Abstract
The reactivity of alicyclic ketazines in criss-cross cycloadditions was investigated. They react with potassium cyanate and ammonium thiocyanate in the presence of acetic acid to form spirocyclic perhydro[1,2,4]triazolo[1,2-a][1,2,4]triazole-1,5-diones and perhydro[1,2,4]triazolo[1,2-a][1,2,4]triazole-1,5-dithiones, respectively, in relatively high yields.
Introduction
The term “criss-cross” cycloaddition first appeared in two 1917 papers by Bailey and McPherson, who discovered this reaction. The first article described the cycloaddition of cyanic acid to benzalazine [1]. The second dealt with cycloaddition of cyanic, isothiocyanic acid and phenyl isocyanate with aromatic aldazines (prepared from benzaldehyde, 3-nitrobenzaldehyde, cinnamaldehyde and furfuraldehyde) [2]. A general mechanism for these reactions is shown in Scheme 1. Aldazines react as dipoles with two molecules of a dipolarophile to form heterocyclic compounds with two fused five-membered rings - in this case tetrahydro-[1,2,4]triazolo[1,2-a] [1,2,4]triazole-1,5-diones substituted in positions 3 and 7.
Scheme 1.
Scheme 1.

Since then, a number of papers have appeared listing examples of criss-cross cycloadditions of various dipolarophiles and aldazines [3]. In addition to aldazines, the reaction has been observed only for a few ketazines [4,5], glyoxalimines [6,7,8,9] and 1,2-diazabuta-1,3-dienes [7,8,9,10]. Hexafluoro-acetonazine behaves in an exceptional way and reacts with various types of compounds including alkenes [8,9,10,11,12,13,14,15] Within the alicyclic ketazines group, a criss-cross cycloaddition of KNCO in acetic acid [5] (Scheme 2), and cycloaddition of ammonium thiocyanate to cyclohexanone azine in acetic acid [9] (Scheme 3) are of significance.
Scheme 2.
Scheme 2.

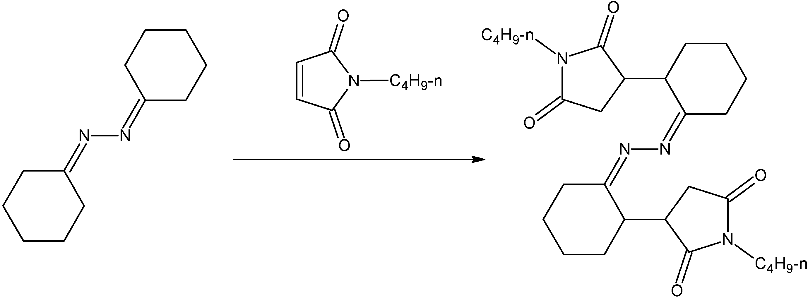
When other common dipolarophiles were used with cyclohexanone azine, no criss-cross products were observed. For example N-butylmaleinimide with cyclohexanone azine gave an addition product at the 2-position (Scheme 3) [10,11]. The methyl ester of acrylic acid reacts in a similar way [12]. Such behavior of alicyclic ketazines is explained by a possible reaction of their tautomeric enamine forms, whereby the ketazine reacts as an enamine.
Scheme 3.
Scheme 3.

Whereas cyclohexanone azine gives undefined products with other types of dipolarophiles such as maleic acid dimethyl ester, the product of the reaction with maleic acid anhydride is very much dependent on the solvent. Classical criss-cross product is formed in benzene, whereas in ether formation of monocyclohexylhydrazide of maleic acid is observed (Scheme 4) [13].
Scheme 4.
Scheme 4.

In our work, we decided to investigate the reactivity of alicyclic ketones having a different ring size with cyanic and thiocyanic acid and substituted cyanates and isothiocyanates. We anticipated the formation of spiropolycyclic saturated heterocycles.
Results and Discussion
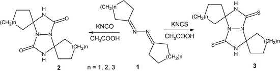
The azines for the criss-cross reactions were prepared by condensation of the corresponding alicyclic ketones with hydrazine hydrate in benzene using a Dean - Stark apparatus for continuous water removal. Products were purified by vacuum distillation. Criss-cross cycloadditions with HNCS was carried out with an excess of KNCS (molar ratio 1:5) and in presence of acetic acid (Scheme 5). For a criss-cross cycloaddition of HNCO, a modification of Schantl’s procedure [5] was used. A solution of ketazine in acetic acid (in stoichiometric molar ratio 1:2) is added dropwise to the aqueous solution of KCNO. Generally, HNCS affords better yields (Table 1) but the yields depend more on the size of the ketazine cycle. The yields of the HNCO additions range from 30 to 70 % and are generally less dependent on the size of the ring. All the described products are characterized by a very low solubility in common solvents. Even the solubility in trifluoroacetic acid is relatively low and is followed by decomposition. The criss-cross products are soluble in an excess of DMSO and DMF but their recovery in a solid state is very difficult. It led us to a purification of crude products by thorough and repeated extraction by ethanol, acetone and ether. The structure was proved by 2D-NMR experiments (HMBC, HMQC) on one of the products (2a, 3a) in each series.
Scheme 5.
Scheme 5.

Table 1.
| Derivative | n | Yield [%] | ||
|---|---|---|---|---|
| 1 | 2 | 3 | ||
| a | 1 | 48 | 58 | 65 |
| b | 2 | 45 | 66 | 90 |
| c | 3 | 42 | 33 | 3 |
The HMQC spectrum of compound 2a showed a long range correlation of the carbonyl carbon atom at 160 ppm and the quaternary carbon atom (82 ppm) with the acidic NH hydrogen atom (8.2 ppm). Similarly, compound 3a gave long range correlations of the thiocarbonyl carbon atom (169 ppm) and quaternary carbon atom (88 ppm) with the NH hydrogen atom (9.8 ppm). Another correlation was observed between this quaternary carbon atom and the hydrogen atoms on neighbouring carbon atoms of the cyclopentane ring which are differentiated under the anisotropic effect of the thiocarbonyl group and appeared at 2.67 and 1.74 ppm. The same atoms then showed a one bond correlation with the carbon atom of the cyclopentane ring (36.4 ppm) they are attached at.
The main fragmentation of compounds 2 in the MS is the splitting off of one HNCO, which is followed by the splitting off of the second HNCO molecule. Because the fragment formed from compounds 3 containing only one molecule of HNCS is unstable, in the MS the fragment without both HNCS moieties prevails. The other structures 2b,c and 3b,c were proven by the comparison of their spectra with those already mentioned.
We tried to extend the formation of heterocyclic scaffolding to compounds of higher molecular weight. Thus, compounds having two azine fragments were prepared as substrates for criss-cross cycloadditions. They were synthesized by a reaction of protected hydrazidates with cyclohexane-1,4-dione in ether/benzene in the presence of sodium hydride (Scheme 6) [14]. In this way we prepared stick-like compounds with two azine fragments that were used for criss-cross additions with HNCO and HCNS. The prepared products, however, are virtually insoluble. The products therefore could not be fully analysed and characterized. Their melting point are not well distinguished, their decomposition begins above 200oC without melting. Although we could not find a molecular ion in their MS, the splitting of HNCO and HCNS, respectively, is the prevailing direction of their fragmentations and these peaks possessed the highest abundance. Compounds prepared this way may be suitable materials for separation techniques.
Scheme 6.
Scheme 6.

Conclusions
We have managed to prepare criss-cross cycloadducts of KNCO and KNCS with cyclopentanone (1a), cyclohexanone (1b) and cycloheptanone azine (1c) in acetic acid. Thus, spiro compounds 2a-c and 3a-c were prepared. The reaction was also tested with phenyl isocyanate and phenyl isothiocyanate but in these cases, no criss-cross products were formed. Reactions of 5 containing two azino groups with HNCO and HNCS led to extremely insoluble solid products. The structures of these compounds could not be characterized by NMR. Because of a very low solubility of both our products, they might serve as solid supports for various separation techniques.
Acknowledgments
The authors thank Radovan Kareš for kindly providing the MS measurements and the Ministry of Education for financial support (Grant MSM 143100011).
Experimental
General
1H- and 13C-NMR spectra were obtained using a NMR Bruker Avance spectrometer and were recorded at 300 and 75.5 MHz respectively. Mass spectra (EI, 70 eV) were determined on a FISONS TRIO 1000. Melting points were measured on a Boetius Rapido PHMK 73/2106 (Wägetechnik) instrument equipped with a TM-1300K thermometer. TLC was carried out on Silufol (Kavalier), detection was made with a Fluotest Universal (Quazlampen, Hanau) or I2 vapors. All reagents and chemicals were obtained from Sigma-Aldrich Chemicals (Czech Republic) and were used as received unless otherwise noted.
Preparation of ketazines
Ketazines were prepared by condensation of ketones with hydrazine hydrate. The reaction water was separated by azeotropic distillation. The ketone (0.2 mol) was mixed with benzene (50 mL) in a flask. Then 100 % hydrazine hydrate (5.0 g, 0.1 mol) was slowly added. The reaction mixture spontaneously heated up and became opalescent. The opalescent solution was refluxed under a Dean - Stark apparatus for about 5 hours in order to separate water. Finally, the benzene was evaporated and the crude product was fractionally distilled under reduced pressure (~ 1 mm Hg).
Spectral Data
N,N'-dicyclopentylidenehydrazine (1a) [15]: Yield 48 %; 1H-NMR (CDCl3) δ: 1.66-1.71 (8H, m, -CH2-), 2.24 (4H, t, 3J = 6.9 Hz, -CH2-), 2.31 (4H, t, 3J = 6.8 Hz, -CH2-); 13C-NMR (CDCl3) δ: 24.0, 24.1, 28.6, 32.4, 172.8 (>C=N-); MS m/z (%): 165 (11), 164 (89), 163 (47), 136 (13), 135 (29), 123 (6), 122 (63), 121 (23), 110 (26), 109 (9), 108 (12), 107 (12), 98 (13), 97 (10), 96 (78), 95 (16), 94 (10), 93 (9), 84 (21), 83 (19), 82 (90), 81 (14), 80 (24), 79 (15).
N,N'-dicyclohexylidenehydrazine (1b) [15]: Yield 45 %; 1H-NMR (CDCl3) δ: 1.62-1.63 (8H, m, -CH2-), 1.71-1.76 (4H, m, -CH2-), 2.34 (4H, t, 3J = 6.3 Hz, -CH2-), 2.40 (4H, t, 3J = 5.8 Hz, -CH2-); 13C- NMR (CDCl3) δ: 26.1, 26.6, 27.7, 28.0, 35.9, 165.4 (>C=N-); MS m/z (%): 192 [M+], 177, 163, 149, 136, 124, 110, 96, 82, 69.
N,N'-dicycloheptylidenehydrazine (1c) [16]: Yield 42 %; 1H NMR (CDCl3) δ: 1.55-1.62 (16H, m, -CH2-), 2.33 (4H, d, 3J = 5.7 Hz, -CH2-), 2.46 (4H, d, 3J = 5.7 Hz, -CH2-); 13C NMR (CDCl3) δ: 25.1, 27.7, 30.6, 31.6, 165.8 (>C=N-); MS m/z (%): 223 (2), 222 (6), 221 (8), [M]+ 220 (29), 177 (18), 163 (38), 110 (72), 96 (21), 82 (42), 41 (100).
Criss-cross cycloaddition of KNCO in CH3COOH – General procedure
Reactions were carried out according to Schantl’s procedure [17]. The solution of azine (0.01 mol) in CH3COOH (0.024 mol, 1.44 g) was dropwise added to the solution of KNCO (0.024 mol, 1.94 g) in H2O (3.5 mL) at 0 °C within 15 minutes. The crude product was filtered off, washed with water, acetone and finally with ether.
3,7-Di-(butane-1,4-diyl)-perhydro[1,2,4]triazolo[1,2-a][1,2,4]triazole-1,5-dione (2a): From azine 1a (1.64 g, 0.01 mol). Yield 58 %; M.p. 221-226 °C; 1H-NMR (DMSO) δ: 1.58-1.67 (12H, m, -CH2-), 2.37-2.42 (4H, m, -CH2-), 8.17 (2H, s, NH); 13C-NMR (DMSO) δ: 21.6, 34.9, 82.1 (>C<), 161.3 (>C=O); MS m/z (%): 252 (1), 251 (6), [M]+ 250 (15), 208 (3), 207 (18), 179 (16), 178 (72), 165 (9), 164 (22), 163 (17), 141 (100), 135 (9), 125 (6), 122 (19), 113 (21), 112 (75), 110 (45), 108 (7).
3,7-Di-(pentane-1,5-diyl)-perhydro[1,2,4]triazolo[1,2-a][1,2,4]triazole-1,5-dione (2b): From azine 1b (1.92 g, 0.01 mol). Yield 66 %; M.p. 229-232 °C (Lit. 206-208 °C [5], 210 °C [4]); 1H-NMR (DMSO) δ: 1.37-1.66 (16H, m, -CH2-), 2.03-2.09 (4H, m, -CH2-), 8.20 (2H, s, NH); 13C-NMR (DMSO) δ: 22.4, 24.5, 34.6, 74.8 (>C<), 160.8 (>C=O); MS m/z (%): 280 (1), 279 (8), [M]+ 278 (11), 235 (22), 193 (18), 192 (55), 155 (100), 149 (22), 124 (41), 112 (39), 81 (46).
3,7-Di-(hexane-1,6-diyl)-perhydro[1,2,4]triazolo[1,2-a][1,2,4]triazole-1,5-dione (2c): From azine 1c (2.20 g, 0.01 mol).Yield 33 %; M.p. 220-222 °C; 1H-NMR (DMSO) δ: 1.37-1.75 (20H, m, -CH2-), 2.26-2.30 (4H, m, -CH2-), 8.18 (2H, s, NH); 13C-NMR (DMSO) δ: 21.4, 28.5, 37.9, 78.5 (>C<), 159.3 (>C=O); MS m/z (%): 308 (2), 307 (9), [M]+ 306 (10), 263 (6), 221 (68), 220 (46), 177 (19), 169 (43), 163 (34), 150 (21), 138 (37), 112 (53), 110 (37), 95 (42), 43 (100).
Criss-cross cycloaddition of KNCS in CH3COOH – General procedure
KSCN (2.5 g, 0.0257 mol) was dissolved in CH3COOH (20 mL) at room temperature. Then ketazine (0.005 mmol) was added and the reaction mixture was stirred for 1 hour. The suspension was poured in H2O (200 ml) and the precipitated product was filtered off.
3,7-Di-(butane-1,4-diyl)-perhydro[1,2,4]triazolo[1,2-a][1,2,4]triazole-1,5-dithione (3a): From azine 1a (0.82 g, 0.005 mol). Yield 65 %; M.p. 202-205 °C; 1H-NMR (DMSO) δ: 1.73-1.78 (12H, m, -CH2-), 1.68 (4H, s, -CH2-), 9.78 (2H, s, NH); 13C-NMR (DMSO) δ: 23.5, 24.0, 36.4, 87.4 (>C<), 167.7 (>C=S); MS m/z (%): 284 (1), 283 (3), [M]+ 282 (8), 230 (9), 223 (7), 194 (12), 165 (96), 164 (100), 163 (72), 141 (66), 122 (60), 110 (26), 96 (59), 59 (62).
3,7-Di-(pentane-1,5-diyl)-perhydro[1,2,4]triazolo[1,2-a][1,2,4]triazole-1,5-dithione (3b): From azine 1b (0.96 g, 0.005 mol). Yield 90 %; M.p. 234-237 °C; 1H-NMR (DMSO) δ: 1.56-1.79 (16H, m, -CH2-), 2.55-2.65 (4H, m, -CH2-), 9.89 (2H, s, NH); 13C-NMR (DMSO) δ: 21.0, 24.2, 33.3, 81.4 (>C<), 168.2 (>C=S); MS m/z (%): 312 (2), 311 (3), [M]+ 310 (22), 193 (12), 192 (23), 174 (12), 163 (14), 155 (100), 149 (40), 147 (34), 136 (21), 110 (22), 98 (49), 96 (39), 81 (62), 59 (56).
3,7-Di-(hexane-1,6-diyl)-perhydro[1,2,4]triazolo[1,2-a][1,2,4]triazole-1,5-dithione (3c): From azine 1c (1.10 g, 0.005 mol). Yield 3 %; M.p. > 300 °C; 1H-NMR (DMSO) δ: 1.52-1.66 (16H, m, -CH2-), 1.75-1.91 (4H, m, -CH2-), 2.58-2.71 (4H, d, -CH2-), 9.67 (2H, s, NH); 13C-NMR (DMSO) δ: 26.1, 29.3, 35.8, 37.7, 84.2 (>C<), 167.4 (>C=S); MS m/z (%): [M]+ 338 (1), 269 (3), 268 (22), 267 (11), 221 (8), 220 (56), 163 (52), 150 (33), 112 (27), 110 (59), 96 (26), 58 (100).
Preparation of double azine: Diethoxyphosphinylhydrazine
Diethoxyphosphinylhydrazine was prepared according to the literature [18] with slight modifications. Finely pulverised water-free K2CO3 (13.8 g, 0.1 mol), triethylbenzylammonium chloride (0.15 g, 0.66 mol), CH2Cl2 (70 mL) and CCl4 (40 mL) were placed to a flask equipped with a magnetic stirrer and cooled in water-ice bath to 0-5 °C. Then hydrazine hydrate (6.15 g, 0.13 mol) was in one portion added and stirred for 15-20 minutes. Finally diethyl phosphonate (9.11 g, 0.066 mol) in CH2Cl2 (10 mL) was added within 15 minutes under continuous cooling. The reaction mixture was cooled for another 30 minutes. Then the bath was removed and the reaction mixture was stirred overnight. The next day, the organic layer was separated, the solid was washed with CH2Cl2 (20 ml) and the united organic layers were concentrated in high vacuum. The resulting diethoxyphosphinyl-hydrazine (11 g, 99 %) was of sufficient purity to be used for the next steps. 1H-NMR (CDCl3) δ: 1.33 (6H, t, J=6.93 Hz,-CH3), 3.36 (2H, s, PONHNH2), 4.06 (4H, dq, J=6.93 Hz, JPH=7.18 Hz, OCH2CH3), 4.61 (1H, d, 2JP,H=29.7 Hz, PONHNH2); 13C-NMR (CDCl3) δ: 16.3 (d, 4JC,P=24.1 Hz, CH2CH3), 62.9 (d, 3JC,P=20.1 Hz, CH2CH3); 31P-NMR (CDCl3): 9.49 Hz; MS m/z (%): 169 (10), [M+] 168 (53), 141 (6), 140 (100), 139 (7), 138 (7), 126 (6), 125 (27), 123 (5), 114 (5), 113 (72), 112 (100), 111 (32), 110 (11), 109 (23), 108 (3), 107 (5), 98 (24), 97 (5), 96 (11), 95 (42), 94 (32), 93 (9), 91 (25), 83 (95), 82 (100), 81 (100), 80 (25).
Cyclopentanone diethoxyphosphinylhydrazone (4).
Diethoxyphosphinylhydrazine (5.04 g, 0.03 mol) was added to a cooled solution of cyclopentanone (3.02 g, 0.036 mol) in benzene (10 mL). Then the reaction mixture was refluxed under a Dean - Stark apparatus for 3 hours and then concentrated in high vacuum to give a crude product (7.26 g, 97%). An analytical sample was prepared by crystallization from 1:2 benzene-hexane. M.p. 53-54.5 °C (benzene/hexane). 1H-NMR (CDCl3) δ: 1.31 (6H, t, -CH3), 1.69-1.84 (4H, m, -CH2-), 2.16 (2H, t, 3JH,H=7.25 Hz), 2.37 (2H, t, 3JH,H=7.25 Hz), 4.06-4.21 (4H, m, -CH2-), 6.24 (1H, d, 2JP,H=25.1 Hz, NH); 13C-NMR (CDCl3) δ: 16.3 (d, 3JC,P=24.1 Hz, CH2CH3), 24.9, 26.8, 33.3, 63.3 (d, 3JC,P=24.1 Hz, CH2CH3), 163.0 (d, 3JC,P=63.3 Hz, C=N-N-PO); 31P-NMR (CDCl3): 4.10 Hz; MS m/z (%): 235 (4), [M]+ 234 (25), 233 (5), 205 (8), 180 (10), 178 (5), 177 (16), 161 (8), 154 (12), 152 (21), 126 (23), 124 (28), 110 (8), 109 (21), 108 (8), 98 (96), 97 (48), 95 (7), 91 (6), 83 (18), 82 (100).
Cyclohexane-1,4-dione bis(cyclopentylidenehydrazone) (5)
A solution of cyclopentanone diethoxyphosphinylhydrazone (2.15 g, 0.009 mol) and cyclohexane-1,4-dione (0.50 g, 0.0046 mol) in benzene (28 mL) was added to a stirred suspension of NaH (0.34 g, 0.014 mol) in ether (28 mL) in a cooling bath. Immediately evolution of hydrogen occurred and the reaction mixture was stirred for 3 hours. Bright-yellow organic layer was separated and tarry residue washed with ether. After evaporation of solvent, crude product (1.17 g, 93%) was obtained. M.p. 105-108 °C; 1H-NMR (CDCl3) δ: 1.72-1.80 (8H, m, -CH2-), 2.28-2.46 (8H, m, -CH2-), 2.55-2.68 (8H, m, -CH2-); 13C-NMR (CDCl3) δ: 24.97, 26.88, 29.41, 31.64, 33.35, 163.76 (C=N), 174.84 (C=N); MS m/z (%): 273 (3), [M]+ 272 (15), 191 (5), 190 (10), 189 (18), 188 (7), 162 (9), 161 (63), 160 (6), 147 (7), 135 (5), 134 (11), 110 (9), 109 (23), 108 (8), 107 (14), 94 (6), 84 (31), 83 (100), 82 (40), 81 (22), 80 (22).
References
- Bailey, J.R.; Moore, N.H. J. Am. Chem. Soc. 1917, 39, 279–291.
- Bailey, J.R.; McPherson, A.T. J. Am. Chem. Soc. 1917, 39, 1322–1338.
- Wagner-Jauregg, T. Synthesis 1976, 349–373.
- Dutt, D.B.; Guha, P.C. Curr. Sci. 1949, 18, 297.
- Schantl, J.G.; Gstach, H.; Hebeisen, P.; Lanznaster, N. Tetrahedron 1985, 5525–5528.
- Sakamoto, M.; Tomimatsu, Y.; Miyazawa, K.; Tokoro, K. Yakugaku Zasshi 1972, 1462–1467.
- Schantl, J.G.; Nadenik, P. Syn. Lett. 1998, 7, 786–788.
- Burger, K.; Schickaneder, H.; Hein, F.; Gieren, A.; Lamm, V.; Engelhardt, H. Liebigs Ann. Chem. 1982, 845–852.
- Kumar, H.; Goyal, R.; Kaur, S.; Anand, R.D.; Parmar, A.; Kumar, B. Indian J. Chem., Sect. B: Org. Chem. Incl. Med. Chem. 2002, 2182–2184.
- Wagner-Jauregg, T. Schweiz Patent 459, 244, 1965.
- Wagner-Jauregg, T.; Zirngibl, L. Chimia 1965, 19, 393–395.
- Häring, M.; Wagner-Jauregg, T. Helv. Chim. Acta 1957, 40, 852–871.
- Dutt, D.B.; Guha, P.C. J. Indian Chem. Soc. 1950, 27, 151–155.
- Hoogesteger, F.J.; Havenith, R.W.A.; Zwikker, J.W.; Jenneskens, L.W.; Huub, K.; Veldman, N.; Spek, A.L. J. Org. Chem. 1995, 4375–4384.
- Perkin, Wm.H., Jr.; Plant, S.G.P. J. Chem. Soc. 1925, 127, 1138–1141.
- Casanova, J.; Waegell, B. Bull. Soc. Chim. Fr. 1975, 598–606.
- Schantl, J.G.; Gstach, H.; Hebeisen, P.; Lanznaster, N. Tetrahedron 1985, 5525–5528.
- Chen, G.S.; Wilbur, J.K.; Barnes, Ch.L.; Glaser, R. J. Chem. Soc. Perkin Trans. 1995, 2311–2318. [CrossRef]
- Sample Availability: Samples are available from the authors.
© 2006 by MDPI (http://www.mdpi.org). Reproduction is permitted for noncommercial purposes.