Abstract
Two new oxindole alkaloids isatinone A (1) and B (2) have been isolated from Isatis costata, along with the known trisindoline. Their structures have been assigned on the basis of spectroscopic techniques and chemical studies. Both new compounds showed significant antifungal activity.
Introduction
The genus Isatis, belonging to the family Brassicaseae, comprises 50 species, mainly distributed in the Irano-Turanian region. In Pakistan it is represented by seven species [1]. Isatis tinctoria or woad is a common plant cultivated throughout the centuries to produce the blue dye indigo. Nowadays, woad is also used in Chinese folk and modern medicine [2]. “Ban-Lan-Gen” is one of the most commonly used traditional Chinese medicines for antipyretic, anti-inflammatory, antiviral, antimicrobial and detoxifying purposes. Its original source was considered to be the dried roots of three plants, Isatis indigotica, Isatis tinctoria and Strobilanthes cusia [3,4]. Now the roots of Isatis indigotica have been identified as the main source of “Ban-Lan-Gen” and recorded as such in Chinese Pharmacopoeia (1990 edn.) [5]. The ethno-pharmacological importance of the genus Isatis prompted us to investigate the chemical constituents of Isatis costata, which is an annual or biennial herb, found in northern parts of Pakistan. Herein we report the isolation and structural elucidation of isatinones A (1) and B (2), along with the known trimeric oxindole alkaloid trisindoline [6]. Both alkaloids 1 and 2 showed significant antifungal activity against various strains.
Results and Discussion
The ethanolic extract of Isatis costata was partitioned between EtOAc and water. Alkaloids librated from the aqueous fraction with 10% NH4OH were extracted with CH2Cl2. Column chromatography of the CH2Cl2 fraction provided the known alkaloid trisindoline, along with two new oxindole alkaloids which we have named isatinones A (1) and B (2). These compounds have been assigned the structures shown in Figure 1, as described below.
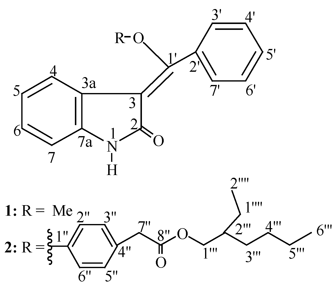
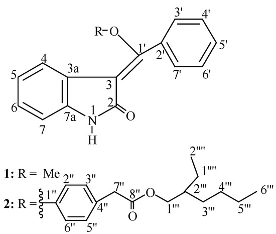
Figure 1.
Structures of isatinone A (1) and B (2).
Figure 1.
Structures of isatinone A (1) and B (2).

Isatinone A (1) was a pale yellow amorphous solid, mp 178-179°C. The molecular formula C16H13NO2 was established its the HR-EI-MS spectrum, which showed a molecular ion peak at m/z 251.0946 (calc. for C16H13NO2: 251.0943). The IR spectrum indicated the presence of an amide carbonyl (1685 cm-1) and an aromatic ring (1610, 1560, 1450 cm-1). The UV spectrum showed absorption maxima at 208, 231 and 270 nm, suggesting the presence of an oxindole chromophore [7].The 1H-NMR spectrum was characteristic of disubstituted indoles [δ 7.54 (1H, dd, J=7.9, 1.5 Hz, H4), 7.19 (1H, ddd, J=8.4, 7.1, 1.5 Hz, H6), 7.08 (1H, ddd, J=7.9, 7.1, 1.0 Hz, H5), and 6.86 (1H, dd, J=8.4, 1.0 Hz, H7)]. In addition, it showed an indolic amide NH singlet at δ 12.7. The presence of a mono-substituted phenyl ring could be inferred by the 1H-NMR spectrum, which showed the appropriate signals in the aromatic region [δ 7.02 (2H, m), 7.34 (2H, m), and 7.35 (1H, m)]. In addition it showed the presence of signals due to a methoxyl group at δ 3.87 (3H, s).
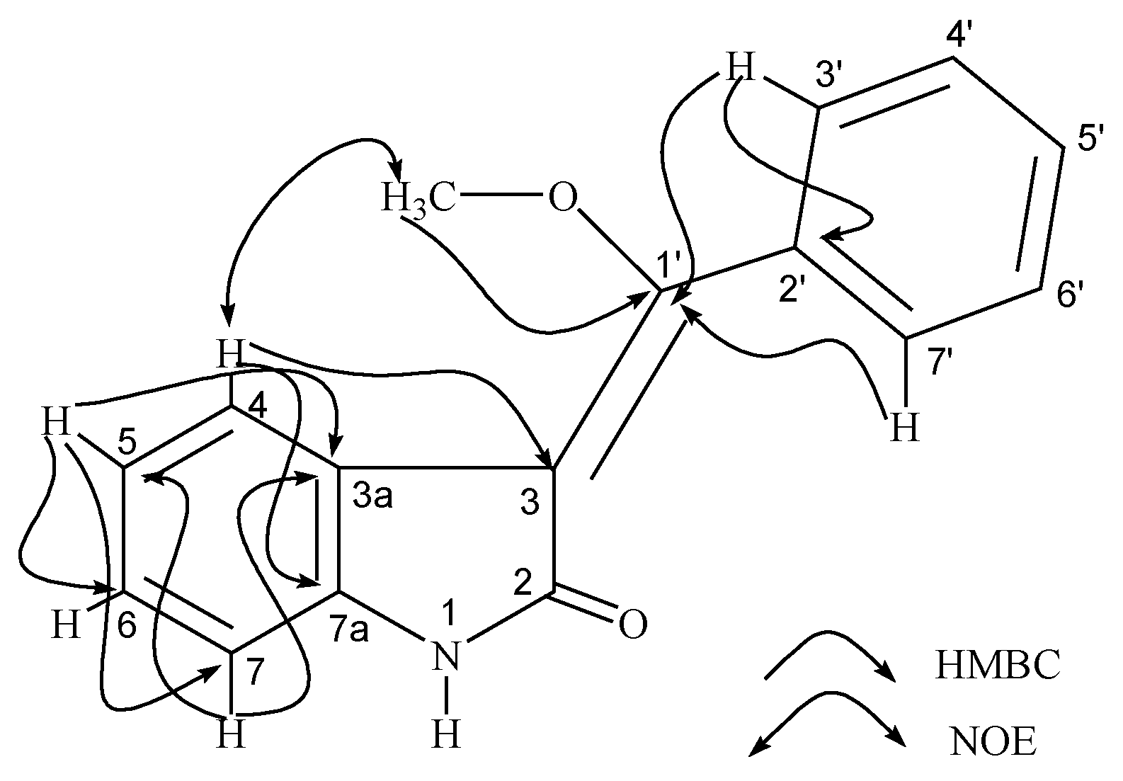
The 13C-NMR spectrum (BB and DEPT) showed sixteen signals, comprising of one methyl, nine methine and five quaternary carbons. The downfield signals at δ 167.1 could be assigned to the carbonyl carbon of an amide. The olefinic carbons resonated at δ 148.7 and δ 103.1, respectively. The other 12 signals ranging from δ 144.0-115.1 were due to aromatic carbons, while the methoxy carbon resonated at δ 56.7. The above spectral data was consistent with an oxindole type alkaloid with additional phenyl and methoxyl moieties. Since the presence of a disubstituted indolic moiety has already been established, therefore the only location for these groups is the exocyclic olefinic carbon of a methylidene moiety. The structure was not only supported by 1H–1H COSY spectrum, but also by HMBC correlations (Figure 2) in which the H-4 proton at δ 7.54 showed 2J correlations with C-3a (δC 124.0) and 3J correlations with C-7a (δC 144.0) as well as C-3 (δC 103.1). The proton at δH 7.02 (H-3') showed 3J correlations with C-1' (δC 148.7) and 2J correlations with C-2' (δC 141.1). The methoxyl protons at δH 3.87 showed 3J correlation with C-1' (δC 148.7). The geometry of the double bond was assigned on the basis of chemical shifts of the olefinic carbons. Thielke et al. [8] have reported that the olefinic carbon in the α-methylene lactam system is less shielded in the Z than in the E geometry because of a large paramagnetic anisotropy effect from the lactam carbonyl group. The values of olefinic carbons were consistent with theoretically calculated values for the E geometry and showed very close agreement to those of costinone B, reported in the literature [9]. This was further confirmed by NOE correlation between δH 7.54 (H-4) and protons of the methyl group at δH 3.87 [10]. The assignments of 13C-NMR signals were facilitated by HMQC spectrum and found in complete agreement to the assigned structure of isatinone A (1) as 3-[(E)-methoxy (phenyl) methylidene]-1,3-dihydro-2H-indol-2-one.
Figure 2.
Important HMBC and NoE correlations of isatinone A (1).
Figure 2.
Important HMBC and NoE correlations of isatinone A (1).

Isatinone B (2) was isolated as a pale yellow amorphous solid, mp 189-191°C. The molecular formula C31H33NO4 was determined by negative ion HRFABMS, which showed a pseudomolecular ion peak at m/z 482.2328 (calc. for C31H32NO4: 482.2331). The UV and IR spectra were very similar to those of 1, except the presence of additional absorptions due to the ester moiety. The 1H- and 13C-NMR spectra were also found to be similar to those of 1, except for the replacement of the methoxyl group by a 2-ethylhexyl phenylacetic acid ester moiety.
The 13C-NMR spectrum (BB and DEPT) showed thirty-one signals, comprising of two methyl, six methylene, fourteen methine and nine quaternary carbons. The signals at δC 169.3 and 165.3 could be assigned to carbonyl carbons of ester and amide, respectively. The methylidene olefinic carbons resonated at δC 149.4 and 103.9, respectively. The other signals ranging from δC 144.4–115.0 were due to aromatic carbons. The oxymethylene carbon resonated at δC 69.1, while signals of five methylene groups were observed from δC 49.6–24.0. The two terminal methyl groups resonated at δC 14.4 and 11.4, respectively.
The 1H-NMR displayed a pair of ortho-coupled AA’XX’ type signals at δH 7.06 and δH 6.49 (each 2H, d, J=8.2 Hz), indicating the presence of an additional 1, 4-disubstituted benzene ring. The signal of the oxymethylene protons was observed at δH 4.20, while another methylene group was observed at δH 3.40 (s). The unresolved multiplets at δH 1.31 and δH 1.54, integrating for four protons each, respectively, were due to four further methylenes. In addition, it showed an aliphatic methine signal at δH 1.70 (m) and a pair of three proton triplets for the terminal methyl groups at δ 0.83 (J=6.4 Hz) and δ 0.90 (J=6.3 Hz), respectively.
Table 1.
Correlated 1H-NMR and COSY spectral data (CD3OD) of isatinone A (1) and isatinone B (2).
| 1 | 2 | ||||
|---|---|---|---|---|---|
| C/H | δ H | 1H-1H COSY | C/H | δ H | 1H-1H COSY |
| 1 | 12.7 (1H, s) | 1 | 12.7 (1H, s) | ||
| 2 | 2 | ||||
| 3 | 3 | ||||
| 3a | 3a | ||||
| 4 | 7.54 (1H, dd, 7.9, 1.5) | H-5, H-6 | 4 | 7.20 (1H, dd, 8.0, 1.5) | H-5, H-6 |
| 5 | 7.08 (1H, ddd, 7.9, 7.1, 1.0) | H-4, H-6 | 5 | 7.08 (1H, ddd, 8.0,7.0, 1.5) | H-4, H-6 |
| 6 | 7.19 (1H, ddd, 8.4, 7.1, 1.5) | H-5, H-7 | 6 | 7.61 (1H, ddd, 8.4, 7.0, 1.5) | H-5, H-7 |
| 7 | 6.86 (1H, dd, 8.4, 1.0) | H-6, H-5 | 7 | 6.89 (1H, dd, 8.4, 1.5) | H-6, H-5 |
| 7a | 7a | ||||
| 1' | 1' | ||||
| 2' | 2' | ||||
| 3' | 7.02 (1H, m) | H-4', H-5' | 3' | 7.64 (1H, m) | H-4', H-5' |
| 4' | 7.34 (1H, m) | H-3', H-5' | 4' | 7.36 (1H, m) | H-3', H-5' |
| 5' | 7.35 (1H, m) | H-4', H-6' | 5' | 7.36 (1H, m) | H-4', H-6' |
| 6' | 7.34 (1H, m) | H-5', H-7' | 6' | 7.36 (1H, m) | H-5', H-7' |
| 7' | 7.02 (1H, m) | H-6', H-5' | 7' | 7.64 (1H, m) | H-6', H-5' |
| OCH3 | 3.87 (1H, s) | 1'' | |||
| 2'' | 7.06 (1H, d, 8.2) | H-3'' | |||
| 3'' | 6.49 (1H, d, 8.2) | H-2'' | |||
| 4'' | |||||
| 5'' | 6.49 (1H, d, 8.2) | H-6'' | |||
| 6'' | 7.06 (1H, d, 8.2) | H-5'' | |||
| 7'' | 3.41 (2H, s) | ||||
| 8'' | |||||
| 1''' | 4.20 (2H, m) | H-2''' | |||
| 2''' | 1.70 (1H, m) | H-1''', H-3''', H-1'''' | |||
| 3''' | 1.65 (2H, m) | H-2''', H-4''' | |||
| 4''' | 1.54 (2H, m) | H-3''', H-5''' | |||
| 5''' | 1.31 (2H, m) | H-4''', H-6''' | |||
| 6''' | 0.83 (3H, t, 6.4) | H-5''' | |||
| 1'''' | 1.33 (2H, m) | H-2''', H-2'''' | |||
| 2'''' | 0.90 (3H, t, 6.3) | H-1'''' | |||
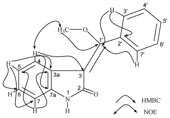
The structure was confirmed by a series of 1H-1H COSY (Table 1) and HMBC correlations (Figure 3). In addition to the usual correlations due to indolic and phenyl moieties, it further showed 2J correlation of H-2'' at δ 7.06 with C-1'' (δC 141.0) and 3J correlation with C-4'' (δC 124.1). The signal at δH 3.41 (H2-7'') showed 2J correlations with C-4'' (δC 124.1) and C-8'' (δC 169.3). The oxymethylene protons at δH 4.20 (H-1''') showed 3J correlations with C-8'' (δC 169.3); C-3''' (δC 31.6); C-1'''' (δC 24.0) and 2J correlation with C-2''' (δC 40.2). The terminal methyl groups at δH 11.4 and δH 14.4 showed 2J correlations with C-5''' (δC 24.9) and C-1'''' (δC 24.0), respectively. The E geometry was assigned by comparing the chemical shifts of C-3 and C-1' in the 13C-NMR spectrum, which showed close resemblance to those of 1. It could further be confirmed by the presence of NOE correlations between H-4 at δH 7.20 and the protons of the substituted phenyl moiety at δH 7.06 (Figure 3). The assignments of 1H- and 13C-NMR signals were facilitated by 1H–1H COSY and HMQC spectra and found in complete agreement with the assigned structure of isatinone B (2) as 2-ethylhexyl 2-{4-[2-oxo-1, 2-dihydro-3H-indol-3-ylidene) (phenyl) methoxy] phenyl} acetate.
Figure 2.
Inportant HMBC and NoE correlations of isatinone B (2).
Figure 2.
Inportant HMBC and NoE correlations of isatinone B (2).

The known alkaloid trisindoline was identified by comparison of its spectroscopic characteristics with those reported in the literature [6].
Biological Activity
The antifungal activities of both 1 and 2 were determined by the agar tube dilution method and significant activity was observed against Trichophyton schoen leinii, Aspergillus niger, Candida albicans, Trichophyton simii, and Macrophomina phaseolina.
Table 2.
In vitro fungicidal bioassay of crude extract and Isatinones A (1) and B (2).
| Name of fungus | Inhibition (%) of crude extract | Inhibition (%) | Standard drugs | Inhibition (%) of Standard drugs | |
|---|---|---|---|---|---|
| 1 | 2 | ||||
| Trichophyton schoen leinii | 71.4 | 70.0 | 81.2 | Miconazole Ketoconazole | 90 90 |
| Aspergillus niger | 50.1 | 68.0 | 78.0 | Amphotericin-B | 100 |
| Pseudallescheria boydri | 39.4 | 55.7 | 59.5 | Miconazole Ketoconazole | 90 90 |
| Candida albicans | 48 | 69.1 | 70.3 | Nystatin | 90 |
| Microsporum canis | 34 | 15.5 | 25.0 | Miconazole Ketoconazole | 100 100 |
| Trichophyton mentagrophytes | 53 | 60.0 | 50.7 | Miconazole Ketoconazole | 100 100 |
| Trichophyton simii | 67.5 | 77.0 | 80.4 | Miconazole | 100 |
| Fusarium solani var. lycopersici (tomato) | 12 | 2 | 8 | Benlate | 100 |
| Macrophomina phaseolina | 56 | 71.0 | 75.1 | Benlate Nabam | 100 |
| Rhizoctonia solani | 60.2 | 50.0 | 54.0 | Benlate | 100 |
Conclusions
In summary, the isolation of two novel antifungal oxindole alkaloids named isatinone A and B and the known alkaloid trisindoline from I. costata has been achieved and their structures elucidated with the help of spectroscopic techniques.
Experimental
General
Optical rotations were recorded on a JASCO DIP-360 digital polarimeter. IR spectra were measured on a JASCO 302-A spectrophotometer in CHCl3. UV spectra was obtained on a Hitachi UV-3200 spectrophotometer. NMR spectra were run on an AMX-400 Bruker instrument. Chemical shifts δ are shown in ppm relative to TMS as internal standard and coupling constant J are given in Hz. EI-, FAB-, and HREIMS were recorded on a JEOL JMS-HX-110 and JMS-DA-500 mass spectrometers. Silica gel 230-400 mesh (E. Merck) was used for column chromatography. Silica gel plates (Si 60 F254, E. Merck) were used for TLC.
Plant Material
The whole plant material was collected in April 2004 from N.W.F.P Swat and identified as Isatis costata C. A. Mey by Dr. Ghosia Lutfullah, Centre of Biotechnology, University of Peshawar, Pakistan. A voucher specimen (BPU-105) is deposited in the Herbarium of the Department of Botany, University of Peshawar, Peshawar, Pakistan.
Extraction and Isolation
The shade-dried whole plant (17 kg) was chopped up and extracted three times with EtOH (60 L) at room temperature for 96 h. The ethanolic extract was evaporated in vacuo to give a dark greenish residue (400 g), which was partitioned between EtOAc and water. The aqueous fraction was made basic with 10% NH4OH and the liberated bases extracted with CH2Cl2. The CH2Cl2 fraction (40 g) was subjected to column chromatography eluting with n-hexane-EtOAc mixtures in increasing order of polarity to afford six fractions F1-F6. Silica gel column chromatography of fraction F2 (eluted with 7:3 n-hexane-EtOAc) and elution with mixtures of n-hexane-EtOAc provided fractions F2A (7:3) and fraction F2B (5:5), respectively. Slow evaporation of fraction F2A deposited pale yellow crystals of isatinone A (1, 11 mg). The fraction F2B was rechromatographed over silica gel, again eluting with n‑hexane-EtOAc mixtures. The eluent obtained from 3:7 n-hexane EtOAc provided isatinone B (2, 17 mg). The fraction F3 obtained from n-hexane-EtOAc (6:4) was rechromatographed over silica gel using mixtures n‑hexane-EtOAc (8:2 → 3:7) as solvent to afford two successive fractions, the first of which, further on purification by column chromatography over silica gel and elution with 7:3 n‑hexane-EtOAc afforded trisindoline (25 mg).
3-[(E)-methoxyphenylmethylidene]-1,3-dihydro-2H-indol-2-one (Isatinone A, 1): C16H13NO2; pale yellow amorphous solid; mp 178-179°C; UV (MeOH) λmax 208, 231, 270 nm; IR νmax (KBr): 3301, 1680, 1600, 1565, 1460 cm-1; 13C-NMR δ: 167.1 (C-2), 103.1 (C-3), 124.0 (C-3a), 119.8 (C-4), 123.3 (C-5), 129.4 (C-6), 115.1 (C-7), 144.0 (C-7a), 148.7 (C-1'), 141.1 (C-2'), 124.5 (C-3'), 130.5 (C-4'), 130.8 (C-5'), 130.5 (C-6'), 124.5 (C-7'), 56.7 (OCH3); EIMS, m/z 251 [M]+, 236, 209, 160, 131, 117, 92, 77; HREIMS: 251.0946 (calcd for C16H13NO2, 251.0943). Complete assignments of 1H-NMR and 1H-1H COSY data for 1 are described in Table 1. Important HMBC and NOE correlations are illustrated in Figure 2.
2-Ethylhexyl 2-{4-[2-oxo-1,2-dihydro-3H-indol-3-ylidene) (phenylmethoxy]phenyl} acetate (Isatinone B, 2): C31H33NO4; pale yellow amorphous solid; mp 189–191°C; [α]D18 +89.7° (c. 0.02, MeOH); UV (MeOH) λmax 205, 232, 275 nm; IR νmax (KBr): 3305, 1685, 1715, 1610, 1560, 1450 cm-1; 13C-NMR δ: 165.3 (C-2), 103.9 (C-3), 124.1 (C-3a), 119.8 (C-4), 123.1 (C-5), 129.8 (C-6), 115.0 (C-7), 144.4 (C-7a), 149.4 (C-1'), 133.6 (C-2'), 129.4 (C-3'), 130.5 (C-4'), 130.9 (C-5'), 130.5 (C-6'), 129.4 (C-7'), 141.0 (C-1''), 115.0 (C-2''), 130.5 (C-3''), 124.1 (C-4''), 130.5 (C-5''), 115.0 (C-6''), 49.6 (C-7''), 169.3 (C-8''), 69.1 (C-1'''), 40.2 (C-2'''), 31.6 (C-3'''), 30.1 (C-4'''), 24.9 (C-5'''), 11.4 (C-6'''), 24.0 (C-1''''), 14.4 (C-2''''); EIMS, m/z 483 [M]+, 349, 321, 311, 293, 236, 160, 131, 116, 91, 77. Negative HRFABMS: 482.2328 (calcd 482.2331 for C31H32NO4). Complete assignments of 1H-NMR and 1H-1H COSY data for 2 are described in Table 1. Important HMBC and NOE correlations are illustrated in Figure 3.
Trisindoline: Colorless amorphous solid; UV (MeOH) λmax 290, 280, 274, 254, 219 nm; IR νmax (KBr): 3200, 1705, 1472 cm-1; HREIMS: 363.1371 (calcd for C24H17N3O, 363.1401); 13C- and 1H-NMR data were identical with those reported in the literature [6].
Bioassays
The antifungal bioassay was performed on human, animal and plant pathogens. The crude extracts, compounds 1 and 2 and the standard drugs (each at a concentration of 400 µg/mL of Sabourd Dextose Agar) were subjected to antifungal activity assays against Trichophyton schoen leinii ATCC 22775, Aspergillus niger ATCC 1015, Pseudallescheria boydri ATCC 44330, Candida albicans ATCC 10231, Microsporum canis ATCC 36299, Trichophyton mentagrophytes ATCC 28185, Trichophyton simii ATCC 25923, Fusarium solan ATCC 36031, Macrophomina phaseolina ATCC 53789, Rhizoctonia solani ATCC 76131, according to the established protocol [11]. The compounds 1 and 2 showed significant activity against Trichophyton schoen leinii, Aspergillus niger, Candida albicans, Trichophyton simii, Macrophomina phaseolina; moderate activity against Pseudallescheria boydri, Trichophyton mentagrophytes, Rhizoctonia solani, and weak activity against Microsporum canis and Fusarium solani (Table 2). It is important to note that compound 2 was more potent 1, which is probably be due to the presence of the ester moiety.
References
- Nasir, Y. J.; Ali, S. I. Flora of Pakistan; Ali, S. I., Nasir, Y. J., Eds.; National Herbarium Pakistan Agriculture Research Council: Islamabad, 1989; Vol. 191, p. 94. [Google Scholar]
- Pinkas, M.; Peng, W.; Torck, M.; Trotin, F. Plants Medicinales Chinoises; Maloin: Paris, 1996; p. 86. [Google Scholar]
- Jiangsu New Medical College. Dictionary of Chinese Crude Drugs; Shanghai Scientific and Technological Press: Shanghai, 1985; pp. 1250–1252. [Google Scholar]
- Institute of Materia Medica. Chinese Academy of Medical Sciences; Zhong, Y. Z., Ed.; Peoples Health Press: Beijing, 1979; Vol. 1, p. 453. [Google Scholar]
- Ministry of Public Health. Chinese Pharmacopoeia; Peoples Health Press: Beijing, 1990; Part 1; p. 172. [Google Scholar]
- Kobayashi, M.; Aoki, S.; Gato, K.; Matsunami, K.; Kurosu, M.; Kitagawa, I. Trisindoline, a new antibiotic indole trimer, produced by a bacterium of Vibrio sp. seperated from the marine sponge Hyrtios altum. Chem. Pharm. Bull. 1994, 42, 2449–2451. [Google Scholar] [CrossRef]
- Kim, W. G.; Lee, I. K.; Kim, J. P.; Ryoo, I. J.; Koshino, H.; Yoo, I. D. New Indole derivatives with free radical Scavenging activity from Agrocybe cylindracea. J. Nat. Prod. 1997, 60, 721–723. [Google Scholar] [CrossRef]
- Thielke, D.; Wegener, J.; Winterfeldt, E. The steric course of methylene-lactum rearrangements in rigid policyclic system. Chem. Ber. 1975, 108, 1791–1802. [Google Scholar] [CrossRef]
- Fatima, I.; Ahmad, I.; Nawaz, S. A.; Malik, A.; Afza, N.; Luttfullah, G.; Choudhary, M. I. Enzyme inhibition studies of oxindole alkaloids from Isatis costata. Heterocycles 2006, 68, 1421–1428. [Google Scholar]
- Wing, S. C.; Raymond, J. P.; Mark, R. P. A Tandem Heck-Carbocyclization/ Suzuki-Coupling approach to the Stereoselective synthesis of asymmetric 3, 3-(Diarylmethylene)indolinones. J Org. Chem. 2005, 70, 3741–3744. [Google Scholar] [CrossRef]
- Choudhary, M. I.; Dur-e-Shahwar; Parveen, Z.; Jabbar, A.; Ali, I.; Atta-ur-Rahman. Antifungal steroidal lactones from Withania coagulance. Phytochemistry 1995, 40, 1243–1246. [Google Scholar] [CrossRef]
- Sample Availability: Samples of the compounds are available from the corresponding author.
© 2007 by MDPI (http://www.mdpi.org). Reproduction is permitted for noncommercial purposes.