An Entropic Approach for Pair Trading in PSX
Abstract
1. Introduction
2. Data & Methodology
3. Ornstein–Uhlenbeck (OU) Process
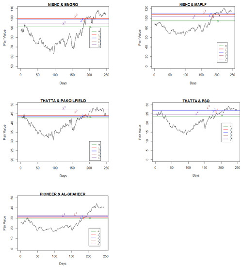
4. Results and Discussion
5. Conclusions
- The values of the mean reversion parameter differ when the stocks in the pair are selected within the sector in comparison to when the stocks are selected across the sectors.
- On balance, optimal returns are associated with lower values of ; approximately, 84 percent pairs yielded optimal returns for low values of lambda ( .
- Based on the buy and hold strategy, all the top performing stocks make a loss.
- The entropic approach seems to have an edge over the buy and hold, distance-based, and machine learning approaches in the context of the Pakistani market.
Author Contributions
Funding
Data Availability Statement
Conflicts of Interest
Appendix A
| Pair Name | µ | α | σ |
|---|---|---|---|
| Fauji Food (FAUJ) and Pak State Oil (PSO) | 3.7 | 32.48 | 15.19 |
| Fauji Food (FAUJ) and Gharibwal Cement (GHAR) | 3.84 | 33.94 | 15.34 |
| Fauji Food (FAUJ) and National Refinery (NATR) | 3.11 | 24.63 | 14.63 |
| Fauji Food (FAUJ) and Engro Power Qadirpur LTD (ENGP) | 3.5 | 4.31 | 13.72 |
| Fauji Food (FAUJ) and Bestway Cement (BEST) | 3.29 | 41.38 | 15.74 |
| Fauji Food (FAUJ) and Dewan Cement LTD(DECE) | 3.8 | 36.58 | 15.89 |
| Fauji Food (FAUJ) and Ghani Automobile Industries LTD (GAIL) | 3.21 | 21.26 | 14.4 |
| Fauji Food (FAUJ) and Ittehad Chemicals LTD (ITHD) | 10.9 | 6.27 | 16.69 |
| Fauji Food (FAUJ) and Ghandhara Industries LTD (GHAN) | 4.06 | 32.23 | 15.1 |
| Fauji Food (FAUJ) and Power Cement LTD (POWE) | 3.99 | 30.8 | 14.84 |
| Fauji Food (FAUJ) and Pakistan Petroleum LTD (PPL) | 0.056 | 61.45 | 18.81 |
| Fauji Food (FAUJ) and Lalpir Power LTD (LPLP) | 3.6 | 56.36 | 18.76 |
| Pak State Oil (PSO) and Maple Leaf Cement LTD (MPLF) | 0.04 | 60.29 | 84.91 |
| Thata Cement (THAT) and Gharibwal Cement (GHAR) | 0.02 | 101.34 | 39.25 |
| Pak Oil Fields (PKOL) and Ittehad Chemicals LTD (ITHD) | 3.74 | 1361.72 | 474.89 |
| Gharibwal Cement and Ghandhara Industries LTD(GHAN) | 0.19 | 35.94 | 21.6 |
| Gharibwal Cement and Power Cement LTD (POWE) | 2.99 | 34.93 | 13.56 |
| National Refinery (NATR)and Dewan Cement LTD(DECE) | 3.22 | 72.22 | 24.43 |
| National Refinery (NATR) and Ittehad Chemicals LTD (ITHD) | 0.05 | 42.95 | 16.08 |
| National Refinery (NATR) and Lalipir Power LTD (LPLP) | 9.37 | 9.4 | 8.3 |
| Pioneer Cement (PION) and Lalipir Power LTD (LPLP) | 10.52 | 14.54 | 7.7 |
| Dewan Cement LTD (DECE) and Ittehad Chemicals LTD (ITHD) | 0.88 | 152.64 | 34.55 |
| Dewan Cement LTD (DECE) and Power Cement LTD (POWE) | 0 | 13.77 | 12.48 |
| Ittehad Chemicals LTD (ITHD) and Ghandhara Industries (GHAN) | 0.04 | 43.54 | 16.8 |
| Ittehad Chemicals LTD(ITHD) and Power Cement LTD (POWE) | 2.82 | 39.49 | 19.11 |
| Ittehad Chemicals LTD (ITHD) and Pakistan Petroleum (PPL) | 0.02 | 313.08 | 95.34 |
| Ittehad Chemicals LTD (ITHD) and Lalipir Power LTD (LPLP) | 0.01 | 55.73 | 18.22 |
| Engro Polymer and Chemical (EPCL) and Lalipir Power (LPLP) | 2.29 | 15.71 | 8.47 |
| Pair Name | λ = 0.001 | λ = 0.01 | λ= 0.1 | λ= +∞ |
|---|---|---|---|---|
| FAUJ and PSO | 0.060 | 0.059 | 0.048 | 0.007 |
| FAUJ and GHAR | 0.061 | 0.059 | 0.05 | 0.006 |
| FAUJ and NATR | 0.080 | 0.075 | 0.068 | 0.010 |
| FAUJ and ENGP | 1.522 | 1.525 | 1.294 | 0.358 |
| FAUJ and BEST | 0.001 | 0.001 | 0.000 | 0.010 |
| FAUJ and DECE | 0.055 | 0.055 | 0.043 | 0.004 |
| FAUJ and GAIL | 0.120 | 0.125 | 0.101 | 0.022 |
| FAUJ and ITHD | 1.046 | 0.910 | 0.630 | 0.075 |
| FAUJ and GHAN | 0.085 | 0.078 | 0.064 | 0.010 |
| FAUJ and POWE | 0.083 | 0.082 | 0.066 | 0.011 |
| FAUJ and PPL | 0.059 | 0.060 | 0.060 | 0.030 |
| FAUJ and LPLP | 0.051 | 0.047 | 0.041 | 0.006 |
| PSO and MPLF | 0.042 | 0.037 | 0.051 | 0.087 |
| THAT and GHAR | 0.132 | 0.12 | 0.122 | 0.065 |
| PKOL and ITHD | 0.252 | 0.246 | 0.206 | 0.023 |
| GHAR and GHAN | 0.044 | 0.045 | 0.031 | 0.048 |
| GHAR and POWE | 0.041 | 0.036 | 0.031 | 0.003 |
| NATR and DECE | 0.029 | 0.027 | 0.023 | 1.650 |
| NATR and ITHD | 0.216 | 0.218 | 0.201 | 0.172 |
| NATR and LPLP | 0.327 | 0.317 | 0.214 | 0.028 |
| PION and LPLP | 0.186 | 0.18 | 0.114 | 0.013 |
| DECE and ITHD | 0.041 | 0.04 | 0.043 | 0.011 |
| DECE and POWE | 0.077 | 0.086 | 0.081 | 0.020 |
| ITHD and GHAN | 0.216 | 0.234 | 0.232 | 0.191 |
| ITHD and POWE | 0.220 | 0.216 | 0.191 | 0.060 |
| ITHD and PPL | 0.051 | 0.044 | 0.034 | 0.032 |
| ITHD and LPLP | 0.079 | 0.095 | 0.077 | 0.065 |
| EPCL and LPLP | 0.002 | 0.006 | 0.208 | 0.080 |
| Pair Name | µ | α | σ |
|---|---|---|---|
| Nishat Chunnian Power LTD (NCPL) and Nishat Power LTD (NISH) | 0.060 | 62.870 | 19.110 |
| Nishat Chunnian Power LTD and Lotte Chemicals Pak LTD | 14.340 | 38.550 | 13.150 |
| Nishat Chunnian Power LTD and Dewan Cement LTD | 0.045 | 71.740 | 24.950 |
| Nishat Chunnian Power LTD and Byco Petroleum Pak LTD | 4.080 | 36.460 | 10.500 |
| Nishat Power LTD and Dewan Cement LTD | 0.020 | 67.290 | 53.350 |
| Nishat Power LTD and Byco Petroleum Pak LTD | 38.400 | 31.070 | 21.260 |
| Engro Power Generation QadirPur LTD (ENGP) and Thata Cement LTD | 6.590 | 69.440 | 16.430 |
| Engro Power Generation QadirPur LTD and Dewan Cement LTD | 0.020 | 60.270 | 18.600 |
| Attock Cement Pak LTD and Dewan Cement LTD | 3.620 | 45.500 | 17.340 |
| Honda Atlas Cars Pak LTD and Fauji Cement Company LTD | 1.950 | 827.500 | 312.410 |
| KOT Addu Power Company LTD and Bestway Cement LTD | 7.920 | 100.470 | 26.610 |
| KOT Addu Power Company LTD and Dewan Cement LTD | 11.980 | 33.310 | 17.050 |
| KOT Addu Power Company LTD and Byco Petroleum Pak LTD | 6.850 | 22.350 | 7.080 |
| Gharibwal Cement LTD and Dewan Cement LTD | 0.040 | 79.300 | 31.870 |
| Gharibwal Cement LTD and Fauji Cement Company LTD | 0.010 | 66.230 | 24.540 |
| Gharibwal Cement LTD and Byco Petroleum Pak LTD | 5.030 | 26.280 | 8.920 |
| Gharibwal Cement LTD and Quice Food Industries LTD | 5.700 | 16.540 | 6.240 |
| Ghandhara Nissan LTD (GHIN) and FAUJI Food LTD | 0.010 | 60.720 | 30.090 |
| Ghandhara Nissan LTD and Byco Petroleum Pak LTD | 5.720 | 16.810 | 6.670 |
| Pakistan State Oil Company LTD and Bestway Cement LTD | 0.020 | 90.700 | 50.780 |
| Pakistan State Oil Company LTD and Dewan Cement LTD | 2.950 | 24.090 | 14.430 |
| Pakistan State Oil Company LTD and Byco Petroleum Pak LTD | 5.370 | 9.260 | 5.250 |
| DYNEA Pak LTD and Dewan Cement LTD | 14.920 | 39.560 | 53.730 |
| Lotte Chemicals Pak LTD and Dewan Cement LTD | 5.910 | 21.390 | 11.330 |
| Lotte Chemicals Pak LTD and Byco Petroleum Pak LTD | 0.120 | 32.490 | 13.350 |
| Pioneer Cement LTD and Dewan Cement LTD | 0.130 | 40.140 | 19.140 |
| Millat Tractors LTD and Byco Petroleum Pak LTD | 6.190 | 29.740 | 9.060 |
| Dewan Cement LTD and Ghandhara Industries LTD | 6.360 | 14.350 | 17.310 |
| Ghandhara Industries LTD and Byco Petroleum Pak LTD | 6.360 | 19.660 | 7.390 |
| Pair Name | λ = 0.001 | λ = 0.01 | λ = 0.1 | λ = +∞ |
|---|---|---|---|---|
| NCPL and NISH | 0.058 | 0.049 | 0.062 | 0.028 |
| NCPL and LOTTE | 0.161 | 0.153 | 0.085 | 0.008 |
| NCPL and DECE | 0.128 | 0.128 | 0.125 | 0.097 |
| NCPL and BYCO | 0.014 | 0.013 | 0.010 | 0.006 |
| NISH and DECE | 0.090 | 0.094 | 0.080 | 0.065 |
| NISH and BYCO | 0.228 | 0.193 | 0.057 | 0.004 |
| ENGP and THAT | 0.055 | 0.054 | 0.040 | 0.004 |
| ENGP and DECE | 0.016 | 0.007 | 0.005 | 0.033 |
| ATTOC and DECE | 0.024 | 0.020 | 0.015 | 0.008 |
| HONDA and FAUJ | 0.273 | 0.274 | 0.244 | 0.051 |
| KOT and BEST | 0.077 | 0.074 | 0.052 | 0.005 |
| KOT and DECE | 0.177 | 0.167 | 0.102 | 0.009 |
| KOT and BYCO | 0.092 | 0.087 | 0.065 | 0.008 |
| GHAR and DECE | 0.050 | 0.038 | 0.064 | 0.006 |
| GHAR and FAUJ | 0.095 | 0.055 | 0.048 | 0.013 |
| GHAR and BYCO | 0.068 | 0.065 | 0.051 | 0.006 |
| GHAR and QUICE | 0.103 | 0.098 | 0.075 | 0.010 |
| GHIN and FAUJ | 0.010 | 0.109 | 0.010 | 0.036 |
| GHIN and BYCO | 0.111 | 0.106 | 0.079 | 0.011 |
| PSO and BEST | 0.177 | 0.192 | 0.175 | 0.103 |
| PSO and DECE | 0.072 | 0.064 | 0.057 | 0.003 |
| PSO and BYCO | 0.187 | 0.177 | 0.140 | 0.022 |
| DYNEA and DECE | 0.477 | 0.446 | 0.245 | 0.020 |
| LOTTE and DECE | 0.347 | 0.341 | 0.264 | 0.049 |
| LOTTE and BYCO | 0.084 | 0.055 | 0.059 | 0.027 |
| PION and DECE | 0.187 | 0.195 | 0.178 | 0.131 |
| MILLAT and BYCO | 0.078 | 0.074 | 0.055 | 0.007 |
| DECE and GHAN | 0.454 | 0.438 | 0.335 | 0.049 |
| GHAN and BYCO | 0.110 | 0.105 | 0.079 | 0.010 |
| Pair Name | µ | α | σ |
|---|---|---|---|
| Pakistan Refinery LTD and Oil & Gas Development CO LTD | 0.020 | 96.400 | 42.740 |
| Pakistan Refinery LTD and Ghani Automobile Industries LTD | 6.840 | 41.610 | 39.760 |
| National Refinery LTD and Pakistan Oilfields LTD | 0.040 | 670.990 | 208.610 |
| Nishat Chunnian Power LTD and Engro Polymer and Chemical LTD | 0.010 | 91.050 | 35.110 |
| Nishat Chunnian Power LTD and Pioneer Cement LTD | 0.780 | 26.860 | 11.540 |
| Nishat Chunnian Power LTD and Maple Leaf Cement Factory | 0.004 | 94.760 | 39.290 |
| Attock Refinery LTD and Attock Petroleum LTD | 0.030 | 644.640 | 233.200 |
| Dewan Farooque LTD and Descon Oxychem LTD | 0.001 | 36.770 | 21.570 |
| Dewan Farooque LTD and Cherat Cement Company LTD | 0.040 | 100.360 | 61.410 |
| Ittehad Chemicals LTD and Pak Suzuki Motors Company LTD | 0.110 | 40.210 | 19.010 |
| Thata Cement LTD and Pakistan State Oil Company LTD | 1.850 | 23.690 | 10.380 |
| Thata Cement LTD and Pakistan Oilfields LTD | 0.010 | 42.820 | 14.440 |
| Thata Cement LTD and Ghani Automobile Industries LTD | 0.006 | 24.430 | 8.140 |
| Descon Oxychem LTD and Pakistan Oilfields LTD | 0.010 | 588.420 | 191.100 |
| Cherat Cement Company LTD and Hi-Tech Lubricants LTD | 0.008 | 68.540 | 29.140 |
| Mari Petroleum Company LTD and Fauji Cement Company LTD | 0.240 | 29.100 | 10.630 |
| K Electric LTD and Fauji Cement Company LTD | 1.320 | 15.310 | 5.080 |
| Pakistan State Oil Company LTD and Pakistan Oilfields LTD | 0.009 | 580.660 | 192.900 |
| Pakistan Oilfields LTD and Honda Atlas Cars Pak LTD | 4.310 | 787.640 | 261.200 |
| Pakistan Oilfields LTD and Ghani Automobile Industries LTD | 0.070 | 629.090 | 165.800 |
| Fauji Cement Company LTD and Ghani Automobile Industries LTD | 0.260 | 28.410 | 10.400 |
| Pioneer Cement LTD and Al Shaheer Corporation LTD | 0.060 | 29.870 | 13.360 |
| Maple Leaf Cement Factory and Al Shaheer Corporation LTD | 0.050 | 29.550 | 13.300 |
| Pair Name | λ = 0.001 | λ = 0.01 | λ = 0.1 | λ = +∞ |
|---|---|---|---|---|
| PAKR and OG | 0.082 | 0.087 | 0.095 | 0.025 |
| PAKR and GAIL | 0.343 | 0.333 | 0.241 | 0.029 |
| NATR and PKOIL | 0.084 | 0.077 | 0.096 | 0.065 |
| NCPL and ENGRO | 0.094 | 0.087 | 0.091 | 0.041 |
| NCPL and PION | 0.207 | 0.202 | 0.199 | 0.115 |
| NCPL and MPLF | 0.131 | 0.157 | 0.135 | 0.089 |
| ATTOCR and ATTOCP | 0.211 | 0.187 | 0.202 | 0.027 |
| DEWAN and DESCON | 0.186 | 0.192 | 0.197 | 0.124 |
| DEWAN and CHERAT | 0.257 | 0.232 | 0.222 | 0.117 |
| ITHD and PAK SUZUKI | 0.147 | 0.155 | 0.135 | 0.097 |
| THAT and PSO | 0.131 | 0.132 | 0.121 | 0.039 |
| THAT and PKOIL | 0.024 | 0.015 | 0.03 | 0.111 |
| THAT and GAIL | 0.037 | 0.045 | 0.041 | 0.071 |
| DESCON and PKOIL | 0.023 | 0.01 | 0.016 | 0.064 |
| CHERAT and HITECH | 0.068 | 0.031 | 0.041 | 0.008 |
| MARI and FAUJ | 0.027 | 0.029 | 0.015 | 0.123 |
| KELEC and FAUJ | 0.009 | 0.007 | 0.007 | 0.009 |
| PSO and PKOIL | 0.103 | 0.025 | 0.037 | 0.103 |
| PKOIL and HONDA | 0.073 | 0.072 | 0.056 | 0.002 |
| PKOIL and GAIL | 0.086 | 0.087 | 0.1 | 0.009 |
| FAUJ and GAIL | 0.194 | 0.189 | 0.193 | 0.147 |
| PION and ALSHAHEER | 0.034 | 0.049 | 0.038 | 0.089 |
| MPLF and ALSHAHEER | 0.042 | 0.036 | 0.035 | 0.104 |
| 2017 | 2018 | 2019 | |||
|---|---|---|---|---|---|
| Company Names | Returns | Company Names | Returns | Company Names | Returns |
| Attock Cement | −44.90 | Attock Cement Pak LTD | −26.50 | Al Shaheer Corporation LTD | −40.43 |
| Attock Petroleum LTD | −24.60 | Attock Petroleum LTD | −1.74 | Attock Cement Pak LTD | −9.49 |
| Attock Refinery LTD | −45.33 | BestWay Cement LTD | −17.93 | Attock Petroleum LTD | −16.85 |
| Bestway cement | −52.19 | Byco Petroleum Pak LTD | −33.59 | Attock Refinery LTD | −23.76 |
| Cherat Cement Company LTD | −40.97 | Cherat Cement Company LTD | −35.48 | BestWay Cement LTD | −3.36 |
| Dera Ghazi khan Cement | −39.93 | Dera Ghazi Khan Cement LTD | −41.21 | Cherat Cement Company LTD | −20.13 |
| Descon Oxychem LTD | −24.34 | Descon Oxychem LTD | 119.92 | Descon Oxychem LTD | −21.96 |
| Dewan Cement LTD | −56.42 | Dewan Cement LTD | −35.56 | Dewan Farooque LTD | −56.18 |
| DYNEA Pak LTD | 65.35 | DYNEA Pak LTD | −12.50 | DYNEA Pak LTD | 20.03 |
| Engro Polymer and Chemical | 54.77 | Engro Polymer and Chemical LTD | 48.95 | Engro Polymer and Chemical LTD | −14.18 |
| Engro Power Qadirpur | −5.91 | Engro Power Generation QadirPur LTD | −15.31 | Engro Power Generation QadirPur LTD | −11.56 |
| Fauji Food LTD | −47.45 | Fauji Cement Company LTD | −16.35 | Fauji Cement Company LTD | −27.47 |
| Ghandhara Industries LTD | −27.15 | FAUJI Food LTD | 83.63 | FAUJI Food LTD | −54.14 |
| Ghani Automobile Industries | 7.79 | Ghadhara Nissan LTD | −32.34 | Ghani Automobile Industries LTD | −34.46 |
| Gharibwal Cement | −53.49 | Ghandhara Industries LTD | 0.33 | Gharibwal Cement LTD | −14.02 |
| Indus Motor Company LTD | 2.60 | Gharibwal Cement LTD | −36.16 | Hi Tech Lubricants LTD | −52.84 |
| Ittehad Chemicals LTD | −31.67 | Honda Atlas Cars Pak LTD | −64.27 | Honda Atlas Cars Pak LTD | 19.05 |
| Kohat cement | −52.29 | Indus Motor Comapany LTD | −29.46 | Indus Motor Company LTD | −4.61 |
| KOT ADDU Power | −31.49 | Ittehad Chemicals LTD | 15.57 | Ittehad Chemicals LTD | −16.52 |
| Lalipir Power LTD | −5.82 | Kohat Cement LTD | −25.78 | K Electric LTD | −27.48 |
| Maple Leaf Cement Factory | −52.16 | KOT Addu Power Company LTD | −11.16 | Kohat Cement LTD | −7.11 |
| National Refinery | −24.81 | Lalipur Power LTD | −22.73 | KOT Addu Power Company LTD | −36.57 |
| Nishat Chunnian Power | −43.19 | Lotte Chemicals Pak LTD | 129.48 | Lalipir Power LTD | −9.66 |
| Nishat Power LTD | −45.95 | Maple Leaf Cement Factory | −40.21 | Lotte Chemicals Pak LTD | −20.80 |
| Pak Oilfields | 12.81 | Mari Petroleum Company LTD | −5.47 | Maple Leaf Cement Factory | −35.88 |
| Pak State Oil | −20.88 | Millat Tractors LTD | −28.84 | Mari Petroleum Company LTD | 13.55 |
| Pakistan Petroleum LTD | 10.17 | Nishat Chunnian Power LTD | −28.53 | Millat Tractors LTD | −4.01 |
| Pakistan Refinery LTD | −9.83 | Nishat Power LTD | −19.11 | National Refinery LTD | −49.66 |
| Pioneer Cement | −55.61 | Oil & Gas Development CO LTD | −21.11 | Nishat Chunnian Power LTD | −19.02 |
| Power Cement LTD | −22.03 | Pakistan Petroleum LTD | −16.89 | Nishat Power LTD | 3.42 |
| Shell Pakistan LTD | −41.53 | Pakistan State Oil Company LTD | −8.56 | Oil & Gas Development CO LTD | 5.80 |
| Sitara Peroxide LTD | −55.80 | Pioneer Cement LTD | −33.67 | Pak Suzuki Motors Company LTD | 27.62 |
| Thata Cement LTD | −44.89 | Quice Food Industries LTD | −8.66 | Pakistan Oilfields LTD | 0.13 |
| Thata Cement LTD | −37.78 | Pakistan Petroleum LTD | 5.57 | ||
| Pakistan Refinery LTD | −9.83 | ||||
| Pakistan State Oil Company LTD | −2.38 | ||||
| Pioneer Cement LTD | −30.80 | ||||
| Quice Food Industries LTD | −19.56 | ||||
| Sitara Peroxide LTD | −29.36 | ||||
| Thata Cement LTD | −17.75 | ||||
References
- Ramos-Requena, J.P.; Trinidad-Segovia, J.E.; Sánchez-Granero, M.A. Introducing Hurst exponent in pair trading. Phys. A Stat. Mech. Its Appl. 2017, 488, 39–45. [Google Scholar] [CrossRef]
- Narayan, P.K.; Smyth, R. Mean reversion versus random walk in G7 stock prices evidence from multiple trend break unit root tests. J. Int. Financ. Mark. Inst. Money 2007, 17, 152–166. [Google Scholar] [CrossRef]
- Guerra Cavalcanti, R.S.; dos Santos, J.F.; dos Santos, R.R.; da Cunha, A.G.M. Composition of portfolios by pairs trading with volatility criteria in the Brazilian market. Rev. Contab. E Financ. 2021, 32, 273–284. [Google Scholar] [CrossRef]
- Keshavarz Haddad, G.; Talebi, H. The profitability of pair trading strategy in stock markets: Evidence from Toronto stock exchange. Int. J. Financ. Econ. 2023, 28, 193–207. [Google Scholar] [CrossRef]
- Do, B.; Faff, R. Are pairs trading profits robust to trading costs? J. Financ. Res. 2012, 35, 261–287. [Google Scholar] [CrossRef]
- Gatev, E.; Goetzmann, W.N.; Rouwenhorst, K.G. Pairs trading: Performance of a relative-value arbitrage rule. In Review of Financial Studies; 2006; Volume 19, Available online: https://academic.oup.com/rfs/article-abstract/19/3/797/1646694?redirectedFrom=fulltext (accessed on 13 February 2023).
- Habibi, S.; Pakizeh, K. Profitability of the Pair Trading Strategy across Different Asset Classes. Int. Res. J. Financ. Econ. 2017, 161, 1–17. [Google Scholar]
- Krauss, C. Statistical arbitrage pairs trading strategies: Review and outlook. J. Econ. Surv. 2017, 31, 513–545. [Google Scholar] [CrossRef]
- Vidyamurthy, G. Pairs Trading: Quantitative Methods and Analysis; John Wiley & Sons: Hoboken, NJ, USA, 2004; Volume 217. [Google Scholar]
- Blázquez, M.C.; Román, C.P. Pairs trading techniques: An empirical contrast. Eur. Res. Manag. Bus. Econ. 2018, 24, 160–167. [Google Scholar] [CrossRef]
- Yoshikawa, D. An entropic approach for pair trading. Entropy 2017, 19, 320. [Google Scholar] [CrossRef]
- Ekström, E.; Lindberg, C.; Tysk, J. Optimal Liquidation of a Pairs Trade. In Advanced Mathematical Methods for Finance; Springer: Berlin/Heidelberg, Germany, 2011. [Google Scholar] [CrossRef]
- Suzuki, K. Optimal switching strategy of a mean-reverting asset over multiple regimes. Automatica 2016, 67, 33–45. [Google Scholar] [CrossRef]
- Krätschmer, V.; Ladkau, M.; Laeven, R.J.A.; Schoenmakers, J.G.M.; Stadje, M. Optimal stopping under uncertainty in drift and jump intensity. Math. Oper. Res. 2018, 43, 1177–1209. [Google Scholar] [CrossRef]
- Tokat, E.; Hayrullahoğlu, A.C. Pairs trading: Is it applicable to exchange-traded funds? Borsa Istanb. Rev. 2022, 22, 743–751. [Google Scholar] [CrossRef]
- Bekiros, S.D. Timescale Analysis with an Entropy-Based Shift-Invariant Discrete Wavelet Transform. Comput. Econ. 2014, 44, 231–251. [Google Scholar] [CrossRef]
- Bowden, R.J. Directional entropy and tail uncertainty, with applications to financial hazard. Quant. Financ. 2011, 11, 437–446. [Google Scholar] [CrossRef]
- Yin, D. Investment Decision Based on Entropy Theory. Mod. Econ. 2019, 10, 1211. [Google Scholar] [CrossRef]
- Qazi, L.T.; Rahman, A.U.; Gul, S. Which pairs of stocks should we trade? Selection of pairs for statistical arbitrage and pairs trading in Karachi stock exchange. Pak. Dev. Rev. 2015, 54, 215–244. [Google Scholar] [CrossRef]
- Sohail, M.; Rehman, A.; Adil, I.; Rizwan, M.; Khan, S. Pair Trading Strategies Using Machine Learning: A Case of PSX Firms. Pak. Bus. Rev. 2020, 22, 340–351. [Google Scholar]
- Chutka, J.; Kramarova, K. Usage of P/E earning models as a tool for valuation of shares in condition of global market. SHS Web Conf. 2020, 74, 01007. [Google Scholar] [CrossRef]
- de Lima Amorim, D.P.; de Camargos, M.A. Mean reversion in a price-earnings ratio and under/overvaluation in the Brazilian stock market. Rev. Contab. E Financ. 2021, 32, 301–313. [Google Scholar] [CrossRef]
- Laurent, S.; Shi, S. Unit root test with high-frequency data. Econom. Theory 2022, 38, 113–171. [Google Scholar] [CrossRef]
- Bai, J.; Perron, P. Estimating and Testing Linear Models with Multiple Structural Changes. Econometrica 1998, 66, 47–78. [Google Scholar] [CrossRef]
- Shaukat, U.; Rehman, A.; ul Haq, A. Pairs Trading and Stock Returns: An Evidence from Pakistan Stock Exchange. City Univ. Res. J. 2021, 11. Available online: http://cusitjournals.com/index.php/CURJ (accessed on 13 February 2023).
- Ling, F.C.H.; Yat, D.N.C.; binti Muhamad, R. An empirical re-investigation on the “buy-and-hold strategy” in four Asian markets: A 20 years’ study. World Appl. Sci. J. 2014, 30, 226–237. [Google Scholar] [CrossRef]
- Lee, D.; Leung, T. On the efficacy of optimized exit rule for mean reversion trading. Int. J. Financ. Eng. 2020, 7, 2050024. [Google Scholar] [CrossRef]



| Sr | Pair Name | µ | α | σ |
|---|---|---|---|---|
| 2017 | ||||
| 1 | Pak State Oil (PSO) and Maple Leaf Cement LTD (MPLF) | 0.04 | 60.29 | 84.91 |
| 2 | Thata Cement (THAT) and Gharibwal Cement (GHAR) | 0.02 | 101.3 | 39.25 |
| 3 | Pak Oil Fields (PKOL) and Ittehad Chemicals LTD (ITHD) | 3.74 | 1361.7 | 474.9 |
| 4 | Pioneer Cement (PION) and Lalipir Power LTD (LPLP) | 10.52 | 14.54 | 7.70 |
| 5 | Engro Polymer and Chemical (EPCL) and Lalipir Power (LPLP) | 2.29 | 15.71 | 8.47 |
| 2018 | ||||
| 6 | Engro Power Generation Qadirpur LTD and Thata Cement LTD | 6.59 | 69.44 | 16.43 |
| 7 | Gharibwal Cement LTD and Dewan Cement LTD | 0.04 | 79.3 | 31.87 |
| 8 | Pakistan State Oil Company LTD and Best Way Cement LTD | 0.02 | 90.7 | 50.78 |
| 9 | Pakistan State Oil Company LTD and Byco Petroleum Pak LTD | 5.37 | 9.26 | 5.25 |
| 10 | Pioneer Cement LTD and Dewan Cement LTD | 0.13 | 40.14 | 19.14 |
| 2019 | ||||
| 11 | Nishat Chunnian Power LTD and Engro Polymer and Chemical LTD | 0.01 | 91.05 | 35.11 |
| 12 | Nishat Chunnian Power LTD and Maple Leaf Cement Factory | 0.004 | 94.76 | 39.29 |
| 13 | Thata Cement LTD and Pakistan State Oil Company LTD | 1.85 | 23.69 | 10.38 |
| 14 | Thata Cement LTD and Pakistan Oilfields LTD | 0.01 | 42.82 | 14.44 |
| 15 | Pioneer Cement LTD and Al Shaheer Corporation LTD | 0.06 | 29.87 | 13.36 |
| Pair Name | λ = 0.001 | λ = 0.01 | λ = 0.1 | λ = +∞ |
|---|---|---|---|---|
| 2017 | ||||
| PSO and MPLF | 0.042 (62.8) | 0.037 (62.5) | 0.051 (63.4) | 0.087 (65.6) |
| THAT and GHAR | 0.132 (114.7) | 0.12 (113.5) | 0.122 (113.7) | 0.065 (108.0) |
| PKOL and ITHD | 0.252 (1704.5) | 0.246 (1697.3) | 0.206 (1642.5) | 0.023 (1393.5) |
| PION and LPLP | 0.186 (17.2) | 0.18 (17.2) | 0.114 (16.2) | 0.013 (14.7) |
| EPCL and LPLP | 0.002 (15.7) | 0.006 (15.8) | 0.208 (19.0) | 0.08 (17.0) |
| 2018 | ||||
| ENGP and THAT | 0.055 (73.3) | 0.054 (73.2) | 0.04 (72.2) | 0.004 (70.0) |
| GHAR and DECE | 0.05 (83.3) | 0.038 (82.2) | 0.064 (84.5) | 0.006 (80.0) |
| PSO and BEST | 0.177 (106.8) | 0.192 (108.2) | 0.175 (106.6) | 0.103 (92.6) |
| PSO and BYCO | 0.187 (11.0) | 0.177 (11.0) | 0.14 (10.6) | 0.022 (9.5) |
| PION and DECE | 0.187 (47.6) | 0.195 (47.9) | 0.178 (47.3) | 0.131 (45.4) |
| 2019 | ||||
| NCPL and ENGRO | 0.094 (99.6) | 0.087 (99.0) | 0.091 (99.3) | 0.041 (95.0) |
| NCPL and MPLF | 0.131 (107.2) | 0.157 (109.7) | 0.135 (107.5) | 0.089 (103.3) |
| THAT and PSO | 0.131 (26.8) | 0.132 (26.8) | 0.121 (26.6) | 0.039 (24.6) |
| THAT and PKOIL | 0.024 (43.9) | 0.015 (43.4) | 0.03 (44.1) | 0.111 (47.8) |
| PION and ALSHAHEER | 0.034 (30.9) | 0.049 (31.3) | 0.038 (31.0) | 0.089 (32.5) |
| Returns with Trading Period | ||||||||||||
|---|---|---|---|---|---|---|---|---|---|---|---|---|
| Company Name | 2017 | 2018 | 2019 | |||||||||
| Q1 | Q2 | Q3 | Q4 | Q1 | Q2 | Q3 | Q4 | Q1 | Q2 | Q3 | Q4 | |
| Pak State Oil | −4.7 | −7.6 | 19.9 | −20.4 | 8.8 | −3.5 | 0.5 | −15.1 | −8.4 | −20.3 | −7.5 | 19.4 |
| Thata Cement LTD | 11.7 | −10.5 | −32.7 | −14.1 | 13.7 | −15.7 | −14.3 | −24.4 | −8.7 | −24.1 | −24.2 | 56.1 |
| Pioneer Cement LTD | 0.8 | −7.8 | −27.4 | −28.4 | 10.2 | −35.6 | −4.1 | −5.2 | −21.0 | −33.8 | −15.3 | 51.3 |
| Nishat Chunnian Power | −14.8 | −5.3 | −10.1 | −20.0 | −6.9 | −9.2 | −8.6 | −1.1 | −4.7 | −16.1 | 4.7 | 11.3 |
| Gharibwal Cement LTD | 17.3 | −24.3 | −23.3 | −26.8 | 6.3 | −22.8 | −8.3 | −20.0 | −17.6 | −21.5 | −17.2 | 53.1 |
| 1-Year | 2-Year | 3-Year | ||||||||||
| 2017 | 2018 | 2019 | 2017–2018 | 2018–2019 | 2017–2019 | |||||||
| Pak State Oil | −20.9 | −8.6 | −2.4 | −27.0 | −6.5 | −25.4 | ||||||
| Thata Cement LTD | −44.9 | −37.8 | −17.8 | −66.3 | 90.3 | −71.6 | ||||||
| Pioneer Cement LTD | −55.6 | −33.7 | −30.8 | −70.4 | −51.9 | −78.5 | ||||||
| Nishat Chunnian | −43.2 | −28.5 | −19.0 | −58.3 | −42.1 | −66.2 | ||||||
| Gharibwal Cement LTD | −53.5 | −36.2 | −14.0 | −52.0 | −44.9 | −73.6 | ||||||
Disclaimer/Publisher’s Note: The statements, opinions and data contained in all publications are solely those of the individual author(s) and contributor(s) and not of MDPI and/or the editor(s). MDPI and/or the editor(s) disclaim responsibility for any injury to people or property resulting from any ideas, methods, instructions or products referred to in the content. |
© 2023 by the authors. Licensee MDPI, Basel, Switzerland. This article is an open access article distributed under the terms and conditions of the Creative Commons Attribution (CC BY) license (https://creativecommons.org/licenses/by/4.0/).
Share and Cite
Amer, L.; Islam, T.U. An Entropic Approach for Pair Trading in PSX. Entropy 2023, 25, 494. https://doi.org/10.3390/e25030494
Amer L, Islam TU. An Entropic Approach for Pair Trading in PSX. Entropy. 2023; 25(3):494. https://doi.org/10.3390/e25030494
Chicago/Turabian StyleAmer, Laiba, and Tanweer Ul Islam. 2023. "An Entropic Approach for Pair Trading in PSX" Entropy 25, no. 3: 494. https://doi.org/10.3390/e25030494
APA StyleAmer, L., & Islam, T. U. (2023). An Entropic Approach for Pair Trading in PSX. Entropy, 25(3), 494. https://doi.org/10.3390/e25030494

