Abstract
2-Oxo-4-phenyl-1,2,5,6,7,8-hexahydroquinoline-3-carbonitrile (10) reacted with hydrazine hydrate, phenylisothiocyanate or benzoyl chloride to give derivatives 12, 13 and 15, respectively. The latter two products were treated with hydrazine hydrate to afford pyrozole[3,4-b]quinolines derivatives 14 and 16, respectively. Compound 10 also reacted with acetonitrile dimer or malononitrile dimer to yield benzo[b][1,8]-naphthyridine derivatives. A single crystal X-ray crystallographic analysis was performed on compound 10, confirming its structure.
Introduction
Tetrahydroquinolines are important building blocks in synthetic heterocyclic chemistry and their use in the preparation of pyrazolo[3,4-b]quinolines and benzo[b][1,8]naphthyridines derivatives has been reported recently [1,2,3,4,5,6]. Pyrazolo[3,4-b]quinoline derivatives are used as pharmaceutical agents and as inhibitors of oncogenic Ras [7,8]. Interesting pharmacological properties have also been associated with benzo[b][1,8]naphthyridine derivatives, which posses antitumor, trypanocidal and DNA binding properties [9,10] and are antimicrobial agents [11]. In continuation of this work, we report herein a synthesis of pyrazolo[3,4-b]quinoline and benzo[b][1,8]naphthyridine derivatives utilizing the hexahydroquinoline 10 as starting material.
Results and Discussion
Treatment of cyclohexanone 1 with the α,β-unsaturated nitrile derivative 2 in the presence of ammonium acetate afforded 2-oxo-4-phenyl-1,2,5,6,7,8-hexahydroquinoline-3-carbonitrile (10). The structure of 10 was assigned on the basis of its elemental analyses and x-ray crystal structure (Scheme 1, Figure 1 and Table 1).
Scheme 1.
Scheme 1.

Figure 1.
ORTEP diagram of compound 10.
Figure 1.
ORTEP diagram of compound 10.

Table 1.
Crystal data and structure refinement for compound 10.
| Empirical formula | C16H14N2O |
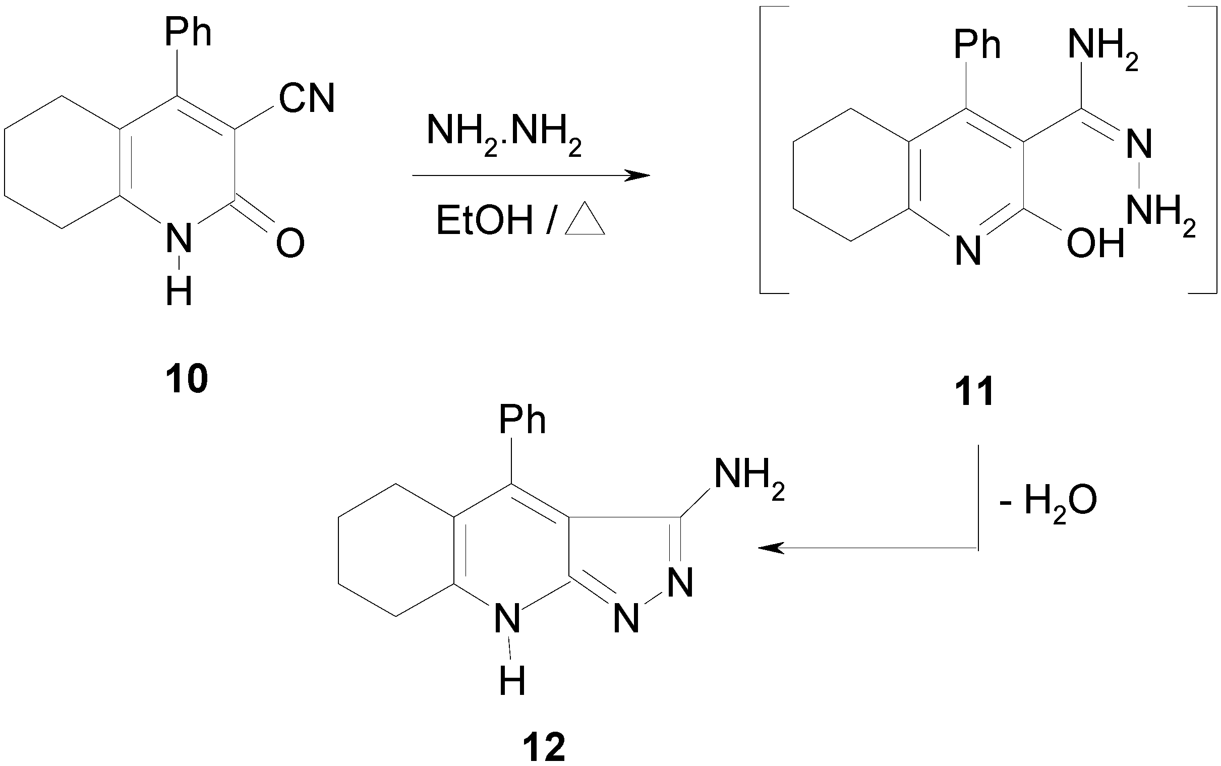
Compound 10 reacted with hydrazine hydrate in absolute ethanol to afford pyrazolo[3,4-b]quinoline derivative 12 through elimination of a water molecule from intermediate 11 (Scheme 2).
Scheme 2.
Scheme 2.

When the hexahydroquinoline 10 was treated with phenylisothiocyanate, it afforded a single product 13 (Scheme 3).
Scheme 3.
Scheme 3.

Treatment of a suspension of the latter product with hydrazine hydrate, under reflux, afforded 3-amino-N,4-diphenyl-5,6,7,8-tetrahydropyrazolo[3,4-b]quinolin-9-carbothioamide (14). An alternative method for preparing compound 14 involves treating compound 12 with phenyl isothiocyanate under similar conditions. Similarly, when compound 10 was treated with benzoyl chloride, it afforded hexahydroquinaline derivative 15. Treatment of 15 with hydrazine hydrate, under reflux, afforded 3-amino-5,6,7,8-tetrahydro-4-phenyl-pyrazolo[3,4-b]quinoline-9-yl)(phenyl)methanone (16), which can also be obtained by an independent method through treatment of compound 12 with benzoyl chloride (Scheme 3). Compound 10 reacted phenylthiosemicarbazide 17 [12] in absolute ethanol/sodium ethoxide to afford 3-amino-5,6,7,8-tetrahydro-N,4-diphenylpyrazolo[3,4-b]quinoline-1-carbothioamide (19) via the cyclodehydration of intermediate 18 (Scheme 4).
Scheme 4.
Scheme 4.

Compound 10 reacted with urea or thiourea in absolute ethanol/sodium ethoxide for 5h to afford 4-amino-5-phenyl-6,7,8,9-tetrahydropyrimido[4,5-b]quinolin-2(1H)one / -2(1H)thiones 22a,b through the intermediate 21 via the elimination of a water molecule (Scheme 5).
Scheme 5.
Scheme 5.

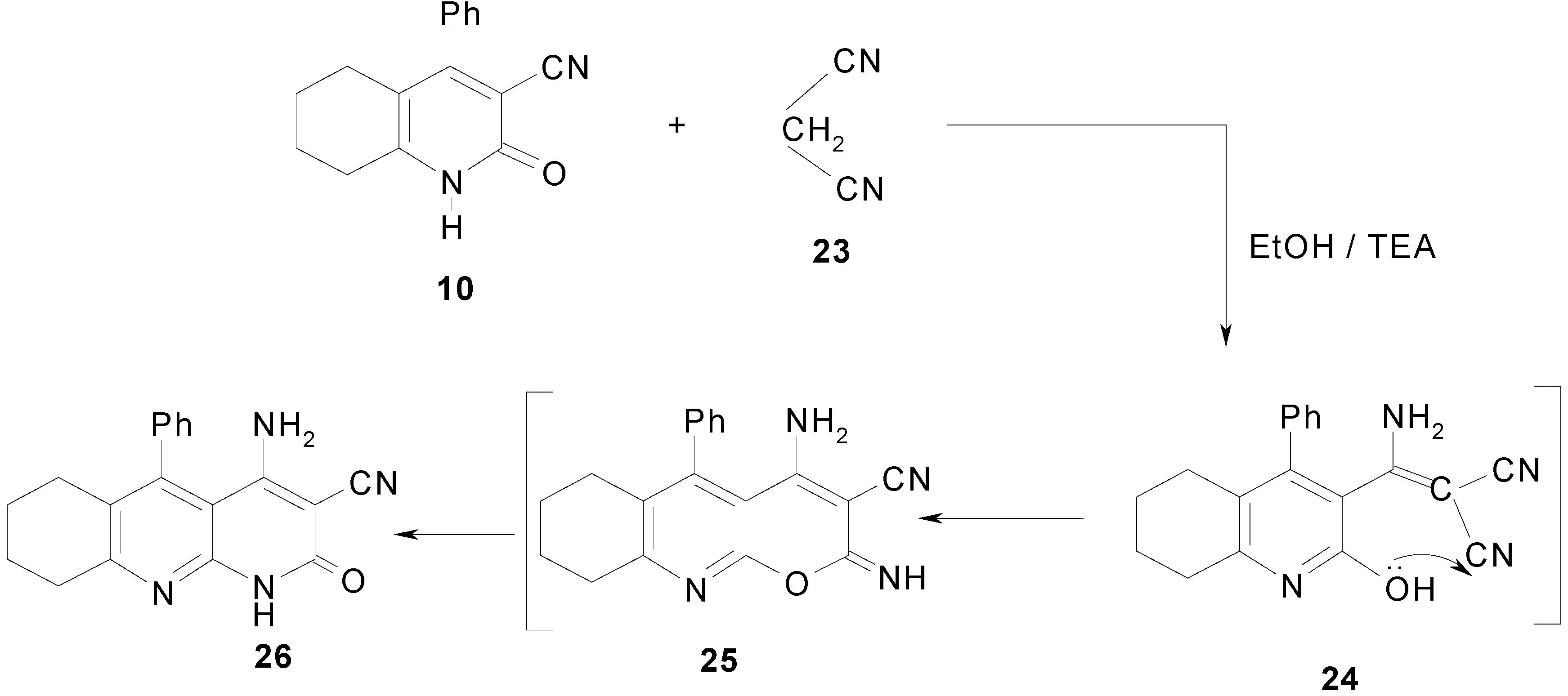
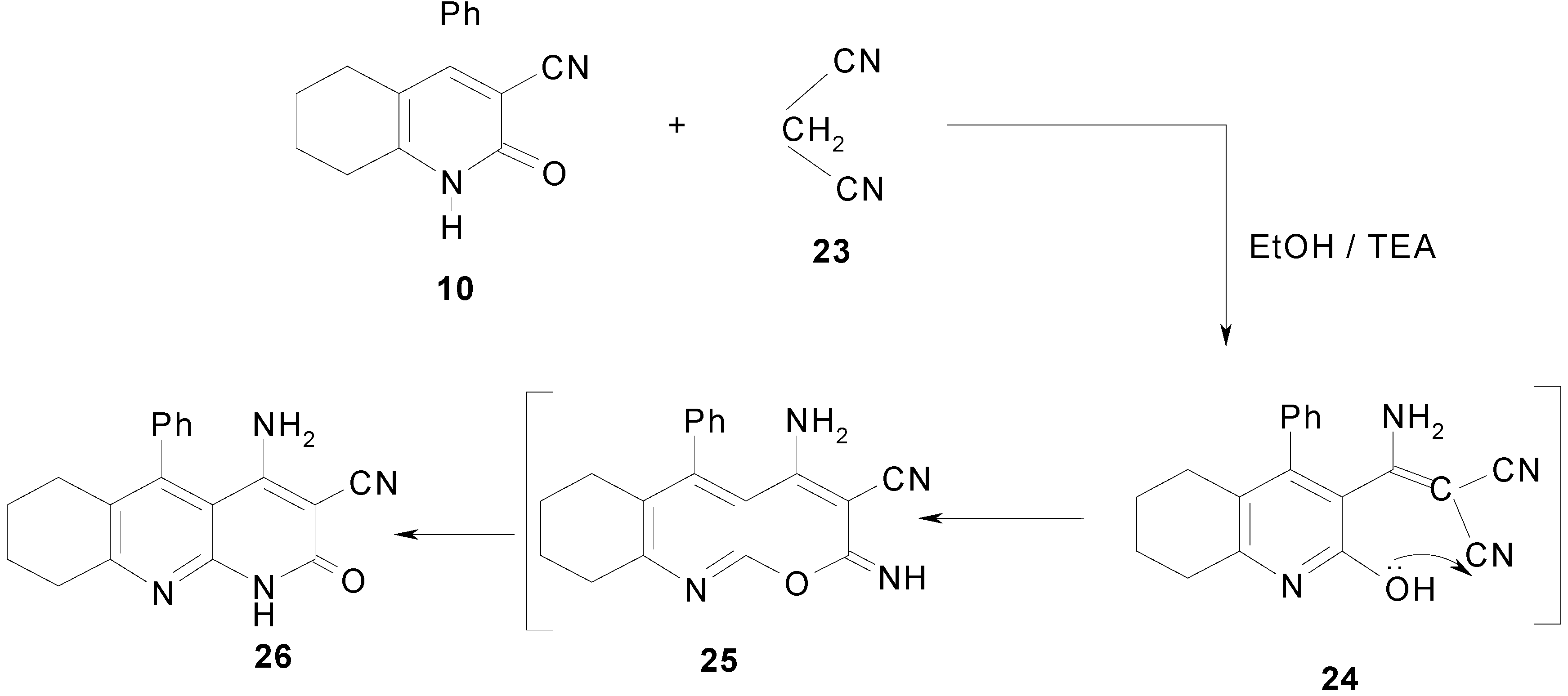
In addition, compound 10 was refluxed with malononitrile to afford 4-aminobenzo[b]-[1,8]napthyridine-3-carbonitrile (26) via the intermediates 24 and 25, as confirmed by elemental analysis, 1H- and 13C-NMR (Scheme 6).
Scheme 6.
Scheme 6.

Hexahydroquinoline derivative 10 reacted with acetonitrile dimer (3-iminobutanenitrile) or malononitrile dimer (2-aminoprop-1-ene-1,1,3-tricarbonitrile) to afford 4-amino-benzo[b][1,8] napthyridinecarbonitrile derivatives 29 and 32. These reactions proceed by addition of the active methylene group to the cyano group to give the intermediate 28 and 31, which undergo cyclization via the elimination of a water molecule. The structures of the isolated product were confirmed by elemental and spectral analyses.
Scheme 7.
Scheme 7.

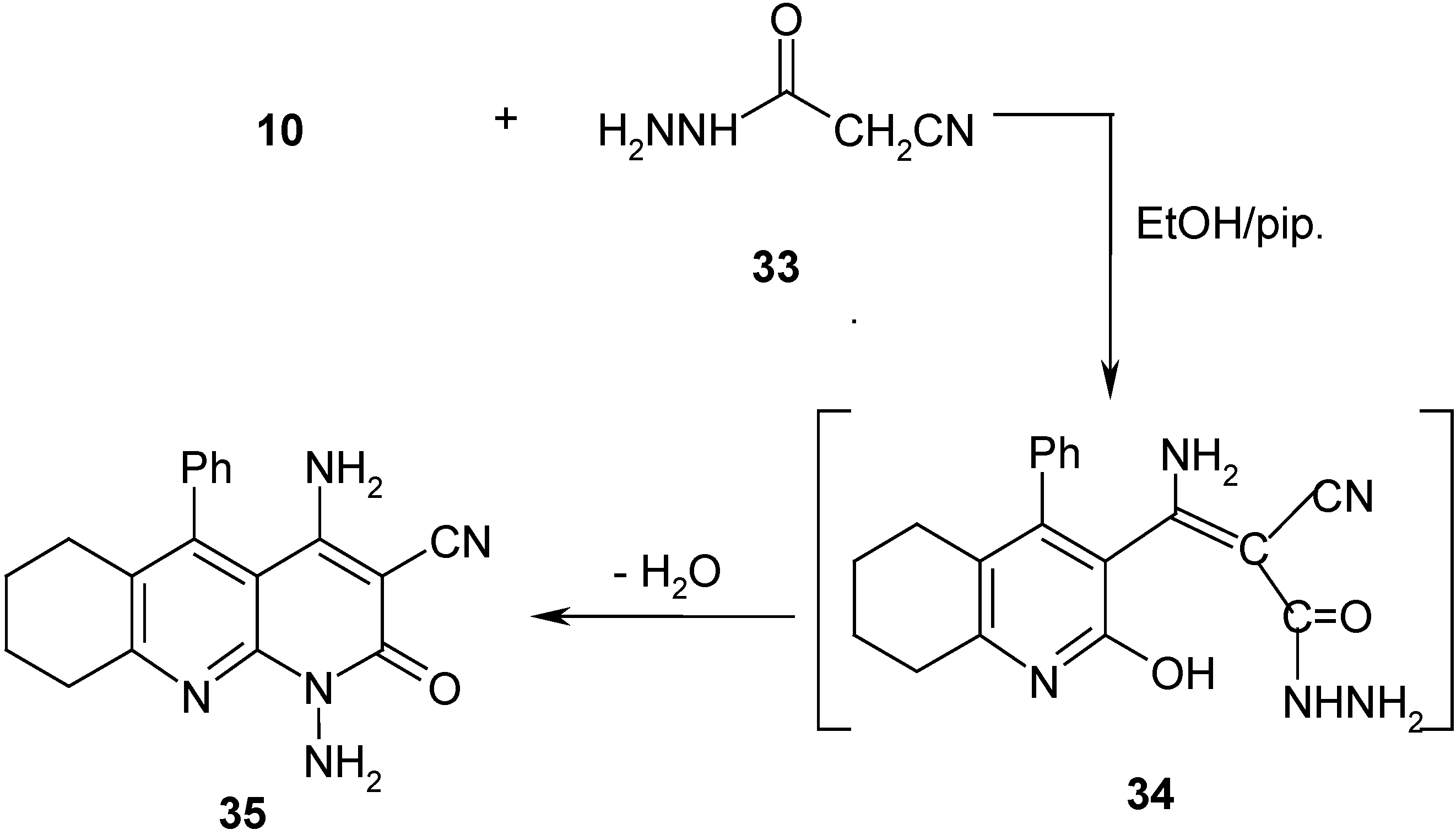
The target ring system 35 was synthesized by reaction of 10 with cyanoacetohydrazide 33 through the intermediate 34 via elimination of a water molecule (Scheme 8).
Scheme 8.
Scheme 8.

Experimental
General
All melting points are uncorrected. Elemental analyses were carried out in the Microanalytical Center, Cairo University, Giza, Egypt. IR spectra (KBr) were recorded on Pye Unicam SP 1200 Spectrophotometer. 1H-NMR spectra were recorded in CDCl3 or DMSO-d6 on a 90 MHz Varian NMR Spectrometer using TMS as an internal standard and chemical shifts are expressed as δ ppm units. The homogeneity of all compounds synthesized was checked by TLC on 2.0 cm x 6.0 cm aluminum sheets recoated with silica gel 60 containing a fluorescent indicator, to a thickness of 0.25μm. Characterization data of the various compounds prepared are given in Table 2 and Table 3.
2-Oxo-4-phenyl-1,2 ,5,6,7,8-hexarahydroquinoline–3–carbonitrile (10).
A solution of cyclohexanone (1, 0.01 mol) in absolute ethanol (30 mL) containing excess ammonium acetate and the arylidene derivative 2 (0.01 mol) was heated under reflux for 3-5 h. The solid material which separated during heating was collected by filtration and recrystallized from ethanol to yield the hexahydroquinoline derivative 10.
5,6,7,8-Tetrahydro-4-phenyl-1H-pyrazolo[3,4-b]quinolin-3-amine (12)
A mixture of 10 (0.005 mol) and hydrazine hydrate (0.005 mol) in absolute ethanol (30 mL) was refluxed for 4 h. and the reaction mixture was left at room temperature overnight and then poured into ice/cold water to complete precipitation. The product was filtered off and recrystallized from dry benzene to give compound 12.
3-Cyano-5,6,7,8-tetrahydro-2-oxo-N,4-diphenylquinoline-1(2H)-carbothioamide (13)
A mixture of 10 (0.005 mol) and phenylisothiocyanate (0.005 mol) in dimethylformamide containing a catalytic amount of triethylamine (4 drops) was refluxed for 5 h. and then left to cool to room temperature. The reaction mixture was poured into cold water for complete precipitation, then the solids were filtered off, washed with water, dried well and recrystallized from aqueous methanol to give compound 13.
3-Amino-N,4-diphenyl-5,6,7,8-tetrahydro-pyrazolo[3,4-b]quinolin-9-carbothioamide (14)
A mixture of 13 (0.01 mol) and hydrazine hydrate (0.01 mol) in absolute ethanol (30 mL) was refluxed for 3 h. and the reaction mixture was left at room temperature overnight and then poured into ice/cold water to complete precipitation. The product was filtered off and recrystallized from dry benzene to give compound 14.
(3-Cyano-5,6,7,8-tetrahydro-2-oxo-4-phenylquinoline)(phenyl)methanone (15)
Benzoyl chloride (0.01 mol) was added to a solution of 10 (0.01 mol) in dry pyridine (30 mL) and the mixture was refluxed on a water bath for 5 h., then left to cool to room temperature and poured into ice cold water and neutralized by diluted hydrochloric acid for complete precipitation. The separated material was collected by filtration, washed with water, dried well and recrystallized from acetic acid to yield compound 15.
(3-Amino-5,6,7,8-tetrahydro-4-phenylpyrazolo[3,4-b]quinoline-9-yl)(phenyl)methanone (16)
A mixture of 15 (0.01 mol) and hydrazine hydrate (0.01 mol) in absolute ethanol (30 mL) was refluxed for 3 h. and the reaction mixture was left at room temperature overnight and then poured into ice/cold water to complete precipitation. The product was filtered off and recrystallized from dry benzene to give compound 16.
General procedure for the synthesis of 3–amino–5,6,7,8-tetrahydro-N,4-diphenylpyrazolo[3,4-b]-quinolin-1-carbothioamide (19), 4-amino-6,7,8,9-tetrahydro-5-phenylpyrimido[4,5-b]quinolin-2(1H)-one (22a) and 4-amino-6,7,8,9-tetrahydro-5-phenylpyrimido[4,5-b]quinolin-2(1H)thione (22b).
A mixture of 10 (0.005 mol) and phenylthiosemicarbazide (0.005 mol), urea (0.005 mol) or thiourea (0.005 mol) in absolute ethanol (20 mL) containing sodium ethoxide (0.005 mol) was refluxed for 6 h. The reaction mixture was left to cool to room temperature, then poured into ice cold water (50 mL) and neutralized with dilute hydrochloric acid; the separated material was filtered off and recrystallized from ethanol to give compounds 19, 22a or 22b.
4-Amino-1,2,6,7,8,9-hexahydro-2-oxo-5-phenyl-benzo[b][1,8]naphthyridin-3-carbonitrile (26).
To a solution of 10 (0.005 mol) in absolute ethanol (30 mL), triethylamine(5 mL) malononitrile (0.005 mol) was added and the reaction mixture was refluxed for 6 h., then left to cool to room temperature, poured into cold water and neutralized with diluted hydrochloric acid to complete precipitation. The solid obtained was filtered off, washed with water, dried well and recrystallized from methanol to give compound 26.
General procedure for the synthesis of 4-amino-6,7,8,9-tetrahydro-2-methyl-5-phenylbenzo[b][1,8]- naphthyridin-3-carbonitrile (29) and 4-amino-2-(dicyanomethylene)-1,2,6,7,8,9-hexahydro-5-phenyl-benzo[b][1,8] naphthyridin-3-carbonitrile (32).
An equimolar mixture of 10 (0.005 mol) and acetonitrile dimmer (3-iminobutanenitrile, 27, 0.005 mol) or malononitrile dimer (2-aminoprop-1-ene-1,1,3-tricarbonitrile, 30, 0.005 mol) in absolute ethanol (30 mL) in the presence of a few drops of triethylamine (4 drops) was refluxed for 6 h. The reaction mixture was left to cool and poured into cold water for complete precipitation. The separated solid was filtered off, washed with water, dried well and recrystallized from ethanol to give compounds 29 or 32.
1,4-Diamino-1,2,6,7,8,9-hexahydro-2-oxo-5-phenylbenzo[b][1,8] naphthyridin-3-carbonitrile (35)
A few drops of pipridine were added to a solution of 10 (0.005 mol) and cynanoacetohydrazide (0.005 mol) in absolute ethanol (30 mL) and the reaction mixture was refluxed for 5 h., then left to cool. The product was filtered off, washed with water, dried well and recrystallized from ethanol to give compound 35.
Table 2.
Physical properties and elemental analyses of the new compounds.
| Compd. | M.P.°C | Formula(mw) | Analysis % Calcd. (Found) | ||||
|---|---|---|---|---|---|---|---|
| C | H | N | S | Cl | |||
| 10 | 275 | C16H14N2O(250.30) | 76.78(77.02) | 5.64(5.82) | 11.19(11.46) | – | – |
| 12 | 225 | C16H16N4 (264.33) | 72.70(73.00) | 6.10(6.46) | 21.20(21.49) | – | |
| 13 | 240 | C23H19N3SO(385.47) | 71.66(71.89) | 4.97(5.04) | 10.90(11.15) | 8.32(8.45) | – |
| 14 | 192 | C23H21N5S (399.50) | 69.14(69.39) | 5.29 (5.56) | 17.52 (17.70) | 8.02(8.34) | – |
| 15 | 216 | C23H18N2O2(354.41) | 77.95(78.24) | 5.12(5.47) | 7.90(8.04) | – | – |
| 16 | 290 | C23H20N4O(368.44) | 74.98(75.27) | 5.47(5.79) | 15.21(15.77) | – | – |
| 19 | 223 | C23H21N5S(399.50) | 69.15(69.44) | 5.30(5.43) | 17.53(17.81) | 8.03(8.32) | – |
Table 3.
IR , 1H- and 13C-NMR of the new compounds.
| Compd. | IR (cm-1) | 1H and 13C-NMR (δ, ppm) | |
|---|---|---|---|
| 10 | 3226 (NH), 2215 (CN), 1717 (CO). | 1.64-1.98 (m, 8H, 4CH2); 7.13-7.35 (m, 5H, Ar-H). 8.10 (s, 1H, NH). | |
X-ray crystallography [13]
X-ray quality crystals of the title compound 10 were obtained by slow crystallization from dimethyl sulfoxide. Experimental data is summarized in Table 1. The data were collected with the maXus computer programs on a Bruker Nonius instrument [14,15,16,17,18].
References
- Lichitsky, B. V.; Dudinov, A. A.; Krayushkin, M. M. Reaction of 3-aminocyclohex-2-en-1-ones with arylidenemalononitriles. Arkivoc 2001, 73–79. [Google Scholar]
- Chaczatrian, K.; Chaczatrian, G.; Danel, A.; Tomasik, P. The synthesis of 4-aryl-1H-pyrazolo[3,4-b]quinolines. Arkivoc 2001, 63–69. [Google Scholar]
- Nithyadevi, V.; Rajendran, S. P. An efficient synthesis of benzo[b][1,8]naphthyridine-3-carboxylic acid. J. Heterocycl. Chem. 2006, 43, 755–758. [Google Scholar] [CrossRef]
- Stadlbauer, W.; Hojas, G. Synthesis of 4-Azido-3-diazo-3H-pyrazolo[3, 4-b]quinolines. J. Chem. Soc. Perkin. Trans 1 2000, 3085–3087. [Google Scholar] [CrossRef]
- Elkholy, Y. M.; Morsy, M. A. Facial synthesis of 5,6,7,8-tetrahydropyrimido[4,5-b]quinoline derivatives. Molecules 2006, 11, 890–903. [Google Scholar] [CrossRef]
- Vijayalakshmi, S.; Ragunath, L.; Rajendran, S. P. A new approach to the synthesis of benzo[b][1,8]-naphthyridine-4(1H)ones. Heterocycl. Commun. 2001, 7, 177–182. [Google Scholar]
- El-Sayed, O. A.; Aboul-Enein, H. Y. Synthesis and antimicrobial activity of novel pyrazolo[3,4-b]quinoline derivatives. Arch. Pharm. (Weinheim) 2001, 334, 117–120. [Google Scholar]
- Wolin, R.; Wang, D.; Kelly, J.; Afonso, A.; James, L.; Kirschmeier, P.; Mcphail, A. T. Synthesis and evaluation of pyrazolo[3,4-b]quinoline ribofuranosides and their derivatives as inhibitors of Oncogenic Ras. Bioorg. Med. Chem. Lett. 1996, 6, 195–200. [Google Scholar] [CrossRef]
- Tsuzuki, Y.; Yomita, K.; Sato, Y. Synthesis and structure activity relationships of 3-substituted-1,4-dihydro-1,8-naphthyridine as novel antitumor agents. Bioorg. Med. Chem. Lett. 2004, 14, 12–16. [Google Scholar]
- Mefetah, H.; Brouant, P.; Charbit, J.; Galy, A.M.; Barbe, J. Synthesis, trypanocidal activity and DNA binding of new benzo[b][1,8]naphthyridine derivatives. Heterocycl. Commun. 1994, 1, 27–35. [Google Scholar]
- Antoine, M.; Barreau, M.; Descon, C.; Philippe, G.; Guy, P. Benzo[b][1,8]naphthyridine derivatives, their preparation and pharmaceutical compositions as antimicrobial agents. US Pat. 6548506 2003. [Google Scholar]
- Shuka, H. K.; Desia, N. C.; Astik, R. R.; Thaker, K. A. The uses of phenylthiosemecarbazide in heterocyclic syntheses. J. Indian Chem. Soc. 1984, 61, 168–175. [Google Scholar]
- .
- Mackay, S.; Gilmore, C. J.; Edwards, C.; Stewart, N.; Shankland, K. maXus Computer Program for the Solution and Refinement of Crystal Structures; Bruker Nonius: Delft, The Netherlands; Mac Science: Japan & The University of Glasgow, 1999. [Google Scholar]
- Johnson, C. K. ORTEP--II. A FORTRAN Thermal--Ellipsoid Plot Program.Report ORNL-5138; Oak Ridge National Laboratory: Oak Ridge, Tennessee, USA, 1976. [Google Scholar]
- Otwinowski, Z.; Minor, W. Methods in Enzymology; Carter, C. W., Jr., Sweet, R. M., Eds.; Academic Press: New York, 1997; Vol. 276; pp. 307–326. [Google Scholar]
- Altomare, A.; Cascarano, G.; Giacovazzo, C.; Guagliardi, A.; Burla, M. C.; Polidori, G.; Camalli, M. Pi-halogen dimer interactions and the inclusion chemistry of new tetrahaloaryl host. J. Appl. Cryst. 1994, 27, 435. [Google Scholar]
- Waasmaier, D.; Kirfel, A. Data activities in crystallography, factor function for free atoms and ions. Acta Cryst. 1995, A51, 416–431. [Google Scholar] [CrossRef]
- Sample availability: Available from the author.
© 2007 by MDPI (http://www.mdpi.org). Reproduction is permitted for noncommercial purposes.