Energy-Efficient Optimization for Energy-Harvesting-Enabled mmWave-UAV Heterogeneous Networks
Abstract
:1. Introduction
- Different from existing research, we considered a downlink scenario of EH-enabled D2D underlying a UAV-assisted mmWave network and took into consideration the complex interference issue. We built an efficient framework for improving the EE of D2D links by jointly optimizing the beamwidth, transmit power, and EH time ratio of the D2D links using alternating optimization, while guaranteeing the rate requirements of CUs and DUs. The proposed algorithm has low computation complexity and is applicable to large-scale mmWave networks;
- We constructed a coalition game model to solve the beamwidth selection problem for D2D users, which can explore the potential beamwidth combinations of DUs and converge to the beamwidth structure with sub-optimal utility. A low-complexity beamwidth selection algorithm was proposed to adjust the beamwidths of DUs for increasing the network EE;
- The transmit power of D2D links was optimized to further improve the system EE. The original non-convex problem with regard to power optimization was solved by non-fractional programming and successive convex approximation. Specifically, we first transformed the non-convex fractional programming into a non-fractional problem using the Dinkelbach method. Next, we eliminated the non-convexity in the formula by approximating the non-convex part with its first-order Taylor expansion. Along with the power, we also optimized the EH time ratio. The problem with regard to the EH time ratio was proven to be a convex linear fractional programming, and hence, the optimal solution is readily obtained;
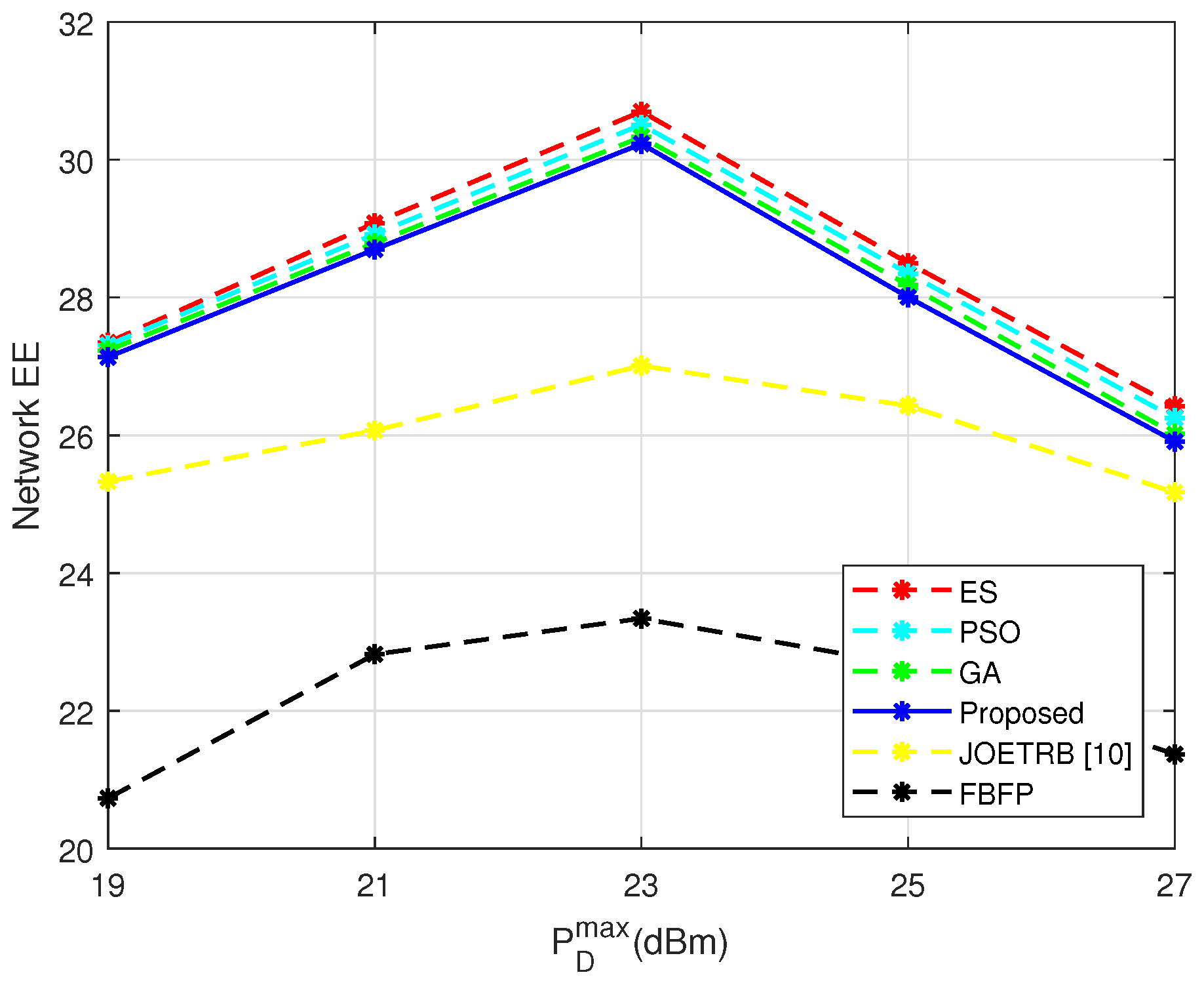
- We validated the convergence and effectiveness of the proposed algorithm by performing numerical experiments with different settings for the network parameters. The proposed algorithm can converge to the optimal EE after finite iterations and effectively improve the network EE compared with the Fixed Beamwidth and Fixed Power (FBFP) scheme. Our proposed algorithm can achieve performance close to ES and PSO, but with much reduced complexity. The factors that potentially affect the network EE, such as the number of DUs, the number of CUs, the maximal power for DUs, the minimum harvested energy, and the minimum rate for CUs, are also thoroughly discussed and analyzed.
2. Related Works
3. System Model and Problem Formulation
3.1. Network Topology
3.2. Alignment Delay
3.3. Channel Modeling
4. Proposed Algorithm
4.1. Coalition-Game-Based Beamwidth Selection Algorithm
| Algorithm 1 Coalition-game-based beamwidth selection algorithm for D2D pairs during each iteration |
|
4.2. Power Optimization for D2D Links
| Algorithm 2 SCA-based power optimization for D2D links during each iteration |
|
4.3. Time Scheduling Optimization
4.4. Alternating Optimization and Convergence Analysis
| Algorithm 3 Alternating optimization for solving Problem (30) |
|
4.5. Complexity Analysis
5. Numerical Results
- ES: exhaustive search, which traverses each possible beamwidth combination of DUs in the beamwidth selection phase. ES can obtain the optimal solution to beamwidth selection, but incurs an unbearable time complexity;
- GA [42]: the genetic algorithm, which is also a population-based method. The GA evolves to the optimal/sub-optimal solution using the operations of mutation and crossover. In the simulation, the parameters including the population size and the probability for mutation and crossover were set the same as in [42];
- FBFP: the fixed beamwidth and fixed power strategy, in which the beamwidths and transmit power of all the D2D pairs are both fixed to a constant value and not varied with time;
- Reference [10]: Joint Optimization of the EH Time Ratio and Beamwidth (JOETRB). However, the interference between users was ignored, and the power optimization was not considered.
6. Conclusions
Author Contributions
Funding
Institutional Review Board Statement
Informed Consent Statement
Data Availability Statement
Conflicts of Interest
Abbreviations
| UAV | Unmanned Aerial Vehicle |
| QoS | Quality of Service |
| D2D | Device-to-Device |
| IoT | Internet of Things |
| EH | Energy Harvesting |
| EE | Energy Efficiency |
| CU | Cellular User |
| DU | D2D User |
| SCA | Successive Convex Approximation |
| SWIPT | Simultaneous Wireless Information and Power Transfer |
| BA | Beam Alignment |
| ES | Exhaustive Search |
| PSO | Particle Swarm Optimization |
| NOMA | Non-Orthogonal Multiple Access |
References
- Gupta, L.; Jain, R.; Vaszkun, G. Survey of Important Issues in UAV Communication Networks. IEEE Commun. Surv. Tutorials 2015, 18, 1123–1152. [Google Scholar] [CrossRef] [Green Version]
- Zeng, Y.; Wu, Q.; Zhang, R. Accessing From the Sky: A Tutorial on UAV Communications for 5G and Beyond. Proc. IEEE 2019, 107, 2327–2375. [Google Scholar] [CrossRef] [Green Version]
- Cisco, U. Cisco Annual Internet Report (2018–2023); Cisco: San Jose, CA, USA, 2020; pp. 1–41. [Google Scholar]
- Jameel, F.; Hamid, Z.; Jabeen, F.; Zeadally, S.; Javed, M.A. A Survey of Device-to-Device Communications: Research Issues and Challenges. IEEE Commun. Surv. Tutorials 2018, 20, 2133–2168. [Google Scholar] [CrossRef]
- Wei, L.; Hu, R.Q.; Qian, Y.; Wu, G. Key elements to enable millimeter wave communications for 5G wireless systems. IEEE Wirel. Commun. 2014, 21, 136–143. [Google Scholar] [CrossRef]
- Ansari, R.I.; Chrysostomou, C.; Hassan, S.A.; Guizani, M.; Mumtaz, S.; Rodriguez, J.; Rodrigues, J.J. 5G D2D Networks: Techniques, Challenges, and Future Prospects. IEEE Syst. J. 2018, 12, 3970–3984. [Google Scholar] [CrossRef]
- Qiao, J.; Shen, X.S.; Mark, J.W.; Shen, Q.; He, Y.; Lei, L. Enabling device-to-device communications in millimeter-wave 5G cellular networks. IEEE Commun. Mag. 2015, 53, 209–215. [Google Scholar] [CrossRef]
- Xiao, Z.; Zhu, L.; Xia, X.-G. UAV communications with millimeter-wave beamforming: Potentials, scenarios, and challenges. China Commun. 2020, 17, 147–166. [Google Scholar] [CrossRef]
- Wu, Y.; Yang, Q.; He, Q.; Kwak, K.S. Optimal Energy Harvesting-Ratio and Beamwidth Selection in Millimeter Wave Communications. IEEE Signal Process. Lett. 2016, 23, 1364–1368. [Google Scholar] [CrossRef]
- Wu, Y.; Yang, Q.; Kwak, K.S. Energy Efficiency Maximization for Energy Harvesting Millimeter Wave Systems at High SNR. IEEE Wirel. Commun. Lett. 2017, 6, 698–701. [Google Scholar] [CrossRef]
- Zhang, J.; Chuai, G.; Gao, W.; Maimaiti, S.; Si, Z. Coalition Game-Based Beamwidth Selection for D2D Users Underlying Ultra Dense mmWave Networks. In Proceedings of the 2020 IEEE Wireless Communications and Networking Conference Workshops (WCNCW), Seoul, Korea, 25–28 May 2020; pp. 1–6. [Google Scholar]
- Khan, T.A.; Alkhateeb, A.; Heath, R.W. Millimeter Wave Energy Harvesting. IEEE Trans. Wirel. Commun. 2016, 15, 6048–6062. [Google Scholar] [CrossRef] [Green Version]
- Tu, L.; Di Renzo, M. Analysis of millimeter wave cellular networks with simultaneous wireless information and power transfer. In Proceedings of the 2017 International Conference on Recent Advances in Signal Processing, Telecommunications & Computing (SigTelCom), Da Nang, Vietnam, 9–11 January 2017; pp. 39–43. [Google Scholar]
- Perera, T.D.P.; Jayakody, D.N.K.; Chatzinotas, S.; Sharma, V. Wireless Information and Power Transfer: Issues, Advances, and Challenges. In Proceedings of the 2017 IEEE 86th Vehicular Technology Conference (VTC-Fall), Toronto, ON, Canada, 24–27 September 2017; pp. 1–7. [Google Scholar]
- Wang, X.; Gursoy, M.C. Coverage Analysis for Energy-Harvesting UAV-Assisted mmWave Cellular Networks. IEEE J. Sel. Areas Commun. 2019, 37, 2832–2850. [Google Scholar] [CrossRef] [Green Version]
- Muhammad, N.A.; Seman, N.; Apandi, N.I.A.; Li, Y. Energy Harvesting in Sub-6 GHz and Millimeter Wave Hybrid Networks. IEEE Trans. Veh. Technol. 2021, 70, 4471–4484. [Google Scholar] [CrossRef]
- Oubbati, O.S.; Atiquzzaman, M.; Lakas, A.; Baz, A.; Alhakami, H.; Alhakami, W. Multi-UAV-enabled AoI-aware WPCN: A Multi-agent Reinforcement Learning Strategy. In Proceedings of the IEEE INFOCOM 2021—IEEE Conference on Computer Communications Workshops (INFOCOM WKSHPS), Vancouver, BC, Canada, 10–13 May 2021; pp. 1–6. [Google Scholar]
- Yang, Z.; Xu, W.; Shikh-Bahaei, M. Energy Efficient UAV Communication With Energy Harvesting. IEEE Trans. Veh. Technol. 2020, 69, 1913–1927. [Google Scholar] [CrossRef] [Green Version]
- Wang, M.; Zhang, C.; Chen, X.; Tang, S. Performance Analysis of Millimeter Wave Wireless Power Transfer with Imperfect Beam Alignment. IEEE Trans. Veh. Technol. 2021, 70, 2605–2618. [Google Scholar] [CrossRef]
- Kuang, Z.; Liu, G.; Li, G.; Deng, X. Energy Efficient Resource Allocation Algorithm in Energy Harvesting-Based D2D Heterogeneous Networks. IEEE Internet Things J. 2019, 6, 557–567. [Google Scholar] [CrossRef]
- Yang, H.; Ye, Y.; Chu, X.; Dong, M. Resource and Power Allocation in SWIPT Enabled Device-to-Device Communications Based on a Non-Linear Energy Harvesting Model. IEEE Internet Things J. 2020, 7, 10813–10825. [Google Scholar] [CrossRef]
- Wang, H.; Ding, G.; Wang, J.; Wang, L.; Tsiftsis, T.A.; Sharma, P.K. Resource allocation for energy harvesting-powered D2D communications underlying cellular networks. In Proceedings of the 2017 IEEE International Conference on Communications (ICC), Paris, France, 21–25 May 2017; pp. 1–6. [Google Scholar]
- Wang, H.; Wang, J.; Ding, G.; Han, Z. D2D Communications Underlaying Wireless Powered Communication Networks. IEEE Trans. Veh. Technol. 2018, 67, 7872–7876. [Google Scholar] [CrossRef] [Green Version]
- Huang, J.; Cui, J.; Xing, C.; Gharavi, H. Energy-Efficient SWIPT-Empowered D2D Mode Selection. IEEE Trans. Veh. Technol. 2020, 69, 3903–3915. [Google Scholar] [CrossRef]
- Ghosh, S.; Acharya, T.; Maity, S.P. On Outage Analysis in SWIPT Enabled Bidirectional D2D Communications using Spectrum Sharing in Cellular Networks. IEEE Trans. Veh. Technol. 2020, 69, 10167–10176. [Google Scholar] [CrossRef]
- Lim, D.-W.; Kang, J. Outage-Optimal and Suboptimal Power Control for D2D Communications in SWIPT Cellular Networks With Local CSI. IEEE Wirel. Commun. Lett. 2020, 9, 1795–1798. [Google Scholar] [CrossRef]
- Shokri-Ghadikolaei, H.; Gkatzikis, L.; Fischione, C. Beam-searching and transmission scheduling in millimeter wave communications. In Proceedings of the 2015 IEEE International Conference on Communications (ICC), London, UK, 8–12 June 2015; pp. 1292–1297. [Google Scholar]
- Li, Y.; Luo, J.; Garcia, M.H.C.; Böhnke, R.; Stirling-Gallacher, R.A.; Xu, W.; Caire, G. On the Beamformed Broadcasting for Millimeter Wave Cell Discovery: Performance Analysis and Design Insight. IEEE Trans. Wirel. Commun. 2018, 17, 7620–7634. [Google Scholar] [CrossRef]
- Fan, J.; Han, L.; Luo, X.; Zhang, Y.; Joung, J. Beamwidth Design for Beam Scanning in Millimeter-Wave Cellular Networks. IEEE Trans. Veh. Technol. 2020, 69, 1111–1116. [Google Scholar] [CrossRef]
- Saeed, A.; Gurbuz, O. Joint Power and Beamwidth Optimization for Full Duplex Millimeter Wave Indoor Wireless Systems. In Proceedings of the 2019 IEEE Wireless Communications and Networking Conference (WCNC), Marrakesh, Morocco, 15–18 April 2019; pp. 1–6. [Google Scholar] [CrossRef] [Green Version]
- Perfecto, C.; Del Ser, J.; Bennis, M. Millimeter-Wave V2V Communications: Distributed Association and Beam Alignment. IEEE J. Sel. Areas Commun. 2017, 35, 2148–2162. [Google Scholar] [CrossRef] [Green Version]
- Perfecto, C.; Del Ser, J.; Ashraf, M.I.; Bilbao, M.N.; Bennis, M. Beamwidth Optimization in Millimeter Wave Small Cell Networks with Relay Nodes: A Swarm Intelligence Approach. In European Wireless 2016, Proceedings of the 22th European Wireless Conference, Oulu, Finland, 18–20 May 2016; VDE: Piscataway, NY, USA, 2016; pp. 1–6. [Google Scholar]
- Zhang, Z.; Wang, C.; Yu, H.; Wang, M.; Sun, S. Power Optimization Assisted Interference Management for D2D Communications in mmWave Networks. IEEE Access 2018, 6, 50674–50682. [Google Scholar] [CrossRef]
- IEEE, P802.11ay/D4.0. IEEE Draft Standard for Information Technology-Telecommunications and Information Exchange Between Systems Local and Metropolitan Area Networks-Specific Requirements Part 11: Wireless LAN Medium Access Control (MAC) and Physical Layer (PHY) Specifications-Amendment: Enhanced Throughput for Operation in License-Exempt Bands above 45 GHz. IEEE P802 2019, 1–791.
- Shen, H.; Ye, Q.; Zhuang, W.; Shi, W.; Bai, G.; Yang, G. Drone-Small-Cell-Assisted Resource Slicing for 5G Uplink Radio Access Networks. IEEE Trans. Veh. Technol. 2021, 70, 7071–7086. [Google Scholar] [CrossRef]
- Wildman, J.; Nardelli, P.H.J.; Latva-aho, M.; Weber, S. On the Joint Impact of Beamwidth and Orientation Error on Throughput in Directional Wireless Poisson Networks. IEEE Trans. Wirel. Commun. 2014, 13, 7072–7085. [Google Scholar] [CrossRef]
- Dinkelbach, W. On Nonlinear Fractional Programming. Manag. Sci. 1967, 13, 492–498. Available online: http://www.jstor.org/stable/2627691 (accessed on 5 January 2022). [CrossRef]
- Boyd, S.P.; Vandenberghe, L. Convex Optimization; Cambridge University Press: Cambridge, UK, 2004. [Google Scholar]
- Bertsekas, D.P. Nonlinear Programming; Athena Scientific: Belmont, MA, USA, 1999. [Google Scholar]
- Charnes, A.; Cooper, W.W. Programming with linear fractional functionals. Nav. Res. Logs Q. 1963, 10, 273–274. [Google Scholar] [CrossRef]
- Li, Y.; Zhang, H.; Long, K.; Jiang, C.; Guizani, M. Joint Resource Allocation and Trajectory Optimization with QoS in UAV-Based NOMA Wireless Networks. IEEE Trans. Wirel. Commun. 2021, 20, 6343–6355. [Google Scholar] [CrossRef]
- Ji, P.; Jia, J.; Chen, J. Joint Optimization on Both Routing and Resource Allocation for Millimeter Wave Cellular Networks. IEEE Access 2019, 7, 93631–93642. [Google Scholar] [CrossRef]









| Radius of target area [21] | 200 m |
| Carrier frequency [10] | 60 GHz |
| Pilot transmit/slot time [10], | 0.0001 |
| Sidelobe antenna gain [36], z | |
| Reference distance [36], | 1.5 m |
| Path loss exponent [36], A | 2 |
| Shadow fading variance [36], | 6 dB |
| Circuitry power [21], | 20 dBm |
| Maximum transmit power for DU [21], | 23 dBm |
| Energy harvesting efficiency [23], , | |
| Minimum rate for CU [21], , | 2 bit/s/Hz |
| Minimum rate for DU [21], , | 1 bit/s/Hz |
| Proposed CG | |
| PSO | |
| GA | |
| ES |
Publisher’s Note: MDPI stays neutral with regard to jurisdictional claims in published maps and institutional affiliations. |
© 2022 by the authors. Licensee MDPI, Basel, Switzerland. This article is an open access article distributed under the terms and conditions of the Creative Commons Attribution (CC BY) license (https://creativecommons.org/licenses/by/4.0/).
Share and Cite
Zhang, J.; Chuai, G.; Gao, W. Energy-Efficient Optimization for Energy-Harvesting-Enabled mmWave-UAV Heterogeneous Networks. Entropy 2022, 24, 300. https://doi.org/10.3390/e24020300
Zhang J, Chuai G, Gao W. Energy-Efficient Optimization for Energy-Harvesting-Enabled mmWave-UAV Heterogeneous Networks. Entropy. 2022; 24(2):300. https://doi.org/10.3390/e24020300
Chicago/Turabian StyleZhang, Jinxi, Gang Chuai, and Weidong Gao. 2022. "Energy-Efficient Optimization for Energy-Harvesting-Enabled mmWave-UAV Heterogeneous Networks" Entropy 24, no. 2: 300. https://doi.org/10.3390/e24020300
APA StyleZhang, J., Chuai, G., & Gao, W. (2022). Energy-Efficient Optimization for Energy-Harvesting-Enabled mmWave-UAV Heterogeneous Networks. Entropy, 24(2), 300. https://doi.org/10.3390/e24020300

