Efficacy of DA-7218, a New Oxazolidinone Prodrug, in the Treatment of Experimental Actinomycetoma Produced by Nocardia brasiliensis
Abstract
:Introduction
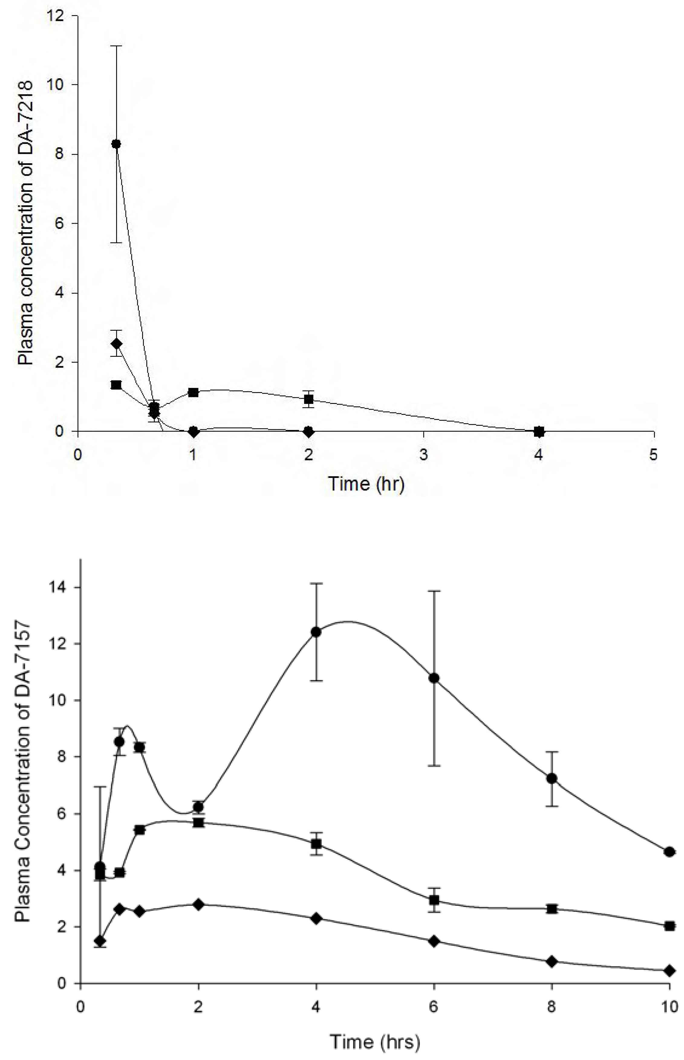
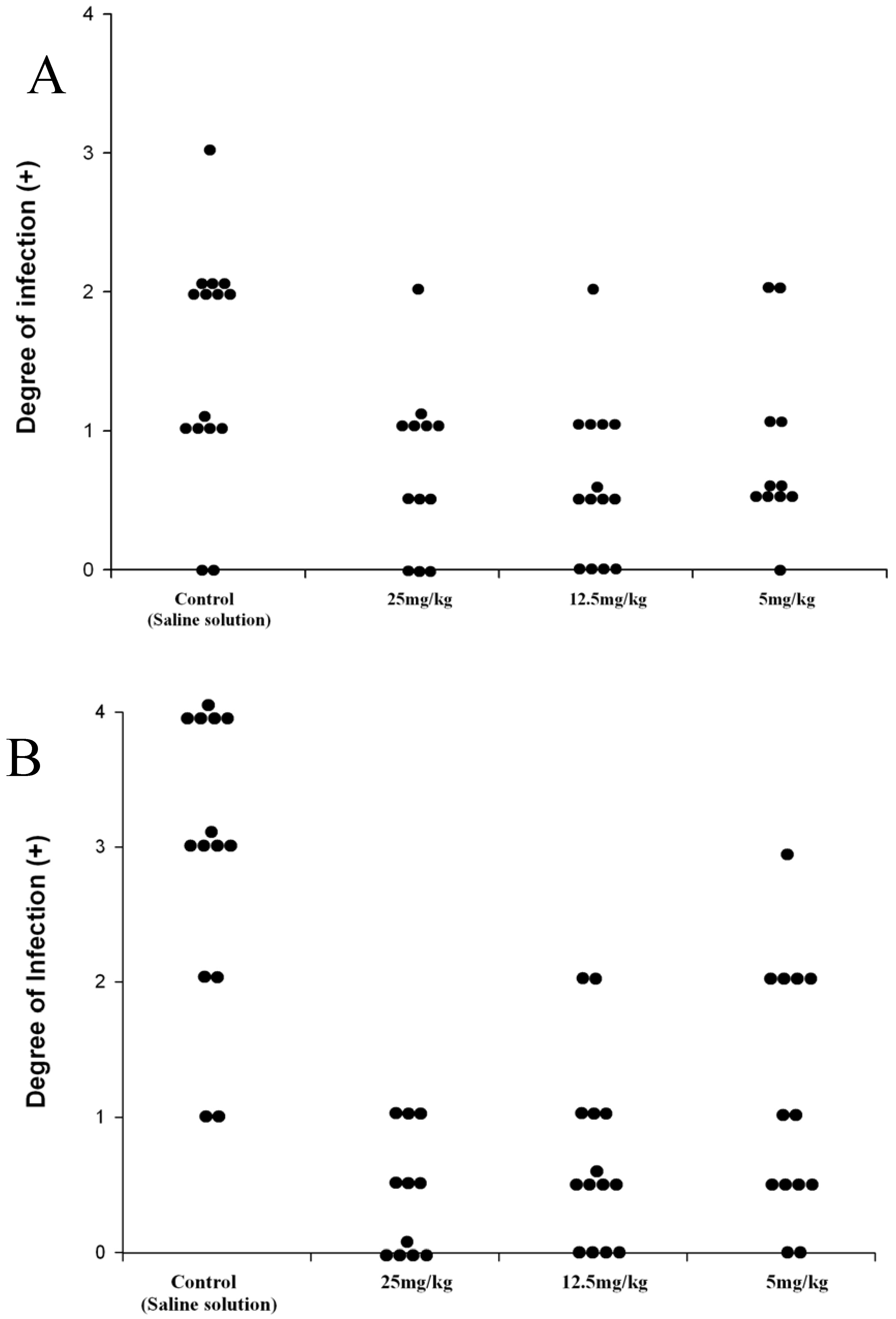
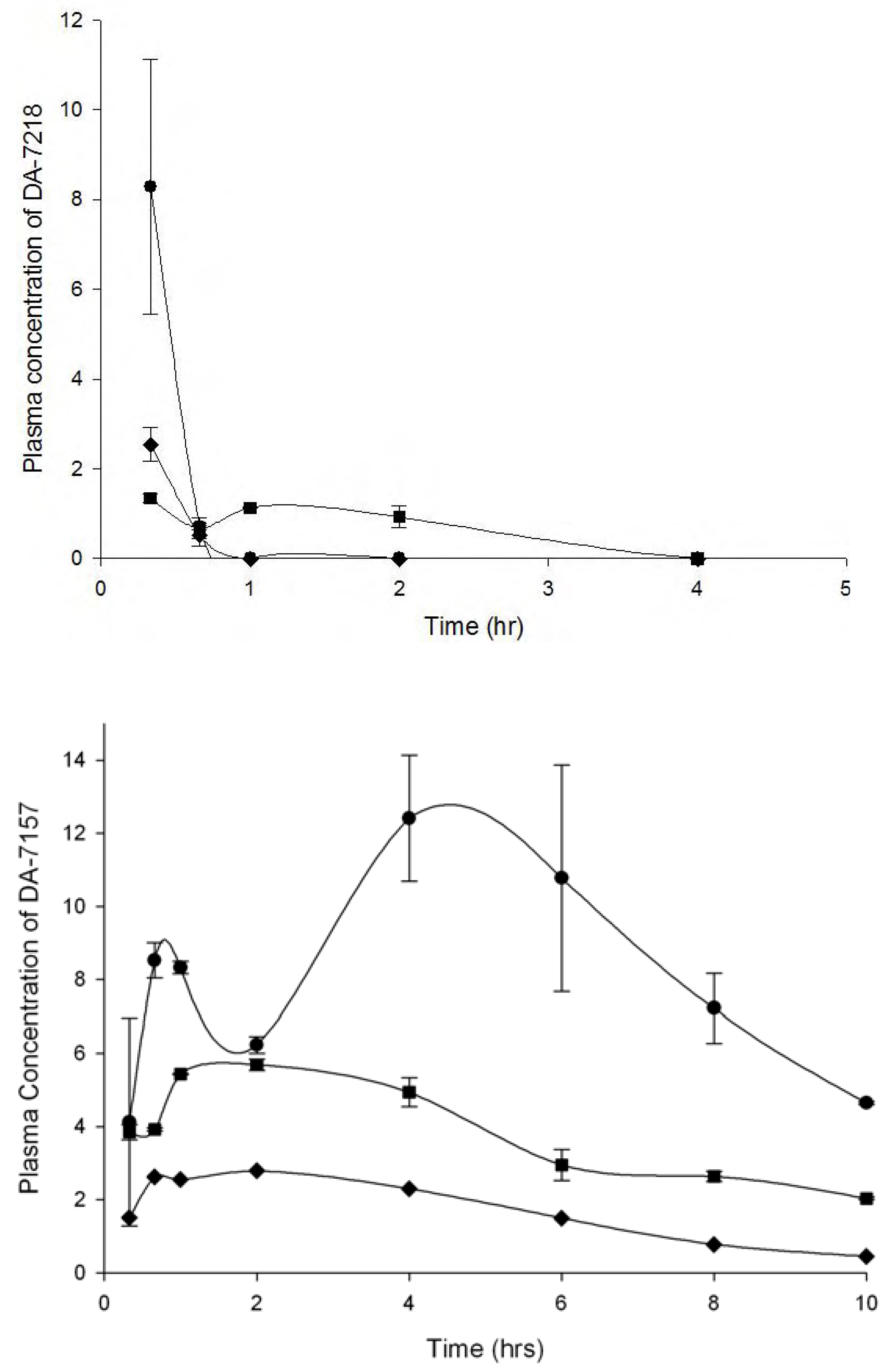
Results and Discussion
DA-7157 Plasma Levels

Experimental model

Therapeutic assays



Experimental
Chemicals
Microorganisms
Determination of plasma levels of the antimicrobials
HPLC analysis of DA-7218 and DA-7157
Therapeutic assays
Evaluation of the therapeutic assays
Acknowledgements
References
- Ford, C.; Hamel, J.; Stapert, D.; Moerman, J.; Hutchinson, D.; Barbachyn, M.; Zurenko, G. Oxazolidinones: A new Class of Antimicrobials. Infect. Med. 1999, 16, 435–445. [Google Scholar]
- Diekema, D. I.; Jones, R. N. Oxazolidinones: a review. Drugs 2000, 59, 7–16. [Google Scholar] [CrossRef] [PubMed]
- Bae, S. K.; Yang, S. H.; Shin, K. N.; Rhee, J. K.; Yoo, M.; Lee, M. G. Pharmacokinetics of DA-7218, a new oxazolidinone, and its active metabolite, DA-7157, after intravenous and oral administration of DA-7218 and DA-7157 to rats. J. Pharm. Pharmacol. 2007, 59, 955–63. [Google Scholar] [CrossRef] [PubMed]
- López-Martínez, R.; Méndez-Tovar, L. J.; Lavalle, P.; Welsh, O.; Saul, A.; Macotela-Ruíz, E. Epidemiología del micetoma en México: estudio de 2105 casos. Gac. Med. Mex. 1992, 128, 477–481. [Google Scholar] [PubMed]
- Bonifaz, A.; Flores, P.; Saúl, A.; Carrasco-Gerard, E.; Ponce, R. M. Treatment of actinomycetoma due to Nocardia spp. with amoxicillin-clavulanate. Br. J. Dermatol. 2007, 156, 308–11. [Google Scholar]
- Bonifaz, A.; Ibarra, G.; Saúl, A.; Paredes-Solis, V.; Carrasco-Gerard, E.; Fierro-Arias, L. Mycetoma in children: experience with 15 cases. Pediatr. Infect. Dis. J. 2007, 26, 50-2. [Google Scholar] [CrossRef] [PubMed]
- Fuentes, A.; Arenas, R.; Reyes, M.; Fernández, R. F.; Zacarías, R. Actinomycetoma and Nocardia sp. Report of five cases treated with imipenem or imipenem plus amikacin. Gac. Med. Mex. 2006, 142, 247–52. [Google Scholar] [PubMed]
- Welsh, O. Mycetoma. Current concepts in treatment. Int. J. Dermatol. 1991, 30, 387–398. [Google Scholar]
- Welsh, O.; Vera-Cabrera, L.; Salinas-Carmona, M. C. Mycetoma. Clin. Dermatol. 2007, 25, 195–202. [Google Scholar] [CrossRef] [PubMed]
- Welsh, O.; Vera-Cabrera, L. Abstr. 15th Cong. Int. Soc. Human and Anim. Micol., San Antonio, TX, USA, May 25–29, 2003. abstr. 354.
- Vera-Cabrera, L.; Gonzalez, E.; Rendon, A.; Ocampo-Candiani, J.; Welsh, O.; Velazquez-Moreno, V. M.; Choi, S. H.; Molina-Torres, C. In vitro activities of DA-7157 and DA-7218 against Mycobacterium tuberculosis and Nocardia brasiliensis. Antimicrob. Agents Chemother. 2006, 50, 3170–3172. [Google Scholar]
- González-Ochoa, A. Producción experimental del micetoma por Nocardia brasiliensis en el ratón. Gac. Med. Mex. 1969, 99, 773–781. [Google Scholar] [PubMed]
- Vera-Cabrera, L.; Rodriguez-Quintanilla, M. A.; Boiron, P.; Salinas-Carmona, M. C.; Welsh, O. Experimental mycetoma by Nocardia brasiliensis in rats. J. Mycol. Med. 1998, 8, 183–187. [Google Scholar]
- Wagenlehner, F. M.; Wydra, S.; Onda, H.; Kinzig-Schippers, M.; Sörgel, F.; Naber, K. G. Concentrations in plasma, urinary excretion, and bactericidal activity of linezolid (600 milligrams) versus those of ciprofloxacin (500 milligrams) in healthy volunteers receiving a single oral dose. Antimicrob. Agents Chemother. 2003, 47, 3789–94. [Google Scholar] [CrossRef] [PubMed]
- Moylett, E. H.; Pacheco, S. E.; Brown-Elliott, B. A.; Perry, T. R.; Buescher, E. S.; Birmingham, M. C.; Schentag, J. J.; Gimbel, J. F.; Apodaca, A.; Schwartz, M. A.; Rakita, R. M.; Wallace, R. J., Jr. Clinical experience with linezolid for the treatment of nocardia infection. Clin. Infect. Dis. 2003, 36, 313–318. [Google Scholar] [CrossRef] [PubMed]
- Jodlowski, T. Z.; Melnychuk, I.; Conry, J. Linezolid for the treatment of Nocardia spp. infections. Ann. Pharmacother. 2007, 41, 1694–1699. [Google Scholar] [CrossRef]
- Lee, K.; Yum, J. H.; Yong, D.; Chong, Y.; Choi, S. H.; Rhee, J. K. Comparative in vitro activity of DA-70157, a novel oxazolidinone, against recent clinical isolates of aerobic and anaerobic bacteria. In 44th Intersci. Conf. Antimicrob. Agents Chemother., Washington, DC, USA, October 30–November 2, 2004. abstr. F1419.
- Gomez-Flores, A.; Welsh, O.; Said-Fernández, S.; Lozano-Garza, G.; Tavarez-Alejandro, R. E.; Vera-Cabrera, L. In vitro and in vivo activities of antimicrobials against Nocardia brasiliensis. Antimicrob. Agents Chemother. 2004, 48, 832–837. [Google Scholar] [CrossRef] [PubMed]
- Sample Availability: Requests for samples of DA-7218 or DA-7157 should be directed to Dr. Sung Hak Choi.
© 2008 by MDPI (http://www.mdpi.org). Reproduction is permitted for noncommercial purposes.
Share and Cite
Espinoza-González, N.A.; Welsh, O.; De Torres, N.W.; Cavazos-Rocha, N.; Ocampo-Candiani, J.; Said-Fernandez, S.; Lozano-Garza, G.; Choi, S.-H.; Vera-Cabrera, L. Efficacy of DA-7218, a New Oxazolidinone Prodrug, in the Treatment of Experimental Actinomycetoma Produced by Nocardia brasiliensis. Molecules 2008, 13, 31-40. https://doi.org/10.3390/molecules13010031
Espinoza-González NA, Welsh O, De Torres NW, Cavazos-Rocha N, Ocampo-Candiani J, Said-Fernandez S, Lozano-Garza G, Choi S-H, Vera-Cabrera L. Efficacy of DA-7218, a New Oxazolidinone Prodrug, in the Treatment of Experimental Actinomycetoma Produced by Nocardia brasiliensis. Molecules. 2008; 13(1):31-40. https://doi.org/10.3390/molecules13010031
Chicago/Turabian StyleEspinoza-González, Nelly Alejandra, Oliverio Welsh, Noemi Waksman De Torres, Norma Cavazos-Rocha, Jorge Ocampo-Candiani, Salvador Said-Fernandez, Gerardo Lozano-Garza, Sung-Hak Choi, and Lucio Vera-Cabrera. 2008. "Efficacy of DA-7218, a New Oxazolidinone Prodrug, in the Treatment of Experimental Actinomycetoma Produced by Nocardia brasiliensis" Molecules 13, no. 1: 31-40. https://doi.org/10.3390/molecules13010031
APA StyleEspinoza-González, N. A., Welsh, O., De Torres, N. W., Cavazos-Rocha, N., Ocampo-Candiani, J., Said-Fernandez, S., Lozano-Garza, G., Choi, S.-H., & Vera-Cabrera, L. (2008). Efficacy of DA-7218, a New Oxazolidinone Prodrug, in the Treatment of Experimental Actinomycetoma Produced by Nocardia brasiliensis. Molecules, 13(1), 31-40. https://doi.org/10.3390/molecules13010031
