Stereoselective Synthesis of 5-7 membered Cyclic Ethers by Deiodonative Ring-Enlargement Using Hypervalent Iodine Reagents
Abstract
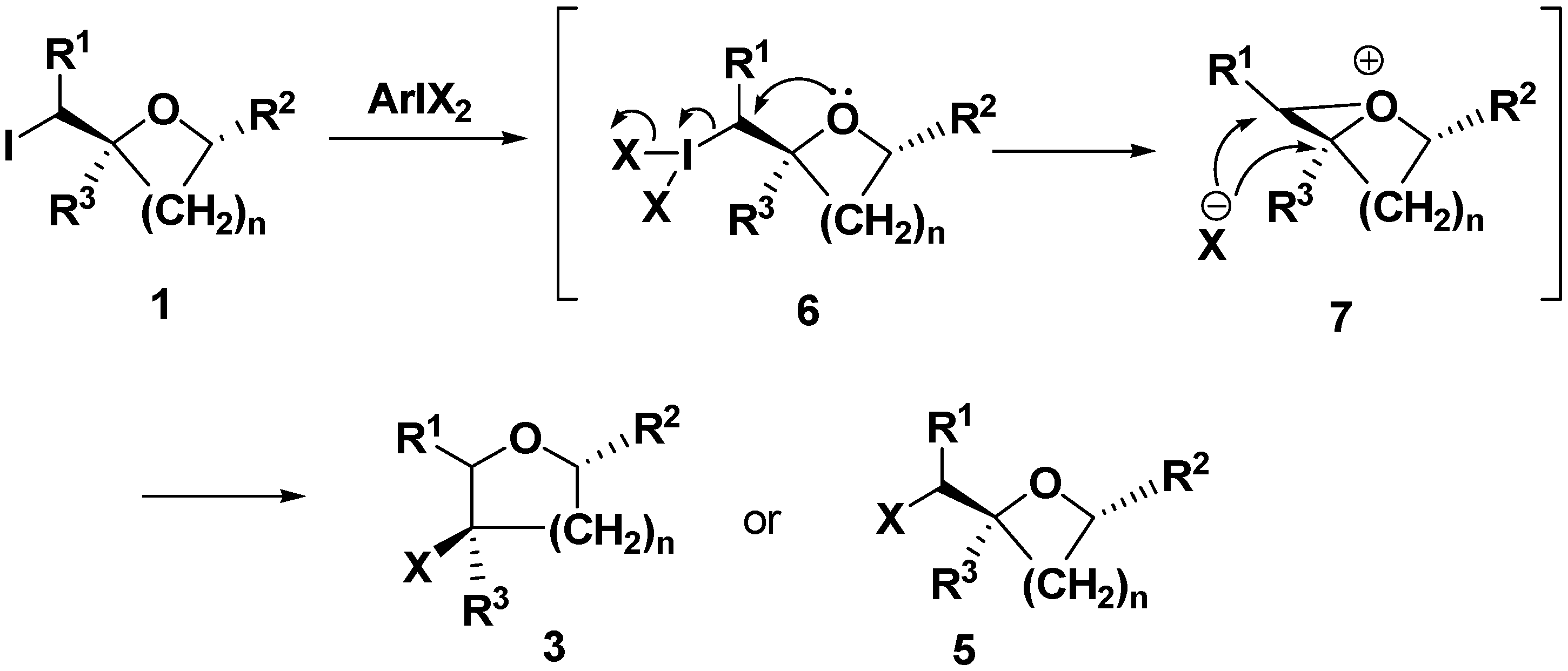
:Introduction
Results and Discussion

Conclusions
Experimental
General
Acknowledgements
References and Notes
- Inagaki, T.; Nakamura, Y.; Sawaguchi, M.; Yoneda, N.; Ayuba, S.; Hara, S. Tetrahedron Lett. 2003, 44, 4117–4119.
- Nakata, T.; Nomura, S.; Matsukura, H. Tetrahedron Lett. 1996, 37, 213–216.
- Matsukura, H.; Morimoto, M.; Koshino, H.; Nakata, T. Tetrahedron Lett. 1997, 38, 5545–5548.
- Hori, N.; Nagasawa, K.; Shimizu, T.; Nakata, T. Tetrahedron Lett. 1999, 40, 2145–2148.
- Takahashi, S.; Fujisawa, K.; Sakairi, N.; Nakata, T. Heterocycles 2000, 53, 1361–1370.
- Amouroux, R.; Gerin, B.; Chastrette, M. Tetrahedron Lett. 1982, 23, 4341–4344.
- Evans, R. D.; Magee, J. W.; Schauble, J. H. Synthesis 1988, 862–868.
- Brunel, Y.; Rousseau, G. J. Org. Chem. 1996, 61, 5793–5800.
- Conti, P.; Dallanoce, C.; Amici, M. D.; Micheli, C. D.; Carrea, G.; Zambianchi, F. Tetrahedron: Asymmetry 1998, 9, 657–665.
- Cossy, J.; Tresnard, L.; Belotti, D.; Pardo, D. G. Tetrahedron Lett. 2001, 42, 251–254.
- Knight, D. W.; Staples, E. R. Tetrahedron Lett. 2002, 43, 6771–6773.
- Macdonald, T. L.; Narasimhan, N. J. Org. Chem. 1985, 50, 5000–5001.Sawaguchi, M.; Hara, S.; Nakamuar, Y.; Ayuba, S.; Fukuhara, T.; Yoneda, N. Tetrahedron 2001, 57, 3315–3319.
- As for the role of HFIP as co-solvent, see: Ichikawa, J.; Miyazaki, S.; Fujiwara, M.; Minami, T. J. Org. Chem. 1995, 60, 2320–2321.
- Sharefkin, J. G.; Saltzmann, H. Org. Synth., Coll. 1973, Vol. 5, 660–663.
- Michael, J. P.; Ting, P. C.; Bartlett, P. A. J. Org. Chem. 1985, 50, 2416–2423.
- Jung, M. E.; Kiankarimi, M. J. Org. Chem. 1998, 63, 8133–8144.
© 2005 by MDPI (http:www.mdpi.org). Reproduction is permitted for noncommercial purposes.
Share and Cite
Abo, T.; Sawaguchi, M.; Senboku, H.; Hara, S. Stereoselective Synthesis of 5-7 membered Cyclic Ethers by Deiodonative Ring-Enlargement Using Hypervalent Iodine Reagents. Molecules 2005, 10, 183-189. https://doi.org/10.3390/10010183
Abo T, Sawaguchi M, Senboku H, Hara S. Stereoselective Synthesis of 5-7 membered Cyclic Ethers by Deiodonative Ring-Enlargement Using Hypervalent Iodine Reagents. Molecules. 2005; 10(1):183-189. https://doi.org/10.3390/10010183
Chicago/Turabian StyleAbo, Tomohito, Masanori Sawaguchi, Hisanori Senboku, and Shoji Hara. 2005. "Stereoselective Synthesis of 5-7 membered Cyclic Ethers by Deiodonative Ring-Enlargement Using Hypervalent Iodine Reagents" Molecules 10, no. 1: 183-189. https://doi.org/10.3390/10010183
APA StyleAbo, T., Sawaguchi, M., Senboku, H., & Hara, S. (2005). Stereoselective Synthesis of 5-7 membered Cyclic Ethers by Deiodonative Ring-Enlargement Using Hypervalent Iodine Reagents. Molecules, 10(1), 183-189. https://doi.org/10.3390/10010183


