Fuzzy Synchronization of Chaotic Systems with Hidden Attractors
Abstract
1. Introduction
2. Related Work
3. Global Error
4. Special Numerical Methods
5. Fuzzy Control
5.1. Fuzzification
5.2. Defuzzification
5.3. Fuzzy Modeling of Chaotic Systems
6. Fuzzy Synchronization
6.1. Complete Fuzzy Synchronization
6.2. Projective Fuzzy Synchronization
7. Projective Synchronizations with an Emphasis on Error Convergence
8. Simulation Results
8.1. Results of Fuzzy Complete Synchronization
8.1.1. Chua
8.1.2. Sprott A
8.1.3. NE6
8.1.4. LE4
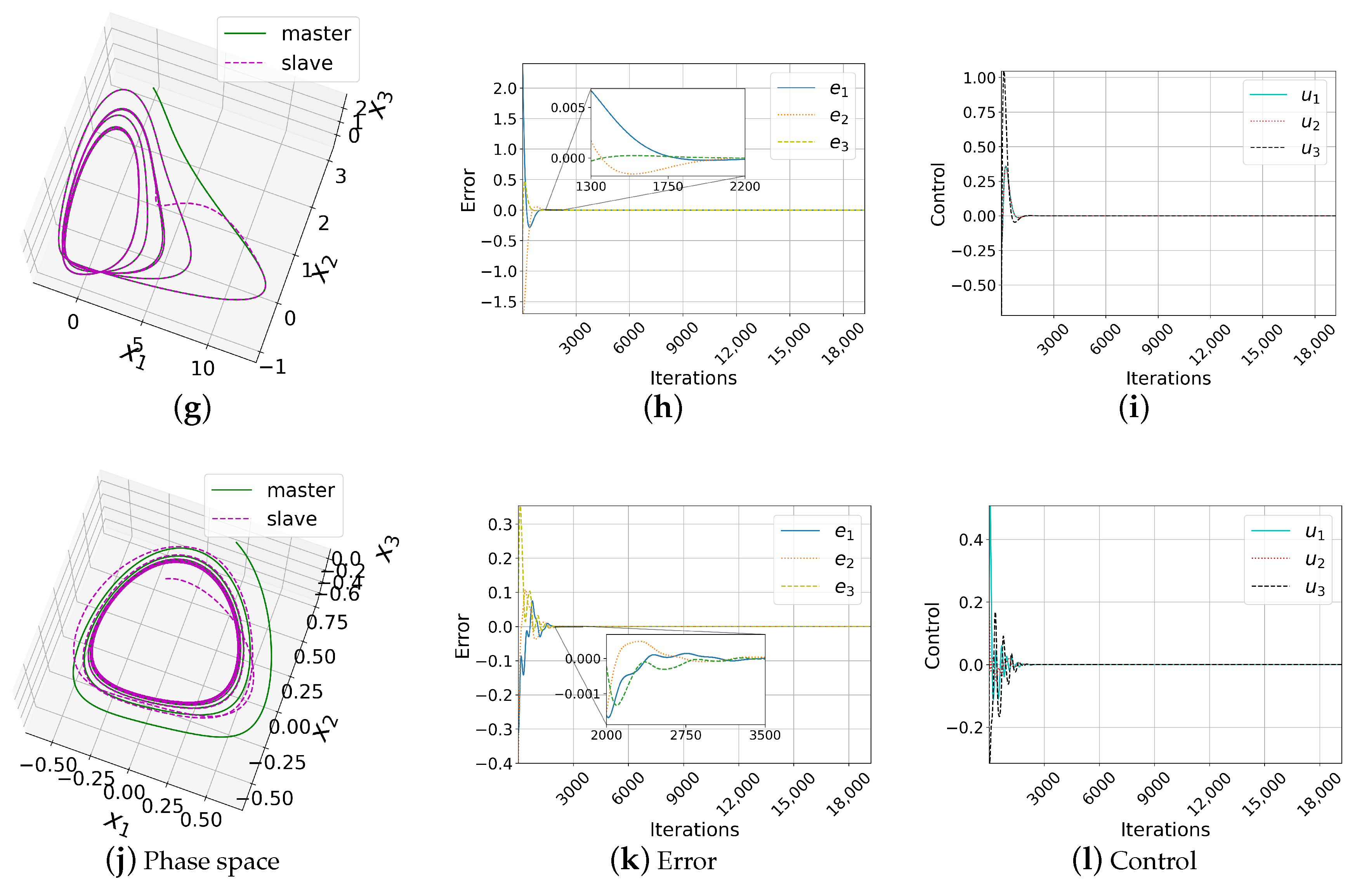
8.2. Results of Fuzzy Projective Synchronization
8.2.1. Chua System
8.2.2. LE4
8.3. A New Set of Initial Conditions
8.4. Alternative T–S Fuzzy Models
9. Discussion
10. Conclusions and Future Work
Author Contributions
Funding
Data Availability Statement
Acknowledgments
Conflicts of Interest
Appendix A

| 1 | 4.5000 | 1.0000 | −5.0000 | 0.0100 | 0.0100 | 0.0100 |
| 2 | 4.4000 | 0.9000 | −4.9000 | 0.0100 | 0.0100 | 0.0100 |
| 3 | 4.3000 | 0.8000 | −4.8000 | 0.0100 | 0.0100 | 0.0100 |
| 4 | 4.2000 | 0.7000 | −4.7000 | 0.0100 | 0.0100 | 0.0100 |
| 5 | 4.1000 | 0.6000 | −4.6000 | 0.0100 | 0.0100 | 0.0100 |
| 6 | 4.0000 | 0.5000 | −4.5000 | 0.0100 | 0.0100 | 0.0100 |
| 7 | 3.9000 | 0.4000 | −4.4000 | 0.0100 | 0.0100 | 0.0100 |
| 8 | 3.8000 | 0.3000 | −4.3000 | 0.0100 | 0.0100 | 0.0100 |
| 9 | 3.7727 | 1.3511 | −4.6657 | 0.0100 | 0.0100 | 0.0100 |
| 10 | 3.5000 | 0.1500 | −6.1000 | 0.0100 | 0.0100 | 0.0100 |
| 11 | 3.4000 | 0.2500 | −6.5000 | 0.0100 | 0.0100 | 0.0100 |
| 12 | 3.2000 | 0.3500 | −6.3000 | 0.0100 | 0.0100 | 0.0100 |
| 13 | 3.1800 | 0.2000 | −6.3000 | 0.0100 | 0.0100 | 0.0100 |
| 14 | 3.1500 | 0.2500 | −6.5000 | 0.0100 | 0.0100 | 0.0100 |
| 15 | 3.1300 | 0.0500 | −6.6600 | 0.0100 | 0.0100 | 0.0100 |
| 16 | 3.1000 | 0.3500 | −6.4000 | 0.0100 | 0.0100 | 0.0100 |
| 17 | 3.0700 | 0.1500 | −6.0000 | 0.0100 | 0.0100 | 0.0100 |
| 18 | −3.0700 | −0.1500 | 6.0000 | 0.0100 | 0.0100 | 0.0100 |
| 19 | −3.1300 | −0.0500 | 6.6600 | 0.0100 | 0.0100 | 0.0100 |
| 20 | −3.1500 | −0.2500 | 6.5000 | 0.0100 | 0.0100 | 0.0100 |
| 21 | −3.1800 | −0.2000 | 6.3000 | 0.0100 | 0.0100 | 0.0100 |
| 22 | −3.2000 | −0.3500 | 6.3000 | 0.0100 | 0.0100 | 0.0100 |
| 23 | −3.3000 | −0.0700 | 7.0000 | 0.0100 | 0.0100 | 0.0100 |
| 24 | −3.4000 | −0.2500 | 6.5000 | 0.0100 | 0.0100 | 0.0100 |
| 25 | −3.5000 | −0.1500 | 6.1000 | 0.0100 | 0.0100 | 0.0100 |
| 26 | −3.6000 | −0.9000 | 5.2000 | 0.0100 | 0.0100 | 0.0100 |
| 27 | −3.7727 | −1.3511 | 4.6657 | 4.0000 | 0.5000 | −4.5000 |
| 28 | −3.9000 | −0.4000 | 4.4000 | 3.1000 | 0.3500 | −6.4000 |
| 29 | −4.0000 | −0.5000 | 4.5000 | 3.3000 | 0.0700 | −7.0000 |
| 30 | −4.5000 | −1.0000 | 5.0000 | 4.2000 | 0.7000 | −4.7000 |
References
- Ouannas, A.; Bendoukha, S.; Volos, C.; Boumaza, N.; Karouma, A. Synchronization of Fractional Hyperchaotic Rabinovich Systems via Linear and Nonlinear Control with an Application to Secure Communications. Int. J. Control. Autom. Syst. 2019, 17, 2211–2219. [Google Scholar] [CrossRef]
- Khalaf, A.J.M.; Abdolmohammadi, H.R.; Ahmadi, A.; Moysis, L.; Volos, C.; Hussain, I. Extreme multi-stability analysis of a novel 5D chaotic system with hidden attractors, line equilibrium, permutation entropy and its secure communication scheme. Eur. Phys. J. Spec. Top. 2020, 229, 1175–1188. [Google Scholar] [CrossRef]
- Chaurra-Gutierrrez, F.A.; Rodriguez-Gomez, G.; Feregrino-Uribe, C.; Tlelo-Cuautle, E.; Guillen-Fernandez, O. Secure Communication Scheme Based on Projective Synchronization of Hyperchaotic Systems. In Cybersecurity: A New Approach Using Chaotic Systems; Abd El-Latif, A.A., Volos, C., Eds.; Springer International Publishing: Cham, Switzerland, 2022; pp. 109–156. [Google Scholar] [CrossRef]
- Bodale, I.; Oancea, V.A. Chaos control for Willamowski–Rössler model of chemical reactions. Chaos Solitons Fractals 2015, 78, 1–9. [Google Scholar] [CrossRef]
- Wang, C.; li Zhang, H.; Fan, W.H.; Ma, P. Finite-time function projective synchronization control method for chaotic wind power systems. Chaos Solitons Fractals 2020, 135, 109756. [Google Scholar] [CrossRef]
- Zhao, X.; Li, Z.; Li, S. Synchronization of a chaotic finance system. Appl. Math. Comput. 2011, 217, 6031–6039. [Google Scholar] [CrossRef]
- Idowu, B.A.; Vaidyanathan, S.; Sambas, A.; Olusola, O.I.; Onma, O.S. A New Chaotic Finance System: Its Analysis, Control, Synchronization and Circuit Design. In Nonlinear Dynamical Systems with Self-Excited and Hidden Attractors; Pham, V.T., Vaidyanathan, S., Volos, C., Kapitaniak, T., Eds.; Springer International Publishing: Cham, Switzerland, 2018; pp. 271–295. [Google Scholar] [CrossRef]
- Zaqueros-Martinez, J.; Rodriguez-Gomez, G.; Tlelo-Cuautle, E.; Orihuela-Espina, F. Synchronization of Chaotic Electroencephalography (EEG) Signals. In Cybersecurity: A New Approach Using Chaotic Systems; Abd El-Latif, A.A., Volos, C., Eds.; Springer International Publishing: Cham, Switzerland, 2022; pp. 83–108. [Google Scholar] [CrossRef]
- Alsaade, F.W.; Yao, Q.; Bekiros, S.; Al-zahrani, M.S.; Alzahrani, A.S.; Jahanshahi, H. Chaotic attitude synchronization and anti-synchronization of master-slave satellites using a robust fixed-time adaptive controller. Chaos Solitons Fractals 2022, 165, 112883. [Google Scholar] [CrossRef]
- Munoz-Pacheco, J.M.; Posadas-Castillo, C.; Zambrano-Serrano, E. The Effect of a Non-Local Fractional Operator in an Asymmetrical Glucose-Insulin Regulatory System: Analysis, Synchronization and Electronic Implementation. Symmetry 2020, 12, 1395. [Google Scholar] [CrossRef]
- Oluwole, O.S.A. Dynamic Regimes of El Niño Southern Oscillation and Influenza Pandemic Timing. Front. Public Health 2017, 5, 301. [Google Scholar] [CrossRef]
- Bendoukha, S.; Abdelmalek, S.; Ouannas, A. Secure Communication Systems Based on the Synchronization of Chaotic Systems. In Mathematics Applied to Engineering, Modelling, and Social Issues; Chapter Secure Communication Systems Based on the Synchronization of Chaotic Systems; Springer International Publishing: Cham, Switzerland, 2019; pp. 281–311. [Google Scholar] [CrossRef]
- Çavuşoğlu, Ü.; Panahi, S.; Akgül, A.; Jafari, S.; Kaçar, S. A new chaotic system with hidden attractor and its engineering applications: Analog circuit realization and image encryption. Analog Integr. Circuits Signal Process. 2019, 98, 85–99. [Google Scholar] [CrossRef]
- Blagov, M.V.; Kuznetsov, N.V.; Leonov, G.A.; Yuldashev, M.V.; Yuldashev, R.V. Simulation of PLL with impulse signals in MATLAB: Limitations, hidden oscillations, and pull-in range. In Proceedings of the 2015 7th International Congress on Ultra Modern Telecommunications and Control Systems and Workshops (ICUMT), Brno, Czech Republic, 6–8 October 2015; pp. 85–90. [Google Scholar] [CrossRef]
- Kuznetsov, N.V.; Leonov, G.A.; Mokaev, T.N.; Seledzhi, S.M. Hidden attractor in the Rabinovich system, Chua circuits and PLL. AIP Conf. Proc. 2016, 1738, 210008. [Google Scholar] [CrossRef]
- Kiseleva, M.A.; Kudryashova, E.V.; Kuznetsov, N.V.; Kuznetsova, O.A.; Leonov, G.A.; Yuldashev, M.V.; Yuldashev, R.V. Hidden and self-excited attractors in Chua circuit: Synchronization and SPICE simulation. Int. J. Parallel Emergent Distrib. Syst. 2018, 33, 513–523. [Google Scholar] [CrossRef]
- Lambert, J.D. Computational Methods in Ordinary Differential Equations; John Wiley & Sons Ltd.: Hoboken, NJ, USA, 1973. [Google Scholar]
- Herinci, P. Discrete Variable Methods in Ordinary Differential Equations; John Wiley & Sons, Inc.: Hoboken, NJ, USA, 1962. [Google Scholar]
- Pecora, L.M.; Carroll, T.L. Synchronization of chaotic systems. Chaos Interdiscip. J. Nonlinear Sci. 2015, 25, 097611. [Google Scholar] [CrossRef]
- Volos, C.K.; Pham, V.T.; Azar, A.T.; Stouboulos, I.N.; Kyprianidis, I.M. Synchronization Phenomena in Coupled Dynamical Systems with Hidden Attractors. In Nonlinear Dynamical Systems with Self-Excited and Hidden Attractors; Pham, V.T., Vaidyanathan, S., Volos, C., Kapitaniak, T., Eds.; Springer International Publishing: Cham, Switzerland, 2018; pp. 375–401. [Google Scholar] [CrossRef]
- Tian, H.; Wang, Z.; Zhang, P.; Chen, M.; Wang, Y. Dynamic Analysis and Robust Control of a Chaotic System with Hidden Attractor. Complexity 2021, 2021, 8865522. [Google Scholar] [CrossRef]
- Rajagopal, K.; Kingni, S.T.; Kom, G.H.; Pham, V.T.; Karthikeyan, A.; Jafari, S. Self-Excited and Hidden Attractors in a Simple Chaotic Jerk System and in Its Time-Delayed Form: Analysis, Electronic Implementation, and Synchronization. J. Korean Phys. Soc. 2020, 77, 145–152. [Google Scholar] [CrossRef]
- Lai, Q.; Kamdem Kuate, P.D.; Pei, H.; Fotsin, H. Infinitely Many Coexisting Attractors in No-Equilibrium Chaotic System. Complexity 2020, 2020, 8175639. [Google Scholar] [CrossRef]
- Pm, G.; Kapitaniak, T. Synchronization in Coupled Multistable Systems with Hidden Attractors. Math. Probl. Eng. 2017, 2017, 5214235. [Google Scholar] [CrossRef]
- Wei, Z.; Yousefpour, A.; Jahanshahi, H.; Erkin Kocamaz, U.; Moroz, I. Hopf bifurcation and synchronization of a five-dimensional self-exciting homopolar disc dynamo using a new fuzzy disturbance-observer-based terminal sliding mode control. J. Frankl. Inst. 2021, 358, 814–833. [Google Scholar] [CrossRef]
- Vaidyanathan, S.; He, S.; Sambas, A. A new multistable double-scroll 4-D hyperchaotic system with no equilibrium point, its bifurcation analysis, synchronization and circuit design. Arch. Control. Sci. 2021, 31, 99–128. [Google Scholar] [CrossRef]
- Wang, S.; Yousefpour, A.; Yusuf, A.; Jahanshahi, H.; Alcaraz, R.; He, S.; Munoz-Pacheco, J.M. Synchronization of a Non-Equilibrium Four-Dimensional Chaotic System Using a Disturbance-Observer-Based Adaptive Terminal Sliding Mode Control Method. Entropy 2020, 22, 271. [Google Scholar] [CrossRef]
- Vaidyanathan, S.; Moroz, I.M.; Sambas, A. A new 4-D hyperchaotic system with no equilibrium, its multistability, offset boosting and circuit simulation. Arch. Control. Sci. 2020, 30, 575–597. [Google Scholar] [CrossRef]
- Ramadoss, J.; Kengne, R.; Tokoue Ngatcha, D.; Kamdoum Tamba, V.; Rajagopal, K.; Motchongom Tingue, M. A Three-Dimensional Autonomous System with a Parabolic Equilibrium: Dynamical Analysis, Adaptive Synchronization via Relay Coupling, and Applications to Steganography and Chaos Encryption. Complexity 2022, 2022, 8362836. [Google Scholar] [CrossRef]
- Zhang, X.; Wang, C. Multiscroll Hyperchaotic System with Hidden Attractors and Its Circuit Implementation. Int. J. Bifurc. Chaos 2019, 29, 1950117. [Google Scholar] [CrossRef]
- Tamba, V.K.; Pham, V.T.; Hoang, D.V.; Jafari, S.; Alsaadi, F.E.; Alsaadi, F.E. Dynamic system with no equilibrium and its chaos anti-synchronization. Automatika 2018, 59, 35–42. [Google Scholar] [CrossRef]
- Wang, X.; Pham, V.T.; Jafari, S.; Volos, C.; Munoz-Pacheco, J.M.; Tlelo-Cuautle, E. A New Chaotic System With Stable Equilibrium: From Theoretical Model to Circuit Implementation. IEEE Access 2017, 5, 8851–8858. [Google Scholar] [CrossRef]
- Elsonbaty, A.; El-Sayed, A.M.A. Analytical study of global bifurcations, stabilization and chaos synchronization of jerk system with multiple attractors. Nonlinear Dyn. 2017, 90, 2637–2655. [Google Scholar] [CrossRef]
- Azar, A.T.; Volos, C.; Gerodimos, N.A.; Tombras, G.S.; Pham, V.T.; Radwan, A.G.; Vaidyanathan, S.; Ouannas, A.; Munoz-Pacheco, J.M. A Novel Chaotic System without Equilibrium: Dynamics, Synchronization, and Circuit Realization. Complexity 2017, 2017, 7871467. [Google Scholar] [CrossRef]
- Tian, H.; Wang, Z.; Zhang, H.; Cao, Z.; Zhang, P. Dynamical analysis and fixed-time synchronization of a chaotic system with hidden attractor and a line equilibrium. Eur. Phys. J. Spec. Top. 2022, 231, 2455–2466. [Google Scholar] [CrossRef]
- Munoz-Pacheco, J.M.; Volos, C.; Serrano, F.E.; Jafari, S.; Kengne, J.; Rajagopal, K. Stabilization and Synchronization of a Complex Hidden Attractor Chaotic System by Backstepping Technique. Entropy 2021, 23, 921. [Google Scholar] [CrossRef]
- Zhang, H.; Liu, D.; Wang, Z. Controlling Chaos: Suppression, Synchronization and Chaotification; Springer: London, UK, 2009. [Google Scholar] [CrossRef]
- Tanaka, K.; Ikeda, T.; Wang, H.O. A unified approach to controlling chaos via an lmi-based fuzzy control system design. IEEE Trans. Circuits Syst. I Fundam. Theory Appl. 1998, 45, 1021–1040. [Google Scholar] [CrossRef]
- Skufca, J.D. Analysis Still Matters: A Surprising Instance of Failure of Runge–Kutta–Felberg ODE Solvers. SIAM Rev. 2004, 46, 729–737. [Google Scholar] [CrossRef]
- Gautschi, W. Numerical integration of ordinary differential equations based on trigonometric polynomials. Numer. Math. 1961, 3, 381–397. [Google Scholar] [CrossRef]
- Takagi, T.; Sugeno, M. Fuzzy identification of systems and its applications to modeling and control. IEEE Trans. Syst. Man Cybern. 1985, SMC-15, 116–132. [Google Scholar] [CrossRef]
- Lian, K.Y.; Chiu, C.S.; Chiang, T.S.; Liu, P. LMI-based fuzzy chaotic synchronization and communications. IEEE Trans. Fuzzy Syst. 2001, 9, 539–553. [Google Scholar] [CrossRef]
- Lian, K.Y.; Chiang, T.S.; Chiu, C.S.; Liu, P. Synthesis of fuzzy model-based designs to synchronization and secure communications for chaotic systems. IEEE Trans. Syst. Man Cybern. Part B Cybern. 2001, 31, 66–83. [Google Scholar] [CrossRef] [PubMed]
- Chua, L.O. A zoo of strange attractors from the canonical Chua’s circuits. In Proceedings of the [1992] 35th Midwest Symposium on Circuits and Systems, Washington, DC, USA, 9–12 August 1992; Volume 2, pp. 916–926. [Google Scholar] [CrossRef]
- Leonov, G.A.; Kuznetsov, N.V.; Kuznetsova, O.A.; Seledzhi, S.M.; Vagaitsev, V.I. Hidden Oscillations in Dynamical Systems. Wseas Trans. Syst. Control 2011, 6, 54–67. [Google Scholar]
- Sprott, J.C. Some simple chaotic flows. Phys. Rev. E 1994, 50, R647–R650. [Google Scholar] [CrossRef] [PubMed]
- Jafari, S.; Sprott, J.; Hashemi Golpayegani, S.M.R. Elementary quadratic chaotic flows with no equilibria. Phys. Lett. A 2013, 377, 699–702. [Google Scholar] [CrossRef]
- Jafari, S.; Sprott, J. Simple chaotic flows with a line equilibrium. Chaos Solitons Fractals 2013, 57, 79–84. [Google Scholar] [CrossRef]
- Chua, L.O. The Genesis of Chua’s Circuit. Arch. Fur Elektron. Und Uebertragungstechnik 1992, 46, 250–257. [Google Scholar]
- Kuznetsov, N.; Leonov, G.; Vagaitsev, V. Analytical-numerical method for attractor localization of generalized Chua’s system. IFAC Proc. Vol. 2010, 43, 29–33. [Google Scholar] [CrossRef]
- Niemann, D.; Li, J.; Wang, H.O.; Tanaka, K. Parallel distributed compensation for Takagi-Sugeno fuzzy models: New stability conditions and dynamic feedback designs. IFAC Proc. Vol. 1999, 32, 5374–5379. [Google Scholar] [CrossRef]
- Nian, Y.; Zheng, Y. Generalized projective synchronization of chaotic systems based on Takagi-Sugeno fuzzy model. In Proceedings of the 2010 Seventh International Conference on Fuzzy Systems and Knowledge Discovery, Yantai, China, 10–12 August 2010; Volume 3, pp. 1291–1295. [Google Scholar] [CrossRef]
- Danca, M.F. Hidden chaotic attractors in fractional-order systems. Nonlinear Dyn. 2017, 89. [Google Scholar] [CrossRef]
- Pano-Azucena, A.D.; Tlelo-Cuautle, E.; Rodriguez-Gomez, G.; de la Fraga, L.G. FPGA-based implementation of chaotic oscillators by applying the numerical method based on trigonometric polynomials. AIP Adv. 2018, 8, 75217. [Google Scholar] [CrossRef]
- Zaqueros-Martinez, J.; Rodríguez-Gómez, G.; Tlelo-Cuautle, E.; Orihuela-Espina, F. Trigonometric polynomials methods to simulate oscillating chaotic systems. AIP Conf. Proc. 2022, 2425, 420035. [Google Scholar] [CrossRef]
- Pham, V.T.; Volos, C.; Kapitaniak, T. Systems Without Equilibrium. In Systems with Hidden Attractors: From Theory to Realization in Circuits; Springer International Publishing: Cham, Switzerland, 2017; pp. 51–63. [Google Scholar] [CrossRef]
- Baranyi, P. The Generalized TP Model Transformation for T–S Fuzzy Model Manipulation and Generalized Stability Verification. IEEE Trans. Fuzzy Syst. 2014, 22, 934–948. [Google Scholar] [CrossRef]
- Baranyi, P. TP-Model Transformation-Based-Control Design Frameworks; Springer: Cham, Switzerland, 2016. [Google Scholar] [CrossRef]
- Baranyi, P. How to Vary the Input Space of a T–S Fuzzy Model: A TP Model Transformation-Based Approach. IEEE Trans. Fuzzy Syst. 2022, 30, 345–356. [Google Scholar] [CrossRef]
- Dudkowski, D.; Jafari, S.; Kapitaniak, T.; Kuznetsov, N.V.; Leonov, G.A.; Prasad, A. Hidden attractors in dynamical systems. Phys. Rep. 2016, 637, 1–50. [Google Scholar] [CrossRef]








| System Name | Mathematical Model | Parameters | Eq. Point |
|---|---|---|---|
| Chua | , | Yes | |
| [44] | , | ||
| , | |||
| , | |||
| [45] | |||
| Sprott A | No | ||
| [46] | |||
| NE6 | No | ||
| [47] | |||
| LE4 | Line | ||
| [48] | |||
| System | T–S Fuzzy Model | Complete | Projective |
|---|---|---|---|
| Chua | Base | 12,301 | 1670 |
| SNNN | 2496 | 1281 | |
| CNO | 2496 | 1281 | |
| Sprott A | Base | 2792 | |
| SNNN | 2663 | ||
| CNO | 2663 | ||
| NE6 | Base | 1885 | |
| SNNN | 1885 | ||
| CNO | 1885 | ||
| LE4 | Base | 3383 | 1771 |
| SNNN | 3383 | 1923 | |
| CNO | 3383 | 1771 |
Disclaimer/Publisher’s Note: The statements, opinions and data contained in all publications are solely those of the individual author(s) and contributor(s) and not of MDPI and/or the editor(s). MDPI and/or the editor(s) disclaim responsibility for any injury to people or property resulting from any ideas, methods, instructions or products referred to in the content. |
© 2023 by the authors. Licensee MDPI, Basel, Switzerland. This article is an open access article distributed under the terms and conditions of the Creative Commons Attribution (CC BY) license (https://creativecommons.org/licenses/by/4.0/).
Share and Cite
Zaqueros-Martinez, J.; Rodriguez-Gomez, G.; Tlelo-Cuautle, E.; Orihuela-Espina, F. Fuzzy Synchronization of Chaotic Systems with Hidden Attractors. Entropy 2023, 25, 495. https://doi.org/10.3390/e25030495
Zaqueros-Martinez J, Rodriguez-Gomez G, Tlelo-Cuautle E, Orihuela-Espina F. Fuzzy Synchronization of Chaotic Systems with Hidden Attractors. Entropy. 2023; 25(3):495. https://doi.org/10.3390/e25030495
Chicago/Turabian StyleZaqueros-Martinez, Jessica, Gustavo Rodriguez-Gomez, Esteban Tlelo-Cuautle, and Felipe Orihuela-Espina. 2023. "Fuzzy Synchronization of Chaotic Systems with Hidden Attractors" Entropy 25, no. 3: 495. https://doi.org/10.3390/e25030495
APA StyleZaqueros-Martinez, J., Rodriguez-Gomez, G., Tlelo-Cuautle, E., & Orihuela-Espina, F. (2023). Fuzzy Synchronization of Chaotic Systems with Hidden Attractors. Entropy, 25(3), 495. https://doi.org/10.3390/e25030495

