Abstract
The 3+2 cycloaddition reaction of 1-(4-phenylphenacyl)-1,10-phenanthrolinium ylide 4 with activated alkynes gave pyrrolo[1,2-a][1,10]phenanthrolines 6a-d. The "one pot" synthesis of 6a,b,d from 4, activated alkenes, Et3N and tetrakis-pyridine cobalt (II) dichromate (TPCD) is described. The helical chirality of pyrrolophenanthrolines 6b-d was put in evidence by NMR spectroscopy.
Introduction
The synthesis of pyrrolo[1,2-a][1,10]phenanthroline by 1,3-dipolar cycloaddition of 1,10-phenanthrolinium N-ylides and acetylenic dipolarophiles was recently described. [1,2,3,4] Owing to the angular condensation, it was expected that the skeleton of this heterocyclic system might deviate from planarity, conferring helicity on the molecule. Here we describe the reaction of 1-(4-phenylphenacyl)-1,10-phenanthrolinium N-ylide (4) with activated alkynes and alkenes giving new pyrrolo[1,2-a][1,10]phenanthrolines 6a-d. The 1,3-dipolar cycloaddition of 1,10-phenanthrolinium N-ylides to activated alkenes is described in detail for the first time.
Results and Discussion
1-(4-Phenylphenacyl)-1,10-phenanthrolinium bromide (3) was obtained by refluxing 1,10-phenanthroline monohydrate (1) and 2-bromo-4’-phenylacetophenone (2) in acetone. The structure of the cycloimmonium bromide was assigned by elemental analysis and NMR spectroscopy. In the 1H-NMR spectrum of salt 3, recorded in DMSO-d6, the methylenic hydrogens appeared as a broad singlet. This is due to non-planarity of the phenanthroline, as we reported recently [5].
The 1,10-phenanthrolinium N-ylide 4, being unstable, was generated in situ by deprotonation of the cycloimmonium salt 3 with triethylamine. The ylide 4 can react as 1,3-dipole with acetylenic dipolarophiles. Treatment of the ylide 4 with dimethyl, diethyl or diisopropyl acetylenedicarboxylates in dichloromethane at room temperature gave a mixture of cis-3,3a-dihydro pyrrolophenanthrolines 5a‑c, along with variable amounts of pyrrolophenanthrolines 6a-c.[1,2,3] Refluxing the above mixture in ethanol leads to the pyrrolophenanthrolines 6a-c in yields of over 60% (Scheme 1).
Scheme 1.
Scheme 1.

R: 4-C6H5C6H4; E: a: CO2CH3, b: CO2C2H5, c: CO2CH(CH3)2
The structure of the dihydroderivatives 5 was assigned by 1H- and 13C-NMR spectroscopy. The H-3 atom (δ = 4.59 ppm) appeared as a doublet with coupling constant J = 13.8 Hz, whereas H-3a (δ = 5.41 ppm) gave a double triplet with coupling constants of 13.8, 2.6 and 2.1 Hz, the last two values corresponding to the coupling with H-4 and H-5 hydrogens. In turn, the H-4 and H-5 atoms gave two double doublets at δ = 6.41 ppm, J = 2.6 and 9.7 Hz and at δ = 5.94 ppm, J = 2.1 and 9.7 Hz, respectively. The large value of the vicinal coupling constant between H-3 and H-3a (J = 13.8 Hz) indicated cis configuration, in agreement with similar values in pyrrolinic moieties [6,7].
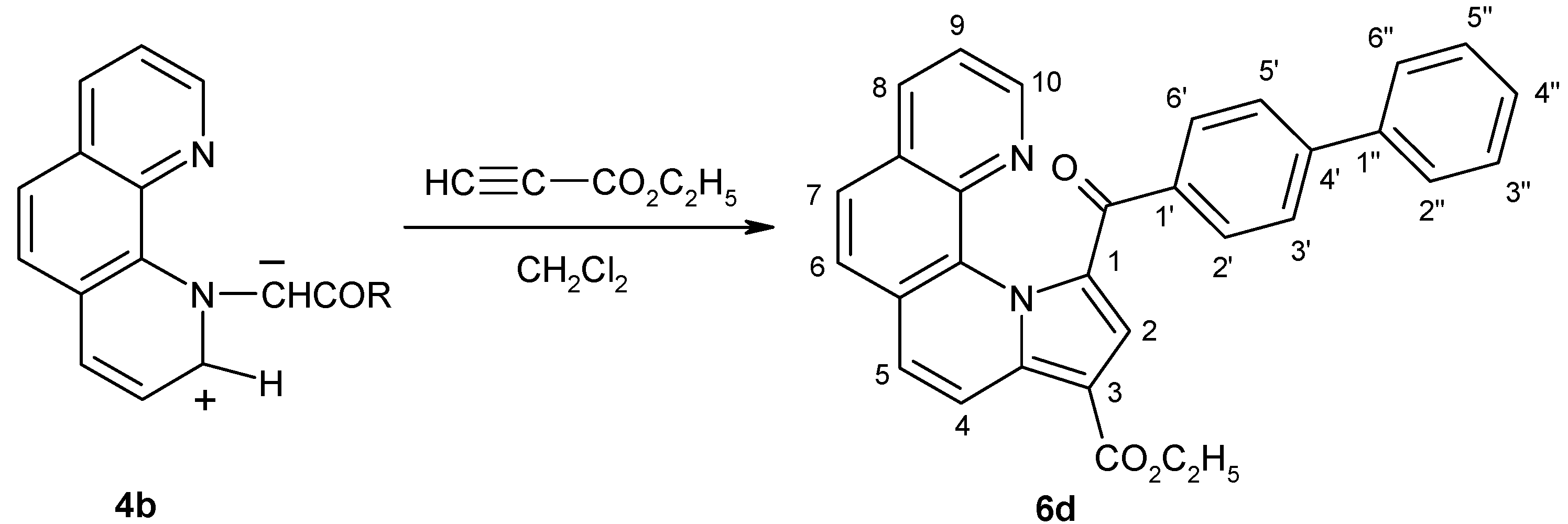
The 1,3-dipolar cycloaddition between ylide 4 and unsymmetrical alkyne ethyl propiolate is regiospecific and the pyrrolophenanthroline derivative 6d is obtained (Scheme 2).
Scheme 2.
Scheme 2.

R: 4-C6H5C6H4
The pyrrolophenanthrolines 6a,b were also obtained by synthesis from salt 3, methyl or ethyl maleate, triethylamine and tetrakis-pyridine cobalt (II) dichromate [Py4Co(HCrO4)2, TPCD] in DMF, at 80-90°C (Scheme 3). Similarly, the compound 6d was obtained from bromide 3, triethylamine, ethyl acrylate and TPCD. This method was described previously in the case of other heteroaromatic N-ylides [8,9,10].
Scheme 3.
Scheme 3.

R: 4-C6H5C6H4; E: a: CO2CH3, b: CO2C2H5
The structures of the pyrrolophenanthrolines 6a-d were assigned by elemental analysis and NMR spectroscopy. In the 1H-NMR spectrum of compound 6b, recorded in CDCl3, the methylenic hydrogens of the ester group appeared as two ABX3 patterns multiplets. A similar observation was made for compound 6d. At room temperature, the same ABX3 pattern multiplets for the methylenic hydrogens was observed [11]. In the case of the compund 6c, the methyl groups in each isopropyl radical were found to be non-equivalent in the 1H-NMR spectrum as well as in the 13C-NMR spectrum.
The behaviour can be explained by non-coplanarity between pyrrolic and pyridinic moieties, which imparts helical chirality to the molecules of 6b-d, at room temperature.[12] This behaviour renders the molecular framework chiral, explaining thereby the non-equivalence of the diastereotopic methylene and methyl (in the isopropyl group) hydrogens in the 1H-NMR spectra. This hypothesis was confirmed by X-ray analysis of the compound 6d [11].
Conclusions
The new pyrrolo [1,2-a][1,10]phenanthrolines 6a-d were obtained by 1,3-dipolar cycloaddition between N-ylide 4 and activated alkynes. A new approach to 1,3-dipolar cycloaddition to 1,10-phenanthrolinium N-ylides is described, namely the "one pot" reaction with activated alkenes, in the presence of a versatile mild oxidant (TPCD).
Experimental
General
Melting points were determined on a Boëtius hot plate and are uncorrected. The NMR spectra were recorded on a Varian Gemini 300 BB instrument, operating at 300 MHz for 1H and 75 MHz for 13C.
1-(4-Phenylphenacyl)-1,10-phenanthrolinium bromide (3)
1,10-Phenanthroline hydrate (4 g, 20 mmol) and 2’-bromo-4-phenylacetophenone (5.5 g, 20 mmol) were refluxed in acetone (80 mL) for 24 hrs. The precipitate formed was filtered by suction and washed with acetone (50 mL). Yield 75%, m.p. 227-230 ºC (from ethanol); Anal. Calcd. For C26H19BrN2O: C 68.58; H 4.21; Br 17.55; N 6.15. Found C 68.91, H 4.53, Br 17.93; N 6.42; 1H-NMR (DMSO-d6, δ, ppm, J, Hz): 7.36 (bs, 2H, CH2); 7.48-7.51 (m, 1H, H-4”); 7.54-7.59 (m, 2H, H-3”, H-5”); 7.85-7.88 (m, 2H, H-2”, H-6”); 7.91 (dd, 1H, 8.2, 4.3, H-8); 8.04 (d, 2H, 8.5, H-3’, H-5’); 8.28 (d, 2H, 8.5, H-2’, H-6’); 8.48 and 8.51 (2d, 2H, 8.9, H-5, H-6); 8.53 (dd, 1H, 4.3, 1.8, H-9); 8.64 (dd, 1H, 8.2, 5.9, H-3); 8.78 (dd, 1H, 8.2, 1.8, H-7); 9.62 (dd, 1H, 8.2, 1.4, H-4); 9.71 (dd, 1H, 5.9, 1.4, H-2); 13C-NMR (DMSO-d6, δ, ppm): 69.6 (CH2); 124.8 (C-3); 125.5 (C-8); 127.0 (C-6); 127.1 (C-2”, C-6”); 127.4 (C-3’, C-5’); 128.7 (C-4”); 128.9 (C-2’, C-6’); 129.2 (C-3”, C-5”); 130.7 (C-5); 131.5 (C-4a); 132.0 (C-6a); 133.1 (C-1’); 136.3 (C-10b); 138.0 (C-7); 138.4 (C-10a); 138.6 (C-1”); 145.3 (C-4’); 148.1 (C-4); 148.9 (C-9); 152.1 (C-2); 190.2 (COAr).
Diesters of 1-(4-phenylbenzoyl)-pyrrolo[1,2-a][1,10]phenanthroline-2,3-dicarboxylate (6a-c): General procedure:
Phenanthrolinium salt 3 (2.3 g, 5 mmol) was suspended in dichloromethane (25 mL) and then dimethyl (diethyl or diisopropyl) acetylenedicarboxylate (5.5 mmol) was added. Under vigorous stirring, triethylamine (0.7 mL, 5 mmol, dissolved in 5 mL of methylene chloride) was added dropwise. After 20 min the reaction mixture was washed twice with water (50 mL) and the solvent evaporated. The residue was refluxed in ethanol for an hour and the precipitate was isolated by filtration.
Dimethyl 1-(4-phenylbenzoyl)-pyrrolo[1,2-a][1,10]phenanthroline-2,3-dicarboxylate (6a). Yellow crystals (from DMF). Yield 60%, m.p. 286-7°C; Anal. Calcd. for C32H22N2O5: C 74.70, H 4.31, N 5.44. Found C 75.02, H 4.62, N 5.71; 1H-NMR (CDCl3+TFA, δ, ppm, J, Hz): 3.68, 3.96 (2s, 6H, CH3); 7.38-7.42 (m, 1H, H-4”); 7.43-7.47 (m, 2H, H-3”, H-5”); 7.50-7.55 (m, 2H, H-2”, H-6”); 7.51 (d, 2H, 8.3, H-3’, H-5’); 7.62 (d, 2H, 8.3, H-2’, H-6’); 7.96 (d, 1H, 9.5, H-5); 8.22 (dd, 1H, 8.2, 6.3, H-9); 8.29, 8.38 (2d, 2H, 8.9, H-6, H-7); 8.58 (d, 1H, 9.5, H-4); 9.15 (dd, 1H, 8.1, 1, H-8); 9.42 (dd, 1H, 6.3, 1, H-10); 13C-NMR (CDCl3+TFA, δ, ppm): 52.7, 53.6 (2 CH3); 96.5 (C-3); 117.7, 119.2, 122.5, 126.4, 126.9, 128.5, 130.5 (C-1, C-2, C-3a, C-5a, C-7a, C-11a, C-11b); 124.3 (C-5); 124.6 (C-9); 124.7 (C-4); 125.9 (C-7); 126.1 (C-3', C-5'); 127.0 (C-2", C-6"); 127.8 (C-2', C-6'); 128.4 (C-4"); 129.0 (C-3", C-5"); 130.2 (C-6); 139.0, 139.4 (C-1', C-1"); 144.4 (C-4'); 144.5 (C-10); 147.1 (C-8); 164.0 (2-CO2Me); 166.3 (3-CO2Me); 184.2 (COAr).
Diethyl 1-(4-phenylbenzoyl)-pyrrolo[1,2-a][1,10]phenanthroline-2,3-dicarboxylate (6b). Yellow crystals (from nitromethane). Yield 84%, m.p. 228-31ºC. Anal. Calcd. for C34H26N2O5: C 75.26, H 4.83, N 5.16. Found C 75.55, H 5.09, N 5.38; 1H-NMR (CDCl3, δ, ppm, J, Hz): 1.07 (t, 3H, 7.1, 2-CH2CH3); 1.38 (t, 3H, 7.1, 3-CH2CH3); 3.77, 3.80 (2q, 1H, 10.2, 7.1, 2-CHAHBCH3); 3.92, 3.95 (2q, 1H, 10.4, 7.1, 2-CHAHBCH3); 4.13-4.47 (m, 2H, 3-CH2CH3); 7.32 (dd, 1H, 8.1, 4.3, H-9); 7.41-7.44 (m, 1H, 7.4, H-4”); 7.47-7.52 (m, 2H, 7.4, H-3”, H-5”); 7.68 (d, 1H, 9.2, H-5); 7.69-7.71 (m, 1H, 7.4, H-2”, H-6”); 7.75 (d, 2H, 8.4, H-3’, H-5’); 7.78 and 7.84 (2d, 2H, 8.6, H-6, H -7); 8.08 (dd, 1H, 4.3, 1.7, H-10); 8.15 (dd, 1H, 8.1, 1.7, H-8); 8.23 (d, 2H, 8.4, H-2’, H-6’); 8.56 (d, 1H, 9.2, H-4); 13C-NMR (CDCl3, δ, ppm): 13.7, 14.3 (2 CH3); 60.2, 61.6 (2 CH2); 104.1 (C-3); 120.3 (C-4); 122.5 (C-9); 125.3 (C-7); 125.7, 125.9, 127.7, 129.0, 130.8, 137.3, 137.4 (C-1, C-2, C-3a, C-5a, C-7a, C-11a, C-11b); 126.0 (C-5); 126.6 (C-3’, C-5’); 126.7 (C-6); 127.3 (C-2”, C-6”); 128.2 (C-4”); 129.0 (C-3”, C-5”); 130.6 (C-2’, C-6’); 136.0 (C-8); 136.8 (C-1’); 140.1 (C-1”); 144.8 (C-4’); 145.8 (C-10); 163.6 (2-CO2Et); 165.6 (3-CO2Et); 184.1 (COAr).
Diisopropyl 1-(4-phenylbenzoyl)-pyrrolo[1,2-a][1,10]phenanthroline-2,3-dicarboxylate (6c). Yellow crystals (from acetonitrile). Yield 80%, m.p. 193-5°C. Anal. Calcd. for C36H30N2O5: C 75.77, H 5.30, N 4.91. Found C 76.1, H 5.58, N 5.07; 1H-NMR (CDCl3, δ, ppm, J, Hz): 0.90, 1.12 (2d, 6H, 6.3, 2-CH(CH3)2); 1.37, 1.40 (2d, 6H, 6.3, 3-CH(CH3)2); 4.78 (sep, 1H, 6.3, 2-CH(CH3)2); 5.32 (sep, 1H, 6.3, 3-CH(CH3)2); 7.32 (dd, 1H, 8.2, 4.3, H-9); 7.41-7.43 (m, 1H, 7.3, H-4”); 7.47-7.52 (m, 2H, 7.3, H-3”, H-5”); 7.68 (d, 1H, 9.2, H-5); 7.69-7.72 (m, 2H, 7.3, H-2”, H-6”); 7.75 (d, 2H, 8.2, H-3’, H-5’); 7.79, 7.86 (2d, 2H, 8.5, H-6, H-7); 8.01 (dd, 1H, 4.3, 1.7, H-10); 8.15 (dd, 1H, 8.2, 1.7, H-8); 8.26 (d, 2H, 8.2, H-2’, H-6’); 8.59 (d, 1H, 9.2, H-4); 13C-NMR (CDCl3, δ, ppm): 20.9, 21.5, 22.0, 22.1 (4 CH3); 67.8, 69.6 (2CH); 104.1 (C-3); 120.4 (C-4); 122.4 (C-9); 125.1 (C-7); 125.6 (C-5); 125.6, 125.8, 127.6, 129.1, 130.8, 137.2, 137.4 (C-1, C-2, C-3a, C-5a, C-7a, C-11a, C-11b); 126.7 (C-6); 126.8 (C-3’, C-5’); 127.0 (C-2”, C-6”); 128.0 (C-4”); 128.9 (C-3”, C-5”); 130.8 (C-2’, C-6’); 135.9 (C-8); 136.7 (C-1’); 140.2 (C-1”); 144.9 (C-4’); 145.6 (C-10); 163.1 (2-CO2iPr); 165.2 (3-CO2iPr); 183.8 (COAr).
Ethyl 1-(4-phenylbenzoyl)-pyrrolo[1,2-a][1,10]phenanthroline-3-carboxylate (6d)
Phenanthrolinium salt 3 (2.3 g, 5 mmol) was suspended in dichloromethane (25 mL) and then of ethyl propiolate (0.6 mL, 6 mmol) were added. Under vigorous stirring triethylamine (0.75 mL, 5 mmol, dissolved in 5 mL of methylene chloride) were added dropwise. After 20 min the reaction mixture was washed with water (50 mL) and the solvent evaporated. The residue was purified by column chromatography on neutral Al2O3 using CH2Cl2 as eluent. The product was recrystallized from an acetonitrile and ethanol mixture (2:1) to give yellow crystals.Yield 37%, m.p. 234-6°C. Anal. Calcd. for C31H22N2O3: C 79.13, H 4.71, N 5.95. Found C 79.41, H 5.02, N 6.24; 1H-NMR (CDCl3, δ, ppm, J, Hz): 1.44 (t, 3H, 7.1, CH3); 4.38-4.50 (m, 2H, CH2); 7.36 (dd, 1H, 8.2, 4.2, H-9); 7.41-7.47 (m, 1H, H-4"); 7.49-7.56 (m, 2H, H-3", H-5"); 7.65 (s, 1H, H-2); 7.71 (d, 1H, 9.3, H-5); 7.73-7.78 (m, 3H, H-6/H-7, H-2", H-6"); 7.82 (d, 2H, 8.5, H-3', H-5'); 7.87 (d, 1H, 8.6, H-6/H-7); 8.14 (dd, 1H, 8.2, 1.8, H-8); 8.28 (dd, 1H, 4.2, 1.8, H-10); 8.34 (d, 2H, 8.5, H-2', H-6'); 8.60 (d, 1H, 9.3, H-4); 13C-NMR (CDCl3, δ, ppm): 14.5 (CH3); 60.0 (CH2); 106.2 (C-3); 120.0 (C-4); 121.6 (C-2); 122.3 (C-9); 124.9, 126.5 (C-6, C-7); 125.4, 127.7, 129.6, 132.7, 136.5, 138.1 (C-1, C-3a, C-5a, C-7a, C-11a, C-11b); 125.6 (C-5); 126.9 (C-3', C-5'); 127.3 (C-2", C-6"); 128.0 (C-4"); 128.9 (C-3", C-5"); 130.7 (C-2', C-6'); 135.7 (C-8); 138.7, 140.2, 145.0 (C-1', C-4', C-1"); 146.0 (C-10); 164.6 (CO2Et); 184.7 (COAr).
General procedure for "one pot" synthesis of pyrrolophenanthrolines 6a,b,d
A solution of salt 3 (5 mmol), alkene (15 mmol) (dimethyl-, diethylmaleate or ethyl acrylate), triethylamine (6 mmol) and TPCD (5 mmol) in DMF (30 mL) was stirred at 80-90ºC for 6 hrs. It was then cooled to the room temperature and a 5% aqueous HCl solution (100 mL) was added. The precipitate was filtered and purified by recrystallization from a suitable solvent. The pyrrolophenanthrolines 6a,b,d were obtained in 32-61% yields.
References and Notes
- Dumitrascu, F.; Mitan, C. I.; Draghici, C.; Caproiu, M. T.; Raileanu, D. Tetrahedron Lett. 2001, 8379.
- Dumitrascu, F.; Mitan, C. I.; Draghici, C.; Caproiu, M. T. Rev. Roum. Chim. 2002, 47, 881, [Chem. Abstr. 2004, 140, 111296e].
- Dumitrascu, F.; Mitan, C. I.; Draghici, C.; Caproiu, M. T.; Raileanu, D. Rev. Chim. 2002, 53, 787, [Chem. Abstr. 2003, 138, 368790m].
- Ramona, D.; Rotaru, A.; Drochioiu, G.; Druta, I. J. Heterocycl. Chem. 2003, 40, 283. [CrossRef]
- Dumitrascu, F.; Caira, M. R.; Draghici, C.; Caproiu, M. T.; Badoiu, A. J. Chem. Crystallogr. 2004, in press.
- Kutsuma, T.; Sekine, Y.; Fujiyama, K.; Kobayashi, Y. Chem. Pharm. Bull. 1972, 20, 2701–2706. [CrossRef]
- Frolich, J.; Krohnke, F. Chem. Ber. 1971, 104, 1621–1628. [CrossRef]
- Wei, X.; Hu, Y.; Li, T.; Hu, H. J. Chem. Soc. Perkin Trans I 1993, 2487.
- Zhou, J.; Hu, Y.; Hu, H. J. Heterocycl. Chem. 2000, 37, 1165. [CrossRef]
- Wang, B.; Hu, J.; Zhang, X.; Hu, Y.; Hu, H. J. Heterocycl. Chem. 2000, 37, 1533. [CrossRef]
- Dumitrascu, F.; Caira, M. R.; Draghici, C.; Caproiu, M. T.; Barbu, L.; Badoiu, A. submitted to. J. Chem. Crystallogr. 2004.
- Eliel, E. L.; Wilen, S. H. Stereochemistry of Organic Compounds; Wiley: New York, 1994; pp. 1163–1166. [Google Scholar]
- Sample Availability: Available from the authors.
© 2005 by MDPI (http://www.mdpi.org). Reproduction is permitted for noncommercial purposes.