Abstract
A series of novel N-benzylidenesulfonohydrazide compounds were designed and synthesized as inhibitors of UDP-N-acetylmuramic acid:L-alanine ligase (MurC) and UDP-N-acetylmuramoyl-L-alanine:D-glutamate ligase (MurD) from E. coli, involved in the biosynthesis of bacterial cell-walls. Some compounds possessed inhibitory activity against both enzymes with IC50 values as low as 30 μM. In addition, a new, one-pot synthesis of amidobenzaldehydes is reported.
Introduction
The increasing emergence of pathogenic bacterial strains with high resistance to antibacterial agents constitutes a serious public health threat. Besides established classes of antimicrobial drugs (β-lactams, macrolides, and quinolones), drugs considered to be the last line of defence (the glycopeptide vancomycin and the oxazolidinone linezolid) are becoming less effective. This serious situation strongly supports the search for novel antibacterial agents [1,2,3].
One of the most attractive targets for new antibacterial compounds is the bacterial peptidoglycan biosynthetic pathway. Peptidoglycan is an essential component of the bacterial cell wall. It is responsible for a defined cell shape and preserves cell integrity by compensating internal osmotic pressure. Any perturbation of the multi-step peptidoglycan biosynthesis may lead to cell lysis [4]. Peptidoglycan is formed as a linear chain of repeating N-acetylglucosamine (GlcNAc) and N-acetyl-muramic acid (MurNAc) units, interconnected by short peptide chains. Four ADP-forming ligases (MurC, MurD, MurE and MurF) catalyze the assembly of the peptide moiety by the successive additions of L-alanine, D-glutamate, meso-diaminopimelate (or L-lysine) and D-alanyl-D-alanine to UDP-MurNAc. These essential cytoplasmic enzymes are highly specific and are present only in eubacteria, thus making them attractive as targets for the development of new therapeutic agents against bacterial infections [5].
We were interested in the design, synthesis and biological evaluation of novel inhibitors of MurC and MurD. MurC (UDP-MurNAc:L-Ala ligase) catalyzes the ATP-dependent ligation of L-alanine and UDP-MurNAc to form UDP-MurNAc-L-Ala, while MurD (UDP-MurNAc-L-Ala:D-Glu ligase) catalyzes the addition of D-glutamate to the product of MurC, UDP-MurNAc-L-Ala, to form UDP-MurNAc-dipeptide (Figure 1) [6].
Figure 1.
Reactions catalyzed by MurC and MurD [5,6].
Figure 1.
Reactions catalyzed by MurC and MurD [5,6].

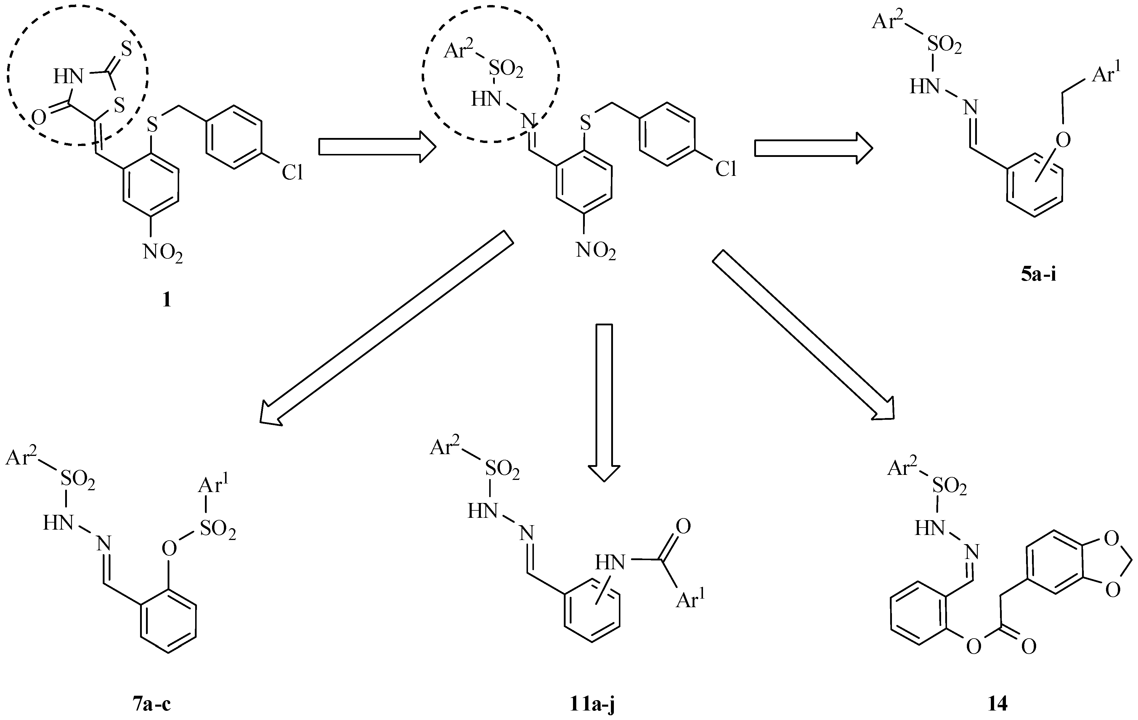
Benzylidene rhodanines 1 and 2 (Figure 2), which possess MurC inhibitory activity in the low micromolar range [7], were used as a starting point for further synthetic modification. They were first modified on the thioxothiazolidin-4-one ring, which was replaced with an acyclic aryl-substituted sulfonohydrazone moiety (Figure 3) that still retains the acidic NH group present in rhodanines. Similar acyclic hydrazones have recently been used by other authors for the synthesis of novel antibacterial compounds [8,9,10,11,12]. The p-chlorobenzylthio substituent was then replaced by different moieties to give the corresponding ethers 5a-i, sulfonates 7a-c, carboxamides 11a-j and carboxylic ester 14. In this paper, we report the synthesis and biological evaluation of compounds 5a-i, 7a-c, 11a-j and 14.
Figure 2.
Rhodanines 1 and 2 which were used as a starting point for further synthetic modifications.
Figure 2.
Rhodanines 1 and 2 which were used as a starting point for further synthetic modifications.

Figure 3.
Design of novel MurC inhibitors.
Figure 3.
Design of novel MurC inhibitors.

Results and Discussion
The compounds with general structure 5a-i were synthesized starting from hydroxybenzaldehydes 3a or 3b, which were treated with the corresponding benzyl halides to yield compounds 4 in high yield (75-90%), except for 4b (13%). These were then readily coupled with the appropriate arylsulfonohydrazides [13], to give the corresponding compounds 5a-i in good yield (64-80%) (Figure 4). Sulfonate derivatives 7a-c were synthesized in a similar manner, starting from the hydroxybenzaldehyde 3b, which was treated with the appropriate phenylsulfonyl chlorides to give 6a-c in 57-68% yield, and then coupled with naphthalene-2-sulfonohydrazide hydrochloride to give the targets 7a-c in 46-80% yield.
Figure 4.
Figure 4.

The synthetic route selected for the preparation of inhibitors 11a-j (Figure 5) involved the protection of para- (8a) and ortho- (8b) nitrobenzaldehydes as dioxolanes 9a and 9b, which should be deprotectable under mild acidic conditions. The reduction of dioxolanes 9a and 9b led to unstable 1,3-dioxolan-2-yl anilines 15, that are prone to form polymers, in a manner similar to that reported for p-nitrobenzyl esters by Wakselman and Guibé-Jampel [14]. Different reducing agents (SnCl2, Zn dust, sodium sulphides, catalytic hydrogenation) and solvents (water, acetic acid, methanol, THF) were tried, but the polymerization process (seen as the formation of an orange solid) started immediately and was enhanced by the presence of water, acid, or by heating (Figure 6). The optimal method for reducing 9a or 9b was therefore catalytic hydrogenation in anhydrous THF (2 h, Pd/C as a catalyst, r.t., 5 bar). The product was immediately (without isolation and purification of 15a-b) treated with suitable benzoyl chlorides to give the corresponding amides with simultaneous deprotection of the formyl group. Purification of the crude product by column chromatography yielded amidobenzaldehydes 10a-j in moderate yields for most of the compounds. The condensation of aldehydes 10a-j with 2-naphthalene-sulfonohydrazide hydrochloride afforded compounds 11a-j. The method described in this article was appropriate only for the synthesis of amidobenzaldehydes. When sulfonyl chlorides were used as reagents instead of benzoyl chlorides (i.e. for the synthesis of sulfonamidobenzaldehydes) only the polymerization reaction occurred.
Our synthetic pathway presents a significant improvement in terms of reaction time, cost of reagents and overall yield, when compared to the previously reported synthesis of benzamides (related to 10) with potassium selenocarboxylates via azides [15]. In 2001, the synthesis of 15a from 9a by catalytic hydrogenation was described, however without mention of the polymerization reaction [16].
Figure 5.
Figure 5.

Figure 6.
Mechanism proposed for the beginning of polymerization of 2-nitrophenyl-1,3-dioxolane during reduction.
Figure 6.
Mechanism proposed for the beginning of polymerization of 2-nitrophenyl-1,3-dioxolane during reduction.

We also tried to prepare carboxylic ester derivatives in a manner analogous to the preparation of ethers 5a-i and sulfonates 7a-c. Virtually all efforts failed at the last step (i.e. condensation with 2-naphthylsulfonohydrazide). We suspect that these aromatic esters hydrolyzed to alcohols and carboxylic acids due to our inability to remove water completely from the reaction mixture during the condensation. Therefore, only compound 14 was synthesized via the acylation of salicylaldehyde with activated 2-(1,3-benzodioxol-5-yl)acetic acid and subsequent condensation of the ester with 2-naphthylsulfonhydrazide (Figure 7).
Figure 7.
Figure 7.

Biological Activity
Results of the in vitro testing of compounds 5a-i, 7a-c, 11a-j and 14 for inhibitory activity against MurC and MurD are presented in Table 1. They are given as residual activities (RA) of the enzyme in the presence of a 100-µM (or less in the case of low solubility) concentration of inhibitory compound.
Table 1.
In vitro inhibitory activity against MurC and MurD.
| Compds | Ar1 | position on ring | Ar2 | MurC | MurD | ||
|---|---|---|---|---|---|---|---|
| RA% a | IC50b | RA% a | IC50b | ||||
| 14 | ![]() | 2 | ![]() | 57c | 49c | ||
- a Data are the means of duplicate determinations. Standard deviations were within 10% of the values shown.
- b Calculated from the fitted regression equation using the logit-log plot. Standard deviations at 95% of confidence were within 20% of the values shown.
- c at 100 μM
- d at 50 μM
- e at 10 μM
- nd: not determined
IC50 values were determined for the most active compounds. Several compounds possessed inhibitory activity against both ligases MurC and MurD, with the amide series (especially compounds 11f, 11h and 11j) being the most potent low-molecular-weight dual inhibitors of both enzymes reported to date. Lipophilic substituents such as halogens, cyano, nitro and methoxy are preferred on the distal phenyl ring and significantly enhance the activity when compared with compound 11a. Interestingly, the transformation of amide 11j to sulfonate 7c resulted in a significant decrease of inhibitory activity against MurC and in a moderate reduction of inhibitory activity against MurD. In the series of phenylbenzyl ethers not only Ar1 was changed, but also Ar2, in order to gain compounds 5a-i, which are almost equally potent against both enzymes. Compounds 5a and 5b are the most potent inhibitors of MurD from this series. In general, the series of phenylbenzyl ethers had slightly weaker inhibitory activity against MurC and MurD than the amide series. In addition, with exception of 5h, the use of different Ar2 moieties resulted in lower activity against both enzymes when compared with the analogue with a naphthalene ring, 5a. The optimal distance between the two phenyl rings was established to be two atoms. However, ester 14, which has an additional methylene group, was also active. During the determination of IC50 values of compounds presented in this paper we noted that some inhibitors displayed high Hill coefficients [17]. Due to this inhibitory characteristic and the lipophilic properties of our inhibitors, there is the possibility that some of these compounds act as non-specific binders.
Conclusions
In summary, we have described the synthesis and structure-activity relationship of a series of novel N’-benzylidenesulfonohydrazides as inhibitors of MurC and MurD and as potential lead compounds for the development of new antibacterial drugs. In addition, we report a new, rapid and efficient one-pot synthesis of amidobenzaldehydes. The amide series provided the most potent dual inhibitors of both MurC and MurD ligases. Replacement of the amide functionality with an ester or benzylether group decreased the activity of compounds. Despite the fact that the series of phenylbenzyl ethers were slightly less active, they served as an indicator that inhibitory activity can be further enhanced with proper tuning of the Ar1 and Ar2 substituents. Further optimization of the reported inhibitors and in vitro determination of their MurC and MurD inhibitory activities are in progress and will be reported in due course.
Experimental
General
Chemicals from Fluka and Sigma-Aldrich Chemical Co. were used without further purification. Anhydrous tetrahydrofuran and Et3N were dried and purified by distillation over Na and KOH, respectively. Analytical thin-layer chromatography (TLC) was performed on Merck silica gel (60F254) plates (0.25 mm). Column chromatography was performed on silica gel 60 (Merck, particle size 240-400 mesh). Melting points were determined on a Reichert hot stage microscope and are uncorrected. 1H- and 13C-NMR spectra were recorded at 300 and 75 MHz, respectively, on a Bruker AVANCE DPX300 spectrometer in DMSO-d6 solutions, unless otherwise indicated, with TMS as internal standard. Chemical shifts were reported in ppm (δ) downfield from TMS. All the coupling constants (J) are in hertz. IR spectra were recorded on a Perkin-Elmer FTIR 1600 spectrometer. Mass spectra were obtained with a VG-Analytical Autospec Q mass spectrometer with EI or FAB ionization (MS Centre, Jožef Stefan Institute, Ljubljana). Elemental analyses were performed by the Department of Organic Chemistry, Faculty of Chemistry and Chemical Technology, Ljubljana, on a Perkin Elmer elemental analyzer 240 C. All reported yields correspond to yields of purified products.
Synthesis of 4-[(2-formylphenoxy)methyl]benzonitrile (4a) [18]
K2CO3 (2.00 g, 14.47 mmol) was added to a solution of salicylaldehyde (1.33 g, 10.89 mmol) and 4-bromomethyl(benzonitrile) (2.13 g, 10.87 mmol) in acetone (50 mL) and the mixture was heated under reflux for 12 hours. The solvent was removed under reduced pressure and the residue was taken up in ethyl acetate (100 mL), washed with 10% citric acid (2×20 mL), saturated NaHCO3 (2×20 mL) and brine (20 mL), and dried over Na2SO4. After filtration and evaporation of the solvent in vacuo the crude 4-((2-formylphenoxy)methyl)benzonitrile (4a) was purified by recrystallization from diethyl ether (Et2O, 1.95 g, 76%); colourless solid; m.p. 99-100 °C; 1H-NMR (CDCl3): δ 5.19 (s, 2H, Ar-CH2), 7.22-7.28 (m, 1H, Ar-H), 7.44-7.52 (m, 3H, Ar-H), 7.55-7.71 (AA’BB’, J = 8.5 Hz, Δν = 40.5 Hz, 4H, Ar-H), 9.98 (s, 1H, Ar-CHO) ppm; MS (FAB+) m/z (%): 237 (MH+, 49), 116 (100). IR (KBr): ν 2223, 1692, 1598, 1484, 1395, 1264, 1166, 1049, 866, 783, 680, 543 cm-1; Anal. calc. for C15H11NO2: C 75.94, H 4.67, N 5.90%. Found: C 75.99, H 4.46, N 5.86%.
General procedure for the synthesis of 2-(arylmethyloxy)benzaldehydes 4b-d
To a solution of the corresponding arylmethyl chloride (1 mmol) and salicylaldehyde (1 mmol) in THF (5 mL), triethylamine (1.25 mmol) and KF (2 mmol) were added with stirring and the mixture was refluxed under argon for 12 hours. The solvent was removed under reduced pressure. The residue was taken up in ethyl acetate (25 mL), washed sucessively with 10% citric acid (2×5 mL), saturated NaHCO3 (2×5 mL) and brine (5 mL), and dried over Na2SO4. After filtration and evaporation of the solvent in vacuo the crude product was purified by column chromatography or recrystallization, as indicated.
2-(2-Nitrobenzyloxy)benzaldehyde (4b). Yield 13%; colourless solid; recrystallization from Et2O; m.p. 103-105 °C; 1H-NMR: δ 5.45 (s, 2H, Ar-CH2), 7.09-7.17 (m, 1H, Ar-H), 7.30-7.37 (m, 1H, Ar-H), 7.64-7.72 (m, 1H, Ar-H), 7.72-7.78 (m, 2H, Ar-H), 7.97-8.05 (m, 1H, Ar-H), 8.18-8.25 (m, 1H, Ar-H), 8.40 (s, 1H, Ar-H), 10.45 (s, 1H, Ar-CHO) ppm; MS (FAB+) m/z (%): 258 (MH+, 33), 136 (100); IR (KBr): ν 3452, 1679, 1599, 1528, 1461, 1350, 1238, 1025, 802, 730 cm-1; Anal. calc. for C14H11NO4: C 65.37, H 4.31, N 5.44%. Found: C 64.99, H 4.16, N 5.46 %.
3-(3-Nitrobenzyloxy)benzaldehyde (4c) [19]. Yield 90%; yellow solid; recrystallization from Et2O; m.p. 112-115 °C; 1H-NMR (CDCl3): δ 5.25 (s, 2H, Ar-CH2), 7.25-7.34 (m, 1H, Ar-H), 7.46-7.56 (m, 3H, Ar-H), 7.57-7.66 (m, 1H, Ar-H), 7.76-7.84 (m, 1H, Ar-H), 8.19-8.26 (m, 1H, Ar-H), 8.26 (s, 1H, Ar-H), 10.01 (s, 1H, Ar-CHO) ppm; MS (EI) m/z (%): 257 (M+, 20), 136 (100); IR (KBr): ν 2940, 2837, 1637, 1594, 1454, 1264, 1152, 1039, 784.
2-(3-Nitrobenzyloxy)benzaldehyde (4d). Yield 87%; Rf 0.15 (hexane-ethyl acetate = 4:1); m.p. 120-122 °C; 1H-NMR: δ 5.45 (s, 2H, Ar-CH2), 7.09-7.17 (m, 1H, Ar-H), 7.30-7.37 (m, 1H, Ar-H), 7.63-7.79 (m, 3H, Ar-H), 7.98-8.04 (m, 1H, Ar-H), 8.18-8.25 (m, 1H, Ar-H), 8.40 (s, 1H, Ar-H), 10.45 (s, 1H, Ar-CHO) ppm; MS (EI) m/z (%): 257 (M+, 10), 136 (100); IR (KBr): ν 3452, 1679, 1599, 1528, 1461, 1350, 1238, 1025, 802, 730 cm-1; Anal. calc. for C14H11NO4: C 65.37,H 4.31, N 5.44%. Found: C 65.15, H 4.46, N 5.47%.
General procedure for the synthesis of 2-formylphenyl benzenesulfonate derivatives 6a-c
To a solution of salicylaldehyde (1 mmol) and Et3N (1.5 mmol) in THF (1 mL) an appropriate benzenesulfonyl chloride derivative (1 mmol) was added at 0 °C. The solution was stirred for 12 hours at room temperature. The solvent was removed under reduced pressure. The residue was taken up in ethyl acetate (25 mL), washed with 10% citric acid (2×5 mL), saturated NaHCO3 (2×5 mL) and brine (5 mL), and dried over Na2SO4. After filtration and evaporation of solvent in vacuo the crude product was purified by recrystallization from Et2O.
2-Formylphenyl 2-nitrobenzenesulfonate (6a). Yield 57%; yellow solid; m.p. 85-86 °C. 1H-NMR (CDCl3): δ 7.21-7.28 (m, 1H, Ar-H), 7.44-7.52 (m, 1H, Ar-H), 7.60-7.67 (m, 1H, Ar-H), 7.8-7.9 (m, 1H, Ar-H), 7.88-7.95 (m, 1H, Ar-H), 8.20-8.27 (m, 1H, Ar-H), 8.54-8.61 (m, 1H, Ar-H), 8.71-8.76 (m, 1H, Ar-H), 10.1 (s, 1H, Ar-CHO) ppm; 13C-NMR DEPT 135: 187.5, 151.1, 149.1, 138.7, 135.9, 130.1, 129.5, 128.8, 128.4, 124.9, 123.3 ppm; MS (FAB+): m/z (%): 308 (MH+, 14), 55 (100). IR (KBr): ν 3093, 1694, 1603, 1532, 1350, 1202, 1065, 860, 717, 628, 554 cm-1; Anal. calc. for C13H9NO6S: C 50.81, H 2.95, N 4.56%. Found: C 50.98, H 3.01, N 4.58 %.
2-Formylphenyl 3-nitrobenzenesulfonate (6b). Yield 57%; yellow solid; m.p. 103-104 °C. 1H-NMR (CDCl3): δ 7.35-7.41 (d, J1 = 8.0 Hz, 1H, Ar-H), 7.45-7.53 (dd, J1 = 7.5 Hz, J2 = 7.5 Hz 1H, Ar-H), 7.61-7.70 (m, 1H, Ar-H), 7.66-7.82 (m, 1H, Ar-H), 7.88-7.93 (m, 2H, Ar-H), 7.93-7.99 (dd, J1 = 7.5 Hz, J2 = 2.0 Hz, 1H, Ar-H), 7.99-8.05 (d, J = 7.5 Hz, 1H, Ar-H), 10.25 (s, 1H, Ar-CHO) ppm; MS (FAB+): m/z (%): 308 (MH+, 22), 55 (100). IR (KBr): ν 3100, 2884, 2765, 1702, 1604, 1542, 13 80, 1194, 1086, 873, 785, 588 cm-1; Anal. calc. for C13H9NO6S: C 50.81, H 2.95, N 4.56%. Found: C 50.90, H 3.10, N 4.45 %.
2-Formylphenyl 4-nitrobenzenesulfonate (6c). [20] Yield 68%; yellow solid; m.p. 117-119 °C. 1H-NMR (CDCl3): δ 7.20 (dd, J1 = 8.0 Hz, J2 = 1.0 Hz, 1H, Ar-H), 7.45-7.54 (dd, J1 = 7.5 Hz, J2 = 7.5 Hz, 1H, Ar-H), 7.60-7.69 (m, 1H, Ar-H), 7.91-7.97 (dd, J1 = 7.5 Hz, J2 = 2.0 Hz, 1H, Ar-H), 8.10-8.40 (AA’XX’, J = 9.0 Hz, Δν = 90 Hz; 4H, Ar-H), 10.09 (s, 1H, Ar-CHO) ppm; MS (FAB+): m/z (%): 308 (MH+, 100). IR (KBr): ν 3104, 2869, 1694, 1597, 1531, 1381, 1192, 1089, 899, 804, 603 cm-1; Anal. calc. for C13H9NO6S: H 2.95, C 50.81, N 4.56%. Found: H 3.01, C 50.98, N 4.58 %. Anal. calc. for C13H9NO6S: C 50.81, H 2.95, N 4.56%. Found: C 50.71, H 3.02, N 4.76 %.
General procedure for the synthesis of 2-(nitrophenyl)-1,3-dioxolanes 9a and 9b
The corresponding nitrophenyl-1,3-dioxolanes 9a and 9b were prepared by a reported method [16]. Suitable nitrobenzaldehyde (5.76 g, 38.1 mmol), 4-toluenesulfonic acid monohydrate (0.24 g, 1.26 mmol) and ethylene glycol (13.2 g, 213 mmol) were dissolved in toluene (40 mL). After the addition of ground 4 Å molecular sieves (1.00 g) the solution was refluxed for 6 hours. After cooling, the mixture was partitioned between toluene and distilled water (50 mL) and the aqueous layer extracted again with toluene (2×20 mL) and ethyl acetate (30 mL). The combined organic layers were washed with brine (40 mL), dried over Na2SO4, and the solvent removed in vacuo.
2-(4-Nitrophenyl)-1,3-dioxolane (9a) [16] Yield 90%; yellow solid; m.p. 65-68 °C; 1H-NMR (CDCl3): δ 4.09 (m, 4H, O-CH2-CH2-O), 5.89 (s, 1H, CH), 7.64-8.25 (AA’XX’, J = 9.0 Hz, Δν = 174.0 Hz, 4H, Ar-H) ppm; MS (FAB+) m/z (%): 196 (MH+, 83), 154 (100); IR (KBr): ν 2896, 1709, 1612, 1523, 1355, 1218, 1079, 848, 750, 697 cm-1.
2-(2-Nitrophenyl)-1,3-dioxolane (9b). [21] Yield 91%; yellow oil; 1H-NMR (CDCl3): δ 4.04 (m, 4H, O-CH2-CH2-O), 6.48 (s, 1H, CH), 7.50 (m, 1H, Ar-H), 7.62 (m, 1H, Ar-H), 7.80 (d, 1H, J = 8.0 Hz, Ar-H), 7.89 (d, 1H, J = 8.0 Hz, Ar-H) ppm; MS (EI) m/z (%): 195 (M+, 69), 148 (100); IR (KBr): ν 2893, 1704, 1530, 1350, 1198, 1108, 944, 788 cm-1.
General procedure for the synthesis of N-(formylphenyl)benzamide derivatives 10a-j
The corresponding 2-(nitrophenyl)-1,3-dioxolanes 9a or 9b (2.00 g, 10.2 mmol) were dissolved in anhydrous THF (50 mL) and Pd/C (200 mg) was added. The resulting solution was hydrogenated in a Parr apparatus at 5 bar for 2 hours, filtered and immediately used for further reaction. The appropriate benzoyl chloride derivative (10.2 mmol) and K2CO3 (10.2 mmol) were then added and the mixture was stirred for 3 hours. The solvent was removed under reduced pressure. The residue was taken up in ethyl acetate (100 mL), washed with 10% citric acid (2×20 mL), saturated NaHCO3 (2×20 mL) and brine (20 mL) and dried over Na2SO4. After filtration and evaporation of the solvent in vacuo the crude product was purified by column chromatography or by recrystallization from Et2O, as indicated.
N-(4-Formylphenyl)benzamide (10a). [22] Yield 78%; yellow solid; recrystallized; m.p. 121-123 °C; 1H-NMR: δ 7.54 – 7.66 (m, 3H, Ar-H), 7.92-8.04 (AA’BB’, J = 8.5 Hz, Δν = 37.0 Hz, 4H, Ar-H), 7.98 (m, 2H, Ar-H), 9.92 (s, 1H, CHO), 10.64 (s, 1H, NH-CO) ppm; MS (EI) m/z (%): 225 (M+, 27), 105 (100); IR (KBr): ν 3336, 2737, 1696, 1659, 1592, 1524, 1415, 1323, 1168, 826, 718 cm-1; HR-MS (FAB+): Calc. for C14H11NO2: 225.078979. Found: 225.079580.
N-(4-Formylphenyl)-3,5-dinitrobenzamide (10b). Yield 80%; yellow solid; recrystallized; m.p. 258-264 °C; 1H-NMR: δ 7.97 (AA’BB’, J = 8.0 Hz, Δν = 24.0 Hz, 4H, Ar-H), 9.02 (t, 1H, J = 3.5 Hz, Ar-H), 9.19 (m, 2H, Ar-H), 9.96 (s, 1H, CHO), 11.20 (s, 1H, NH-CO) ppm; MS (EI) m/z (%): 315 (M+, 73), 195 (100); Anal. calc. for C14H9N3O5 × 1/3 H2O: C 52.34, H 3.03, N 13.08 %, Found: C 52.62, H 3.06, N 12.83 %.
4-Cyano-N-(4-formylphenyl)benzamide (10c). Yield 75%; yellow solid; recrystallized; m.p. 189-192 °C; 1H-NMR: δ 7.90-8.04 (AA’BB’, J = 9.0 Hz, Δν = 26.4 Hz, 4H, Ar-H), 8.05-8.16 (m, 4H, Ar-H), 9.93 (s, 1H, CHO), 10.84 (s, 1H, NH-CO) ppm; MS (EI) m/z (%): 250 (M+, 37), 130 (100); IR (KBr): ν 3350, 2228, 1677, 1591, 1532, 1323, 1166, 832, 757 cm-1; HR-MS (FAB+): Calc. for C15H10N2O2: 250.074228. Found: 250.075050.
N-(4-Formylphenyl)-2-nitrobenzamide (10d). Yield 55%; yellow solid; purified by chromatography, Rf = 0.00 (hexane-dichloromethane = 1:3), then the product was eluated with methanol; m.p. 128-130 °C; 1H-NMR: δ 7.80–7.83 (m, 2H, Ar-H), 7.88–7.95 (m, 5H, Ar-H), 8.19 (m, 1H, Ar-H), 9.93 (s, 1H, CHO), 11.09 (s, 1H, NH-CO) ppm; MS (EI) m/z (%): 270 (M+, 85), 150 (100).; IR (KBr): ν 3333, 1682, 1596, 1524, 1347, 1255, 1164, 897, 834, 705 cm-1; HR-MS (FAB+): Calc. for C14H10N2O4. 270.064057. Found: 270.064850.
N-(4-Formylphenyl)-4-nitrobenzamide (10e). Yield 43%; yellow solid; recrytallized; m.p. 213-216 °C; 1H-NMR: δ 7.90–8.02 (AA’BB’, J = 8.5 Hz, Δν = 32.5 Hz, 4H, Ar-H), 8.22-8.35 (AA’BB’, J = 8.5 Hz, Δν = 39.5 Hz, 4H, Ar-H), 9.92 (s, 1H, CHO) ppm; MS (EI) m/z (%): 270 (M+, 36), 150 (100). IR (KBr): ν 3362, 1674, 1590, 1578, 1319, 1172, 830, 710 cm-1; HR-MS (FAB+): Calc. for C14H10N2O4: 270.064057. Found: 270.064860
3-Bromo-N-(4-formylphenyl)benzamide (10f). Yield 94%; yellow solid; recrystallized; m.p. 163-165 °C; 1H-NMR: δ 7.53 (m, 1H, Ar-H), 7.83 (m, 1H, Ar-H), 7.91–8.04 (m, 5H, Ar-H), 8.17 (s, 1H, Ar-H), 9.93 (s, 1H, CHO), 10.73 (s, 1H, NH-CO) ppm; MS (EI) m/z (%): 303/305 (M+, 24), 183/185 (100); IR (KBr): ν 3357, 1679, 1587, 1533, 1325, 1165, 838, 710 cm-1; HR-MS (FAB+): Calc. for C14H10BrNO2. 302.989490. Found: 302.988320.
2-bromo-N-(4-formylphenyl)benzamide (10g). Yield 80%; yellow solid; recrystallized; m.p. 118-120 oC; 1H-NMR: δ 7.43–7.55 (m, 3H, Ar-H), 7.61 (m, 1H, Ar-H), 7.75 (m, 1H, Ar-H), 7.90–7.97 (m, 3H, Ar-H), 9.93 (s, 1H, CHO), 10.92 (s, 1H, NH-CO) ppm; MS (EI) m/z (%): 303/305 (M+, 17), 183/185 (100); IR (KBr): ν 3247, 1689, 1596, 1530, 1330, 1165, 1026, 896, 833, 744 cm-1; HR-MS (FAB+): Calc. for C14H10BrNO2: 302.989490. Found: 302.990210.
N-(4-formylphenyl)2-naphthamide (10h). Yield 60%; yellow solid; recrystallized; m.p. 135-137 °C; 1H-NMR: δ 7.66 (m, 2H, Ar-H), 7.95-8.07 (m, 8H, Ar-H), 8.61 (s, 1H, Ar-H), 9.94 (s, 1H, CHO), 10.80 (s, 1H, NH-CO) ppm; MS (EI) m/z (%): 275 (M+, 87), 155 (100); IR (KBr): ν 3371, 1697, 1664, 1560, 1526, 1413, 1322, 1168, 828, 758, 606 cm-1; HR-MS (FAB+): Calc. for C18H13NO2: 275.094629. Found: 275.095240.
N-(2-formylphenyl)-3,5-dinitrobenzamide (10i). Yield 52%; yellow solid; m.p. 258-260 °C; 1H-NMR: δ 7.48 (dd, 1H, J1 = J2 = 7.5 Hz, Ar-H), 7.80 (m, 1H, Ar-H), 7.97 (dd, 1H, J1 = 7.5 Hz, J2 = 1.5 Hz, Ar-H), 8.10 (m, 1H, Ar-H), 9.05 (t, 1H, J = 2.0 Hz, Ar-H), 9.16 (m, 2H, Ar-H), 10.12 (s, 1H, CHO), 11.72 (s, 1H, NH-CO) ppm; MS (EI) m/z (%): 315 (M+, 49), 287 (100); IR (KBr): ν 3086, 1690, 1531, 1343, 1195, 907, 783, 712 cm-1; Anal. calc. for C14H9N3O5 × 1/2 H2O: C 51.86, H 3.11, N 12.96 %; Found: C 51.93, H 2.84, N 12.94 %.
N-(2-formylphenyl)-4-nitrobenzamide (10j). Yield 25%; yellow solid; recrystallized; m.p. 233-237 °C; 1H-NMR: δ 7.34 (dd, 1H, J1 = J2 = 7.5 Hz, Ar-H), 7.75 (dd, J1 = J2 = 8.0 Hz, Ar-H), 7.97 (dd, 1H, J1 = 7.5 Hz, J2 = 1.5 Hz, Ar-H), 8.10 (d, 1H, J = 8.0 Hz, Ar-H), 8.20-8.33 (AA’BB’, J = 8.5 Hz, Δν = 39.5 Hz, 4H, Ar-H); MS (EI) m/z (%): 270 (M+, 42), 105 (100); IR (KBr): ν 3314, 1647, 1542, 1450, 1307, 1126, 947, 734 cm-1; Anal. calc. for C14H10N2O4: C 62.22, H 3.73, N 10.37%; Found: C 62.15, H 3.92, N 10.21 %.
Synthesis of 2-formylphenyl 2-(benzo[d][1,3]dioxol-5-yl)acetate (13)
To a solution of 2-(benzo[d][1,3]dioxol-5-yl)acetic acid (448 mg, 2.49 mmol) in dry dichloromethane (10 mL) one drop of dry DMF was added with stirring. Oxalyl chloride (0.40 mL, 4.7 mmol) was then added dropwise at 0 °C. The mixture was stirred on an ice-bath for 20 minutes and for a further hour at room temperature. The solvent was evaporated and the crude product dissolved in dichloromethane (5 mL) and added dropwise to a solution of salicylaldehyde (7b, 300 mg, 2.46 mmol) and triethylamine (0.4 mL, 2.9 mmol) in dichloromethane (10 mL). After 3 hours, more dichloromethane (50 mL) was added. The resulting solution was washed thoroughly with 10% citric acid (2×20 mL), saturated NaHCO3 (2×20 mL) and brine (20 mL) and then dried over Na2SO4. After filtration and evaporation of the solvent in vacuo, the crude product was purified by column chromatography. Yield 73%; Rf = 0.25 (hexane-ethyl acetate = 1:1); 1H-NMR (300 MHz, CDCl3): δ 3.90 (s, 2H, CH2COO), 5.99 (s, 2H, OCH2O), 6.80-6.95 (m, 3H, Ar-H), 7.15-7.21 (d, J = 8.0 Hz, 1H, Ar-H), 7.37-7.45 (dd, J1 = 7.5 Hz, J2 = 7.5 Hz, 1H, Ar-H), 7.59-7.67 (dd, J1 = 8.0 Hz, J2 = 7.5 Hz, 1H, Ar-H), 7.85-7.92 (m, 1H, Ar-H), 10.01 (s, 1H, Ar-CHO) ppm; MS (FAB+) m/z (%): 284 (MH+, 48), 162 (100); IR (KBr): 1763, 1697, 1605, 1488, 1252, 1123, 1033, 924, 775 cm-1; HR-MS (FAB+): Calc. for C16H12O5: 284.068474. Found: 284.069230.
General procedure for the synthesis of N-benzylidenesulfonohydrazide derivatives 5a-i, 7a-c, 11a-j and 14.
To a solution of the corresponding aldehydes 4a-d, 6a-c, 10a-j or 13 (1 mmol) in dry THF or absolute ethanol (25 mL), K2CO3 (1 mmol) and aryl-2-sulfonohydrazide hydrochloride (1 mmol) were added and the mixture stirred under argon for 24 hours. The solvent was removed under reduced pressure. The resulting crude residue was taken up in ethyl acetate (100 mL), washed with 10% citric acid (2×20 mL), saturated NaHCO3 (2×20 mL) and brine (20 mL) and dried over Na2SO4. After filtration and evaporation of the solvent in vacuo the crude product was purified by column chromatography or by crystallization.
N'-({2-[(4-Cyanobenzyl)oxy]phenyl}methylidene)-2-naphthalenesulfonohydrazide (5a). Yield 64%; colourless solid; crystallized from ethanol-water; m.p. 147-150 °C. 1H-NMR: δ 5.12 (s, 2H, Ar-CH2), 6.77-6.87 (m, 2H, Ar-H), 7.19-7.27 (m, 1H, Ar-H), 7.44-7.51 (m, 1H, Ar-H), 7.55-7.81 (m, 2H, Ar-H), 7.68-7.80 (m, 2H, Ar-H), 7.84-7.97 (m, 4H, Ar-H), 8.05-8.11 (m, 1H, Ar-H), 8.18-8.27 (m, 2H, Ar-H), 8.66-8.71 (m, 1H, Ar-CH=), 10.17 (s, 1H, CONHN=) ppm; 13C-NMR (DMSO-d6): δ 156.6, 145.3, 141.4, 134.6, 133.5, 132.6, 131.7, 131.6, 129.5, 129.3, 129.3, 127.7, 127.7, 122.5, 119.3, 118.8, 118.5, 116.2, 110.3 ppm; MS (FAB+) m/z (%): 442 (MH+, 52), 154 (100); IR (KBr): ν 3077, 2226, 1609, 1485, 1348, 1267, 1159, 1046, 899, 759, 656 cm-1; Anal. calc. for C25H19N3O3S: C 68.01, H 4.34, N 9.52%. Found: C 68.24, H 4.32, N 9.54%.
N'-({2-[(2-Nnitrobenzyl)oxy]phenyl}methylidene)-2-naphthalenesulfonohydrazide (5b). Yield 69%; yellow solid; crystalized from Et2O; m.p. 174-179 °C. 1H-NMR: δ 5.47 (s, 2H, Ar-CH2-), 6.94-7.02 (dd, J1 = 7.5 Hz, J2 = 7.5 Hz, 1H, Ar-H), 7.00-7.10 (m, 1H, Ar-H), 7.30-7.40 (m, 1H, Ar-H), 7.59-7.75 (m, 5H, Ar-H), 7.77-7.82 (m, 2H, Ar-H), 7.84-7.91 (m, 1H, Ar-H), 7.99-8.05 (d, J = 7.5 Hz, 1H, Ar-H), 8.09-8.23 (m, 3H, Ar-H), 8.29 (s, 1H, Ar-H), 8.56 (s, 1H, Ar-CH=), 11.60 (s, 1H, Ar-H) ppm; 13C-NMR: δ 155.9, 147.1, 142.5, 136.1, 134.2, 133.9, 132.0, 131.6, 131.5, 129.1, 129.1, 129.0, 128.8, 128.3, 127.7, 127.4, 125.5, 124.7, 122.4, 121.9, 121.2, 112.9, 66.7 ppm; MS (FAB+): m/z (%): 462 (MH+, 17), 154 (100); IR (KBr): ν 3491, 3225, 1603, 1519, 1329, 1246, 1159, 1049, 954, 745, 659, 544 cm-1; Anal. calc. for C24H19N3O5S: C 62.46, H 4.15, N 9.11%. Found: C 62.62, H 4.20, N 9.05 %.
N'-({2-[(3-Nitrobenzyl)oxy]phenyl}methylidene)-2-naphthalenesulfonohydrazide (5c). Yield 80%; Rf = 0.10 (hexane-ethyl acetate = 1:1); colourless solid; m.p. 133-134 °C. 1H-NMR: δ 5.18 (s, 2H, Ar-CH2), 6.79-6.86 (m, 2H, Ar-H), 7.18-7.27 (dd, J1 = 7.7 Hz, J2 = 7.7 Hz, 1H, Ar-H), 7.45-7.53 (d, J = 7.9 Hz, 1H, Ar-H), 7.65-7.81 (m, 3H, Ar-H), 7.81-7.89 (d, J = 7.9 Hz, 1H, Ar-H), 7.91-7.98 (m, 1H, Ar-H), 8.02 (s, 1H, Ar-H), 8.06-8.12 (d, J = 7.7 Hz, 1H, Ar-H), 8.14-8.27 (m, 4H, Ar-H), 8.70 (s, 1H, Ar-CH=), 10.18 (s, 1H, SO2NHN) ppm; MS (FAB+): m/z (%): 462 (MH+, 58), 154 (100); IR (KBr): ν 3058, 1621, 1534, 1350, 1266, 1171, 1073, 915, 815, 755, 661, 545 cm-1; Anal. calc. for C24H19N3O5S: C 62.46, H 4.15, N 9.11%. Found: C 63.09, H 4.26, N 9.00%.
N'-({3-[(3-Nitrobenzyl)oxy]phenyl}methylidene)-2-naphthalenesulfonohydrazide (5d). Yield 80%; yellow solid; crystallized from Et2O; m.p. 156-158 °C. 1H-NMR: δ 5.14 (s, 2H, Ar-CH2), 6.95-7.01 (m, 1H, Ar-H), 7.11-7.16 (m, 1H, Ar-H), 7.22-7.32 (m, 1H, Ar-H), 7.52-7.69 (m, 3H, Ar-H), 7.71-7.79 (m, 2H, Ar-H), 7.85-8.01 (m, 5H, Ar-H), 8.17-8.22 (m, 1H, Ar-H), 8.31 (s, 1H, Ar-H), 8.58 (s, 1H, Ar-CH=) ppm; 13C-NMR: δ 158.0, 147.7, 146.8, 139.1, 135.9, 135.0, 134.3, 133.8, 131.6, 129.9, 129.8, 129.1, 128.8, 128.4, 127.7, 127.4, 122.5, 122.4, 121.8, 119.8, 116.6, 112.4, 67.8 ppm; MS (FAB+) m/z (%): 462 (MH+, 4), 55 (100); IR (KBr): ν 3226, 1574, 1524, 1354, 1354, 1299, 1164, 1063, 977, 823, 756, 671 cm-1; Anal. calc. for C24H19N3O5S: C 62.46, H 4.15, N 9.11%. Found: C 62.58, H 4.19, N 9.05%.
N'-({2-[(4-Cyanobenzyl)oxy]phenyl}methylidene)-2-nitrobenzenesulfonohydrazide (5e). Yield 75%; yellow solid; crystalized from Et2O; m.p. 207-210 °C; 1H-NMR: δ 5.29 (s, 2H, Ar-CH2-O), 6.99 (m, 1H, Ar-H), 7.15 (m, 1H, Ar-H), 7.37-7.42 (m, 1H, Ar-H), 7.63-7.69 (m, 3H, Ar-H), 7.87-7.91 (m, 4H, Ar-H), 7.99-8.07 (m, 2H, Ar-H), 8.50 (s, 1H, CH=N), 12.08 (s, 1H, NH) ppm; 13C-NMR DEPT 135: 143.0, 134.4, 132.3, 132.1, 131.6, 130.3, 127.7, 125.3, 124.2, 121.0, 112.9, 68.5 ppm; MS (FAB+) m/z (%): 437 (MH+, 35), 154 (100); IR (KBr): ν 3235, 2232, 1599, 1524, 1452, 1371, 1240, 1173, 1032, 953, 758, 658, 589 cm-1; Anal. calc. for C21H16N4O5S: C 57.79, H 3.70, N 12.84%. Found: C 57.67, H 3.64, N 12.98%.
N'-({2-[(4-Cyanobenzyl)oxy]phenyl}methylidene)-3-nitrobenzenesulfonohydrazide (5f). Yield 80%; yellow solid; recrystallized from Et2O; m.p. 185-187 °C. 1H-NMR: δ 5.26 (s, 2H, Ar-CH2-O), 7.00 (m, 1H, Ar-H), 7.13 (m, 1H, Ar-H), 7.36-7.42 (m, 1H, Ar-H), 7.63-7.68 (m, 3H, Ar-H), 7.86-7.96 (m, 3H, Ar-H), 8.28-8.31 (m, 1H, Ar-H), 8.35 (s, 1H, CH=N), 8.49 (m, 1H, Ar-H), 8.58 (m, 1H, Ar-H), 11.79 (s, 1H, NH) ppm; 13C-NMR DEPT 135: 143.6, 132.8, 132.0, 131.5, 131.0, 127.6, 127.3, 125.2, 121.5, 120.9, 112.7 ppm; MS (FAB+): m/z (%): 437 (MH+, 25), 55 (100); IR (KBr): ν 3222, 3091, 2233, 1603, 1531, 1340, 1174, 1052, 817, 759, 668 cm-1; Anal. calc. for C21H16N4O5S: C 57.79, H 3.70, N 12.84%. Found: C 57.95, H 3.45, N 12.63%.
N'-({2-[(4-Cyanobenzyl)oxy]phenyl}methylidene)(phenyl)methanesulfonohydrazide (5g). Yield 71%; colourless solid; recrystallized from Et2O; m.p. 175-177 °C; 1H-NMR: δ 4.56 (s, 2H, Ar-CH2-O), 5.32 (s, 2H, Ar-CH2-SO2), 7.06 (m, 1H, Ar-H), 7.19 (m, 1H, Ar-H), 7.31-7.45 (m, 6H, Ar-H), 7.69 (d, 2H, J = 8.1 Hz, Ar-H), 7.84 (m, 1H, Ar-H), 7.89 (d, 2H, J = 8.1 Hz, Ar-H), 8.40 (s, 1H, CH=N), 11.25 (s, 1H, NH) ppm; MS (FAB+) m/z (%): 406 (MH+, 55), 154 (100); IR (KBr): ν 3147, 2229, 1602, 1449, 1327, 1251, 1048, 953, 821, 695, 540 cm-1; Anal. calc. for C22H19N3O3S: C 65.17, H 4.72, N 10.36%. Found: C 65.12, H 4.90, N 10.38%.
N'-({2-[(4-Cyanobenzyl)oxy]phenyl}methylidene)(2-fluorophenyl)methanesulfonohydrazide (5h). Yield 75%; yellow solid; recrystallized from Et2O; m.p.; 179-181 °C; 1H-NMR: δ 4.59 (s, 2H, Ar-CH2-O), 5.32 (s, 2H, Ar-CH2-SO2), 7.05 (m, 1H, Ar-H), 7.12-7.24 (m, 3H, Ar-H), 7.42 (m, 3H, Ar-H), 7,69 (d, 2H, J = 8.0 Hz, Ar-H), 7.77 (m, 1H, Ar-H), 7.89 (d, 2H, J = 8.0 Hz, Ar-H), 8.40 (s, 1H, CH=N), 11.35 (s, 1H, NH) ppm; 13C-NMR DEPT 135: 141.6, 132.9, 132.8, 132.0, 131.1, 130.3, 130.2, 127.5, 125.5, 124.1, 124.0, 120.9, 115.3, 115.0, 112.7, 68.3, 49.3, 49.3 ppm; MS (FAB+) m/z (%): 424 (MH+, 40), 154 (100); IR (KBr): ν 3151, 2226, 1600, 1451, 1324, 1246, 1045, 955, 757, 555 cm-1; Anal. calc. for C22H18FN3O3S: C 62.40, H 4.28, N 9.92%. Found: C 62.44, H 4.39, N 9.88%.
N'-({2-[(4-Cyanobenzyl)oxy]phenyl}methylidene)[4-(trifluoromethyl)phenyl]methanesulfonohydrazide (5i). Yield 79%; colourless solid; recrystallized from Et2O; m.p. 190-192 °C; 1H-NMR: δ 4.72 (s, 2H, Ar-CH2-O), 5.31 (s, 2H, Ar-CH2-SO2), 7.04 (m, 1H, Ar-H), 7.18 (d, 1H, J = 8.5 Hz, Ar-H), 7.40-7.46 (m, 1H, Ar-H), 7.56 (m, 2H, Ar-H), 7.67-7.79 (m, 6H, Ar-H), 7.88 (d, 2H, J = 8.5 Hz, Ar-H), 8.38 (s, 1H, CH=N), 11.30 (s, 1H, NH) ppm; 13C-NMR DEPT 135: 141.8, 132.0, 131.4, 131.1, 127.5, 125.6, 124.9, 124.8, 120.8, 112.7, 68.4, 55.4 ppm; MS (FAB+): m/z (%): 474 (MH+, 25), 154 (100); IR (KBr): ν 3191, 2226, 1605, 1452, 1325, 1158, 960, 849, 755, 647 cm-1; Anal. calc. for C23H18N3O3SF3: C 58.35 H 3.83, N 8.87%. Found: C 58.44, H 4.07, N 8.80 %.
2-{[2-(2-Naphthylsulfonyl)hydrazono}methyl]phenyl 2-nitrobenzenesulfonate (7a). Yield 46%; yellow solid; recrystallized from Et2O; m.p. 68-70 °C; 1H-NMR: δ 7.03-7.10 (m, 1H, Ar-H), 7.33-7.48 (m, 2H, Ar-H), 7.66-8.10 (m, 9H, Ar-H), 8.10-8.27 (m, 3H, Ar-H), 8.55 (s, 1H, Ar-CH=), 11.88 (s, 1H, SO2NHN) ppm; 13C-NMR: δ 147.7, 146.8, 139.9, 137.0, 135.9, 134.3, 133.0, 131.6, 131.5, 131.4, 129.2, 129.2, 128.9, 128.2, 128.2, 127.7, 127.6, 127.0, 126.3, 125.9, 125.7, 122.7, 122.3 ppm; MS (FAB+) m/z (%): 512 (MH+, 45), 154 (100); IR (KBr): ν 3197, 1545, 1364, 1163, 869, 778, 658 cm-1; Anal. calc. for C23H17N3O7S2: C 54.01, H 3.35; N 8.21%. Found: C 54.18, H 3.54, N 7.95 %.
2-{[2-(2-Naphthylsulfonyl)hydrazono}methyl]phenyl 3-nitrobenzenesulfonate (7b). Yield 46%; yellow solid; m.p. 145-148 °C; 1H-NMR: δ 7.11-7.18 (m, 1H, Ar-H), 7.32-7.49 (m, 2H, Ar-H), 7.65-7.75 (m, 3H, Ar-H), 7.77-7.88 (m, 3H, Ar-H), 8.03-8.09 (m, 1H, Ar-H), 8.10-8.19 (m, 2H, Ar-H), 8.19-8.25 (m, 1H, Ar-H), 8.35-8.45 (m, 2H, Ar-H), 8.55 (s, 1H, Ar-CH=), 11.79 (s, 1H, SO2NHN=) ppm; 13C-NMR: δ 147.9, 146.6, 139.6, 135.8, 134.8, 134.3, 133.9, 131.6, 131.6, 131.4, 129.5, 129.2, 129.2, 128.9, 128.2, 128.2, 127.7, 127.6, 126.8, 126.2, 122.9, 122.9, 122.3 ppm; MS (FAB+) m/z (%): 512 (MH+, 23), 154 (100); IR (KBr): ν 3165, 2897, 1604, 1527, 1448, 1329, 1194, 1060, 971, 893, 779, 658, 582 cm-1; Anal. calc. for C23H17N3O7S2: C 54.01, H 3.35; N 8.21%. Found: C 54.24, H 3.47, N 8.19 %.
2-{[2-(2-Naphthylsulfonyl)hydrazono}methyl]phenyl 4-nitrobenzenesulfonate (7c). Yield 80%; yellow solid; recrystallized from Et2O; m.p. 145-148 °C; 1H-NMR: δ 7.03-7.09 (m, 1H, Ar-H), 7.31-7.39 (m, 1H, Ar-H), 7.39-7.46 (m, 1H, Ar-H), 7.63-7.75 (m, 3H, Ar-H), 7.81-7.87 (m, 1H, Ar-H), 7.90 (s, 1H, Ar-H), 8.00-8.06 (m, 1H, Ar-H), 8.06-8.16 (m, 3H, Ar-H), 8.18-8.24 (m, 1H, Ar-H), 8.40-8.45 (m, 2H, Ar-H), 8.55 (s, 1H, Ar-CH=N), 11.80 (s, 1H, SO2NHN=) ppm; 13C-NMR: δ 151.0, 146.6, 139.9, 138.9, 135.8, 134.3, 131.6, 131.4, 129.9, 129.2, 129.1, 128.9, 128.3, 128.1, 127.7, 127.5, 126.9, 126.4, 124.9, 122.7, 122.3 ppm; MS (FAB+) m/z (%): 512 (MH+, 19), 57 (100); IR (KBr): ν 3203, 1603, 1531, 1358, 1162, 1061, 959, 877, 761 cm-1; Anal. calc. for C23H17N3O7S2: C 54.01, H 3.35, N 8.21%. Found: C 54.29, H 3.52, N 8.02 %.
N-(4-{[2-(2-Naphthylsulfonyl)hydrazono]methyl}phenyl)benzamide (11a). Yield 83%; yellow solid; recrystallized from Et2O; m.p. 197-200 °C; 1H-NMR: δ 7.50–7.62 (m, 5H, Ar-H), 7.47-6.67 (m, 7H, Ar-H), 7.89-7.98 (m, 3H, Ar-H), 8.31-8.36 (m, 1H, Ar-H), 8.40 (s, 1H, CH=N-NH), 10.40 (s, 1H, NH-CO), 11.57 (s, 1H, =N-NH-SO2) ppm; MS (FAB+) m/z (%): 430 (MH+, 86), 55 (100); IR (KBr): ν 3339, 3221, 1652, 1580, 1520, 1410, 1320, 1167, 1049, 957, 830, 748, 665, 549 cm-1; Anal. calc. for C24H19N3O3S×3/5H20: C 62.73, H 4.40, N 9.14%. Found C 62.71, H 4.27, N 9.18 %.
N-(4-{[2-(2-Naphthylsulfonyl)hydrazono]methyl}phenyl)-3,5-dinitrobenzamide (11b). Yield 72%; yellow solid; recrystallized from Et2O; m.p. 220-222 °C; 1H-NMR: δ 7.61-7.84 (AA’BB’, J = 8.0 Hz, Δν = 64.0 Hz, 4H, Ar-H), 7.70 (m, 2H, Ar-H), 7.91-7.93 (m, 2H, Ar-H), 8.03 (d, 1H, J = 8.0 Hz, Ar-H), 8.15 (m, 1H, Ar-H), 8.23 (d, 1H, J = 8.0 Hz, Ar-H), 8.58 (s, 1H, CH=N-NH), 9.00 (t, 1H, J = 2.0 Hz, Ar-H), 9.15 (m, 2H, Ar-H), 10.95 (s, 1H, NH-CO), 11.55 (s, 1H, =N-NH-SO2) ppm; 13C-NMR DEPT 135: 146.4, 128.9, 128.9, 128.6, 128.1, 127.7, 127.5, 127.3, 127.1, 122.3, 120.8, 120.2 ppm; MS (FAB+) m/z (%): 520 (MH+, 64), 154 (100); IR (KBr): ν 3329, 1674, 1531, 1411, 1341, 1164, 832, 717 cm-1; Anal. calc. for C24H17N5O7S×1/3H2O: C 54.85, H 3.39, N 13.33%. Found: C 54.85, H 3.46, N 13.02%.
4-Cyano- N-(4-{[2-(2-naphthylsulfonyl)hydrazono]methyl}phenyl)benzamide (11c). Yield 30%; yellow solid; recrystallized from Et2O; m.p. 201-204 °C; 1H-NMR: δ 7.55 – 7.81 (AA’BB’, J = 9.0 Hz, Δν = 70.0 Hz, 4H, Ar-H) 7.65-7.74 (m, 2H, Ar-H), 7.89-7.92 (m, 2H, Ar-H), 8.00-8.16 (m, 6H, Ar-H), 8.21-8.24 (m, 1H, Ar-H), 8.58 (s, 1H, CH=N-NH), 10.60 (s, 1H, NH-CO), 11.53 (s, 1H, =N-NH-SO2) ppm; MS (FAB+) m/z (%): 455 (MH+, 41), 154 (100); IR (KBr): ν 3342, 3097, 2229, 1654, 1608, 1526, 1414, 1324, 1164, 1054, 961, 637 cm-1; Anal. calc. for C25H18N4O3S×2/3 H2O: C 64.36, H 4.18, N 12.01 %. Found: C 64.17, H 4.06, N 11.85 %.
N-(4-{[2-(2-Naphthylsulfonyl)hydrazono]methyl}phenyl)-2-nitrobenzamide (11d). Yield 15%; yellow solid; recrystallized from ethanol; m.p. 218-220 °C. 1H-NMR: δ 7.55-7.58 (m, 2H, Ar-H), 7.67–7.78 (m, 6H, Ar-H), 7.85–7.92 (m, 3H, Ar-H), 8.02-8.24 (m, 4H, Ar-H), 8.58 (s, 1H, CH=N), 10.80 (s, 1H, NH-CO), 11.51 (s, 1H, =N-NH-SO2) ppm; 13C-NMR DEPT 135: 146.6, 133.8, 130.7, 128.9, 128.8, 128.6, 128.0, 127.5, 127.3, 127.2, 123.9, 122.3, 119.2 ppm; MS (FAB+) m/z (%): 475 (MH+, 65), 154 (100); IR (KBr): ν 3334, 3090, 1658, 1524, 1326, 1164, 961, 744, 658 cm-1; Anal. calc. for C24H18N4O5S: C 60.75, H 3.82, N 11.81%. Found: C 60.99, H 3.86, N 11.89%.
N-(4-{[2-(2-Naphthylsulfonyl)hydrazono]methyl}phenyl)-4-nitrobenzamide (11e). Yield 24%; yellow solid; recrystallized from ethanol-water; m.p. 244-247 °C; 1H-NMR: δ 7.58-7.80 (AA’BB’, J = 9.0 Hz, Δν = 70.0 , 4H, Ar-H), 7.69 (m, 2H, Ar-H), 7.91 (m, 2H, Ar-H), 8.03 (m, 1H, Ar-H), 8.13–8.24 (m, 4H, Ar-H), 8.36 (m, 2H, Ar-H), 8.59 (s, 1H, CH=N), 10.68 (s, 1H, NH-CO), 11.54 (s, 1H, =N-NH-SO2) ppm; 13C-NMR: 163.9, 149.1, 146.8, 140.2, 140.2, 136.0, 134.2, 131.6, 129.4, 129.2, 129.1, 129.1, 128.9, 128.3, 127.7, 127.5, 127.3, 123.4, 122.5, 120.2 ppm; MS (FAB+) m/z (%): 475 (MH+, 53), 154 (100); IR (KBr): ν 3338, 3080, 1659, 1601, 1525, 1323, 1162, 1055, 829, 689 cm-1; Anal. calc. for C24H18N4O5S: C 60.75, H 3.82, N 11.81%. Found: C 60.23, H 3.96, N 11.46%.
3-Bromo-N-(4-{[2-(2-naphthylsulfonyl)hydrazono]methyl}phenyl)benzamide (11f). Yield 20%; yellow solid; recrystallized from Et2O; m.p. 227-230 °C; 1H-NMR: δ 7.38–7.55 (m, 5H, Ar-H), 7.66–7.73 (m, 5H, Ar-H), 7.89 (m, 2H, Ar-H), 8.02 (d, 1H, J = 8.0 Hz, Ar-H), 8.13 (m, 1H, Ar-H), 8.21 (d, 1H, J = 8.0 Hz, Ar-H), 8.57 (s, 1H, CH=N), 10,61 (s, 1H, NH-CO), 11.48 (s, 1H, =N-NH-SO2) ppm; 13C-NMR: δ 118.8, 119.4, 122.5, 127.4, 127.5, 127.6, 127.6, 127.7, 127.8, 128.3, 128.7, 128.9, 128.9, 129.0, 129.1, 129.2, 131.1, 131.6, 132.6, 132.6, 134.2, 136.0, 138.8, 140.4, 146.9, 165.8 ppm; MS (FAB+) m/z (%): 508/510 (MH+, 63), 69 (100); IR (KBr): ν 3363, 3160, 1650, 1526, 1332, 1163, 962, 818, 744, 571 cm-1; Anal. calc. for C24H18BrN3O3S: C 56.70, H 3.57, N 8.27%. Calc: C 56.94, H 3.69, N 8.42%.
2-Bromo-N-(4-{[2-(2-naphthylsulfonyl)hydrazono]methyl}phenyl)benzamide (11g). Yield 38%; yellow solid; recrystallized from Et2O; m.p. 197-200 °C; 1H-NMR: δ 7.52 (m, 3H, Ar-H), 7.70 (m, 2H, Ar-H), 7.79 (m, 3H, Ar-H), 7.89 – 7.95 (m, 2H, Ar-H), 7.91 (s, 1H, CH=N-NH), 8.03 (d, 1H, J = 8.0 Hz, Ar-H), 8.12 – 8.16 (m, 2H, Ar-H), 8.23 (d, 1H, J = 8.0 Hz, Ar-H), 8.58 (s, 1H, CH=N), 10.45 (s, 1H, NH-CO), 11.50 (s, 1H, =N-NH-SO2) ppm; MS (FAB+) m/z (%): 508/510 (MH+, 86), 57 (100); IR (KBr): ν 3207, 1664, 1588, 1521, 1410, 1322, 1165, 1044, 959, 859, 745, 661 cm-1; Anal calc. for C24H18BrN3O3S: C 56.70, H 3.57, N 8.27 %. Found: C 57.04, H 3.77, N 7.80 %.
N-(4-{[2-(2-Naphthylsulfonyl)hydrazono]methyl}phenyl)-2-naphthamide (11h). Yield 52%; yellow solid; recrystallized from Et2O; m.p. 224-227 °C; 1H-NMR: δ 7.55 (m, 2H, Ar-H), 7.62–7.71 (m, 4H, Ar-H), 7.85–7.93 (m, 3H, Ar-H), 7.93 (s, 1H, Ar-H), 8.00–8.15 (m, 6H, Ar-H), 8.22 (m, 1H, Ar-H), 8.58 (s, 1H, CH=N), 10.58 (s, 1H, NH-CO), 11.58 (s, 1H, =N-NH-SO2) ppm; 13C-NMR DEPT 135: 184.2, 166.5, 166.4, 166.4, 166.2, 165.6, 165.6, 165.4, 165.2, 165.1, 165.0, 164.8, 164.5, 164.0, 161.6, 159.9, 157.4 ppm; MS (FAB+) m/z (%): 480 (MH+, 71), 154 (100); IR (KBr): ν 3361, 3055, 1650, 1520, 1321, 1162, 964, 819, 661 cm-1; Anal. calc. for C28H21N3O3S: C 70.13, H 4.41, N 8.76%. Found: C 70.23, H 4.21, N 8.90%.
N-(2-{[2-(2-Naphthylsulfonyl)hydrazono]methyl}phenyl)-3,5-dinitrobenzamide (11i). Yield 84%; yellow solid; crystallized from ethyl acetate; m.p. 214-217 °C; 1H-NMR: δ 7.30 (dd, 1H, J1 = J2 = 7.5 Hz, Ar-H), 7.47 (dd, 1H, J1 = J2 = 7.5 Hz, Ar-H), 7.62 – 7.78 (m, 5H, Ar-H), 7.99 – 8.10 (m, 4H, Ar-H), 8.33 (s, 1H, CH=N), 9.02 (t, 1H, J = 2.0 Hz, Ar-H), 9.07-9.07 (m, 2H, Ar-H), 11.19 (s, 1H, NH-CO), 11.74 (s, 1H, =N-NH-SO2) ppm; MS (FAB+) m/z (%): 520 (MH+, 58), 154 (100); IR (KBr): ν 3239, 3099, 1666, 1582, 1532, 1432, 1349, 1162, 961, 724, 662 cm-1; Anal. calc. for C24H17N5O7S×1/3H2O: C 54.85, H 3.39, N 13.33%. Found: C 54.85, H 3.46; N 13.02%.
N-(2-{[2-(2-Naphthylsulfonyl)hydrazono]methyl}phenyl)-4-nitrobenzamide (11j). Yield 46%; m.p. 195-198 °C; 1H-NMR: δ 7.30 (m, 1H, Ar-H), 7.47 (m, 1H, Ar-H), 7.62 – 7.78 (m, 5H, Ar-H), 7.99 (m, 1H, Ar-H), 8,08 (m, 2H, Ar-H), 8.10 (s, 1H, Ar-H,), 8.33 (s, 1H, CH=N), 9.05 (dd, 3H, J1 = 12.5 Hz, J2 = 2.0 Hz, Ar-H), 11.19 (s, 1H, NH-CO), 11.74 (s, 1H, =N-NH-SO2) ppm; MS (FAB+) m/z (%): 475 (MH+, 32), 154 (100); IR (KBr): ν 3314, 2973, 1657, 1553, 1507, 1409, 1362, 1147, 958, 729 cm-1; Anal. calc. for C24H18N4O5S×1/2H2O: C 59.62, H 3.96, N 11.59%. Found: C 59.47, H 4.13; N 11.48%.
2-{[2-(Naphthalen-2-ylsulfonyl)hydrazono]methyl}phenyl 2-(benzo[d][1,3]dioxol-5-yl)acetate (14). Yield 90%; yellow solid; Rf = 0.10 (hexane-ethyl acetate = 4:1); m.p. 175-176 °C; 1H-NMR: δ 3.93 (s, 2H, CH2-COO), 6.01 (s, 2H, O-CH2-O), 6.78-6.91 (m, 2H, Ar-H), 6.92-6.95 (m, 1H, Ar-H), 7.08-7.15 (m, 1H, Ar-H), 7.23-7.31 (m, 1H, Ar-H), 7.37-7.45 (m, 1H, Ar-H), 7.60-7.75 (m, 3H, Ar-H), 7.84-7.90 (m, 1H, Ar-H), 7.07 (s, 1H, Ar-H), 8.00-8.06 (m, 1H, Ar-H), 8.10-8.20 (m, 2H, Ar-H), 8.53 (s, 1H, Ar-CH=), 11.70 (s, 1H, SO2NHN=) ppm; 13C-NMR: δ 170.0, 148.5, 147.2, 146.2, 142.6, 135.9, 134.3, 131.6, 131.0, 129.2, 129.1, 128.9, 128.3, 127.7, 127.5, 127.2, 127.0, 126.3, 125.7, 123.2, 122.7, 122.3, 109.9, 108.0, 100.8 ppm; MS (FAB+) m/z (%): 489 (MH+, 3), 154 (100); IR (KBr): ν 3427.2, 3213.5, 1755.3, 1506.5, 1505.4, 1450.3, 1333.9, 1257.4, 1131.2, 1042.0, 933.8, 820.0, 660.9 cm-1; Anal. calc. for C26H20N2O6S: C 63.93, H 4.13, N, 5.73. Found: C 62.62, H 4.20, N 5.79.
Enzyme assays
The compounds were tested for their ability to inhibit the addition of L-Ala (D-Glu) to UDP-MurNAc (UDP-MurNAc-L-Ala) catalyzed by MurC (MurD) from E. coli [23,24]. Detection of orthophosphate generated during the reaction was based on the colorimetric Malachite green method as described elsewhere [25], with slight modification. Mixtures (final volume: 50 μL) contained 50 mM Hepes, pH 8.0, 3.25 mM MgCl2, 120 μM UDP-MurNAc (80 μM UDP-MurNAc-L-Ala), 120 μM L-Ala (100 μM D-Glu), 450 μM ATP (400 μM ATP), purified MurC (MurD) (diluted with 20 mM Hepes, pH 7.2, 1 mM dithiothreitol) and 100 µM of tested compound dissolved in DMSO. In all cases, the final concentration of DMSO was 5% (v/v). Compounds that were not soluble in the enzyme assay mixture were tested in concentrations lower than 100 µM. The reaction mixtures were incubated at 37°C for 15 min, then quenched with Biomol® reagent (100 µL) and the absorbance at 650 nm measured after 5 min. The residual activity was calculated with respect to a similar assay with DMSO and without inhibitor. IC50 constants were determined by measuring residual activity at seven different inhibitor concentrations; values ± standard deviations at 95% of confidence were calculated from the fitted regression equations using the logit-log plot.
Acknowledgements
This work was supported by the European Union FP6 Integrated Project EUR-INTAFAR (Project No. LSHM-CT-2004-512138) under the thematic priority of Life Sciences, Genomics and Biotechnology for Health. The support from the Ministry of Higher Education, Science and Technology of the Republic of Slovenia and the Slovenian Research Agency is also acknowledged. We also thank Professor R. Pain for reading the manuscript.
References
- Hiramatsu, K.; Okuma, K.; Ma, X.X.; Yamamoto, M.; Hori, S.; Kapi, M. New trends in Staphylococcus aureus infections: glycopeptide resistance in hospital and methicillin resistance in the community. Curr. Opin. Infect. Dis. 2002, 15, 407–413. [Google Scholar] [CrossRef] [PubMed]
- Herrero, I.A.; Issa, N.C; Patel, R. Nosocomial spread of linezolid-resistant, vancomycin-resistant Enterococcus faecium. N. Engl. J. Med. 2002, 346, 867–869. [Google Scholar]
- Jana, S.; Deb, J.K. Molecular targets for design of novel inhibitors to circumvent aminoglycoside resistance. Curr. Drug Targ. 2005, 6, 353–361. [Google Scholar] [CrossRef]
- van Heijenoort, J. Recent advances in the formation of the bacterial peptidoglycan monomer unit. Nat. Prod. Rep. 2001, 18, 503–519. [Google Scholar] [CrossRef] [PubMed]
- El Zoeiby, A.; Sanschagrin, F.; Levesque, R.C. Structure and function of the Mur enzymes: development of novel inhibitors. Mol. Microbiol. 2003, 47, 1–12. [Google Scholar] [CrossRef] [PubMed]
- Mengin-Lecreulx, D.; Flouret, B.; van Heijenoort, J. Cytoplasmic steps of peptidoglycan synthesis in Escherichia coli. J. Bacteriol. 1982, 151, 1109–1117. [Google Scholar] [PubMed]
- Sim, M.M.; Ng, S.B.; Buss, A.D.; Crasta, S.C.; Goh, K.L.; Lee, S.K. Benzylidene rhodanines as novel inhibitors of UDP-N-acetylmuramate/L-alanine ligase. Bioorg. Med. Chem. Lett. 2002, 12, 697–699. [Google Scholar] [CrossRef] [PubMed]
- Cukurovali, A.; Yilmaz, I.; Gur, S.; Kazaz, C. Synthesis, antibacterial and antifungal activity of some new thiazolylhydrazone derivatives containing 3-substituted cyclobutane ring. Eur. J. Med. Chem. 2006, 41, 201–207. [Google Scholar] [CrossRef] [PubMed]
- Ersan, S.; Nacak, S.; Berkem, R. Synthesis and antimicrobial activity of N-[(alpha-methyl)benzylidene]-(3-substituted-1,2,4-triazol-5-yl-thio) acetohydrazides. Farmaco 1998, 53, 773–776. [Google Scholar] [CrossRef] [PubMed]
- El-Gaby, M.S.A.; Atalla, A.A.; Gaber, A.M.; Abd Al-Wahab, K.A. Studies on aminopyrazoles: antibacterial activity of some novel pyrazoles. Farmaco 2000, 55, 596–602. [Google Scholar]
- Rollas, S.; Gulerman, N.; Erdeniz, H. Synthesis and antimicrobial activity of some new hydrazones of 4-fluorobenzoic acid hydrazide and 3-acetyl-2,5-disubstituted-1,3,4-oxadiazolines. Farmaco 2002, 57, 171–174. [Google Scholar]
- Vicini, P.; Zani, F..; Cozzini, P; Doytchinova, I. Hydrazones of 1,2-benzisothiazole hydrazides: synthesis, antimicrobial activity and QSAR investigations. Eur. J. Med. Chem. 2002, 37, 553–564. [Google Scholar]
- Islam, A.M.; Abdel-Halim, A.M.; Salama, M.A. Synthesis of some naphthalene sulfonohydrazides and related compounds of potential biological activity. Egypt. J. Chem. 1987, 29, 405–431. [Google Scholar]
- Guibé-Jampel, E.; Wakselman, M. p-Nitrobenzyl side-chain protection for solid-phase synthesis. Synth. Commun. 1982, 12, 219–223. [Google Scholar] [CrossRef]
- Wu, X.; Hu, L. Amide bond formation from selenocarboxylates and aromatic azides. Tetrahedron Lett. 2005, 46, 8401–8405. [Google Scholar] [CrossRef]
- Folkes, A.; Roe, M.B.; Sohal, S.; Golec, J.; Faint, R.; Brooks, T.; Charlton, P. Synthesis and in vitro evaluation of a series of diketopiperazine inhibitors of plasminogen activator inhibitor-1. Bioorg. Med. Chem. Lett. 2001, 11, 2589–2592. [Google Scholar] [CrossRef] [PubMed]
- Feng, B.Y.; Shelat, A.; Doman, T.N.; Guy, R.K.; Shoichet, B.K. High-throughput assays for promiscuous inhibitors. Nat. Chem. Biol. 2005, 1, 146–148. [Google Scholar] [PubMed]
- Wagner, G.; Eppner, B. Synthesis of 2-(4-amidinophenyl)-benzofuran,-benzoxazole and benzothiazole as well as of 2-(4-amidinobenzyl)benzoxazole. Pharmazie 1980, 35, 285–288. [Google Scholar]
- Mukkala, V.M.; Helenius, M.; Hemmila, I.; Kankare, J.; Takalo, H. Development of luminescent europium(III) and terbium(III) chelates of 2,2':6',2''-terpyridine derivatives for protein labeling. Helv. Chim. Acta 1993, 76, 1361–1378. [Google Scholar] [CrossRef]
- Sanders, G.M.; Van Dijk, M.; Van Veldhuizen, A.; Van der Plas, H.C.; Hofstra, U.; Schaafsma, T.J. Studies on the conformation of 5,15-diarylporphyrins with (arylsulfonyl)oxy substituents. J. Org. Chem. 1988, 53, 5272–5281. [Google Scholar]
- Morgenstern, O.; Richter, P. Synthesis and reactivity of 3-methyl-2-thioxo-1,2-dihydro-3H-1,3,4-benzotriazepine. Wissen. Z. Ernst-Moritz-Arndt-Univ. Greifswald, Math.-Nat. 1988, 37, 34–37. [Google Scholar]
- Flamigni, L.; Ventura, B.; Tasior, M.; Gryko, D.T. Photophysical properties of a new, stable corrole-porphyrin dyad. Inorg. Chim. Acta 2007, 360, 803–813. [Google Scholar] [CrossRef]
- Liger, D.; Masson, A.; Blanot, D.; van Heijenoort, J.; Parquet, C. Over-production, purification and properties of the uridine-diphosphate-N-acetylmuramate:L-alanine ligase from Escherichia coli. Eur. J. Biochem. 1995, 230, 80–87. [Google Scholar] [CrossRef] [PubMed]
- Auger, G.; Martin, L.; Bertrand, J.; Ferrari, P.; Fanchon, E.; Vaganay, S.; Pétillot, Y.; van Heijenoort, J.; Blanot, D.; Dideberg, O. Large-scale preparation, purification, and crystallization of UDP-N-acetylmuramoyl-L-alanine: D-glutamate ligase from Escherichia coli. Prot. Express. Purif. 1998, 13, 23–29. [Google Scholar] [CrossRef]
- Lanzetta, P.A.; Alvarez, L.J.; Reinach, P.S.; Candia, O. An improved assay for nanomole amounts of inorganic phosphate. Anal. Biochem. 1979, 100, 95–97. [Google Scholar] [CrossRef] [PubMed]
- Sample Availability: Contact the authors.
© 2008 by MDPI (http://www.mdpi.org). Reproduction is permitted for noncommercial purposes.













