Abstract
A series of dendritic 8-hydroxyquinoline (8-HQ) and 5-dialkyl(aryl)amino-methyl -8-HQ derivatives were synthesized and their fluoroionophoric properties toward representative alkali, alkaline earth, group IIIA and transition metal ions were investigated. Among the selected ions, Zn(II) enhanced the fluorescence of N-di- (methoxycarbonylethyl)aminoethyl-3-[4-(8-hydroxyquinolin-5-ylmethyl)piperazin-1-yl]-propanoic amide] (7) by 31-fold, while Al(III) caused enhancement to some extent. The absence of any significant fluorescence enhancement by the other ions examined renders 7 a highly useful Zn(II)-selective fluorescent sensor.
Introduction
Zinc, which always occurs as a divalent cation [Zn(II)] in biological systems, is the second most abundant transition metal after iron. Its amounts in brain tissues can reach 0.1-0.5 mM [1]. The Zn2+ ion is well known to play diverse roles in biological processes [2], such as its presence in hundreds of structural metalloproteins [3] and at the catalytic centre of human carbonic anhydrase [4] and its involvement in the regulation of gene expression [5] and cellular apoptosis [6]. Disorders of zinc metabolism are closely associated with many severe neurological diseases, such as Alzheimer’s disease, amyotrophic lateral sclerosis (ALS), Guam ALS-Parkinsonism dementia, Parkinson’s disease, hypoxia-ischemia and epilepsy [7]. There is huge scope for exploring the diverse physiological roles of biological zinc. Therefore, a sensitive and particularly selective chemosensor for Zn(II) is desired, since there are also many other biologically important transition metal ions.
A fluorescent chemosensor is the first choice among various types of sensors. 8-Aminoquinoline (8-AQ,) and 8-hydroxyquinoline (8-HQ, 1) and their derivatives have traditionally been used as fluorogenic agents for quantitative chemical assays of Zn(II) and other metal ions. 8-HQ, 8-AQ and their derivatives are non-fluorescent and are not influenced by changes in pH [8] due to the existence of an intramolecular hydrogen bond between the heterocyclic nitrogen atom and the 8-substituted group (i.e. –OH or –NH2) [9,10]. However, when these quinolines and their derivatives chelate Zn(II) and other metal ions, they exhibit intense yellow-greenish fluorescence. Interestingly, only Zn(II) and Ca2+ ions can interrupt hydrogen bonding in 8-AQ and its derivatives, and subsequently stimulate fluorescence, thereby forming the basis for selective detection of these two cations. It was not until 1987 that one of the sulphonamido compounds, namely 6-methoxy-8-p-toluenesulphonamido-quinoline (TSQ), was first applied to in vitro imaging of divalent zinc ions [11]. However, TSQ has several limitations. The most notable among these is its poor water solubility, since this means that TSQ stock solutions have to be prepared in dimethylsulfoxide (DMSO) or ethanol. Although some efforts toward the development of new sensors have been made [12], TSQ remains the most widely used compound for biological zinc staining.
Although 8-HQ is regarded as the second most important chelating agent for cation analysis after EDTA, most indicators derived from it are not sufficiently specific for the selective detection of particular metal ions. However, while working on the synthesis of 8-HQ metallodendrimers for Organic Light Emitting Display (OLED), we found that, among the common transitional metal ions, only Zn2+ could form stable complexes with the dendritic 8-HQ ligands [13]. In particular, these ligands are easily soluble in common solvents and water. This experience inspired us to investigate the Zn2+-selective sensing properties of dendritic 8-HQ ligands.
Results and Discussion
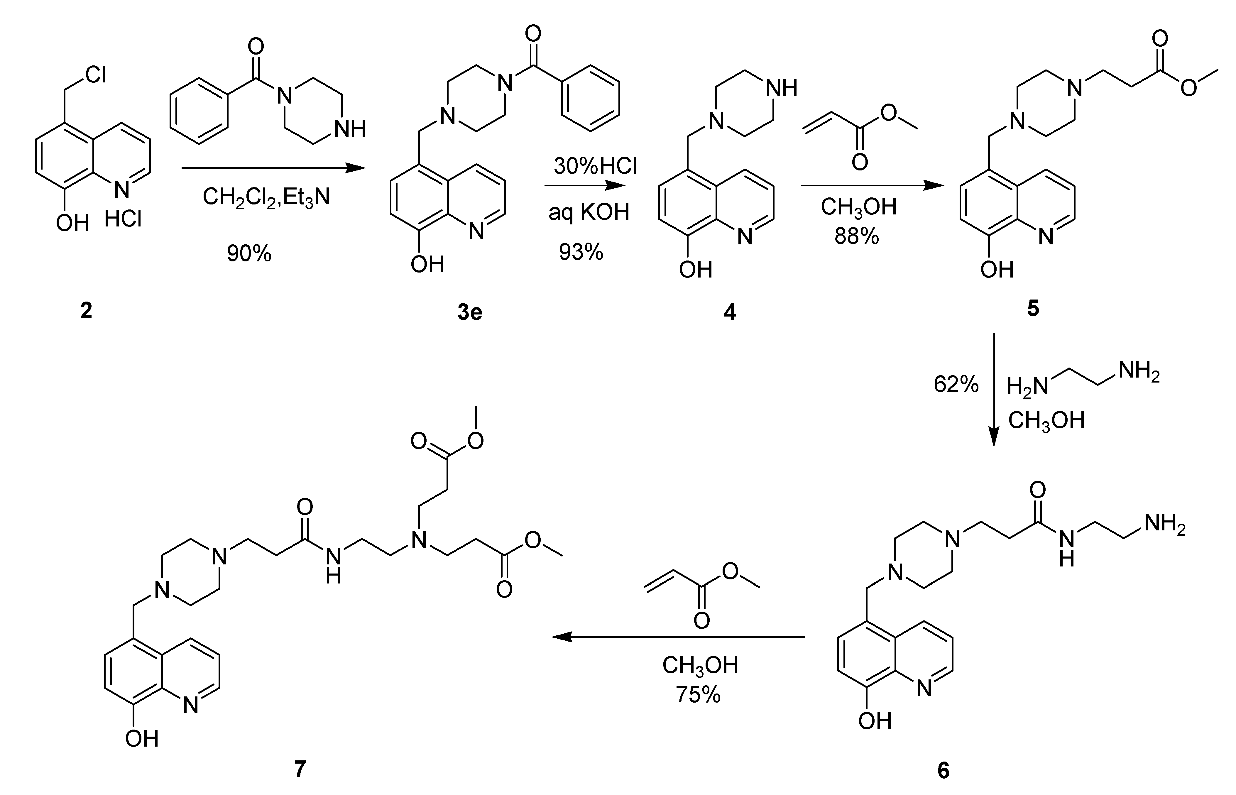
The synthesis of new dendritic 8-HQ ligands is shown in Scheme 1 and Scheme 2. First, 8-HQ (1) was chloromethylated to give crude 5-chloromethyl-8-HQ (2). High purity products were obtained by washing with concentrated hydrogen chloride instead of acetone [8]. The residual 8-HQ could not be removed completely by washing with acetone and substitution reactions occurred during the crystallization from ethanol.
Scheme 1.
Scheme 1.

Next, 2 was reacted for about 10 minutes with different secondary amines in dichloromethane at room temperature to give 3a-3e in high yields. Triethylamine was used as the base. The use of inorganic bases, such as sodium carbonate, sodium hydrogen carbonate and sodium hydroxide, led to either very slow reaction rates or many unwanted byproducts.
Scheme 2.
Scheme 2.

Compound 4 was obtained in 93% yield by treatment of 3e with 30% hydrochloric acid for about 8 hours, followed by neutralization with potassium hydroxide. Michael addition of 4 with methyl acrylate in methanol gave 5 in 88% yield. Compound 6 was synthesized in 62% yield by amidation of 5 with ethylene diamine. Further Michael addition of 6 with methyl acrylate gave 7 in 75% yield. The structures were identified by 1H-NMR, 13C-NMR, ESI-MS and elemental analysis.
The UV spectrum of 3a, selected as a representative compound, showed two absorption peaks at 255 and 327 nm. When equivalent Zn(II) was added, the absorption peaks shifted to 257 and 405 nm, respectively (Figure 1). When excited at 370 nm, 3a-3e, 5 and 7 showed similar emission patterns with maximum emission wavelengths around 406 and 432 nm.
The fluoroionophoric properties of the 8-HQ derivatives toward representative alkali ions (K+), alkaline earth ions (Mg2+, Ca2+, Ba2+), group IIIA ions (Al3+, Ga3+) and transition metal ions (Fe3+, Fe2+, Co2+, Ni2+, Cu2+, Ag+, Zn2+, Cd2+ Pb2+, Mn2+, Cr3+) were investigated in chloroform solutions. The results revealed that only Zn2+ and Al3+ caused new emission peaks, while the other ions hardly had any effects. Following addition of Zn2+ or Al3+, the maximum emission wavelengths changed to around 500 or 530 nm, respectively (Figure 2). Furthermore, Zn2+ enhanced the fluorescence intensity to a greater extent than Al3+ for all the sensors examined. However, there were differences in the sensitivities and selectivities among 3a-3e, 5 and 7. The corresponding data are summarized in Table 1. The best sensor was 7, which showed 31-fold fluorescence enhancement for Zn2+ and 2.4-fold enhancement for Al3+ (Figure 3).
Figure 1.
UV spectra of 3a (10 μM) in chloroform, before (A) and after (B) the addition of 1.0 equiv of Zn2+.
Figure 1.
UV spectra of 3a (10 μM) in chloroform, before (A) and after (B) the addition of 1.0 equiv of Zn2+.

Figure 2.
Fluorescence spectra of 3a (10 μM) in chloroform, before (A) and after the addition of 1.0 equiv of Zn2+ (B) and Al3+ (C).
Figure 2.
Fluorescence spectra of 3a (10 μM) in chloroform, before (A) and after the addition of 1.0 equiv of Zn2+ (B) and Al3+ (C).

Table 1.
Fluorescence enhancement of 3a-3d, 4, 5 and7 after addition of 1.0 equiv of Zn2+ or Al3+
| Compd. | λ0max(nm) | λ( Al3+)max(nm) | λ( Zn2+)max(nm) | Enhancing percent. of Zn2+ | Enhancing percent. of Al3+ |
|---|---|---|---|---|---|
| 3a | 406, 432 | 531 | 507 | 3 | 2 |
| 3b | 407, 431 | 530 | 506 | 4 | 2 |
| 3c | 406, 432 | 529 | 505 | 4 | 3 |
| 3d | 407, 431 | 530 | 506 | 4 | 2 |
| 4 5 7 | 407, 431 406, 432 405, 433 | 530 529 529 | 506 505 505 | 5 8 31 | 2 3 3 |
The fluorescence enhancement data and selectivity of sensor 7 are shown in Figure 3. Zn2+ caused the highest level of fluorescence enhancement, while Al3+ enhanced the fluorescence to some extent. The other ions examined showed little fluorescence enhancement.
Figure 3.
Relative fluorescence intensity (If/I0) of 7 (10 μM) in the presence of 1.0 equiv. of various metal ions (10 μM) in chloroform.
Figure 3.
Relative fluorescence intensity (If/I0) of 7 (10 μM) in the presence of 1.0 equiv. of various metal ions (10 μM) in chloroform.

In order to gain further insight into the analytical possibilities, fluorescence titration of 7 with Zn2+ was performed and the obtained curves are shown in Figure 4. The fluorescence enhancement was very effective and 31-fold enhancement was obtained at the ratio of 1:1. The break around 0.5 equiv of Zn2+ suggested a 1:1 stoichiometry for the 7-Zn2+ complex system.
Figure 4.
Fluorescence titration curves of 7 (10 μM) by addition of 1μM Zn2+ each time in chloroform.The inset shows a plot of the fluorescence intensities against [Zn2+].
Figure 4.
Fluorescence titration curves of 7 (10 μM) by addition of 1μM Zn2+ each time in chloroform.The inset shows a plot of the fluorescence intensities against [Zn2+].

Conclusions
A series of novel Zn2+ fluorescent sensors based on 8-HQ were synthesized and their fluoroionophoric properties toward K+, Mg2+, Ca2+, Ba2+, Al3+, Ga3+ Fe3+, Fe2+, Co2+, Ni2+, Cu2+, Ag+, Zn2+, Cd2+, Pb2+, Mn2+ and Cr3+ were investigated in chloroform solutions. Only Zn2+ caused considerable enhancement of the fluorescence emission, and the other metal ions examined showed little interference with the detection of Zn2+. Among these potential metal ion fluorescent sensors, dendritic ligand 7 showed the best efficiency and selectivity toward Zn2+. These results are consistent with our earlier discovery.
Experimental
General
All reagents were purchased from Aldrich and used without further purification. 1H-NMR and 13C-NMR spectra were recorded in CDCl3 on a JEOL JNM-ECA300 spectrometer operating at 300 and 75 MHz, respectively. Chemical shifts (δ) are reported in parts per million (ppm) relative to tetramethylsilane (TMS) as an internal standard, and coupling constants (J) are given in hertz (Hz). All ESI-MS experiments were undertaken on a Bruker ESQUIRE-LC. Fluorescence intensity was measured using a HORABA Fluoromax 3.
General procedure for the preparation of 5-chloromethyl-8-HQ hydrochloride (2)
Into a solution of 8-HQ (1, 0.1 mol) and formaldehyde (20 mL, 37%) in 37% hydrochloric acid (50 mL) was blown a stream of hydrogen chloride gas for 8 hours at 25°C. After filtration, the product was washed with 37% hydrochloric acid and dried to afford 2 in 85% yield.
General procedure for the preparation of 5-dialkyl(aryl)aminomethyl-8-HQ compounds 3a-3e
To a solution of dialkyl(aryl)amine (10 mmol) and triethylamine (30 mmol for dimethylamine hydrochloride and 20 mmol for other secondary amines) in dichloromethane (50 mL) was added dropwise a solution of 2 (10 mmol) in dichloromethane at room temperature over 10 minutes. After a further 15 minutes of reaction, the solution was washed thoroughly with brine, dried over sodium sulfate and concentrated to afford 3a-3e without further purification (yields are listed in Scheme 1 and Scheme 2).
5-Dimethylaminomethyl-quinolin-8-ol (3a). 1H-NMR δ 8.77 (dd, 1H, J1=4.4, J2=1.4), 8.61 (dd, 1H, J1=8.6, J2=1.4), 7.48 (dd, 1H, J1=8.6, J2=4.4), 7.30 (d, 1H, J=8.3), 7.07 (d, 1H, J=8.3), 3.72 (s, 2H), 2.25 (s, 6H); 13C-NMR δ 153.4, 148.2, 137.4, 132.6, 132.2, 127.4, 122.6, 115.8, 111.1, 56.6, 42.2; ESI-MS: calcd. for (M+H)/z: 203.1. Found: (M+H)/z: 203.1; Elemental analysis: C11H11N2O calcd. (%) C, 70.57; H, 5.92; N, 14.96. Found (%) C, 70.49; H, 6.04; N, 14.64.
5-Dipropylaminomethyl-quinolin-8-ol (3b). 1H-NMR δ 8.75 (m, 2H), 7.44 (dd, 1H, J1=6.5, J2=4.4), 7.34 (d, 1H, J=7.56), 7.06 (d, 1H, J=7.56), 3.85 (s, 2H), 2.38 (t, 4H, J=7.2), 1.49 (m, 4H), 0.79 (t, 6H, J=7.2); 13C-NMR δ 151.6, 147.5, 138.8, 134.4, 128.7, 128.0, 126.4, 121.2, 108.8, 57.3, 55.8, 19.9, 12.1; ESI-MS: calcd. for (M+H)/z: 259.2. Found: (M+H)/z: 259.2; Elemental analysis: C16H22N2O calcd. (%) C, 74.38; H, 8.58; N, 10.84. Found (%) C, 74.49; H, 8.44; N, 11.01.
5-(Diphenylaminomethyl)quinoline-8-ol (3c). 1H-NMR δ 8.80 (dd, 1H, J1=4.1, J2=1.0), 8.36 (dd, 1H, J1=8.5, J2=1.0), 7.46 (m, 2H), 7.23 (m, 4H), 7.05(m, 5H), 6.95 (t, 2H, J=8.5), 5.30 (s, 2H); 13C-NMR δ 151.4, 148.1, 147.5, 138.7, 131.9, 129.4, 126.5, 126.4, 123.7, 121.8, 121.7, 121.0, 109.5, 53.3; ESI-MS: calcd. for (M+H)/z: 327.2. Found: (M+H)/z: 327.2; Elemental analysis: C22H18N2O calcd. (%) C, 80.96; H, 5.56; N, 8.58. Found (%) C, 80.61; H, 5.94; N, 8.39
5-(Morpholin-4-ylmethyl)-quinolin-8-ol (3d). 1H-NMR δ 8.78 (dd, 1H, J1=4.2, J2=1.3), 8.67 (dd, 1H, J1=8.6, J2=1.3), 7.45 (dd, 1H, J1=8.6, J2=4.2), 7.32 (d, 1H, J=7.9), 7.06 (d, 1H, J=7.9), 3.79 (s, 2H), 3.66 (m, 4H), 2.45 (m, 4H); 13C-NMR δ 152.1, 147.7, 138.8, 134.2, 129.2, 127.9, 124.0, 121.6, 108.7, 67.1, 61.1, 53.6; ESI-MS: calcd for (M+H)/z: 245.1. Found: (M+H)/z: 245.1; Elemental analysis: C14H16N2O2 calcd. (%) C, 68.83; H, 6.60; N, 11.47. Found (%) C, 68.91; H, 6.35; N, 11.65.
5-(4'-Benzoylpiperazin-1-ylmethy)l-quinolin-8-ol (3e). 1H-NMR δ 8.78 (dd, 1H, J1=4.2, J2=1.3), 8.66 (dd, 1H, J1=8.6, J2=1.3), 7.48 (dd, 1H, J1=8.6, J2=4.2), 7.39 (m, 5H), 7.32 (d, 1H, J=7.9), 7.06 (d, 1H, J=7.9), 3. 83 (s, 2H), 3.76 (m, 2H), 3.37 (m, 2H), 2.57 (m, 2H), 2.39 (m, 2H);13C- NMR δ 170.2, 152.0, 147.6, 138.7, 135.8, 133.9, 129.6, 129.1, 128.4, 128.0, 127.7, 127.0, 121.5, 108.6, 67.9, 60.5, 52.2; ESI-MS: calcd for (M+H)/z: 347.2. Found: (M+H)/z: 347.2.
5-(Piperazin-1-ylmethyl)-quinolin-8-ol (4). 1H-NMR δ 8.77 (dd, 1H, J1=4.2, J2=1.3), 8.67 (dd, 1H, J1=8.6, J2=1.3), 7.46 (dd, 1H, J1=8.6, J2=4.2), 7.32 (d, 1H, J=7.9), 7.06 (d, 1H, J=7.9), 3.77 (s, 2H), 2.83 (m, 4H), 2.43 (m, 4H); 13C-NMR δ 151.9, 147.6, 138.8, 134.2, 129.0, 128.0, 124.6, 121.4, 108.8, 61.4, 54.4, 46.2; ESI-MS: calcd. for (M+H)/z: 244.1. Found: (M+H)/z: 244.1; Elemental analysis: C14H17N3O calcd. (%) C, 69.11; H, 7.04; N, 17.27. Found (%) C, 69.43; H, 7.11; N, 17.04.
The compounds 5,6 and 7 were obtained by a reported method [13].
3-[4'-(8-Hydroxyquinolin-5-ylmethyl)-piperazin-1'-yl]-propionic acid methyl ester (5). 1H-NMR δ 8.77 (d, 1H, J=4.1), 8.65 (d, 1H, 8.2), 7.46 (dd, 1H, J1=8.2, J2=4.1), 7.33 (d, 1H, J=7.9), 7.06 (d, 1H, J=7.9), 3.79 (s, 2H), 3.67 (s, 3H), 2.67 (m, 2H), 2.48 (m, 10H); 13C-NMR δ 171.6, 153.4, 148.2, 139.8, 132.2, 129.3, 128.4, 124.6, 121.8, 110.4, 60.2, 54.4, 51.7, 48.7, 46.2, 34.2; ESI-MS: calcd. for (M+H)/z: 330.2. Found: (M+H)/z: 330.2; Elemental analysis: C18H23N3O3 calcd. (%) C, 65.63; H, 7.04; N, 12.76. Found (%) C, 65.85; H, 6.98; N, 12.73.
N-Aminoethyl-3-[4-(8-hydroxyquinolin-5-ylmethyl)piperazin-1-yl]propanamide (6). 1H-NMR δ 8.77 (d, 1H, J=4.1), 8.65 (d, 1H, 8.2), 7.46 (dd, 1H, J1=8.2, J2=4.1), 7.33 (d, 1H, J=7.9), 7.06 (d, 1H, J=7.9), 3.77 (s, 2H), 3.66 (t, 2H), 2.75 (t, 2H), 2.69 (m, 2H), 2.46 (m, 10H); 13C-NMR δ 171.6, 153.4, 148.2, 139.8, 132.2, 129.3, 128.4, 124.6, 121.8, 110.4, 60.2, 54.4, 48.7, 46.2, 40.6, 39.8, 34.2; ESI-MS: calcd. for (M+H)/z: 357.2. Found: (M+H)/z: 357.2; Elemental Analysis: C19H27N5O2 calcd. (%) C, 63.84; H, 7.61; N, 19.59; O, 8.95. Found (%) C, 65.85; H, 7.64; N, 19.57; O, 8.93.
N-di(Methoxycarbonylethyl)aminoethyl-3-[4-(8-hydroxyquinolin-5-ylmethyl)piperazin-1-yl]propanoic amide] (7). 1H-NMR δ 8.85 (d, 1H, J=3.0), 8.62 (d, 1H, J=7.9), 7.57 (dd, 1H, J1=7.9, J2=3.0), 7.32 (d, 1H, J=7.9), 7.00 (d, 1H, J=7.9), 3.74 (s, 2H), 3.61 (s, 6H), 3.05 (t, 2H, J=6.5), 2.46-2.55 (m, 10H), 2.37 (m, 10H), 2.22 (t, 2H, J=6.9); 13C-NMR δ 172.4, 172,0, 171.3, 153.4, 147.9, 139.4, 132.1, 129.4, 128.0, 124.7, 121.9, 111.2, 60.8, 54.4, 53.2, 51.8, 51.7, 48.7, 46.2, 37.1, 34.2, 33.5; ESI-MS: calcd. for (M+H)/z: 530.3. Found: (M+H)/z: 530.3; Elemental analysis: C27H39N5O6 calcd. (%) C, 61.23; H, 7.42; N, 13.22. Found (%) C, 61.55; H, 7.38; N, 13.04.
References
- Bush, A.I. Metals and neuroscience. Curr. Opin. Chem. Biol. 2000, 4, 184–191. [Google Scholar] [CrossRef]
- Berg, J.M.; Shi, Y.G. The galvanization of biology: A growing appreciation for the roles of zinc. Science 1996, 271, 1081–1085. [Google Scholar]
- Cox, E.H.; McLendon, G.L. Zinc-dependent protein folding. Curr. Opin. Chem. Biol. 2000, 4, 162–165. [Google Scholar] [CrossRef]
- Coleman, J.E. Zinc enzymes. Curr. Opin. Chem. Biol. 1998, 2, 222–234. [Google Scholar] [CrossRef]
- Andrews, G.K. Cellular zinc sensors: MTF-1 regulation of gene expression. Biometals 2001, 14, 223–237. [Google Scholar] [CrossRef]
- Truong-Tran, A.Q.; Carter, J.; Ruffin, R.E.; Zalewski, P.D. The role of zinc in caspase activation and apoptotic cell death. Biometals 2001, 14, 315–330. [Google Scholar] [CrossRef]
- Cuajungco, M.P.; Lees, G.J. Zinc metabolism in the brain: relevance to human neurodegenerative disorders. Neurobiol. Dis. 1997, 4, 137–169. [Google Scholar] [CrossRef]
- Soroka, K.; Vithanage, R.S.; Phillips, D.A.; Walker, B.; Dasgupta, P.K. Fluorescence properties of metal complexes of 8-hydroxyquinoline-5-sulfonic acid and chromatographic applications. Anal. Chem. 1987, 59, 629–636. [Google Scholar] [CrossRef]
- Schulman, S.G.; Sanders, L.B. Fluorescence and phosphorescence of 5- and 8-aminoquinoline. Anal. Chim. Acta. 1971, 56, 83–89. [Google Scholar] [CrossRef]
- Leroux, N.; Goethals, M.; Zeegers-Huyskens, T. Infrared study of the hydrogen bonding ability of 3-aminoquinoline and 8-aminoquinoline. Vib. Spectrosc. 1995, 9, 235–243. [Google Scholar] [CrossRef]
- VanMeervelt, L.; Goethals, M.; Leroux, N.; Zeegers-Huyskens, T. X-ray and vibrational studies of 8-aminoquinoline. Evidence for a three-center hydrogen bond. J. Phys. Org. Chem. 1997, 10, 680–686. [Google Scholar] [CrossRef]
- Frederickson, C.J.; Kasarskis, E.J.; Ringo, D.; Frederickson, R.E. A quinoline fluorescence method for visualizing and assaying the histochemically reactive zinc (bouton zinc) in the brain. J. Neurosci. Meth. 1987, 20, 91–103. [Google Scholar] [CrossRef]
- Shen, L.; Li, F.Y.; Sha, Y.W.; et al. Synthesis of fluorescent dendritic 8-hydroxy quinoline ligands and investigation on their coordinated Zn(II) complexes”. Tetrahedron Lett. 2004, 45, 3961–3964. [Google Scholar] [CrossRef]
- Sample Availability: Compound 3e is available from the authors.
© 2008 by MDPI (http://www.mdpi.org). Reproduction is permitted for noncommercial purposes.