Next Article in Journal
Fundamental Relation for the Ideal Gas in the Gravitational Field and Heat Flow
Previous Article in Journal
Almost Surely Exponential Convergence Analysis of Time Delayed Uncertain Cellular Neural Networks Driven by Liu Process via Lyapunov–Krasovskii Functional Approach
 
 
Font Type:
Arial Georgia Verdana
Font Size:
Aa Aa Aa
Line Spacing:
Column Width:
Background:
Article

Simulations of the Characteristics of the Entropy Mode in Dipole-Magnetic-Confined Plasmas

1
Department of Physics, Harbin Institute of Technology, Harbin 150001, China
2
Sino-French Institute of Nuclear Engineering and Technology, Sun Yat-sen University, Zhuhai 519082, China
3
Laboratory for Space Environment and Physical Sciences, Harbin Institute of Technology, Harbin 150001, China
4
School of Electrical Engineering and Automation, Harbin Institute of Technology, Harbin 150001, China
*
Author to whom correspondence should be addressed.
Entropy 2023, 25(11), 1481; https://doi.org/10.3390/e25111481
Submission received: 20 August 2023 / Revised: 17 October 2023 / Accepted: 21 October 2023 / Published: 26 October 2023
(This article belongs to the Special Issue Applications of Information Theory in Solar and Space Plasma Physics)

Abstract

Plasmas confined in a dipole magnetic field widely exist in both space and laboratories, and this kind of plasma draws much attention from researchers both in plasma physics and in space science. In this paper, the characteristics of the collisionless electrostatic instability of the entropy mode in a dipole-magnetic-confined plasma are simulated with the linear gyrokinetic model. It is found that the entropy mode can be generated in dipole-magnetic-confined plasmas, and there are two typical stages of the entropy mode, with another transitional stage at different values of η. The main instability changes from the ion diamagnetic drift to the electronic diamagnetic drift as η becomes larger. In addition, the MHD mode predicts that the most stable point is at η~2/3 when kρi << 1. However, we find that η and kρi are coupled with each other, and the most stable point of the mode moves gradually to η~1 as kρi increases. There is a peak value for the entropy mode growth rate around kρi~1.0, and more complicated modes are induced so that the dispersion relation has been changed when the driving force of the plasma pressure gradient effect is obvious. For example, the characteristics of the interchange-like modes gradually emerge when the driving effect of the plasma pressure becomes stronger. Further investigations should be taken to reveal the characteristics of the entropy mode in magnetospheric plasmas.

1. Introduction

The earth’s magnetic field (or the simulated earth’s magnetic field configuration in the laboratory) is a typical dipole magnetic field, which can be regarded as a “magnetic mirror” with a strong magnetic field at the two poles and a weak magnetic field at the middle equatorial plane. These kinds of configurations have a good constraint effect on the plasmas confined in the magnetic field [1,2,3]. Since the dipole magnetic field is a kind of magnetic field configuration that is relatively easy to design and implement in the laboratory, plasma confined by a dipole magnetic field is often used in laboratories to carry out scientific research on plasma characteristics under magnetic field confinement conditions [4,5,6,7]. At present, the dipole-magnetic-field-confined plasma research devices under construction (or that have been built) include the SPERF (Space Plasma Environment Research Facility) at Habin Institute of Technology in China, the CTX (Collisionless Terrella eXperiment) at Columbia University in USA, the LDX (Levitated Dipole eXperiment) at MIT in the USA, and the RT-1 (Ring Trap-1) at Tokyo University in Japan, etc. [8,9,10,11].
In the dipole magnetic field, the charged particles bounce back at the magnetic mirror point and perform a reciprocating bouncing motion when they move toward the two poles. The curvature drift, gradient drift, and bouncing motion of charged particles, together with the spiral motion of electrons, constitute the basic motion form of electron capture in a dipolar field; Figure 1 shows the motion of a charged particle in the radiation belt. Theoretically, the ideal dipole magnetic field has a good confinement property for the charged particles, but collisions and turbulence disturbances will enhance particle transport and destroy the confinement. Different from tokamaks, which have both good curvature regions and bad curvature regions, there is no shear field in the dipole magnetic confined plasmas, and the whole region holds the feather of bad curvature. Therefore, the plasma compression plays a key role in the MHD interchange instability in the dipole-magnetic-confined plasmas. Recent studies show that the plasma equilibrium in the dipole magnetic field has good MHD stability properties [12,13,14,15].
In fact, not all the modes can be described by the MHD equations, especially for the unstable modes which do not satisfy the MHD ordering assumption. In the case of a weak gradient, the MHD modes can be stabilized; however, a large number of non-MHD modes have been developed, and the entropy mode is a typical one. The entropy mode was first studied by Kadomtsev in 1960 [16]. When the interchange mode in the plasma is considered, the plasma and the flux tube move together, and the inside flux tube and outside flux tube exchange their positions as well as the plasma contained in the flux tube. The interchange modes are usually treated as ideal MHD, and an adiabatic equation of state pvγ = c is generally adopted. In this case, the entropy of the plasmas does not change while exchanging their positions. The free energy is derived from the total pressure gradient of the plasma. For the entropy mode studied in this paper, the electrons and the ions propagate in opposite directions, and each has its own density disturbance, temperature disturbance, and pressure disturbance. However, there is no total pressure disturbance in the leading order, which leads to the changes in the specific entropy of the plasmas. The driven source of this mode can be the density and/or temperature gradients, rather than the total pressure gradient.
Recently, the entropy mode in the dipole magnetic field was investigated by many researchers using fluid models and kinetic models [17,18,19,20,21]. Furthermore, the entropy mode can also be observed in laboratories [17,22,23]. The influences of the temperature anisotropy and the multicomponents on the entropy mode are also included [24,25]. However, the basic assumption of these studies is that the entropy mode has flutelike instability, that is, k ≈ 0, where k~m/Rc, and the bounce average is adopted to simplify the model. It is known that the Landau damping has a strong stabilizing effect unless kvti << ω << kvte for the entropy mode with the frequency ω~ < ωD > θ~kρivt/Rc, where RC is the radius of curvature. It can be seen that the finite k has a strong stabilizing effect when kρi << 1, that is, the instability in this range is mainly a flutelike instability. However, the parallel dynamic plays an important role for the plasma instability when kρi > 1. This destroys the conservation of the second adiabatic invariant J of the particle, which makes the bounce average ineffective.
In this paper, linear gyrokinetic simulations with parallel dynamics are taken to analyze the behaviour of the entropy mode in a dipole magnetic field configuration. The layout of this paper is as follows: Section 1 is the introduction, and the model used in this paper is described in Section 2. Simulation results of the characteristics of the entropy mode in the typical dipole-magnetic-field-confined plasma are presented in Section 3. Finally, this paper is summarized in Section 4 with concluding remarks.

2. Model Description

The Maxwell equation should be satisfied for any magnetic field configuration:
B = 0
× B = 1 c 2 E t + μ 0 J
where B is the magnetic field intensity, E is the electric field intensity, c is the light velocity, t is the time, J is the current density, and μ0 is the vacuum magnetic permeability. The equilibrium background field is considered in Equation (2), and the timescale of the evolution is much larger than the disturbance timescale for the equilibrium field considered in this paper. Therefore, the background magnetic field can approximately be regarded as not evolving with time within the disturbance timescale. It is often assumed that the system has reached a steady state and there is no current in that region when considering the distribution of the background equilibrium fields. Therefore, Equation (2) can be rewritten as
× B = 0
When the curl of a physical quantity is zero, it can be written as the gradient of a physical quantity. Assuming that the physical quantity is Ψ(r), we can obtain
B = 2 Ψ r = 0
Equation (4) can be solved by separating variables in a spherical coordinate system,
Ψ ( r ) = R ( r ) Θ ( θ ) Φ ( φ )
where R, θ, and Φ can be expressed as follows:
R r = A n r n + B n r n + 1
Φ φ = C m cos m φ + D m sin m φ
Θ θ = E n m P n m cos θ
where P n m is the associated Legendre polynomial, and An, Bn, Cm, Dm, and E n m are the undetermined coefficients. Considering that the magnetic field is zero at infinity, therefore A is 0, and the solution to the equation can be written as
Ψ = n = 1   m = 0 n 1 r n + 1 P n m cos θ C n m sin m φ + D n m cos m φ
When the lowest order approximation is m = 0 and n = 1, the potential generated by Equation (9) is the ideal dipole field potential. In such a dipole field, the components of the magnetic field can be expressed as
B r = 2 B 0 R E 3 r 3 cos θ
B θ = B 0 R E 3 r 3 sin θ
where B0 represents the magnetic field intensity at the equatorial surface. It can be seen that due to the cyclic symmetry of the dipole field, there is no φ component. The above equations are usually represented by the magnetic moment M = B 0 R E 3 (the unit is Am2). However, the above representation method is very complex in the calculation because the calculation demand will be greatly increased in the analysis, and the simulation process as the background equilibrium cannot be well expressed by the magnetic field. The plasma equilibrium is required, which means that the macroscopic thermodynamic parameters (such as the pressure, the temperature, the number density, etc.) are almost the same as those on the magnetic surface, and the magnetic surface coordinate system is often more advantageous for calculation.
For the dipole field potential generated above, the magnetic plane coordinate system (ψ, χ, ζ) can be used; thus, it is obtained that
ψ = M s i n 2 θ r χ = M c o s θ r 2   ζ = φ
where M is the magnetic moment at the equator of the dipole field. The magnetic plane coordinate system selected in this way is orthogonal and satisfies B = φ × ψ = χ , and B= B B = (M/r3) 1 + 3 cos 2 θ , which is very convenient for calculation.
The Maxwell distribution function F0s = n0sFM is used, where n is the number density. F M = ( m 2 π T ) 3 / 2 exp ( m ε T ) is the Maxwellian distribution, where 0 represents the equilibrium quantity, and s represents the species of the particles. For equilibrium plasma, F0 = F0(ψ), namely, the balance quantities are only the function of the magnetic surface ψ.
Based on the gyrokinetic theory, the particle perturbation distribution function with the gyrophase average can be expressed as follows:
f s = q s m s F 0 s ϵ ϕ + J 0 k ρ s h s
where q stands for the electric charge of the species, ϕ is the electrical potential, J0 is the zero-order Bessel function, and hs is the nonadiabatic gyrokinetic response. v is the velocity and ε = v2/2 is the particle energy. Compared to the flat plate model, the dipole field configuration has the magnetic drift effect of the charged particles. In this configuration, the time evolution of the nonadiabatic disturbance distribution function of charged particles is listed as follows:
ω ω D s + i v b h s = ω ω s T F 0 s ϵ q s m s J 0 ϕ
In this model, the plasma is assumed to be collisionless, which is the same as those in the geospace. Certain parameters mentioned above are listed as follows:
ρ s = v Ω s ,   Ω s = q s B m s c ,   μ = v 2 2 B ,   F s ϵ = m s T s F s ,   b = B / B .
ω s T = k × b F 0 s Ω s F 0 ε s ,   ω D s = k v d = k b × μ B + v 2 b b Ω s
where ω s T and ωDs are the antimagnetic drift frequency and magnetic drift frequency and b is the unit vector along the magnetic field, respectively.
The long drift wave assumption is adopted, namely, D << 1, where λD is the Debye length. It is generally believed that under such assumptions, the collective mode effect of the plasma is more dominant rather than the two-body collisions. Therefore, the quasi-neutral condition is used to replace the Poisson equation to obtain the closure equation of the model,
s q s f s d 3 v = 0
where fs stands for the gyrokinetic distribution function of the species.
It is defined that
g s h s q s T s F 0 s J 0 ϕ
In the one-dimensional simulation along the magnetic field line, b = l . Therefore, Equation (14) can be rewritten as [26]:
t + v l g s = i ω D s g s i ω D s ω s T   q s T s   F 0 s J 0 ϕ v q s T s   F 0 s J 0 l ϕ J 1 l k ρ s ϕ
The Bessel function Jʹ0 = −J1 is used, and for the electrons and ions with only one component, the quasi-neutral condition can be rewritten as
q i n i T i 1 Γ 0 i ϕ + J 0 i g i d 3 v = q e n e T e 1 Γ 0 e ϕ + J 0 e g e d 3 v
There is d l = r 0 κ ( ξ ) d ξ along the magnetic field line; thus, it is obtained that
l = ξ ξ l = 1 r 0 κ ξ ξ
where ξ = π/2 − θ. The motion of the charged particles along the magnetic field line is d l = v d t , and the evolution equation of the particle position is obtained as follows:
d ξ d t = v r 0 κ
During the particle motion, v and v change with its position along the magnetic field line, but ϵ and μ are conserved along the magnetic field line. Defining the pitch angle of the equatorial plane λ ≡ μB0/ϵ, it is obtained that | v | = 2 ( ϵ μ B ) = v 1 λ B / B 0 , where v = 2 ϵ , v 2 = v 2 + v 2 and the magnetic field B = B 0 f ( ξ ) . Therefore, Equation (30) can be rewritten as
d ξ d t = ± v y r 0 κ
where y = 1 f ( ξ ) λ . In addition, under the action of magnetic mirror force, the velocity of the charged particles changes, and the velocity equation is
d v d t = μ B m = λ v 2 2 d f r 0 κ d ξ
The magnetic drift velocity vg, vc, caused by the magnetic field gradient and the curvature, and the total drift velocity vd can be expressed as
v g = 1 m Ω s μ b × B = v 2 2 Ω s B b × B e ^ ϕ
v c = 1 Ω s v 2 × b = v 2 Ω s B b × B e ^ ϕ
v d = b × B B Ω s v 2 + 1 2 v 2 e ^ ϕ = g r 0 Ω s 0 f v 2 + 1 2 v 2 e ^ ϕ
where g ( ξ ) = r 0 ( b × B ) / B , × b = × B B = 1 B × B + ( 1 B ) × B = b B × B , and × B = 0 .
In addition, the perpendicular wave vector is
k 2 = k ψ 2 ψ ψ + k ζ 2 ζ ζ = k p 2 r 0 2 p ψ 2 + k t 2 r 0 2 p ζ 2
and the gyro-radius is
ρ s = v Ω s = v λ Ω s 0   1 f ξ
The final magnetic drift frequency obtained is
ω D s = k v d = k t g r 0 2 Ω s 0 f p v 2 + 1 2 v 2 = ω d 0 g f p ζ ( 1 + y ) 2 v 2
where ω d 0 = k t / ( r 0 Ω s 0 ) . In a shear-free dipole magnetic field configuration, there are
k × b n 0 = 1 B k ψ ψ + k ζ ζ × χ ψ n 0 ψ = 1 B k ζ ζ × χ ψ n 0 ψ = k ζ B n 0 ψ
and the gradient diamagnetic drift frequency is
ω s T = k × b F 0 s Ω s F 0 ϵ S = k × b F 0 s m s Ω s F 0 s / T s = k ζ B n 0 ψ 1 n 0 1 + η s m ϵ T 0 3 2 m s Ω s / T s = ω s 1 + η s m ϵ T 0 3 2
where ω * s = k t c T s / ( q s L n s ) and L n ( ln n 0 ψ ) 1 .
The normalization scale is chosen for the ion thermal velocity vti, and the radius r0 at ξ = 0. The standard δf method is used, the particle weight is defined to be ws = gs/F0s, and the normalized evolution equation can be expressed as follows [26]:
d ξ s d t = v κ
d ω s d t = i ω D s ω s i ω D s ω s T q s T s J 0 ϕ v 1 κ q s T s J 0 ξ ϕ J 1 ξ k ρ s ϕ
1 + 1 τ e Γ 0 i 1 τ e Γ 0 e ϕ = J 0 i g i d 3 v J 0 e g e d 3 v
d v d t = v 2 λ 2 1 κ d f d ξ
The governing Equations (34)–(36) are the equations simulated by the PIC method. For any magnetic field, the corresponding drift instability can be obtained with f(ξ), κ(ξ), g(ξ), p(ψ), and p(ζ). In an ideal dipole field, κ = cos ξ ( 1 + 3 sin 2 ξ ) 1 / 2 , f ( ξ ) 1 + 3 sin 2 ξ cos 6 ξ , p ( ψ ) = B 0 r 0 2 1 + 3 sin 2 ξ / cos 3 ξ , and p ( ζ ) = 1 / cos 3 ξ .
The normalized parameters are
d v d t = v 2 λ 2 3 sin ξ 3 + 5 sin 2 ξ cos 8 ξ ( 1 + 3 sin 2 ξ )
k 2 = k ζ 2 + k ψ 2 z / cos 6 ξ
k ρ s = v v t s λ k ζ 2 + k ψ 2 z z 1 / 4 ρ t s
ξ k ρ s = v v t s λ k ζ 2 + k ψ 2 z 2 z 5 / 4 k ζ 2 + k ψ 2 z   3 s i n ξ cos ξ ρ t s
b s = ρ t s 2 k ζ 2 + k ψ 2 z cos 6 ξ z
ω D s = ω d s 0 3 1 sin 4 ξ 1 + 3 sin 2 ξ 2 1 + y 2 v 2 v t s 2
where z = 1 + 3 sin 2 ξ , and k ψ k ψ B 0 r 0 2 .

3. Simulation Results and Discussion

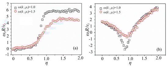
Based on the linear gyrokinetic model and the PIC method mentioned above, numerical simulations are taken to reveal the basic characteristics of the entropy mode in the dipole-magnetic-field-confined plasmas. The influences of three important parameters on the entropy mode are investigated in this paper. Firstly, we focus on the ratio of the temperature gradient to the density gradient at typical kρi, which represents the relative intensity between the temperature gradient and the density gradient. The curves of the mode frequency ωr and the growth rate of the mode ωi with different η = Ln/LT, where L T ( ln T ψ ) 1 , are shown in Figure 2, where the values of kρi are set to be 1.0 and 1.5, respectively. It can be seen from Figure 2a that there is a rapid ascent stage at η = 0.7~0.9 for kρi = 1.0, and the rapid ascent stage is at η = 0.7~1.2 for kρi = 1.5, which is a broader range for the value of η. In Figure 2b, there are also two extreme points for the growth rate of the modes at adjacent points, for example, η = 0.8 for kρi = 1.0 and η = 0.9 for kρi = 1.5, instead of η~0.67 predicted by Ref. [27]. It is indicated in Figure 2 that there are two typical stages of the entropy modes, with a turning point at the value of η around 0.7. The stage with smaller η is dominated by the ion diamagnetic drift, while the stage with larger η is dominated by the electronic diamagnetic drift. A transitional stage connects the two typical stages, which exist at the median values of η. This is also consistent with the current theory [27]. However, it is found that η and kρi are coupled with each other, and the most stable point of the mode moves gradually to η~1 as kρi increases, which has not been noticed before.
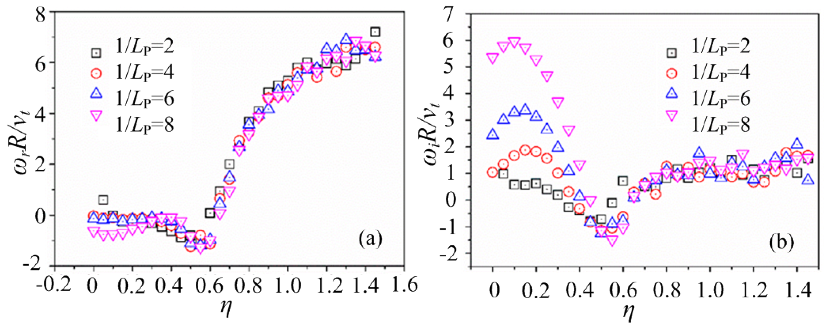
The curves of the mode frequency ωr and the growth rate of the mode ωi, with different η at kρi = 0.1 under typical 1/LP are shown in Figure 3, where 1/LP = −1/P(∂lnP0/∂Ψ). It can be seen that the curves exhibit different curve morphologies for the growth rate subfigure (Figure 3b), especially at smaller η where the number density gradient dominates. At a small value of η, the characteristics of the entropy mode are shown when the value of 1/LP is not large enough, which is driven both by the number density gradient and the temperature gradient. However, when the value of 1/LP becomes larger, the larger values of the mode growth rate are obtained, and the characteristics of the interchange-like modes gradually emerge. For example, the mode growth rates at 1/LP = 6 and 8 in Figure 3b are large enough to enter the interchange-like mode.
In this paper, we focus on the stage with smaller η that is dominated by the ion diamagnetic drift, and it is shown that the entropy mode gradually transitions to the interchange-like mode when the driving effect of the plasma pressure becomes stronger (as 1/LP increases), while for the mode frequency ωr, there are small differences in the curve morphology at different values of 1/LP, as shown in Figure 3a. At a larger value of η, the driving force of the temperature becomes stronger, and there may be other kinds of modes (such as drift wave modes), which are much more complicated to analyze.
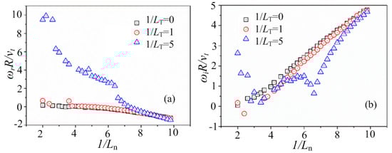
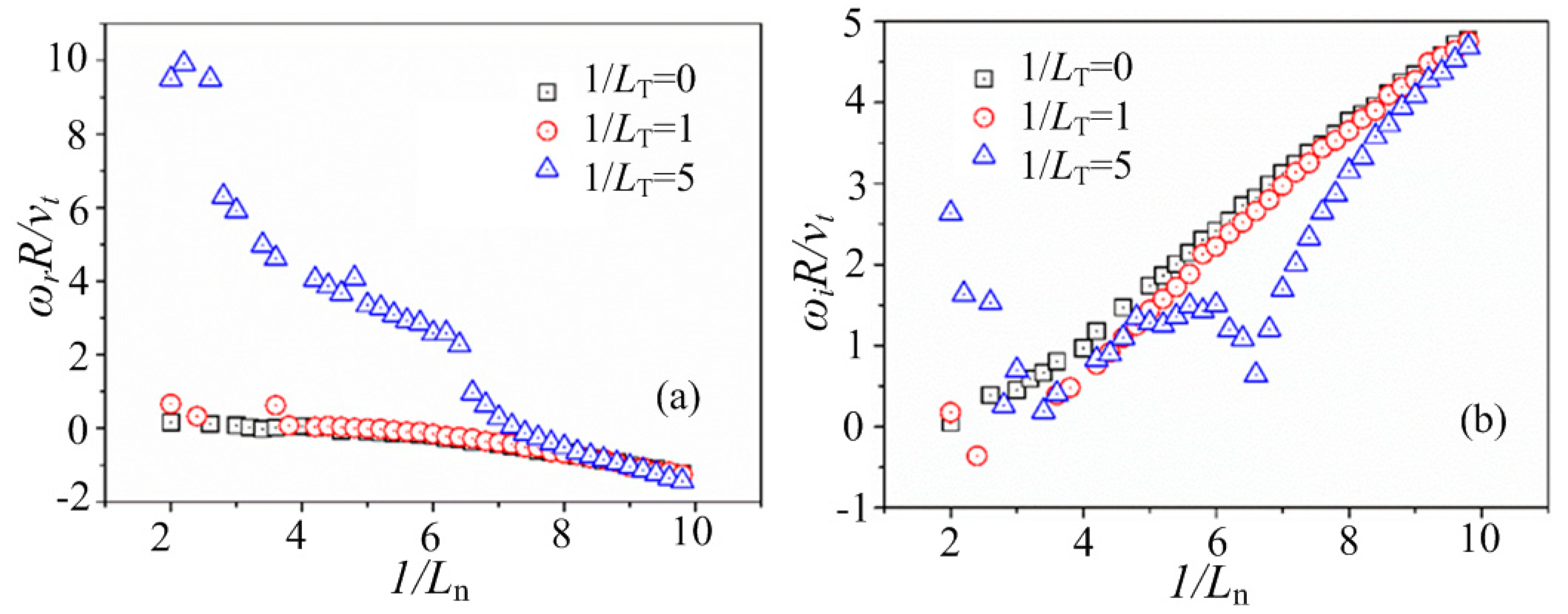
The curves of the mode frequency ωr and the growth rate of the mode ωi, with different 1/Ln at kρi = 0.5 under typical 1/LT are shown in Figure 4a,b, respectively, where 1/LT = −1/n(dn/dΨ) and 1/LT = −1/T(dT/dΨ). It can be seen that at small 1/LT (such as 1/LT = 0 and 1/LT = 1 in Figure 4) with a smaller temperature gradient, the curves of the mode frequency and the growth rate are quite similar, which is at the typical entropy mode stage at a small density gradient. However, the driving force of the plasma temperature is added with the increase in the value of 1/LT, and complicated modes are introduced in this system so that the entropy mode is therefore not the dominant mode. For example, there are different kinds of modes for the case of 1/LT = 5 in Figure 4, which is consistent with the results shown in Figure 3.
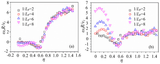
The dispersion relations between kρi and the mode frequency ωr and the dispersion relations between kρi and the growth rate of the mode ωi are shown in Figure 5a,b, respectively, where kρi = 0.5 and η = 0.2. it is indicated that for the smaller value of Lp−1 (for example, Lp−1 = 5), the driving force of the plasma pressure gradient effect is not obvious, and the characteristics of the entropy mode are obtained, where there is a peak value of the mode growth rate around kρi~1.0 that is consistent with the theory. While the driving force of the plasma pressure gradient effect is obvious for the larger value of Lp−1 (for example, Lp−1 = 10), more complicated modes are induced so that the dispersion relation has been changed totally.

4. Conclusions

In this paper, simulations on the characteristics of the entropy mode in a dipole-magnetic-field-confined plasma are taken based on a gyrokinetic model. The major influences of the typical parameters are revealed, and the main conclusions of this paper are summarized as follows:
(1)
It is found that the entropy mode can be generated in dipole-magnetic-confined plasmas, and there are two typical stages of the entropy mode, with another transitional stage at different values of η. The main instability changes from the ion diamagnetic drift to the electronic diamagnetic drift as η becomes larger and η~1 as kρi increases.
(2)
For the case with small values of kρi and η, the characteristics of the entropy mode are shown when the value of 1/LP is small. However, the characteristics of the interchange-like modes gradually emerge when the driving effect of the plasma pressure becomes stronger (the value of 1/LP becomes larger).
(3)
There is a peak value for the entropy mode growth rate around kρi~1.0, and more complicated modes are induced so that the dispersion relation has been changed when the driving force of the plasma pressure gradient effect is obvious.
Further investigations should be taken on the entropy mode with dipole-magnetic-confined plasma to reveal the characteristics of the entropy mode in magnetospheric plasmas.

Author Contributions

Conceptualization, Z.W.; Methodology, L.Q. and Y.Y.; Software, L.Q.; Investigation, Z.W. and A.M.; Resources, X.W.; Writing—original draft, Z.W.; Writing—review & editing, J.C. and Q.N.; Supervision, X.W.; Funding acquisition, Z.W. All authors have read and agreed to the published version of the manuscript.

Funding

This research was funded by the National Natural Science Foundation of China (No. 12175322).

Institutional Review Board Statement

Not applicable.

Data Availability Statement

The data that support the findings of this study are available from the corresponding author upon reasonable request.

Conflicts of Interest

The authors declare no conflict of interest.

References

  1. Boxer, A.C.; Garnier, D.T.; Ellsworth, J.L.; Kesner, J.; Mauel, M.E. Density profiles in the levitated dipole experiment. J. Fusion Energy 2008, 27, 11–15. [Google Scholar] [CrossRef]
  2. Baitha, A.R.; Kumar, A.; Bhattacharjee, S. A table top experiment to investigate production and properties of a plasma confined by a dipole magnet. Rev. Sci. Instrum. 2018, 89, 023503. [Google Scholar] [CrossRef] [PubMed]
  3. Levitt, B.; Maslovsky, D.; Mauel, M.E. Observation of Centrifugally Driven Interchange Instabilities in a Plasma Confined by a Magnetic Dipole. Phys. Rev. Lett. 2005, 94, 175002. [Google Scholar] [CrossRef] [PubMed]
  4. Boxer, A.C.; Bergmann, R.; Ellsworth, J.L.; Garnier, D.T.; Kesner, J.; Mauel, M.E.; Woskov, P. Turbulent inward pinch of plasma confined by a levitated dipole magnet. Nat. Phys. 2010, 6, 207–212. [Google Scholar] [CrossRef]
  5. Garnier, D.T.; Hansen, A.; Mauel, M.E.; Ortiz, E.; Boxer, A.C.; Ellsworth, J.; Karim, I.; Kesner, J.; Mahar, S.; Roach, A. Production and study of high-beta plasma confined by a superconducting dipole magnet. Phys. Plasmas 2006, 13, 056111. [Google Scholar] [CrossRef]
  6. Mauel, M.; Warren, H.; Hasegawa, A. An experiment to measure collisionless radial transport of energetic electrons confined by a dipole magnetic field. IEEE Trans. Plasma Sci. 1992, 20, 626–630. [Google Scholar] [CrossRef]
  7. Yoshida, Z.; Saitosh, H.; Yano, Y.; Mikami, H.; Kasaoka, N.; Sakamoto, W.; Morikawa, J.; Furukawa, M.; Mahajan, S.M. Self-organized confinement by magnetic dipole: Recent results from RT-1 and theoretical modeling. Plasma Phys. Control. Fusion 2013, 55, 014018. [Google Scholar] [CrossRef]
  8. Zhukovsky, A.; Michael, P.; Schultz, J.; Smith, B.; Minervini, J.; Kesner, J.; Radovinsky, A.; Garnier, D.; Mauel, M. First integrated test of the superconducting magnet systems for the Levitated Dipole Experiment (LDX). Fusion Eng. Des. 2005, 75–79, 29–32. [Google Scholar] [CrossRef]
  9. Saitoh, H.; Yoshida, Z.; Morikawa, J.; Furukawa, M.; Yano, Y.; Kawai, Y.; Kobayashi, M.; Vogel, G.; Mikami, H. Formation of high-β plasma and stable confinement of toroidal electron plasma in Ring Trap 1. Phys. Plasmas 2011, 18, 056102. [Google Scholar] [CrossRef]
  10. Barnes, C.; Jarboe, T.; Henins, I.; Sherwood, A.; Knox, S.; Gribble, R.; Hoida, H.; Klingner, P.; Lilliequist, C.; Linford, R.; et al. Spheromak formation and operation with background filling gas and a solid flux conserver in CTX. Nucl. Fusion 1984, 24, 267–281. [Google Scholar] [CrossRef]
  11. Yoshida, Z.; Ogawa, Y.; Morikawa, J.; Watanabe, S.; Yano, Y.; Mizumaki, S.; Tosaka, T.; Ohtani, Y.; Hayakawa, A.; Shibui, M. First Plasma in the RT-1 Device. Plasma Fusion Res. 2006, 1, 8. [Google Scholar] [CrossRef]
  12. Garnier, D.T.; Kesner, J.; Mauel, M.E. Magnetohydrodynamic stability in a levitated dipole. Phys. Plasmas 1999, 6, 3431–3434. [Google Scholar] [CrossRef]
  13. Simakov, A.N.; Catto, P.J.; Krasheninnikov, S.I.; Ramos, J.J. Ballooning stability of a point dipole equilibrium. Phys. Plasmas 2000, 7, 2526–2529. [Google Scholar] [CrossRef]
  14. Kesner, J. Interchange modes in a collisional plasma. Phys. Plasmas 2000, 7, 3837–3840. [Google Scholar] [CrossRef][Green Version]
  15. Kesner, J.; Hastie, R.J. Electrostatic drift modes in a closed field line configuration. Phys. Plasmas 2002, 9, 395–400. [Google Scholar] [CrossRef]
  16. Kadomtsev, B.B. Convective pinch instability. Sov. Phys. JETP 1960, 10, 780–783. [Google Scholar]
  17. Levitt, B.; Maslovsky, D.; Mauel, M.E. Measurement of the global structure of interchange modes driven by energetic electrons trapped in a magnetic dipole. Phys. Plasmas 2002, 9, 2507–2517. [Google Scholar] [CrossRef][Green Version]
  18. Ou, W.; Wang, L.; Li, B.; Rogers, B.N. Turbulent pinch in whole-plasma simulations of a dipole-confined plasma. Phys. Rev. E 2020, 101, 021201. [Google Scholar] [CrossRef]
  19. Simakov, A.N.; Catto, P.J.; Hastie, R.J. Kinetic stability of electrostatic plasma modes in a dipolar magnetic field. Phys. Plasmas 2001, 8, 4414–4426. [Google Scholar] [CrossRef]
  20. Kobayashi, S.; Rogers, B.N.; Dorland, W. Gyrokinetic Simulations of Turbulent Transport in a Ring Dipole Plasma. Phys. Rev. Lett. 2009, 103, 055003. [Google Scholar] [CrossRef]
  21. Kobayashi, S.; Rogers, B.N.; Dorland, W. Particle Pinch in Gyrokinetic Simulations of Closed Field-Line Systems. Phys. Rev. Lett. 2010, 105, 235004. [Google Scholar] [CrossRef] [PubMed]
  22. Garnier, D.T.; Boxer, A.C.; Ellsworth, J.L.; Hansen, A.K.; Karim, I.; Kesner, J.; Mauel, M.E.; Ortiz, E.E.; Roach, A. Stabilization of a low-frequency instability in a dipole plasma. J. Plasma Phys. 2008, 74, 733–740. [Google Scholar] [CrossRef]
  23. Qian, T.M.; Mauel, M.E. Observation of weakly damped modes using high resolution measurement of turbulence in a dipole confined plasma. Phys. Plasmas 2020, 27, 014501. [Google Scholar] [CrossRef]
  24. Qian, L.; Wang, Z.; Wang, X. Gyrokinetic investigations on entropy modes in dipole magnetic field confined plasmas with an anisotropic temperature. Phys. Plasmas 2019, 26, 032113. [Google Scholar] [CrossRef]
  25. Qian, L.; Wang, Z.B.; Li, J.R.; Wang, X. Entropy modes in multi-component plasmas confined by a dipole field. Phys. Plasmas 2020, 27, 042104. [Google Scholar] [CrossRef]
  26. Xie, H.-S.; Zhang, Y.; Huang, Z.-C.; Ou, W.-K.; Li, B. Local gyrokinetic study of electrostatic microinstabilities in dipole plasmas. Phys. Plasmas 2017, 24, 122115. [Google Scholar] [CrossRef]
  27. Garnier, D.T.; Mauel, M.E.; Roberts, T.M.; Kesner, J.; Woskov, P.P. Turbulent fluctuations during pellet injection into a dipole confined plasma torus. Phys. Plasmas 2017, 24, 012506. [Google Scholar] [CrossRef]
Figure 1. Schematic diagram of the basic motion of capture particles in the radiation belt.
Figure 1. Schematic diagram of the basic motion of capture particles in the radiation belt.
Entropy 25 01481 g001
Figure 2. The curves of (a) the mode frequency ωr and (b) the growth rate of the mode ωi, with different η = Ln/LT at typical kρi.
Figure 2. The curves of (a) the mode frequency ωr and (b) the growth rate of the mode ωi, with different η = Ln/LT at typical kρi.
Entropy 25 01481 g002
Figure 3. The curves of (a) the mode frequency ωr and (b) the growth rate of the mode ωi, with different η = Ln/LT at the typical value of Lp−1, where kρi = 0.1.
Figure 3. The curves of (a) the mode frequency ωr and (b) the growth rate of the mode ωi, with different η = Ln/LT at the typical value of Lp−1, where kρi = 0.1.
Entropy 25 01481 g003
Figure 4. The curves of (a) the mode frequency ωr and (b) the growth rate of the mode ωi, with different 1/Ln = −1/n(dn/dΨ) at the typical value of LT−1, where kρi = 0.5, 1/LT = −1/T(dT/dΨ), and η = 0.2.
Figure 4. The curves of (a) the mode frequency ωr and (b) the growth rate of the mode ωi, with different 1/Ln = −1/n(dn/dΨ) at the typical value of LT−1, where kρi = 0.5, 1/LT = −1/T(dT/dΨ), and η = 0.2.
Entropy 25 01481 g004
Figure 5. The dispersion relations between kρi and (a) the mode frequency ωr, and (b) the growth rate of the mode ωi, for different values of Lp−1, where kρi = 0.5 and η = 0.2.
Figure 5. The dispersion relations between kρi and (a) the mode frequency ωr, and (b) the growth rate of the mode ωi, for different values of Lp−1, where kρi = 0.5 and η = 0.2.
Entropy 25 01481 g005
Disclaimer/Publisher’s Note: The statements, opinions and data contained in all publications are solely those of the individual author(s) and contributor(s) and not of MDPI and/or the editor(s). MDPI and/or the editor(s) disclaim responsibility for any injury to people or property resulting from any ideas, methods, instructions or products referred to in the content.

Share and Cite

MDPI and ACS Style

Qian, L.; Wang, Z.; Chen, J.; Mao, A.; Yv, Y.; Nie, Q.; Wang, X. Simulations of the Characteristics of the Entropy Mode in Dipole-Magnetic-Confined Plasmas. Entropy 2023, 25, 1481. https://doi.org/10.3390/e25111481

AMA Style

Qian L, Wang Z, Chen J, Mao A, Yv Y, Nie Q, Wang X. Simulations of the Characteristics of the Entropy Mode in Dipole-Magnetic-Confined Plasmas. Entropy. 2023; 25(11):1481. https://doi.org/10.3390/e25111481

Chicago/Turabian Style

Qian, Liang, Zhibin Wang, Jian Chen, Aohua Mao, Yi Yv, Qiuyue Nie, and Xiaogang Wang. 2023. "Simulations of the Characteristics of the Entropy Mode in Dipole-Magnetic-Confined Plasmas" Entropy 25, no. 11: 1481. https://doi.org/10.3390/e25111481

APA Style

Qian, L., Wang, Z., Chen, J., Mao, A., Yv, Y., Nie, Q., & Wang, X. (2023). Simulations of the Characteristics of the Entropy Mode in Dipole-Magnetic-Confined Plasmas. Entropy, 25(11), 1481. https://doi.org/10.3390/e25111481

Note that from the first issue of 2016, this journal uses article numbers instead of page numbers. See further details here.

Article Metrics

Back to TopTop