Abstract
Stereoselective synthesis of 5-7 membered cyclic ethers was achieved by deiodonative ring-enlargement of cyclic ethers having an iodoalkyl substituent. The reaction took place readily under mild conditions using hypervalent iodine compounds and an acetoxy or a trifluoroacetoxy group was introduced into the rings depending on the hypervalent iodine reagent employed. The use of hexafluoroisopropanol (HFIP) as solvent is critical.
Introduction
Recently, we found that 5-7 membered fluoro cyclic ethers 2 can be stereoselectively prepared from 4-6 membered ones having an iodoalkyl substituent at the 2-position, 1, by the fluorinative ring-enlargement reaction induced by iodotoluene difluoride [1]. During our continued study of ring-enlargement reaction of cyclic ethers 1 using hypervalent iodine compounds, we found that cyclic ether having an acetoxy or a trifluoroacetoxy group, key intermediates for the synthesis of cyclic polyether natural compounds [2,3,4,5], can be stereoselectively synthesized by the reaction with (diacetoxyiodo)toluene (DIT) or [bis(trifluoroacetoxy)]iodobenzene (BTI).
Results and Discussion
When 2-(2-iodononyl)tetrahydrofuran (1a), obtained as a single stereoisomer by the iodocyclization reaction of (E)-4-methyl-4-tridecen-1-ol [6,7,8,9,10,11,12], was treated with DIT and acetic acid in a mixture of CH2Cl2 and hexafluoroisopropanol (HFIP) at room temperature, the acetoxylated tetrahydropyran derivative 3a was obtained as a main product, along with an acetoxy group-substituted tetrahydrofuran derivative 5a as a minor product (Table 1, Entries 2–4). The use of HFIP as solvent was critical [13] and without it, the reaction was sluggish (Entry 1). The best result was obtained by carrying out the reaction at room temperature in a 1:1 mixture of CH2Cl2 and HFIP without AcOH, and 3a was isolated in 80 % yield with high selectivity (3a:5a = 34:1) (Entry 5). A commercially available (diacetoxyiodo)benzene showed a similar reactivity as DIT (Entry 7). When BTI was used instead of DIT, the starting material 1a was consumed quickly, but a mixture of unidentifiable products was formed.
Table 1.
Ring-enlargement reaction of 1a using DITa
The ring-enlargement reaction steroselectively proceeded to provide 3a as a single stereoisomer and its stereochemistry was determined from NOESY experiment.
As shown in Table 2, various 2,5-substituted tetrahydrofuran derivatives 1b-d could be converted to the corresponding 2,5-disubstituted tetrahydropyran derivatives 3b-d, which can be key intermediates for the synthesis of natural products [2]. The reaction proceeded stereospecifically and the trans- 3c or cis-2,5-disubstituted tetrahydropyran derivative 3d was obtained selectively from trans- 1c or the cis-disubstituted derivative 1d, respectively. A 7-membered cyclic ether, 3g, could also be prepared stereoselectively from a tetrahydropyran derivative, 1g, using DIT.
Table 2.
Acyloxy ring-enlargement of cyclic ethers by DIT and BTIa
On the other hand, the reaction of 4-membered cyclic ethers 1e,f with DIT was sluggish and the starting materials remained even after 24 h. Ring-enlargement of 1e,f could be achieved by using BTI instead of DIT and the corresponding tetrahydrofuran derivatives 3e,f having a trifluoroacetoxy group could be obtained stereospecifically .
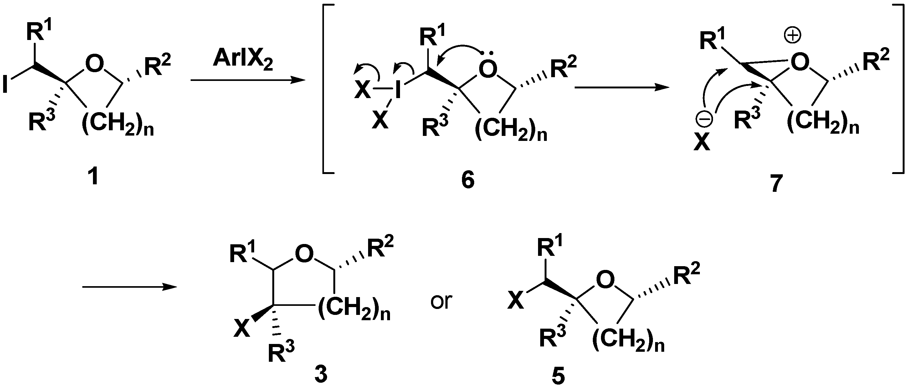
The reaction must proceed as follows: the oxidation of 1 by ArIX2 gives an unstable hypervalent iodine intermediate 6 [14], which decomposes to an oxonium ion intermediate 7. The attack of an acyloxy group at the internal carbon of 7 provides the ring-enlarged product 3. On the other hand, an attack of an acyloxy group on the terminal carbon of 7 gives simple substituted product 5. As the bond cleavage between oxygen and the internal carbon in 7 generates a more stable carbocation, the formation of 3 takes place predominantly (Scheme 1).
Scheme 1.
Scheme 1.

Conclusions
We have succeeded in the stereoselective synthesis of 5-7 membered cyclic ethers by deiodonative ring-enlargement of cyclic ethers having an iodoalkyl substituent using hypervalent iodine compounds. According to the method, an acyloxy group-substituted cyclic ethers could be readily prepared under mild conditions.
Experimental
General
1H-NMR (400MHz) and 13C-NMR (100MHz) spectra were recorded in CDCl3 on a JEOL JNM-A400II FT NMR and the chemical shift, δ, is referred to TMS. The EI-low and high-resolution mass spectra were measured on a JEOL JMS-700TZ, JMS-FABmate or JMS-HX110. DIT was prepared from iodotoluene according to the literature [14]. BTI was obtained from Sigma-Aldrich Co. and used without further purification.
(2R*, 3S*)-3-Acetoxy-2-octyl-3-methyltetrahydropyran (3a). To DIT (370 mg, 1.1 mmol) in a mixture of HFIP (1 mL) and CH2Cl2 (1 mL), was added a CH2Cl2 solution (1 mL) of 1a (324 mg, 1 mmol) at room temperature and the mixture was stirred at the temperature for 1 h. Water (5 mL) and ether (5 mL) were added to the reaction mixture and the separated aqueous layer was extracted with ether (3 x 5 mL). The combined organic layer was washed with aqueous Na2S2O3, aqueous NaHCO3, and brine, successively. Then, the organic layer was dried over MgSO4, and concentrated under reduced pressure. Purification by column chromatography (silica gel / hexane-ether) gave 3a (217 mg, 80 % ). 1H-NMR δ: 3.94 – 3.90 (1H, m), 3.43 – 3.37 (1H, m), 3.29 (1H, d, J = 8.1 Hz), 2.65 – 2.62 (1H, m), 1.98 (3H, s), 1.77 – 1.52 (5H, m), 1.48 (3H, s), 1.28 (12H, brs), 0.88 (3H, t, J = 7.1 Hz); 13C=NMR δ: 14.1, 17.3, 22.4, 22.7, 24.3, 26.5, 28.8, 29.3, 29.6, 29.7, 31.9, 35.0, 63.8, 80.8, 82.1, 170.1; HRMS (EI) Calc. for C16H31O3 (M++H) 271.2273. Found: 271.2281.
The formation of ca. 2% of 2-(2-acetoxynonyl)-2-methyltetrahydrofuran (5a) was confirmed by GC. 1H-NMR δ: 4.91 (1H, dd, J = 10.5, 2.0 Hz), 3.89 – 3.84 (1H, m), 3.81 - 3.75 (1H, m), 2.08 (3H, s), 1.93 – 1.83 (3H, m), 1.64 – 1.41 (3H, m), 1.25 (12H, brs), 1.16 (3H, s), 0.88 (3H, t, J = 6.6 Hz); 13C-NMR δ: 14.1, 21.1, 22.5, 22.6, 26.0, 26.1, 29.2, 29.5, 29.6, 29.7, 31.8, 34.5, 68.3, 76.7, 83.7, 170.9; HRMS (EI) Calc. for C16H31O3 (M++H) 271.2273. Found: 271.2258.
(2R*, 5R*)-5-Acetoxy-2-hexyl-5-methyltetrahydropyran (3b). 1H-NMR δ: 3.91 (1H, dd, J = 11.0, 2.4 Hz), 3.38 (1H, d, J = 11.0 Hz), 3.27 (1H, m), 2.38 – 2.32 (1H, m), 1.98 (3H, s), 1.59 (3H, s), 1.77 – 1.27 (13H, m), 0.88 (3H, t, J = 7.1 Hz); 13C-NMR δ: 14.1, 20.8, 22.2, 22.6, 25.6, 29.2, 29.3, 31.8, 34.4, 35.5, 73.9, 78.0, 78.3, 170.1; HRMS (EI) Calc. for C14H26O3 (M+) 242.1882. Found: 242.1878. The stereochemistry of 3b was determined by comparison of chemical shifts in 1H-NMR with reported data [15].
(2R*, 5R*)-5-Acetoxy-2-hexyltetrahydropyran (3c). 1H-NMR δ: 4.75 (1H, m), 4.00 (1H, ddd, J = 10.5, 4.9, 2.2 Hz), 3.25 – 3.12 (2H, m), 2.16 – 2.12 (1H, m), 2.03 (3H, s), 1.76 – 1.27 (13H, m), 0.88 (3H, t, J = 7.1 Hz); 13C-NMR δ: 14.1, 21.1, 22.6, 25.6, 29.2, 29.3, 30.2, 31.8, 35.6, 68.5, 69.2, 77.5, 170.3; HRMS (EI) Calc. for C13H24O3 (M+) 228.1725. Found: 228.1709. The stereochemistry of 3c was determined by comparison of chemical shifts in 1H-NMR with reported data [16].
(2R*, 5S*)-5-Acetoxymethyl-2-hexyltetrahydrofuran (5c). 1H-NMR δ: 4.26 – 3.89 (2H, m), 2.10 (3H, s), 2.09 – 2.00 (2H, m), 1.65 -1.37 (14H, m), 0.88 (3H, t, J = 6.8 Hz).
(2R*, 5S*)-5-Acetoxy-2-hexyltetrahydropyran (3d). 1H-NMR δ: 4.80 (1H, brs), 4.01 (1H, d, J = 12.9 Hz), 3.58 (1H, dd, J = 12.9, 1.7 Hz), 3.31– 3.26 (1H, m), 2.11 (3H, s), 2.09 – 1.94 (1H, m), 1.78 – 1.28 (13H, m), 0.88 (3H, t, J = 7.1 Hz); 13C-NMR δ: 14.1, 21.4, 22.6, 25.5, 26.7, 27.4, 29.3, 31.8, 36.2, 67.5, 69.7, 77.7, 170.9; HRMS (EI) Calc. for C13H24O3 (M+) 228.1725. Found: 228.1723. The stereo- chemistry of 3d was determined by comparison of its 1H-NMR chemical shifts with reported data [16].
(2R*, 5R*)-5-Acetoxymethyl-2-hexyltetrahydrofuran (5d). 1H-NMR δ: 4.19 – 3.85 (2H, m), 2.09 (3H, s), 1.93 – 1.88 (2H, m), 1.68 – 1.37 (14H, m), 0.88 (3H, t, J = 6.8 Hz).
(2R*, 4R*)-4-Trifluoroacetoxy-2-heptyl-4-methyltetrahydrofuran (4e). 1H-NMR δ: 3.94 (1H, d, J = 7.1 Hz), 3.56 (1H, dd, J = 7.3, 1.5 Hz), 2.26 (1H, ddd, J = 13.7, 6.6, 1.5 Hz), 1.79 (2H, dd, J = 13.9, 7.1 Hz), 1.53 (3H, s), 1.45 – 1.43 (2H, m), 1.28 (11H, brs), 0.88 (3H, t, J = 7.1 Hz); 13C-NMR δ: 14.0, 21.8, 22.6, 25.5, 29.1, 29.3, 31.7, 35.6, 41.2, 69.5, 75.1, 79.6, 117.5, 120.4; HRMS (EI) Calc. for C14H24O3 F3 (M+) 296.1599. Found: 296.1603. The stereochemistry of 4e was determined from a NOESY experiment.
(2R*, 4S*)-4-Trifluoroacetoxy-2-heptyl-4-methyltetrahydrofuran (4f). 1H-NMR δ: 4.19 – 4.13 (1H, m), 4.10 (1H, d, J = 7.1 Hz), 3.66 (1H, d, J = 7.1 Hz), 1.46 (3H, s), 1.78 – 1.27 (14H, m), 0.88 (3H, t, J = 7.1 Hz); 13C-NMR δ: 14.1, 21.3, 22.6, 24.7, 29.1, 29.3, 31.7, 35.1, 39.9, 70.4, 74.2, 80.7, 117.3, 120.1; HRMS (EI) Calc. for C14H24O3F3 (M+) 296.1599. Found: 296.1603. The stereochemistry of 4f was determined from a NOESY experiment.
6-Acetoxy-2-hexyl-6-methyloxepane (3g). 1H-NMR δ: 4.24 (1H, d, J = 13.7 Hz), 3.36– 3.30 (1H, m), 3.25 (1H, d, J = 13.7 Hz), 2.13 – 2.03 (2H, m), 2.01 (3H, s), 1.85 – 1.70 (2H, m), 1.40 (3H, s), 1.58 – 1.26 (12H, m), 0.88 (3H, t, J = 7.1 Hz); 13C-NMR δ: 14.1, 20.5, 21.5, 22.5, 22.6, 26.1, 29.3, 31.8, 36.6, 36.7, 38.2, 77.2, 83.6, 85.7, 170.7; HRMS (EI) Calc. for C15H28O3 (M+) 256.2038. Found: 256.2038. Only a single stereoisomer was contained in 3g, however the identification of its stereochemistry failed.
Acknowledgements
We are grateful to Central Glass Co., Ltd. for their donation of hexafluoroisopropanol (HFIP).
References and Notes
- Inagaki, T.; Nakamura, Y.; Sawaguchi, M.; Yoneda, N.; Ayuba, S.; Hara, S. Tetrahedron Lett. 2003, 44, 4117–4119.
- Nakata, T.; Nomura, S.; Matsukura, H. Tetrahedron Lett. 1996, 37, 213–216.
- Matsukura, H.; Morimoto, M.; Koshino, H.; Nakata, T. Tetrahedron Lett. 1997, 38, 5545–5548.
- Hori, N.; Nagasawa, K.; Shimizu, T.; Nakata, T. Tetrahedron Lett. 1999, 40, 2145–2148.
- Takahashi, S.; Fujisawa, K.; Sakairi, N.; Nakata, T. Heterocycles 2000, 53, 1361–1370.
- Amouroux, R.; Gerin, B.; Chastrette, M. Tetrahedron Lett. 1982, 23, 4341–4344.
- Evans, R. D.; Magee, J. W.; Schauble, J. H. Synthesis 1988, 862–868.
- Brunel, Y.; Rousseau, G. J. Org. Chem. 1996, 61, 5793–5800.
- Conti, P.; Dallanoce, C.; Amici, M. D.; Micheli, C. D.; Carrea, G.; Zambianchi, F. Tetrahedron: Asymmetry 1998, 9, 657–665.
- Cossy, J.; Tresnard, L.; Belotti, D.; Pardo, D. G. Tetrahedron Lett. 2001, 42, 251–254.
- Knight, D. W.; Staples, E. R. Tetrahedron Lett. 2002, 43, 6771–6773.
- Macdonald, T. L.; Narasimhan, N. J. Org. Chem. 1985, 50, 5000–5001.Sawaguchi, M.; Hara, S.; Nakamuar, Y.; Ayuba, S.; Fukuhara, T.; Yoneda, N. Tetrahedron 2001, 57, 3315–3319.
- As for the role of HFIP as co-solvent, see: Ichikawa, J.; Miyazaki, S.; Fujiwara, M.; Minami, T. J. Org. Chem. 1995, 60, 2320–2321.
- Sharefkin, J. G.; Saltzmann, H. Org. Synth., Coll. 1973, Vol. 5, 660–663.
- Michael, J. P.; Ting, P. C.; Bartlett, P. A. J. Org. Chem. 1985, 50, 2416–2423.
- Jung, M. E.; Kiankarimi, M. J. Org. Chem. 1998, 63, 8133–8144.
© 2005 by MDPI (http:www.mdpi.org). Reproduction is permitted for noncommercial purposes.

