolus Acutifolius Variety Latifolius). Molecules, 16(3), 2561-2582. https://doi.org/10.3390/molecules16032561






