An Efficient Routing Scheme Based on Node Attributes for Opportunistic Networks in Oceans
Abstract
:1. Introduction
2. Related Works
2.1. Copy-Based Routing
2.2. Active Movement-Based Routing
2.3. Utility-Based Routing
3. The Proposed Scheme: RSNA
3.1. Motivation
3.2. The Description of RSNA
3.2.1. Delivery Competency
3.2.2. Forwarding Willingness Mechanism
3.2.3. Utility-Based Forwarding
3.3. Routing Decision Scheme
| Algorithm 1 RSNA routing algorithm |
Begin
|
4. Performance Evaluation
4.1. RSNA Parameters
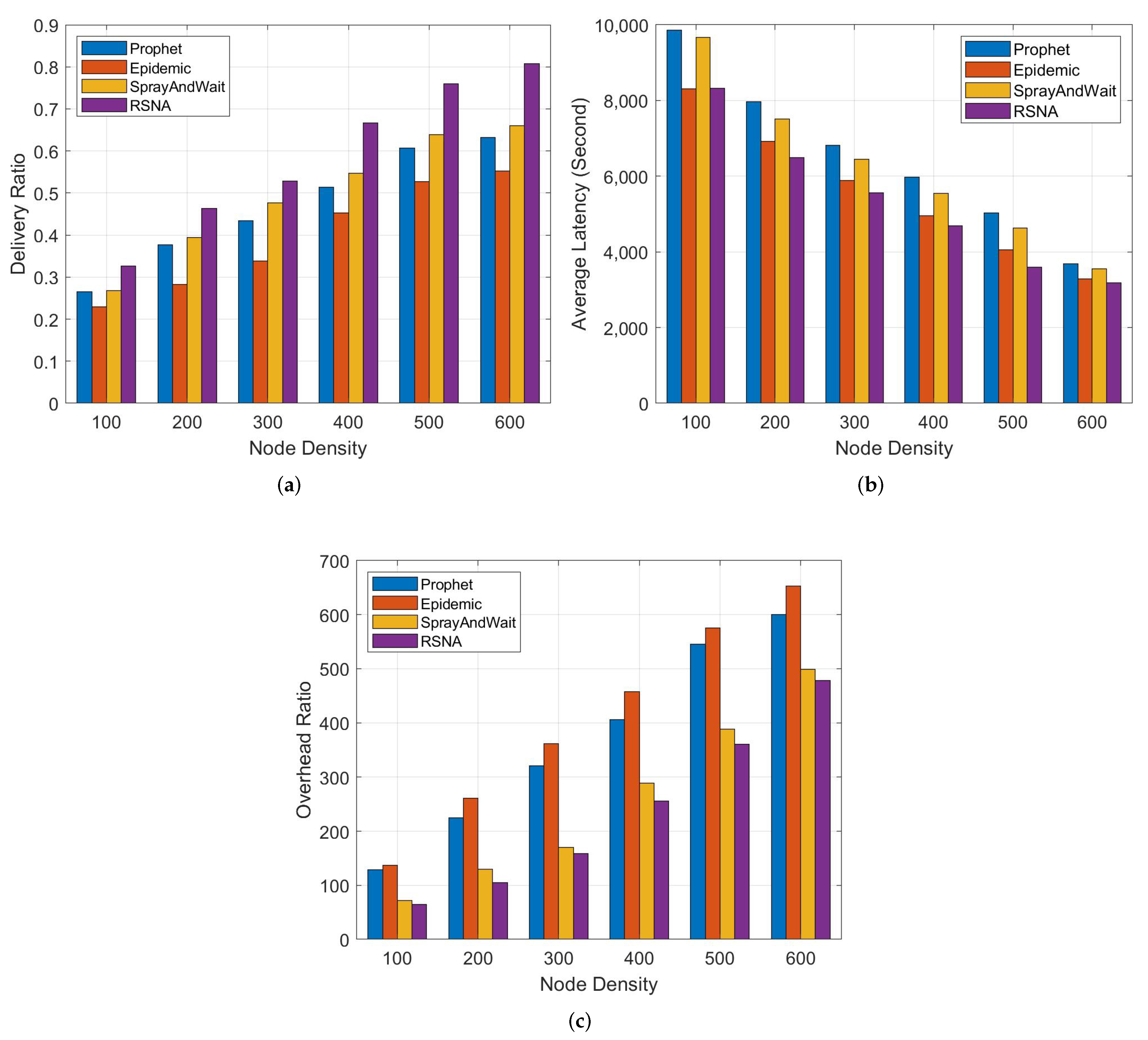
4.2. Impact of Different Node Density on Routing Performance
4.3. Impact of Different Buffer of Nodes
5. Conclusions
Author Contributions
Funding
Institutional Review Board Statement
Informed Consent Statement
Data Availability Statement
Conflicts of Interest
References
- Jiang, S. Networking in Oceans: A Survey. ACM Comput. Surv. 2021, 54, 33. [Google Scholar] [CrossRef]
- Pelusi, L.; Passarella, A.; Conti, M. Opportunistic networking: Data forwarding in disconnected mobile ad hoc networks. IEEE Commun. Mag. 2006, 44, 134–141. [Google Scholar] [CrossRef]
- Altowaijri, S.M. Efficient Next-Hop Selection in Multi-Hop Routing for IoT Enabled Wireless Sensor Networks. Future Internet 2022, 14, 35. [Google Scholar] [CrossRef]
- Nie, Z.; Liu, J.; Li, B.; Liu, H.; Xu, Y. A relay node selection technique for opportunistic routing in mobile Ad Hoc networks. In Proceedings of the 2009 15th Asia-Pacific Conference on Communications, Shanghai, China, 8–10 October 2009; pp. 665–668. [Google Scholar]
- Fayssal, B.; Marwen, A.; Fedoua, D. Network Selection schemes in Heterogeneous Wireless Networks. arXiv 2022, arXiv:2201.12021. [Google Scholar]
- Juang, P.; Oki, H.; Wang, Y.; Martonosi, M.; Peh, L.S.; Rubenstein, D. Energy-efficient computing for wildlife tracking: Design tradeoffs and early experiences with ZebraNet. In Proceedings of the 10th International Conference on Architectural Support for Programming Languages and Operating Systems, San Jose, CA, USA, 5–9 October 2002; pp. 96–107. [Google Scholar]
- Asuquo, P.; Cruickshank, H.; Sun, Z.; Chandrasekaran, G. Analysis of dos attacks in delay tolerant networks for emergency evacuation. In Proceedings of the 2015 9th International Conference on Next Generation Mobile Applications, Services and Technologies, Cambridge, UK, 9–11 September 2015; IEEE: Piscataway, NJ, USA, 2015; pp. 228–233. [Google Scholar]
- Guo, Y.; Schildt, S.; Pögel, T.; Wolf, L. Detecting malicious behavior in a vehicular DTN for public transportation. In Proceedings of the Global Information Infrastructure Symposium—GIIS 2013, Trento, Italy, 28–31 October 2013; pp. 1–8. [Google Scholar]
- Ji, M.; Cui, X.; Li, J.; Xu, T.; Li, S.; Liu, J. A Routing Algorithm Based on Network Connectivity Assessment for Maritime Opportunistic Networks. Procedia Comput. Sci. 2021, 187, 200–205. [Google Scholar] [CrossRef]
- Grossglauser, M.; Tse, D. Mobility increases the capacity of ad hoc wireless networks. IEEE ACM Trans. Netw. 2002, 10, 477–486. [Google Scholar] [CrossRef]
- Vahdat, A.; Becker, D. Epidemic Routing for Partially-Connected Ad Hoc Networks; Technical report, Technical report CS-200006; Duke University: Durham, NC, USA, 2000. [Google Scholar]
- Spyropoulos, T.; Psounis, K.; Raghavendra, C.S. Efficient Routing in Intermittently Connected Mobile Networks: The Multiple-Copy Case. IEEE ACM Trans. Netw. 2008, 16, 77–90. [Google Scholar] [CrossRef]
- Zhao, W.; Ammar, M.; Zegura, E. A Message Ferrying Approach for Data Delivery in Sparse Mobile Ad Hoc Networks. In Proceedings of the 5th ACM International Symposium on Mobile Ad Hoc Networking and Computing, Tokyo, Japan, 24–26 May 2004; pp. 187–198. [Google Scholar]
- Zhao, W.; Ammar, M.; Zegura, E. Controlling the mobility of multiple data transport ferries in a delay-tolerant network. In Proceedings of the IEEE 24th Annual Joint Conference of the IEEE Computer and Communications Societies, Miami, FL, USA, 13–17 March 2005; Volume 2, pp. 1407–1418. [Google Scholar]
- Chilipirea, C.; Petre, A.C.; Dobre, C. Energy-Aware Social-Based Routing in Opportunistic Networks. In Proceedings of the 2013 27th International Conference on Advanced Information Networking and Applications Workshops, Barcelona, Spain, 25–28 March 2013; pp. 791–796. [Google Scholar]
- Dhurandher, S.K.; Sharma, D.K.; Woungang, I.; Saini, A. An energy-efficient history-based routing scheme for opportunistic networks. Int. J. Commun. Syst. 2017, 30, e2989. [Google Scholar] [CrossRef]
- Dhurandher, S.; Sharma, D.; Woungang, I.; Gupta, R.; Garg, S. GAER: Genetic algorithm-based energy-efficient routing protocol for infrastructure-less opportunistic networks. J. Supercomput. 2014, 69, 1183–1214. [Google Scholar] [CrossRef]
- Lindgren, A.; Doria, A.; Schelén, O. Probabilistic Routing in Intermittently Connected Networks. SIGMOBILE Mob. Comput. Commun. Rev. 2003, 7, 19–20. [Google Scholar] [CrossRef]
- Qin, X.; Wang, X.; Wang, L.; Lin, Y.; Wang, X. An efficient probabilistic routing scheme based on game theory in opportunistic networks. Comput. Netw. 2019, 149, 144–153. [Google Scholar] [CrossRef]
- Wang, J.; Zhou, H.; Li, Y.; Sun, Q.; Wu, Y.; Jin, S.; Quek, T.Q.S.; Xu, C. Wireless Channel Models for Maritime Communications. IEEE Access 2018, 6, 68070–68088. [Google Scholar] [CrossRef]
- Ge, L.; Jiang, S.; Wang, X.; Xu, Y.; Feng, R.; Zheng, Z. Link Availability Prediction Based on Machine Learning for Opportunistic Networks in Oceans. IEICE Trans. Fundam. Electron. Commun. Comput. Sci. 2022, 105, 598–602. [Google Scholar] [CrossRef]
- Keränen, A.; Ott, J.; Kärkkäinen, T. The ONE Simulator for DTN Protocol Evaluation. In Proceedings of the 2nd International Conference on Simulation Tools and Techniques, Rome, Italy, 2–6 March 2009. [Google Scholar]





| Parameter | Value |
|---|---|
| Transmission speed | 250 kbps |
| Message size | 500 KB–1 MB |
| Message interval | 25 s–35 s |
| TTL | 300 min |
| Node speed | 0–30 Km/h |
| Number of groups | 6 |
| Initial energy | 5000 J |
| Simulation time | 43,200 s |
| Combination ♯ | () | () |
|---|---|---|
| 1 | ||
| 2 | ||
| 3 | ||
| 4 | ||
| 5 | ||
| 6 | ||
| 7 | ||
| 8 | ||
| 9 | ||
| 10 | 0 |
Publisher’s Note: MDPI stays neutral with regard to jurisdictional claims in published maps and institutional affiliations. |
© 2022 by the authors. Licensee MDPI, Basel, Switzerland. This article is an open access article distributed under the terms and conditions of the Creative Commons Attribution (CC BY) license (https://creativecommons.org/licenses/by/4.0/).
Share and Cite
Ge, L.; Jiang, S. An Efficient Routing Scheme Based on Node Attributes for Opportunistic Networks in Oceans. Entropy 2022, 24, 607. https://doi.org/10.3390/e24050607
Ge L, Jiang S. An Efficient Routing Scheme Based on Node Attributes for Opportunistic Networks in Oceans. Entropy. 2022; 24(5):607. https://doi.org/10.3390/e24050607
Chicago/Turabian StyleGe, Lige, and Shengming Jiang. 2022. "An Efficient Routing Scheme Based on Node Attributes for Opportunistic Networks in Oceans" Entropy 24, no. 5: 607. https://doi.org/10.3390/e24050607
APA StyleGe, L., & Jiang, S. (2022). An Efficient Routing Scheme Based on Node Attributes for Opportunistic Networks in Oceans. Entropy, 24(5), 607. https://doi.org/10.3390/e24050607

