Abstract
The antibacterial activity against Staphylococcus aureus of long-chain fatty alcohols was investigated, with a focus on normal alcohols. The antibacterial activity varied with the length of the aliphatic carbon chain and not with the water/octanol partition coefficient. 1-Nonanol, 1-decanol and 1-undecanol had bactericidal activity and membrane-damaging activity. 1-Dodecanol and 1-tridecanol had the highest antibacterial activity among the long-chain fatty alcohols tested, but had no membrane-damaging activity. Consequently, it appears that not only the antibacterial activity but also the mode of action of long-chain fatty alcohols might be determined by the length of the aliphatic carbon chain.
Introduction
Staphylococcus aureus is a pathogenic microorganism that is responsible for serious problems, in particular in medical facilities, such as nosocomial infection and resistance to antibiotics. Novel compounds with antibacterial activity are needed to solve these problems. We have studied the antibacterial activities of plant-derived compounds, such as essential oils, against S. aureus [1,2,3,4,5] and have reported that two sesquiterpenes with an aliphatic carbon chain, namely, farnesol and nerolidol, have effective activity [3]. Methodical investigation of anti-staphylococcus activity of terpene alcohols suggested that mono- and diterpenes with an aliphatic carbon chain have lower activity [3]. Our results indicated that there might be a relationship between antibacterial activity and chemical structure. In this study, we selected the length of the carbon chain as the characteristic of the chemical structure and used fatty alcohols with a carbon chain of various lengths.
There have been a number of reports on the antibacterial activities of long-chain fatty alcohols [6,7,8,9,10,11,12,13,14,15,16]. In some studies, the activity increased with the length of the carbon chain [7,12,13,14,15], and the water/octanol partition coefficient was identified as an important determinant of activity [17,18]. Other studies indicated that there might be an appropriate length for effective activity [6,8,9,10,11,16], but there is no concensus as to what that appropriate carbon chain length might be.
In an effort to investigate the antibacterial activities of long-chain fatty alcohols against S. aureus in detail, we used a broth dilution with shaking (BDS) method, a time-kill assay and an assay of the leakage of K+ ions from cell. The BDS method was an unique method to investigate the antibacterial activity, such as minimum inhibitory concentration (MIC), of hydrophobic compounds. The time kill assay was carried out to observe the antibacterial activity in detail in combination with the BDS method. Leakage of K+ ions from cells reflects the cell membrane damage activity. Since farnesol and nerolidol showed effective antibacterial activity and also cell membrane damaging activity, it might be important to measure the leakage of K+ ions from cells in response to reagents.
Results and Discussion
Growth-inhibitory activity
Table 1 summarizes the antimicrobial activities of long-chain fatty alcohols on the growth of S. aureus FDA209P, as determined by two different methods. Long-chain fatty alcohols with aliphatic carbon chains with fewer than seven (data not shown) and eight carbon atoms (Table 1) had no antimicrobial activity. Long-chain fatty alcohols with an aliphatic carbon chain with more than 17 carbon atoms had hardly any antimicrobial activity. The results obtained by the broth dilution method indicated that the most effective number of carbon atoms in long-chain fatty alcohols, in terms of growth-inhibitory activity, ranged from 13 to 15. We obtained similar results when we determined the bactericidal activity by the broth dilution method. The BDS method indicated that long-chain fatty alcohols with an aliphatic carbon chain of 12 or 13 carbons had the greatest growth-inhibitory activity (Figure 1). The highest bactericidal activity was observed with an aliphatic carbon chain of 11 carbon atoms. The growth-inhibitory and bactericidal activities depended on concentration (Figure 2).
Table 1.
Antimicrobial effects of 1-alkanols on the growth of S. aureus and n-octanol/water partition coefficients.
| Alcohol | Broth dilution method | Broth dilution with shaking | log10Po/w | |||
|---|---|---|---|---|---|---|
| MIC | MBC | MIC | MBC | DP* | ||
| 1-Octanol | 256 | 256 | N.D. | N.D. | 0.0 | 3.07a |
| 1-Nonanol | 64 | 128 | N.D. | N.D. | 17.5 | 4.02a |
| 1-Decanol | 32 | 64 | 40 | 80 | ≥ 48.0 | 4.57a |
| 1-Undecanol | 16 | 32 | 40 | 40 | ≥ 48.0 | 4.53b |
| 1-Dodecanol | 8 | 16 | 10 | N.D. | ≥ 48.0 | 5.13a |
| 1-Tridecanol | 4 | 8 | 10 | N.D. | ≥48.0 | 5.59b |
| 1-Tetradecanol | 4 | 8 | N.D. | N.D. | 29.7 | 6.03a |
| 1-Pentadecanol | 4 | 8 | N.D. | N.D. | 27.2 | 6.24c |
| 1-Hexadecanol | 256 | ≥ 512 | N.D. | N.D. | 17.3 | 6.65d |
| 1-Heptadecanol | ≥ 512 | ≥ 512 | N.D. | N.D. | 6.5 | 7.23c |
| 1-Octadecanol | ≥ 512 | ≥ 512 | N.D. | N.D. | 10.0 | 7.19d |
N.D. = Not detected at the concentration tested.* = Delay in proliferation was calculated from growth curves ([1-alkanol]= 40 μg mL-1)a Japan Oil Chemists’ Society. The Handbook of Oil Chemistry 4th ed.; Maruzen: Tokyo, 2001.b S. A. Chicu et al., Quant. Struct.-Activ. Relation. 2002, 19, 227-236.c Calculated value (W. M. Meylan et al. J. Pharm. Sci. 1995, 84, 83-92).d L. P. Burkhard et al. Chemosphere 1985, 14, 1551-1560.
Figure 1.
Inhibitory effects of long-chain fatty alcohols on the growth of S. aureus FDA209P. S. aureus FDA209P was inoculated into BHI medium that contained no long-chain fatty alcohols (○), or into broth that contained 40 μg mL-1 of 1-octanol (●), 1-nonanol (△), 1-decanol (□), 1-undecanol (▽), 1-dodecanol (▼), 1-tridecanol (◆), 1-tetradecanol (◐), 1-pentadecanol (◧), 1-hexadecanol (◇), 1-heptadecanol (▲) or 1-octadecanol (■), and then cell growth was monitored in terms of OD660.
Figure 1.
Inhibitory effects of long-chain fatty alcohols on the growth of S. aureus FDA209P. S. aureus FDA209P was inoculated into BHI medium that contained no long-chain fatty alcohols (○), or into broth that contained 40 μg mL-1 of 1-octanol (●), 1-nonanol (△), 1-decanol (□), 1-undecanol (▽), 1-dodecanol (▼), 1-tridecanol (◆), 1-tetradecanol (◐), 1-pentadecanol (◧), 1-hexadecanol (◇), 1-heptadecanol (▲) or 1-octadecanol (■), and then cell growth was monitored in terms of OD660.

Figure 2.
Inhibitory effects of 1-nonanol on the growth of S. aureus FDA209P. S. aureus FDA209P was inoculated into BHI broth medium that contained no 1-nonanol (○) or into broth that contained 1-nonanol at 5 (●), 10 (▲), 20 (■), 40 (◆), 80 (△) or 160 (□) μg mL-1, and then cell growth was monitored in terms of OD660.
Figure 2.
Inhibitory effects of 1-nonanol on the growth of S. aureus FDA209P. S. aureus FDA209P was inoculated into BHI broth medium that contained no 1-nonanol (○) or into broth that contained 1-nonanol at 5 (●), 10 (▲), 20 (■), 40 (◆), 80 (△) or 160 (□) μg mL-1, and then cell growth was monitored in terms of OD660.

Time-kill assay
We monitored changes in viable cell counts with time to investigate in detail the bactericidal activities of 1-octanol (C8-OH), 1-nonanol (C9-OH), 1-decanol (C10-OH), 1-undecanol (C11-OH) and 1-dodecanol (C12-OH) (Figure 3).
Figure 3.
Assays of the toxic effects of 80 μg mL-1 long-chain fatty alcohols on S. aureus FDA209P: control (○); 1-octanol (●); 1-nonanol (▲); 1-decanol (■); 1-undecanol (◆); 1-dodecanol (□).
Figure 3.
Assays of the toxic effects of 80 μg mL-1 long-chain fatty alcohols on S. aureus FDA209P: control (○); 1-octanol (●); 1-nonanol (▲); 1-decanol (■); 1-undecanol (◆); 1-dodecanol (□).

The viable cell count barely changed over 24 h in the presence of C8-OH, while C9-OH and C12-OH decreased the viable cell count from 107 to approximately 104 colony forming units (cfu) mL-1 within 4 h. Contact with C12-OH decreased the viable cell count to beneath the limit of detection within 24 h. In the presence of C10-OH and C11-OH, the viable cell count decreased rapidly. The viable cell count fell below the limit of detection within only 2 and 4 h in the presence of C10-OH and C11-OH, respectively.
Quantitation of K+ ion leakage
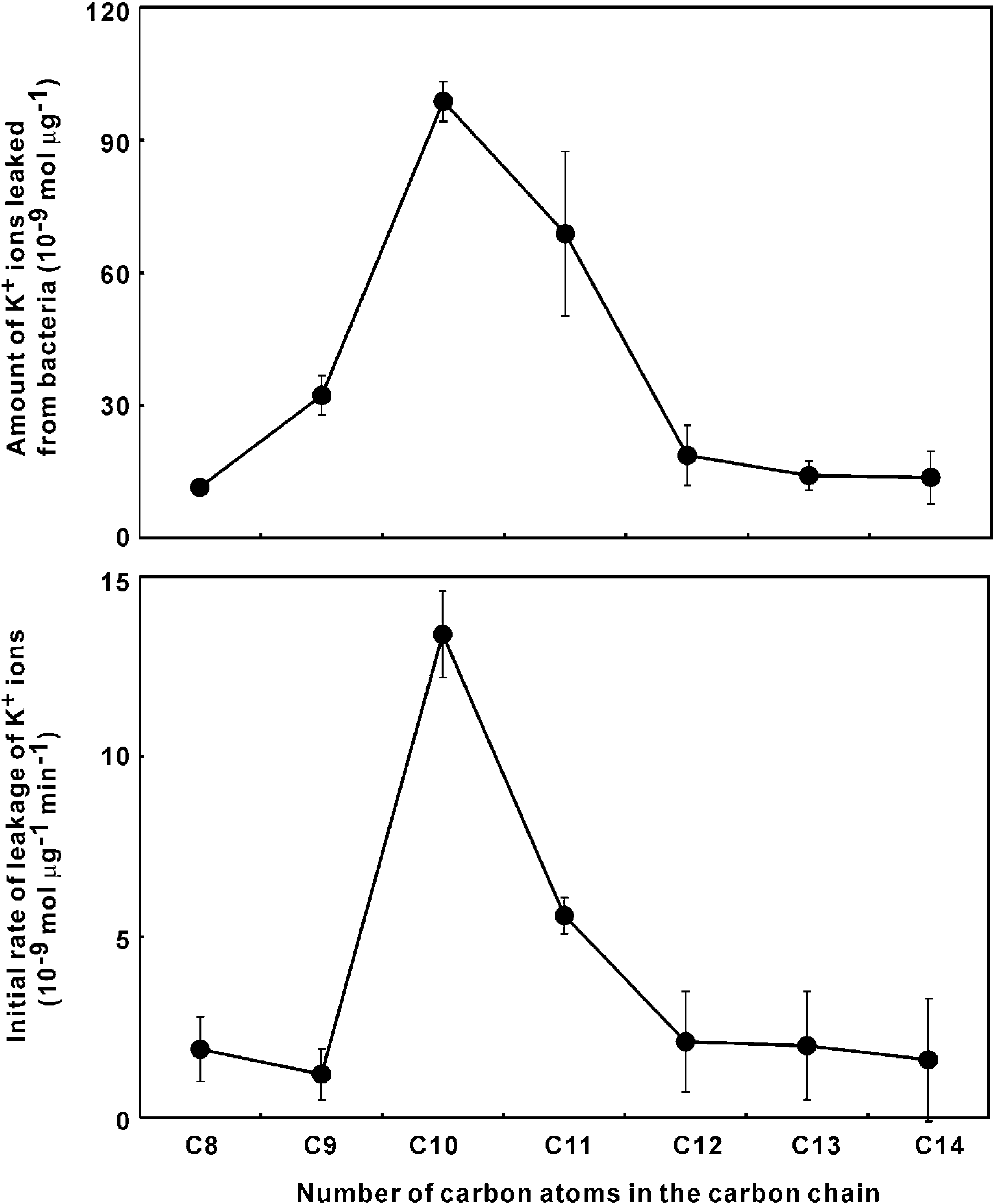
As shown in Figure 4, addition of long-chain fatty alcohols to bacterial suspensions led to the immediate leakage of K+ ions from the cells. We investigated initial rates of leakage of K+ ions and amounts of K+ ions leaked from bacterial cells (Figure 5). In the presence of C12-OH and C11-OH, both values were larger than in the presence of other long-chain fatty alcohols.
Figure 4.
Changes in the concentration of K+ ions in a suspension of S. aureus FDA209P in response to 1-decanol. The arrow indicates the addition of 1-decanol. The results are typical of three assays that gave similar results. See text for full details.
Figure 4.
Changes in the concentration of K+ ions in a suspension of S. aureus FDA209P in response to 1-decanol. The arrow indicates the addition of 1-decanol. The results are typical of three assays that gave similar results. See text for full details.

The long-chain fatty alcohols used in this study each possess a long aliphatic carbon chain and one hydroxyl group and they differ in terms of the length of the aliphatic carbon chain. The activity against S. aureus was most evident when the carbon chain length ranged from 10 to 13. When there were 10 or 11 aliphatic carbon atoms in the carbon chains, bactericidal activity was both evident and potent (Table 1). The bactericidal activity results were supported by the time-kill assay results (Figure 3). K+ ion leakage assays indicated that C10-OH and C11-OH induced the leakage of K+ ions more rapidly than the other tested alcohols. We reported previously that the initial rate of K+ ion leakage reflects the damage to cell membranes when a reagent that affects cell membranes is added to a bacterial suspension [19].
Figure 5.
K+ ion leakage from S. aureus FDA209P in response to 1-alkanols. The final concentration of each 1-alkanol was 80 μg mL-1.
Figure 5.
K+ ion leakage from S. aureus FDA209P in response to 1-alkanols. The final concentration of each 1-alkanol was 80 μg mL-1.

We also compared the ability to induce K+ ion leakage among C10-OH, C11-OH, farnesol, nerolidol and tea tree oil (TTO). Farnesol and nerolidol are sesquiterpene alcohols with aliphatic carbon chains similar in length to those of C10-OH and C11-OH and both have bactericidal activity. TTO is an essential oil of Melaleuca alternifolia and does not have bactericidal activity at the concentration tested. Farnesol, nerolidol and TTO all damage cell membranes [20,21]. The initial rates of K+ ion leakage induced by C10-OH and C11-OH were 20-fold lower than those induced by farnesol and nerolidol and similar to that induced by TTO. Total amounts of K+ ions that leaked from bacterial cells in response to C10-OH and C11-OH were similar to those induced by farnesol and nerolidol and larger than those induced by TTO. The total amount of K+ ions that leaks from bacterial cells reflects the antibacterial activity that is mediated by cell membrane damage.
Our results indicate that the antibacterial activity of C10-OH and C11-OH were mediated by damage to cell membranes that allowed leakage of K+ ions, with subsequent reactions that induced the further leakage. MIC and MBC measurements (Table 1) confirmed that C12-OH and C13-OH had the most effective bacteriostatic activity among the long-chain fatty alcohols tested. K+ ion leakage induced by C12-OH and C13-OH was less conspicuous than that observed in the presence of C10-OH and C11-OH and similar to that observed in the presence of long-chain fatty alcohols that did not have effective antibacterial activity. Thus, the expression of bacteriostatic or bactericidal activity was dependent on the length of the aliphatic carbon chain. We are now studying the nature of the antibacterial effects of C12-OH and C13-OH.
Some authors have reported that the antibacterial activity of hydrophobic compounds depended on their water/octanol partition coefficients [17,18]. The water/octanol partition coefficients of the long-chain fatty alcohols used in this study are listed in Table 1. If activity were dependent on the partition coefficient, the activity would be expected to increase with elongation of the aliphatic carbon chain. Our results do not support such a conclusion. There is a defined range of chain lengths for induction of effective inhibition of the growth of S. aureus. The expression of antibacterial activity was determined by the length of the aliphatic carbon chain rather than by the water/octanol partition coefficient.
MIC and MBC measurements confirmed that C12-OH and C13-OH had the most effective bacteriostatic activity among the long-chain fatty alcohols tested. Leakage of K+ ions in response to these alcohols was smaller than those in response to C10-OH and C11-OH and similar to that obtained with long-chain fatty alcohols that did not exhibit effective antibacterial activity. Therefore, it appears that the length of the aliphatic carbon chain might determine the nature of the antibacterial activity.
Compounds with alkyl chains are attracting attention since they have some novel attributes [22,23,24,25], for example, the ability to promote antibacterial activity and to resensitize methicillin-susceptible and -resistant S. aureus to antibiotics. Their properties are probably related to their alkyl groups since the effective length of the carbon chain in each alkyl group is in harmony with our results. Although there have been many studies of the antibacterial activities of fatty alcohols, some variations in activity have been missed, perhaps because of the use of high concentrations, on the order of mg mL-1, in determinations of MICs. A detailed reevaluation is clearly needed of the antibacterial activities of hydrophobic compounds at appropriate concentrations.
Experimental
General
All long-chain fatty alcohols used in this study were purchased from Wako Pure Chemical Industries, Ltd. (Osaka, Japan). Staphylococcus aureus FDA209P was used as the standard strain [1].
Broth dilution method
The minimum inhibitory concentration (MIC) and minimum bactericidal concentration (MBC) of each alcohol were determined by the micro broth dilution method. The MIC was determined by the NCCLS method [26]. The compound to be tested was added to aliquots of Mueller Hinton broth (100 μL, Difco, Detroit, MI, USA). An aliquot of an overnight culture of S. aureus (ca. 1 x 105 cfu mL-1) was added to each sample. Each culture was incubated in air without shaking at 37°C for 24 h. Aliquots were taken from cultures whose turbidity was no longer increasing and inoculated into aliquots of fresh medium. The MBC was determined after 48 h incubation.
Broth dilution with shaking (BDS) method
The BDS method was described previously [27] and we applied it as follows: the compound to be tested was added to 10 mL aliquots of Brain Heart Infusion (BHI) broth (Difco, Detroit, MI, USA) in L-tubes without any solubilizing agent or surfactant. An aliquot of an overnight culture of S. aureus (ca. 1 x 105 cfu mL-1) was added to each sample. Each culture was incubated in air for 48 h at 37°C with shaking at 40 rpm. The inhibitory activity of each tested compound was monitored turbidimetrically. The optical density at 660 nm (OD660) was determined with a biophotorecorder (TN-1520; Advantec, Tokyo, Japan). The MIC was determined after 48 h incubation. Aliquots were taken from cultures whose turbidity were no longer increasing and inoculated into aliquots of fresh BHI medium. The MBC was determined after 24 h incubation. The delay in proliferation was calculated by comparison with the growth curve generated from a control culture.
Quantitation of K+ ion leakage
Cells from an overnight culture of S. aureus were washed twice by centrifugation with MOPS-Tris buffer (pH 7.2) [28]. The K+ ion concentration in a suspension of cells (initially 109 cfu mL-1) was determined with a K+-selective electrode and a silver/silver chloride reference electrode. The K+-selective electrode was prepared using valinomycin [27]. The K+ ion quantitation system was constructed as reported previously [19]. Each assay was performed at 37°C and data were recorded digitally. Amounts and initial rates of K+ ion efflux from cells were expressed in terms of bacterial mass. To estimate the bacterial mass in each test suspension, bacterial cells were disrupted by sonication and centrifuged (30,000 rpm, 1 h, 4°C) and then the protein concentration in the supernatant was determined as described by Bradford [29], with bovine serum albumin as the standard protein.
Time-kill assay
Cells from an overnight culture of S. aureus were washed twice by centrifugation with phosphate-buffered saline (PBS; pH 7.0). The cell pellet was resuspended in 1 mL of PBS at 7 x 106 cfu mL-1. An aliquot (100 μL) of this suspension of cells was added to buffer (10 mL) that contained long-chain fatty alcohol (80 μg mL-1) and incubated at 37 oC. The buffer did not contain any solubilizer. Samples were removed for determination of viable cell counts after 0, 2, 4, 6, 8 and 24 h. Serial ten-fold dilutions of the bacterial suspension (10-1 to 10-4) were then prepared in PBS buffer. Aliquots (50 μL) of each diluted sample were plated on agar-solidified BHI with a spiral plater (Autoplate 3000; Spiral Biotech, Bethesda, MD, USA). The plates were incubated at 37 oC for 24 h and then colonies were counted. Killing curves were constructed by plotting numbers of viable cells against time. All assays were performed in triplicate.
References
- Arai, T.; Hamashima, H.; Sasatsu, M. Inhibitory effects of fatty acids, purified camellia oil and olive oil on the growth of Staphylococcus aureus. Jpn. J. Chemother. 1996, 44, 786–91. [Google Scholar]
- Hada, T.; Furuse, S.; Matsumoto, Y.; Hamashima, H.; Masuda, K.; Shiojima, K.; Arai, T.; Sasatsu, M. Comparison of the effects in vitro of tea tree oil and plaunotol on methicillin-susceptible and methicillin-resistant strains of Staphylococcus aureus. Microbios 2001, 106, 133–141. [Google Scholar] [PubMed]
- Hada, T.; Shiraishi, A.; Furuse, S.; Inoue, Y.; Hamashima, H.; Masuda, K.; Shiojima, K.; Shimada, J. Inhibitory effects of terpene on the growth of Staphylococcus aureus. Nat. Med. 2003, 57, 464–467. [Google Scholar]
- Imai, H.; Osawa, K.; Yasuda, H.; Hamashima, H.; Arai, T.; Sasatsu, M. Inhibition by the essential oils of peppermint and spearmint of the growth of pathogenic bacteria. Microbios 2001, 106, 31–39. [Google Scholar] [PubMed]
- Osawa, K.; Saeki, T.; Yasuda, H.; Hamashima, H.; Sasatsu, M.; Arai, T. The antibacterial activities of peppermint oil and green tea polyphenols, alone and in combination, against enterohemorrhagic Escherichia coli. Biocontrol Sci. 1999, 4, 1–7. [Google Scholar] [CrossRef]
- Hattori, M.; Miyachi, K.; Hada, S.; Kakiuchi, N.; Kikuchi, F.; Tsuda, Y.; Namba, T. Effects of long-chain fatty acids and fatty alcohols on the growth on Streptococcus mutans. Chem. Pharm. Bull. 1987, 35, 3507–3510. [Google Scholar]
- Kabelitz, N.; Santos, P.M.; Heipieper, H.J. Effect of aliphatic alcohols on growth and degree of saturation of membrane lipids in Acinetobacter calcoaceticus. FEMS Microbiol. Lett. 2003, 220, 223–227. [Google Scholar] [CrossRef] [PubMed]
- Kato, N.; Shibasaki, I. The antimicrobial characteristics of 1-alkanols. J. Antibact. Antifung. Agents 1980, 8, 325–331. [Google Scholar]
- Kato, N.; Yanagida, S.; Okahara, M.; Shibasaki, I. Antibacterial activity of alcohols and oxyethylated alcohols. J. Antibact. Antifung. Agents 1978, 6, 527–531. [Google Scholar]
- Kubo, I.; Muroi, H.; Himejima, H.; Kubo, A. Antibacterial activity of long-chain alcohols: the role of hydrophobic alkyl groups. Bioorg. Med. Chem. Lett. 1993, 3, 1305–1308. [Google Scholar] [CrossRef]
- Kubo, I.; Muroi, H.; Kubo, A. Antibacterial activity of long-chain alcohol against Streptococcus mutans. J. Agric. Food Chem. 1993, 41, 2447–2450. [Google Scholar] [CrossRef]
- Lansford, E.M., Jr.; Hill, I.D.; Shive, W. Reversal by ribonucleosides of bacterial growth inhibition caused by alcohol. J. Biol. Chem. 1960, 235, 3551–3555. [Google Scholar] [PubMed]
- Mates, A. The effect of alcohols on growth and lipase formation by Staphylococcus aureus. J. Appl. Bacteriol. 1974, 37, 1–6. [Google Scholar] [CrossRef] [PubMed]
- Ravel, J.M.; Felsing, B.; Lansford, E.M., Jr.; Trubey, R.H.; Shive, W. Reversal of alcohol toxicity by glutamine. J. Biol. Chem. 1955, 214, 497–501. [Google Scholar]
- Sheu, C.W.; Freese, E. Lipopolysaccharide layer protection of Gram-negative bacteria against inhibition by long-chain fatty acids. J. Bacteriol. 1973, 115, 869–875. [Google Scholar]
- Tanaka, Y.; Fukuda, S.; Kikuzaki, H.; Nakatani, N. Antibacterial activity of aliphatic long-chain compounds against upper-airway respiratory tract bacteria. ITE Lett. Batter. New Technol. Med. 2002, 1, 777–780. [Google Scholar]
- Grisham, C.M.; Barnett, R.E. The effects of long-chain alcohols on membrane lipids and the (Na++K+)-ATPase. Biochim. Biophys. Acta 1973, 311, 417–422. [Google Scholar] [CrossRef] [PubMed]
- Ingram, L.O. Adaptation of membrane lipids to alcohols. J. Bacteriol. 1976, 125, 670–678. [Google Scholar] [PubMed]
- Hada, T.; Inoue, Y.; Shiraishi, A.; Hamashima, H. Leakage of K+ ions from Staphylococcus aureus in response to tea tree oil. J. Microbiol. Methods 2003, 53, 309–312. [Google Scholar] [CrossRef] [PubMed]
- Carson, C.F.; Mee, B.J.; Riley, T.V. Mechanism of action of Melaleuca alternifolia (tea tree) oil on Staphylococcus aureus determined by time-kill, lysis, leakage, and salt tolerance assays and electron microscopy. Antimicrob. Agents Chemother. 2002, 46, 1914–1920. [Google Scholar] [CrossRef] [PubMed]
- Inoue, Y.; Shiraishi, A.; Hada, T.; Hirose, K.; Hamashima, H.; Shimada, J. The antibacterial effects of terpene alcohols on Staphylococcus aureus and their mode of action. FEMS Microbiol. Lett. 2004, 237, 325–331. [Google Scholar] [PubMed]
- Kajiya, K.; Hojo, H.; Suzuki, M.; Nanjo, F.; Kumazawa, S.; Nakayama, T. Relationship between antibacterial activity of (+)-catechin derivatives and their interaction with a model membrane. J. Agric. Food Chem. 2004, 52, 1514–1519. [Google Scholar] [CrossRef] [PubMed]
- Kubo, I.; Fujita, K.; Nihei, K. Anti-Salmonella Activity of Alkyl Gallates. J. Agric. Food Chem. 2002, 50, 6692–6696. [Google Scholar] [CrossRef] [PubMed]
- Shibata, H.; Kondo, K.; Katsuyama, R.; Kawazoe, K.; Sato, Y.; Murakami, K.; Takaishi, Y.; Arakaki, N.; Higuti, T. Alkyl gallates, intensifiers of β-lactam susceptibility in methicillin-resistant Staphylococcus aureus. Antimicrob. Agents Chemother. 2005, 49, 549–555. [Google Scholar]
- Stapleton, P.D.; Shah, S.; Anderson, J.C.; Hara, Y.; Hamilton-Miller, J.M.T.; Taylor, P.W. Modulation of β-lactam resistance in Staphylococcus aureus by catechins and gallates. Int. J. Antimicrob. Agents 2004, 23, 462–467. [Google Scholar] [CrossRef] [PubMed]
- National Committee for Clinical Laboratory Standards. Methods for Dilution Antimicrobial Susceptibility Tests for Bacteria That Grow Aerobically—Fifth Edition: Approved Standard M7-A5; NCCLS: Wayne, PA, USA, 2000. [Google Scholar]
- Matsumoto, Y.; Hamashima, H.; Masuda, K.; Shiojima, K.; Sasatsu, M.; Arai, T. The antibacterial activity of plaunotol against Staphylococcus aureus isolated from the skin of patients with atopic dermatitis. Microbios 1998, 96, 149–155. [Google Scholar]
- Katsu, T.; Kobayashi, H.; Fujita, Y. Mode of action of gramicidin S on Escherichia coli membrane. Biochim. Biophys. Acta 1986, 860, 608–619. [Google Scholar] [CrossRef] [PubMed]
- Bradford, M.M. A rapid and sensitive method for the quantitation of microgram quantities of protein utilizing the principle of protein-dye binding. Anal. Biochem. 1976, 72, 248–254. [Google Scholar] [CrossRef] [PubMed]
© 2007 by MDPI (http://www.mdpi.org). Reproduction is permitted for noncommercial purposes.