Prior and Posterior Linear Pooling for Combining Expert Opinions: Uses and Impact on Bayesian Networks—The Case of the Wayfinding Model
Abstract
1. Introduction
2. Bayesian Networks
3. Linear Pooling Methods for Combining Opinions
Advantages and Disadvantages of Linear Pooling Methods for Combining Opinions
4. The Wayfinding Bayesian Network Model
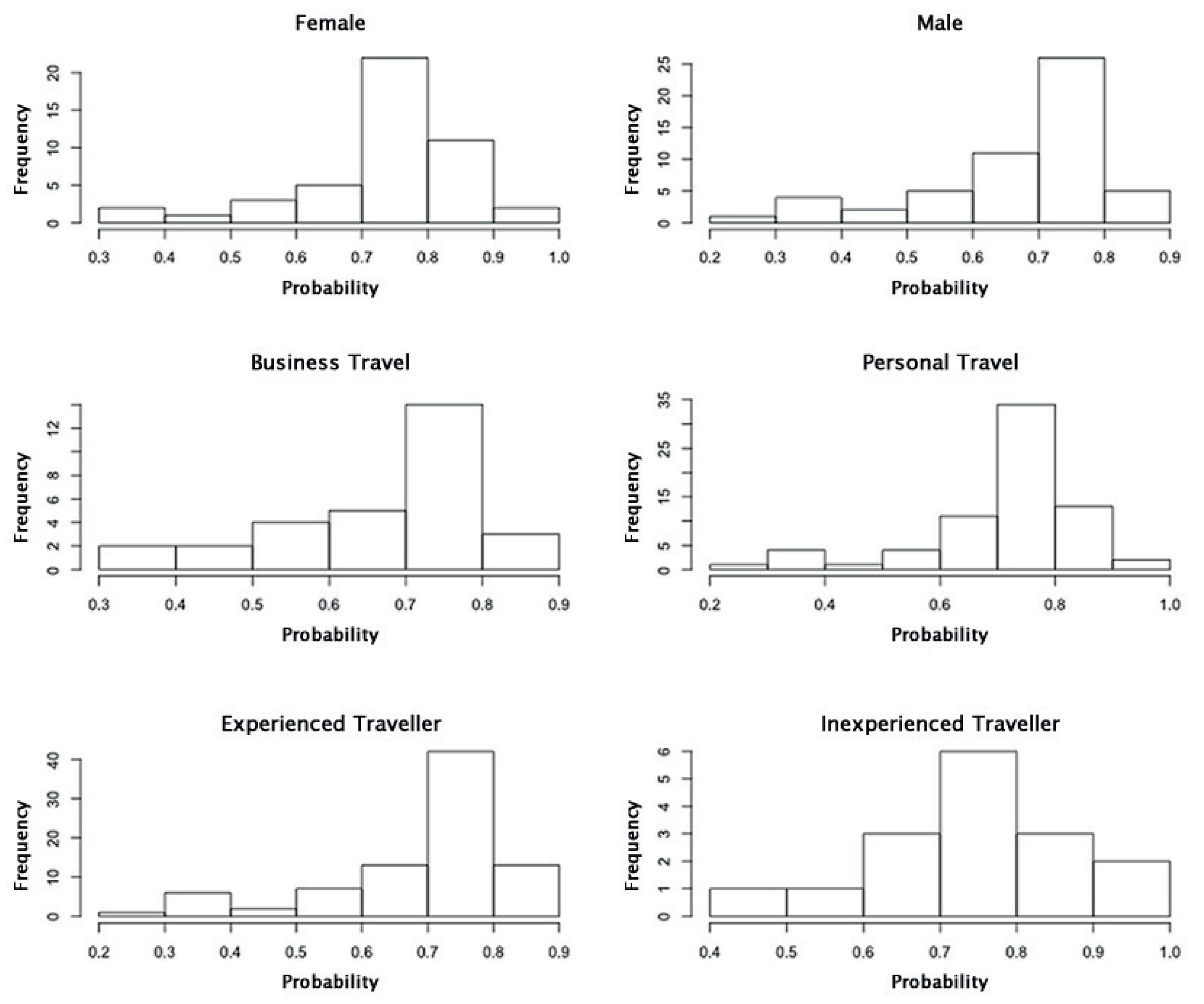
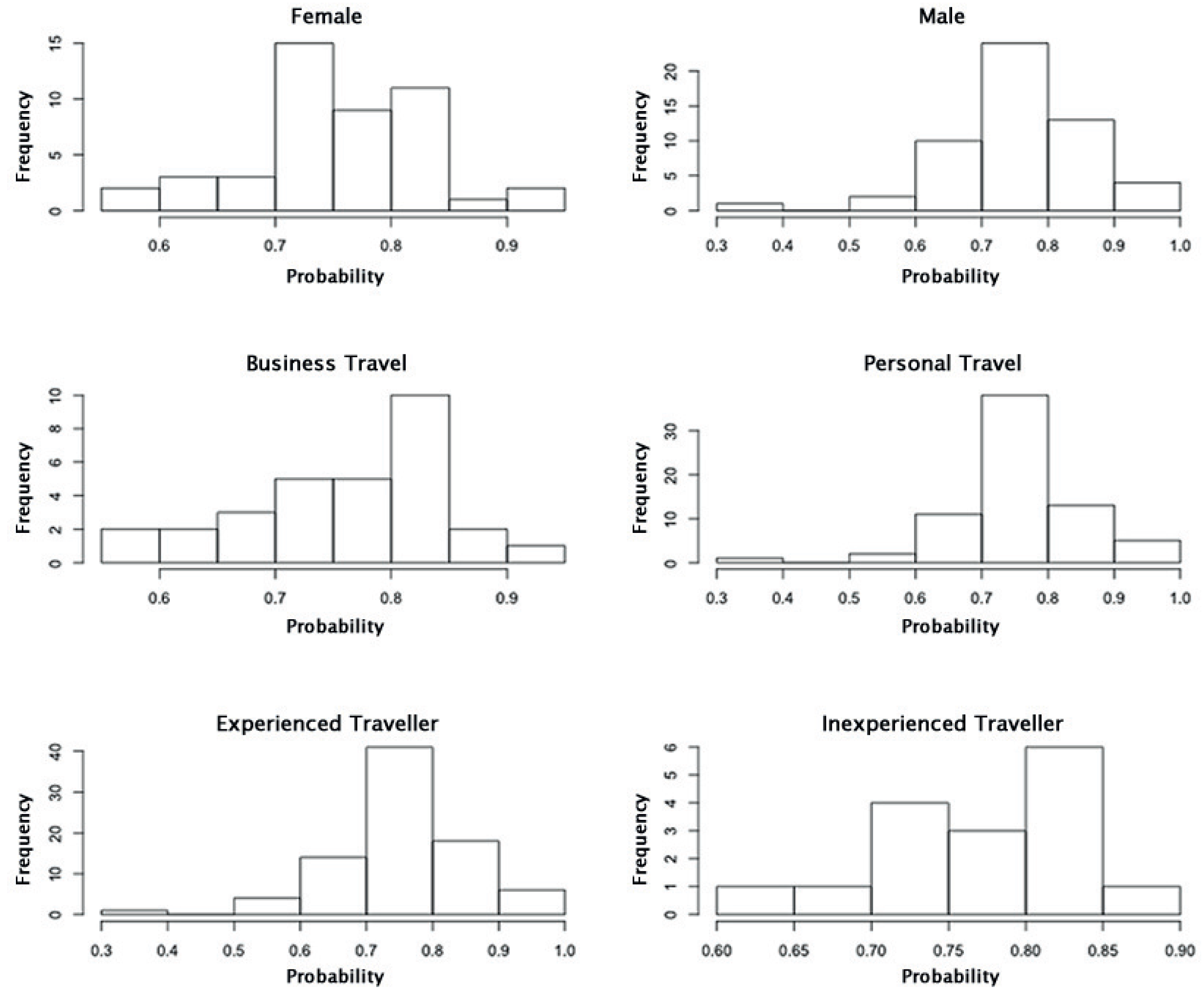
5. Case Study: Linear Pooling Methods and the Wayfinding Bayesian Network Model
5.1. Prior Linear Pooling (PrLP)
5.2. Posterior Linear Pooling (PoLP)
6. Conclusions
Acknowledgments
Author Contributions
Conflicts of Interest
References
- Johnson, S. Integrated Bayesian Network Frameworks for Modelling Complex Ecological Issues. Ph.D. Thesis, School of Mathematical Sciences, Faculty of Science and Technology, Queensland University of Technology, Brisbane, Australia, 2009. [Google Scholar]
- Pollino, C.; Woodberry, O.; Nicholson, A.; Korb, K.; Hart, B. Parameterisation and evaluation of a Bayesian network for use in an ecological risk assessment. Environ. Model. Softw. 2007, 22, 1140–1152. [Google Scholar] [CrossRef]
- Friedman, N.; Linial, M.; Nachman, I.; Pe’er, D. Using Bayesian Networks to Analyze Expression Data. J. Comput. Biol. 2000, 7, 601–620. [Google Scholar] [CrossRef] [PubMed]
- Heckerman, D. Probabilistic Similarity Networks; Technical Report STN-CS-1316; Stanford University Departments of Computer Science and Medicine: Stanford, CA, USA, 1990. [Google Scholar]
- Taroni, F.; Biedermann, A.; Garbolino, P.; Aitken, C. A general approach to Bayesian networks for the interpretation of evidence. Forensic Sci. Int. 2004, 139, 5–16. [Google Scholar] [CrossRef] [PubMed]
- O’Hagan, A.; Buck, C.E.; Daneshkhah, A.; Eiser, R.; Garthwaite, P.; Jenkinson, D.; Oakley, J.; Rakow, T. Uncertain Judgements: Eliciting Experts’ Probabilities; John Wiley & Sons: Hoboken, NJ, USA, 2006. [Google Scholar]
- Genest, C.; Zidek, J.V. Combining probability distributions: A critique and annoted bibliography. Stat. Sci. 1986, 1, 114–135. [Google Scholar] [CrossRef]
- Albert, I.; Donnet, S.; Guihenneuc-Jouyaux, C.; Low-Choy, S.; Mengersen, K.; Rousseau, J. Combining Expert Opinions in Prior Elicitation. Bayesian Anal. 2012, 7, 503–532. [Google Scholar] [CrossRef]
- Genest, C.; Weerahandi, S.; Zidek, J.V. Aggregating opinions through logarithmic pooling. Theory Decis. 1984, 17, 61–70. [Google Scholar] [CrossRef]
- Faria, A.; Mubwandarikwa, E. The geometric combination of Bayesian forecasting models. J. Forecast. 2008, 27, 519–535. [Google Scholar] [CrossRef]
- Farr, A.; Mengersen, K.; Ruggeri, F.; Simpson, D.P. Combining Opinions for Use in Bayesian Networks: A Measurement Error Approach. Unpublished work. 2018. [Google Scholar]
- Farr, A.; Kleinschmidt, T.; Johnson, S.; Yarlagadda, P.; Mengersen, K. Investigating effective wayfinding in airports: A Bayesian network approach. Transport 2014, 29, 90–99. [Google Scholar] [CrossRef]
- Pearl, J. Bayesian networks: A model of self-activated memory for evidential reasoning. In Proceedings of the 7th Conference of the Cognitive Science Society, Irvine, CA, USA, 15–17 August 1985; pp. 329–334. [Google Scholar]
- Pearl, J. Fusion, Propagation, and Structuring in Belief Networks. Artif. Intell. 1986, 29, 241–288. [Google Scholar] [CrossRef]
- Korb, K.; Nicholson, A. Bayesian Artificial Intelligence; CRC Press: Boca Raton, FL, USA, 2011. [Google Scholar]
- Jensen, F.; Nielsen, T. Bayesian Networks and Decision Graphs, 2nd ed.; Information Science and Statistics; Springer: Berlin/Heidelberg, Germany, 2007. [Google Scholar]
- Lauritzen, S.; Richardson, T. Chain Graph Models and Their Causal Interpretation. J. R. Stat. Soc. Ser. B 2002, 64, 321–361. [Google Scholar] [CrossRef]
- Pearl, J. Probabilistic Reasoning in Intelligent System; Morgan Kaufmann: Burlington, MA, USA, 1988. [Google Scholar]
- Darwiche, A. Modeling and Reasoning with Bayesian Networks; Cambridge University Press: Cambridge, UK, 2009. [Google Scholar]
- Kjærulff, U.; Madsen, A.L. Bayesian Networks and Influence Diagrams—A Guide to Construction and Analysis. Information Science and Statistics; Springer: New York, NY, USA, 2008. [Google Scholar]
- Uusitalo, L. Advantages and Challenges of Bayesian Networks in Environmental Modelling. Ecol. Model. 2007, 203, 312–318. [Google Scholar] [CrossRef]
- Johnson, S.; Marker, L.; Mengersen, K.; Gordon, C.H.; Melzheimer, J.; Schmidt-Küntzel, A.; Nghikembua, M.; Fabiano, E.; Henghali, J.; Wachter, B. Modeling the viability of the free-ranging cheetah population in Namibia: An object-oriented Bayesian network approach. Ecosphere 2013, 4, 1–19. [Google Scholar] [CrossRef]
- Wu, P.P.-Y.; Caley, M.J.; Kendrick, G.A.; McMahon, K.; Mengersen, K. Dynamic Bayesian network inferencing for non-homogeneous complex systems. J. R. Stat. Soc. Ser. C 2018, 67, 417–434. [Google Scholar] [CrossRef]
- McConway, K. Marginalization and Linear Opinion Pools. J. Am. Stat. Assoc. 1981, 71, 410–414. [Google Scholar] [CrossRef]
- De Finetti, B. Foresight: Its Logical Laws, Its Subjective Scores. In Studies in Subjective Probability; Kyburg, H.E., Jr., Smokler, H.E., Eds.; Wiley: New York, NY, USA, 1964; pp. 57–118. [Google Scholar]
- Gärling, T.; Book, A.; Lindberg, E. Cognitive mapping of large-scale environments the interrelationship of action plans, acquisition, and orientation. Environ. Behav. 1984, 16, 3–34. [Google Scholar] [CrossRef]
- Kuipers, B. Modeling Spatial Knowledge. Cogn. Sci. 1978, 2, 129–153. [Google Scholar] [CrossRef]
- Passini, R. Wayfinding: A conceptual framework. Urban Ecol. 1981, 5, 17–31. [Google Scholar] [CrossRef]
- Passini, R. Wayfinding in Architecture; Van Nostrand Reinhold Company: New York, NY, USA, 1984. [Google Scholar]
- Peponis, J.; Zimring, C.; Choi, Y. Finding the building in wayfinding. Environ. Behav. 1990, 25, 555–590. [Google Scholar] [CrossRef]
- Timpf, S.; Volta, G.; Pollock, D.; Egenhofer, M. A conceptual model of wayfinding using multiple levels of abstraction. In Theories and Methods of Spatio-Temporal Reasoning in Geographic Space; Frank, A., Campari, I., Formentini, U., Eds.; Springer: Berlin/Heidelberg, Germany, 1992; Volume 639, pp. 348–367. [Google Scholar]
- Braaksma, J.; Asce, A.; Cook, W. Human Orientation in Transportation Terminals. Transp. Eng. J. ASCE 1980, 2, 189–203. [Google Scholar]
- Dada, E.; Wirasinghe, S. Development of a new orientation index for airport terminals. Transp. Res. Rec. 1999, 1662, 41–47. [Google Scholar] [CrossRef]
- Tosic, V.; Babic, O. Quantitative Evaluation of Passenger Terminal Orientation. J. Adv. Transp. 1984, 18, 279–295. [Google Scholar] [CrossRef]
- O’Neill, M. Effects of Signage and Floor Plan Configuration on Wayfinding Accuracy. Environ. Behav. 1991, 23, 553–574. [Google Scholar] [CrossRef]
- Farr, A.; Kleinschmidt, T.; Yarlagadda, P.; Mengersen, K. Wayfinding: A simple concept, a complex process. Transp. Rev. 2012, 32, 715–743. [Google Scholar] [CrossRef]
- Pitchforth, J.; Mengersen, K. A proposed validation framework for expert elicited Bayesian Networks. Exp. Syst. Appl. 2013, 40, 162–167. [Google Scholar] [CrossRef]








| Method | Advantages | Disadvantages |
|---|---|---|
| Prior Linear Pooling (PrLP) | · Smaller number of steps are required to obtain marginal probabilities of interest. · Having only one BN makes updating information easier and more timely. · Diagnostic, predictive, and intercausal reasoning are easier to undertake. | · Pooling, when used with BNs do not follow a coherent probability model [25]. · Since each of the probabilities given by the experts are pooled within each entry of the CPT, the resulting averages are not a reflection of what was originally given by the expert for that entry, and so the conditional independence structure is lost. |
| Posterior Linear Pooling (PoLP) | · The conditional independence structure of the BN is maintained. | · More steps are required in order to obtain the marginal probabilities of interest. · Updating information can be time consuming if there are a large number of experts, and hence BNs. · Diagnostic, predictive, and intercausal reasoning is also time consuming if there are a large number of experts. This is because each individual BN must be modified and then pooling once again done to obtain the marginal probabilities of interest. |
| Node | Description | States |
|---|---|---|
| Communication | The effectiveness of communication in the airport terminal | Effective, Ineffective |
| Environmental Factors | The level of the environmental factors such as terminal design and navigation pathway complexity that contribute to effective wayfinding in airport terminals | Good, Bad |
| Human Factors | The level of the human factors such as spatial anxiety and cognitive and spatial skills that contribute to effective wayfinding in airport terminals | Good, Bad |
| Navigation Pathway | The complexity of the navigation pathway that a passenger must traverse in order to reach a desired destination in the airport terminal | Simple, Complex |
| Visual Elements of Communication | The quality of the visual elements of communication in the airport terminal | Good, Bad |
| Wayfinding | The effectiveness of wayfinding in the airport terminal | Effective, Ineffective |
| Group | Human Factors Good | Wayfinding Effective |
|---|---|---|
| All | 0.8033 | 0.8057 |
| Female | 0.7790 | 0.7876 |
| Male | 0.8369 | 0.8305 |
| Business | 0.8033 | 0.8057 |
| Personal | 0.8033 | 0.8057 |
| Experienced | 0.8135 | 0.8132 |
| Inexperienced | 0.7458 | 0.7683 |
| Good Human Factors | Effective Wayfinding | |
|---|---|---|
| All | 0.8033 | 0.8057 |
| Female, Experienced | 0.7880 [0.0153] | 0.7943 [0.0114] |
| Female, Inexperienced | 0.7282 [0.0751] | 0.7500 [0.0557] |
| Male, Experienced | 0.8487 [0.0454] | 0.8393 [0.0336] |
| Male, Inexperienced | 0.7701 [0.0332] | 0.7810 [0.0247] |
| Group | Communication Effective | Environmental Factors Good | Human Factors Good | Navigation Pathway Simple | Visual Elements of Communication Good |
|---|---|---|---|---|---|
| Full network | 0.8115 | 0.7697 | 0.8033 | 0.6893 | 0.7087 |
| Female | 0.8183 [0.0068] | 0.7931 [0.0234] | 0.9410 [0.1377] | 0.6941 [0.0048] | 0.7114 [0.0027] |
| Male | 0.8239 [0.0012] | 0.7901 [0.0020] | 0.9587 [0.1554] | 0.6935 [0.0042] | 0.7137 [0.0050] |
| Business | 0.8207 [0.0092] | 0.7918 [0.0021] | 0.9487 [0.1454] | 0.6939 [0.0046] | 0.7124 [0.0037] |
| Personal | 0.8207 [0.0092] | 0.7918 [0.0021] | 0.9487 [0.1454] | 0.6939 [0.0046] | 0.7124 [0.0037] |
| Experienced | 0.8201 [0.0086] | 0.7947 [0.0022] | 0.9518 [0.1485] | 0.6937 [0.0044] | 0.7121 [0.0034] |
| Inexperienced | 0.8246 [0.0013] | 0.7947 [0.0025] | 0.9300 [0.1267] | 0.6945 [0.0052] | 0.7139 [0.0052] |
| Group | Communication Effective | Environmental Factors Good | Human Factors Good | Navigation Pathway Simple | Visual Elements of Communication Good | Wayfinding Effective |
|---|---|---|---|---|---|---|
| All | 0.7415 | 0.7672 | 0.7082 | 0.6509 | 0.8188 | 0.7517 |
| Female | 0.7430 [0.0014] | 0.7680 [0.0007] | 0.7400 [0.0318] | 0.6524 [0.0015] | 0.8194 [0.0006] | 0.7546 [0.0029] |
| Male | 0.7403 [0.0012] | 0.7666 [0.0006] | 0.6811 [0.0270] | 0.6495 [0.0013] | 0.8182 [0.0005] | 0.7492 [0.0024] |
| Business | 0.7413 [0.0002] | 0.7674 [0.0001] | 0.6698 [0.0383] | 0.6517 [0.0008] | 0.8206 [0.0018] | 0.7585 [0.0067] |
| Personal | 0.7416 [0.0001] | 0.7672 [0.00006] | 0.7247 [0.0164] | 0.6505 [0.0003] | 0.8180 [0.0007] | 0.7488 [0.0029] |
| Experienced | 0.7363 [0.0052] | 0.7666 [0.0006] | 0.7006 [0.0076] | 0.6503 [0.0005] | 0.8180 [0.0007] | 0.7485 [0.0031] |
| Inexperienced | 0.7690 [0.0274] | 0.7705 [0.0032] | 0.7482 [0.0399] | 0.6537 [0.0028] | 0.8230 [0.0041] | 0.7683 [0.0165] |
© 2018 by the authors. Licensee MDPI, Basel, Switzerland. This article is an open access article distributed under the terms and conditions of the Creative Commons Attribution (CC BY) license (http://creativecommons.org/licenses/by/4.0/).
Share and Cite
Farr, C.; Ruggeri, F.; Mengersen, K. Prior and Posterior Linear Pooling for Combining Expert Opinions: Uses and Impact on Bayesian Networks—The Case of the Wayfinding Model. Entropy 2018, 20, 209. https://doi.org/10.3390/e20030209
Farr C, Ruggeri F, Mengersen K. Prior and Posterior Linear Pooling for Combining Expert Opinions: Uses and Impact on Bayesian Networks—The Case of the Wayfinding Model. Entropy. 2018; 20(3):209. https://doi.org/10.3390/e20030209
Chicago/Turabian StyleFarr, Charisse, Fabrizio Ruggeri, and Kerrie Mengersen. 2018. "Prior and Posterior Linear Pooling for Combining Expert Opinions: Uses and Impact on Bayesian Networks—The Case of the Wayfinding Model" Entropy 20, no. 3: 209. https://doi.org/10.3390/e20030209
APA StyleFarr, C., Ruggeri, F., & Mengersen, K. (2018). Prior and Posterior Linear Pooling for Combining Expert Opinions: Uses and Impact on Bayesian Networks—The Case of the Wayfinding Model. Entropy, 20(3), 209. https://doi.org/10.3390/e20030209

