Electrochemical Reduction of Coumarins at a Film-Modified Electrode and Determination of Their Levels in Essential Oils and Traditional Chinese Herbal Medicines
Abstract
:1. Introduction
2. Results and Discussion
2.1. Choice of analytical method
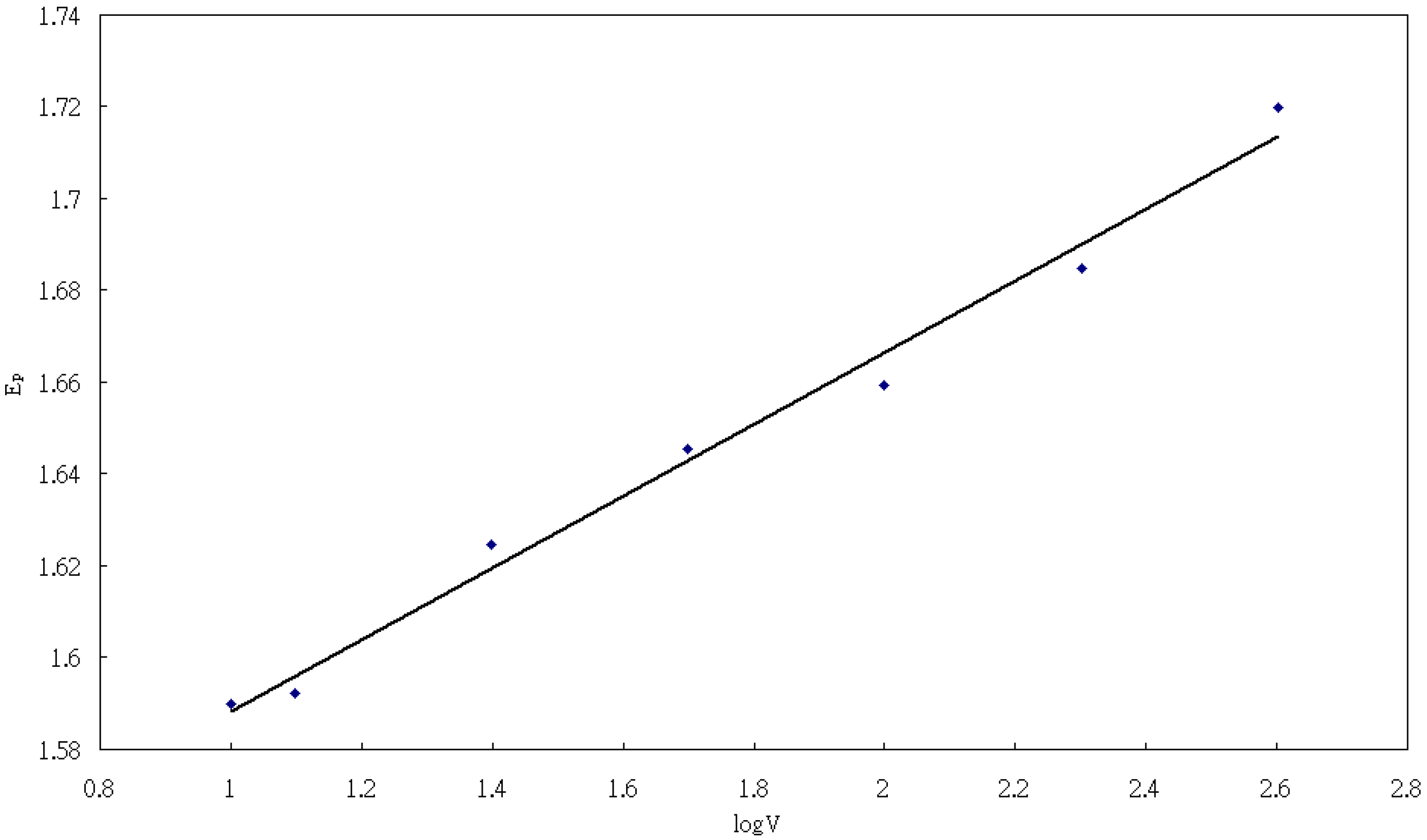
2.2. The Hg/GCE catalyzed the reduction of coumarin
2.3. Reproducibility and accuracy
2.4. Application to essential oils and traditional chinese herbal medicines
3. Experimental
3.1. Apparatus
3.2. Reagents and materials
3.3. Procedures
3.3.1. Voltammetric measurements
3.3.2. Sample preparation
3.3.3. Determining coumarin levels using DPV
3.3.4. Determining coumarin levels using liquid chromatography
4. Conclusions
Acknowledgements
References
- Tosun, F.; Kizilay, C.A.; Erol, K.; Kilic, F.S.; Kurkcuoglu, M.; Baser, K.H.C. Anticonvulsant activity of furanocoumarins and essential oils obtained from the fruits of Heracleum crenatifolium. Food Chem. 2008, 107, 990–993. [Google Scholar] [CrossRef]
- Chen, G.; Zhu, Y.; Wang, Y.; Xu, X.; Lu, T. Determination of bioactive constituents in traditional Chinese medicines by CE with electrochemical detection. Curr. Med. Chem. 2006, 13, 2467–2485. [Google Scholar] [CrossRef] [PubMed]
- Curini, M.; Cravotto, G.; Epifano, F.; Giannone, G. Chemistry and biological activity of natural and synthetic prenyloxycoumarins. Curr. Med. Chem. 2006, 13, 199–222. [Google Scholar] [CrossRef] [PubMed]
- Zhou, Z.W.; Liu, P.X. Progress in study of chemical constituents and anti-tumor activities of Cnidium monnieri. Zhongguo Zhong Yao Za Zhi 2005, 30, 1309–1313. [Google Scholar] [PubMed]
- Mammen, J.S.; Kleiner, H.E.; DiGiovanni, J.; Sutter, T.R.; Strickland, P.T. Coumarins are competitive inhibitors of cytochrome P450 1B1, with equal potency for allelic variants. Pharmacogenet. Genomics 2005, 15, 183–188. [Google Scholar] [CrossRef] [PubMed]
- Okamoto, T.; Kobayashi, T.; Yoshida, S. Chemical aspects of coumarin compounds for the prevention of hepatocellular carcinomas. Curr. Med. Chem. 2005, 5, 47–51. [Google Scholar] [CrossRef]
- Santana, L.; Uriarte, E.; Roleira, F.; Milhazes, N.; Borges, F. Furocoumarins in medicinal chemistry. Synthesis, natural occurrence and biological activity. Curr. Med. Chem. 2004, 11, 3239–3261. [Google Scholar] [CrossRef] [PubMed]
- Yang, Z.; Kinoshita, T.; Tanida, A.; Sayama, H.; Morita, A.; Watanabe, N. Analysis of coumarin and its glycosidically bound precursor in Japanese green tea having sweet-herbaceous odour. Food Chem. 2009, 114, 289–294. [Google Scholar] [CrossRef]
- Zhang, X.; Zhang, J.J.; Xia, Y.Y. Molecular design of coumarin dyes with high efficiency in dye-sensitized solar cells. J. Photochem. Photobio. A Chem. 2008, 194, 167–172. [Google Scholar] [CrossRef]
- Mi, H.; Qu, L.L.; Ren, Y.L. Study on extraction of coumarins in Cnidium monieri by supercritical CO2 and separation of compositions analysis. Zhongguo Zhong Yao Za Zhi 2005, 30, 1080–1082. [Google Scholar] [PubMed]
- Basso, E.; Chilin, A.; Guiotto, A.; Traldi, P. Electrospray mass spectrometry in the differentiation of some isomeric trimethylfurocoumarins. Rapid Commun. Mass Spectrom. 2003, 17, 2781–2787. [Google Scholar] [CrossRef] [PubMed]
- Voropaeva, N.E.; Brueva, L.A.; Sokolova, I.V. Spectral features of formation of H-bonded complexes in coumarins and psoralens. Russian Physics J. 1999, 42, 315–318. [Google Scholar] [CrossRef]
- Mantulin, W.W.; Song, P.S. Excited states of skin-sensitizing coumarins and psoralens. Spectroscopic studies. J. Am. Chem. Soc. 1973, 95, 5122–5129. [Google Scholar] [CrossRef] [PubMed]
- de Jager, L.S.; Perfetti, G.A.; Diachenko, G.W. Determination of coumarin, vanillin and ethyl vanillin in vanilla extract products: liquid chromatography mass spectrometry method development and validation studies. J. Chromatogr. A 2007, 1145, 83–88. [Google Scholar] [CrossRef] [PubMed]
- Sproll, C.; Ruge, W.; Andlauer, C.; Godelmann, R.; Lachenmeier, D. W. HPLC analysis and safety assessment of coumarin in foods. Food Chem. 2008, 109, 462–469. [Google Scholar] [CrossRef] [PubMed]
- Jiang, Y.Q. Analysis of coumarins in Fructus Cnidii by HPLC-ESI-MS. Zhong Yao Cai 2006, 29, 1033–1035. [Google Scholar] [PubMed]
- Feger, W.; Brandauer, H.; Gabris, P.; Ziegler, H. Nonvolatiles of commercial lime and grapefruit oils separated by high-speed countercurrent chromatography. J. Agri. Food Chem. 2006, 54, 2242–2252. [Google Scholar] [CrossRef] [PubMed]
- Teng, W.Y.; Chen, C.C.; Chung, R.S. HPLC comparison of supercritical fluid extraction and solvent extraction of coumarins from the peel of citrus maxima fruit. Phytochem. Anal. 2005, 16, 459–462. [Google Scholar] [CrossRef] [PubMed]
- Dugo, G.; Quinto Tranchida, P.; Cotroneo, A.; Dugo, P.; Bonaccorsi, I.; Marriott, P.; Shellie, R.; Mondello, L. Advanced and innovative chromatographic techniques for the study of citrus essential oils. Flavour Frag. J. 2005, 20, 249–264. [Google Scholar] [CrossRef]
- Wang, M.; Jia, M.; Ma, Y.; Jiang, G; Tang, S.; Xia, L. Determination of coumarins content in Radix Angelicae dahuricae by HPLC and UV. Zhong Yao Cai 2004, 27, 826–828. [Google Scholar] [PubMed]
- Chen, Z.; Lin, L. Study on coumarin compounds from Exocarpium Citri Grandis. Zhong Yao Cai 2004, 27, 577–578. [Google Scholar] [PubMed]
- Tao, Z.Y.; Chen, W.S.; Zhang, W.D.; Sun, L.N.; Zheng, S.Q.; You, L.; Qiao, C.Z. Studies on the coumarins in the root of Zanthoxylum dimorphophyllum. Zhongguo Zhong Yao Za Zhi 2003, 28, 345–346. [Google Scholar]
- Cavazza, A.; Bartle, K.D.; Dugo, P.; Mondello, L. Analysis of oxygen heterocyclic compounds in citrus essential oils by capillary electrochromatography and comparison with HPLC. Chromatographia 2001, 53, 57–62. [Google Scholar] [CrossRef]
- Bonaccorsi, I.; Dugo, G.; Mcnair, H.M.; Dugo, P. Rapid HPLC methods for the analysis of the oxygen heterocyclic fraction in citrus essential oils. Ital. J. Food Sci. 2000, 12, 485–491. [Google Scholar]
- Liu, H.M.; Zhang, M.X. Extraction of coumarins from Angelica dahurica by supercritical extraction and GC-MS analysis. Zhongguo Zhong Yao Za Zhi 2004, 29, 241–244. [Google Scholar] [PubMed]
- Della Porta, G.; Reverchon, E.; Chouchi, D.; Barth, D. Mandarin and lime peel oil processing by supercritical CO2 desorption: deterpenation and high molecular weight compound elimination. J. Essent. Oil Res. 1997, 9, 515–522. [Google Scholar] [CrossRef]
- Starrantino, A.; Terranova, G.; Dugo, P.; Bonaccorsi, I.; Mondello, L. On the genuineness of citrus essential oils. Part IL. Chemical characterization of the essential oil of new hybrids of lemon obtained in Sicily. Flavour Frag. J. 1997, 12, 153–161. [Google Scholar] [CrossRef]
- Wang, L.H.; Jiang, S.Y. Simultaneous determination of urinary metabolites of methoxypsoralens in human and Umbelliferae medicines by high-performance liquid chromatography. J. Chromatogr. Sci. 2006, 44, 473–477. [Google Scholar] [CrossRef] [PubMed]
- Wang, L.H.; Lien, C.L. Determination of urinary metabolites of coumarin in human urine by HPLC. J. Liq. Chromatigr. Rel. Tech. 2004, 27, 3077–3088. [Google Scholar] [CrossRef]
- Constantinescu, E.; Dima, G.; Hillebrand, M.; Andrei, M. Cyclic voltammetry of some 3,3′-methylene-bis(4-hydroxycoumarin) derivatives. Rev. Roum. Chim. 2002, 47, 763–768. [Google Scholar]
- Kumar, A.; Sharma, R. Electrochemical investigations of 3-(4′-methyl)phenylazo-8-aldehydo- 4-methyl coumarin. Bull. Electrochem. 2002, 18, 71–74. [Google Scholar]
- Cheng, C.C.; West, A.C. Nickel deposition in the presence of coumarin: an electrochemical impedance spectroscopy study. J. Electrochem. Soc. 1997, 144, 3050–3056. [Google Scholar] [CrossRef]
- Chen, T.; Platz, M.S.; Robert, M.; Savéant, J.M.; Marcinek, A.; Rogowski, J.; Gebicki, J.; Zhu, Z.; Bally, T. Electron transfer chemistry of psoralen and coumarin derivatives by means of radiolytic and electrochemical experiments. J. Physic. Chem. A 1997, 101, 2124–2130. [Google Scholar] [CrossRef]
- Wang, L.H.; Jiang, S.Y.; Lan, Y.Z. Voltammetric behavior coumarins and psoralens at a carbon fiber ultramicroelectrodes and their determination in citrus essential oils. Bull. Electrochem. 2004, 20, 445–451. [Google Scholar]
- Harle, A.J.; Lyons, L.E. The polarographic reduction of some heterocyclic molecules, part II. Coumarin and certain derivatives thereof. J. Chem. Soc. 1950, 325, 1575–1578. [Google Scholar] [CrossRef]
- Longmuir, I.S. Advances in Polarography; Pergamon Press Ltd.: London, UK, 1960; Vol. 3, p. 805. [Google Scholar]
- Zuman, P.; Perrin, C.L. Organic Polarography; Interscience Publishers: New York, NY, USA, 1969; p. 229. [Google Scholar]
Sample Availability: Samples of the compounds are available from the authors. |









| Medium | pH | Ep(V) | ip(μA) |
|---|---|---|---|
| BR buffer | 5.01 | −0.733 −1.423 | 1.086 9.206 |
| BR buffer | 6.82 | −0.785 −1.470 | 2.81 913.673 |
| BR buffer | 7.46 | −0.768 −1.463 | 4.730 17.239 |
| BR buffer | 8.56 | −0.736 −1.429 | 2.258 18.217 |
| BR buffer | 9.46 | −0.713 −1.399 | 2.673 17.796 |
| BR buffer | 9.96 | −0.756 −1.421 | 2.548 14.539 |
| BR buffer | 10.01 | −0.797 −1.412 | 2.321 15.353 |
| Phosphate | 6.52 | --a -1.428 | --a 20.889 |
| Acetate buffer | 4.04 | --a −1.348 | --a 11.664 |
| LiClO4 | 6.02 | --a −1.413 | --a 13.513 |
| Samples | Coumarin | Psoralen | ||||
|---|---|---|---|---|---|---|
| Added | Found | Recovery | Added | Found | Recovery | |
| (mg/L) | (mg/L) | (%) | (mg/L) | (mg/L) | (%) | |
| Lemon essential oil | 16.0 | 14.8 | 99 ± 2.7 | --- | --- | --- |
| Psoralea corylifolia | --- | --- | --- | 8.00 | 7.92 | 99 ± 3.5 |
| Cnidium monnieri | --- | --- | --- | 8.00 | 7.76 | 97 ± 4.0 |
| Concentration (%, w/w), N = 5b | ||||||||
|---|---|---|---|---|---|---|---|---|
| Coumarin | Psoralen | 5-MOP | 8-MOP | |||||
| Samples | DPV | LC-UV | DPV | LC-UV | DPV | LC-UV | DPV | LC-UV |
| Bergamot essential oil | ---c | ---c | --- | --- | 0.203 (5.1%) | 0.206 (4.6%) | --- | --- |
| Lime essential oil | 0.034 (1.9%) | 0.031 (1.6%) | --- | --- | --- | --- | --- | --- |
| Lemon essential oil | 0.202 (5.2%) | 0.191 (2.4%) | --- | --- | 0.022 (4.5%) | 0.020 (3.9%) | --- | --- |
| Psoralea corylifolia | --- | --- | 0.148 (4.3%) | 0.143 (3.3%) | --- | --- | --- | --- |
| Angelicae dahuricae | --- | --- | --- | --- | 0.010 (2.3%) | 0.009 (1.1%) | 0.005 (0.31%) | 0.0045 (3.3%) |
| Cnidium monnieri | --- | --- | 0.004 (1.4%) | 0.003 (2.5%) | 0.019 (5.1%) | 0.020 (0.3%) | 0.0022 (4.5%) | 0.0020 (4.3%) |
© 2009 by the authors; licensee Molecular Diversity Preservation International, Basel, Switzerland. This article is an open-access article distributed under the terms and conditions of the Creative Commons Attribution license (http://creativecommons.org/licenses/by/3.0/).
Share and Cite
Wang, L.-H.; Liu, H.-H. Electrochemical Reduction of Coumarins at a Film-Modified Electrode and Determination of Their Levels in Essential Oils and Traditional Chinese Herbal Medicines. Molecules 2009, 14, 3538-3550. https://doi.org/10.3390/molecules14093538
Wang L-H, Liu H-H. Electrochemical Reduction of Coumarins at a Film-Modified Electrode and Determination of Their Levels in Essential Oils and Traditional Chinese Herbal Medicines. Molecules. 2009; 14(9):3538-3550. https://doi.org/10.3390/molecules14093538
Chicago/Turabian StyleWang, Lai-Hao, and Hsiu-Hua Liu. 2009. "Electrochemical Reduction of Coumarins at a Film-Modified Electrode and Determination of Their Levels in Essential Oils and Traditional Chinese Herbal Medicines" Molecules 14, no. 9: 3538-3550. https://doi.org/10.3390/molecules14093538
APA StyleWang, L.-H., & Liu, H.-H. (2009). Electrochemical Reduction of Coumarins at a Film-Modified Electrode and Determination of Their Levels in Essential Oils and Traditional Chinese Herbal Medicines. Molecules, 14(9), 3538-3550. https://doi.org/10.3390/molecules14093538
