Entropy Analysis of the Interaction between the Corner Separation and Wakes in a Compressor Cascade
Abstract
:1. Introduction
2. Experimental Configuration and Numerical Modeling
3. Results and Discussion
3.1. Validations of Numerical Results
3.2. Vortical Structures
3.3. Turbulence Characteristics
3.4. Loss Analysis
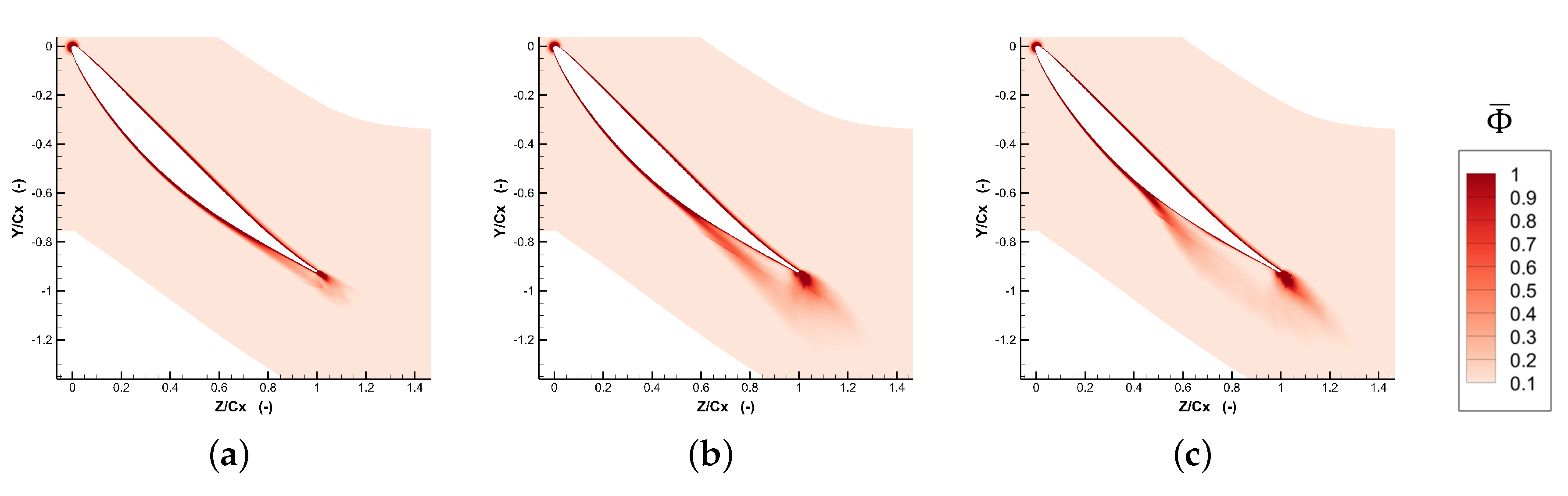
3.4.1. Time-Averaged Entropy Analysis
3.4.2. Instantaneous Entropy Analysis
4. Conclusions
- This work demonstrates the feasibility of simulating compressor cascade with corner separation by DDES. The DDES successfully predicts the three-dimensional unsteady corner separation and captures rich flow structures. The RANS prematurely predicts the corner separation and overestimates the total pressure loss coefficient. DDES results agree well with the experiment and are systematically better than the RANS results.
- The mechanisms of the corner separation are further investigated based on the high-resolution flow structures. The development and role of the hairpin-like vortex are revealed. The hairpin-like vortex comes from the emerging of the boundary layer separation and the passage vortex, and the hairpin-like vortex lifts the separation line in the corner area as it develops. The interaction between the corner separation and wake shedding vortices is remarkably different before and after the appearance of the hairpin-like vortex. The appearance of the hairpin-like vortex could be a signal of large-scale corner separation.
- The turbulence characteristics near the corner area and wake area are studied. The interactions between the different secondary flows enhance the turbulence intensity, however with different effects on the turbulent momentum transport. The normal Reynolds stresses and dominate near the wake area, while the normal Reynolds stress dominates near the corner area.
- With entropy analysis, the overall losses generation information is obtained, and the losses are related to the flow structures that generate them. The majority of loss comes from the bottom span, especially the bottom span. The high-loss region can be divided into four parts according to their contributors, and the contributions of different secondary flows are revealed. The corner separation vortices increase the loss magnitude and enlarge the high-loss region due to its interaction with the wake vortices.
- The instantaneous entropy analysis indicates that the loss distributions vary obviously before and after the appearance of the hairpin-like vortex. This behavior of loss is the same as that for the coherent flow structure, and it is the consequence of the interaction between separation and wake vortices. The interaction between the passage vortex and wake vortex is the main cause of the losses when the massive corner separation has not yet been triggered (the hairpin-like vortex has not shown up); however, when the massive corner separation occurs, the influence of the interaction between the separation vortex and wake vortex becomes dominant, and an enlarged region is affected.
Acknowledgments
Author Contributions
Conflicts of Interest
References
- Lei, V.M.; Spakovszky, Z.S.; Greitzer, E.M. A criterion for axial compressor hub-corner stall. J. Turbomach. Trans. ASME 2008, 130, 031006. [Google Scholar] [CrossRef]
- Gbadebo, S.A.; Hynes, T.P.; Cumpsty, N.A. Influence of surface roughness on three-dimensional separation in axial compressors. In Proceedings of the ASME Turbo Expo 2004: Power for Land, Sea, and Air, Vienna, Austria, 14–17 June 2004; pp. 471–481. [Google Scholar]
- Gbadebo, S.A.; Cumpsty, N.A.; Hynes, T.P. Three-Dimensional Separations in Axial Compressors. J. Turbomach. 2005, 127, 331–339. [Google Scholar] [CrossRef]
- Gbadebo, S.A.; Cumpsty, N.A.; Hynes, T.P. Interaction of tip clearance flow and three-dimensional separations in axial compressors. J. Turbomach. 2007, 129, 679–685. [Google Scholar] [CrossRef]
- Wei, M.; Ottavy, X.; Lipeng, L.; Leboeuf, F.; Feng, G. Experimental study of corner stall in a linear compressor cascade. Chin. J. Aeronaut. 2011, 24, 235–242. [Google Scholar]
- Ma, W.; Ottavy, X.; Lu, L.; Leboeuf, F.; Gao, F. Experimental investigations of corner stall in a linear compressor cascade. In Proceedings of the ASME 2011 Turbo Expo: Turbine Technical Conference and Exposition, Vancouver, BC, Canada, 6–10 June 2011; pp. 39–51. [Google Scholar]
- Wei, M.; Xavier, O.; Lipeng, L.; Francis, L. Intermittent corner separation in a linear compressor cascade. Exp. Fluids 2013, 54, 1546. [Google Scholar] [CrossRef]
- Gand, F.; Deck, S.; Brunet, V.; Sagaut, P. Flow dynamics past a simplified wing body junction. Phys. Fluids 2010, 22, 115111. [Google Scholar] [CrossRef]
- Scillitoe, A.D.; Tucker, P.G.; Adami, P. Numerical Investigation of Three-Dimensional Separation in an Axial Flow Compressor: The Influence of Freestream Turbulence Intensity and Endwall Boundary Layer State. J. Turbomach. 2017, 139, 021011. [Google Scholar] [CrossRef]
- Gao, F.; Zambonini, G.; Boudet, J.; Ottavy, X.; Lu, L.; Shao, L. Unsteady behavior of corner separation in a compressor cascade: Large eddy simulation and experimental study. Proc. Inst. Mech. Eng. Part A J. Power Energy 2015, 229, 508–519. [Google Scholar] [CrossRef]
- Gao, F.; Ma, W.; Zambonini, G.; Boudet, J.; Ottavy, X.; Lu, L.; Shao, L. Large-eddy simulation of 3-D corner separation in a linear compressor cascade. Phys. Fluids 2015, 27, 085105. [Google Scholar] [CrossRef]
- Liu, Y.; Yan, H.; Lu, L. Investigation of corner separation in a linear compressor cascade using DDES. In Proceedings of the ASME Turbo Expo 2015: Turbine Technical Conference and Exposition, Montreal, QC, Canada, 15–19 June 2015; p. V02AT37A029. [Google Scholar]
- Yangwei, L.; Hao, Y.; Lipeng, L.; Qiushi, L. Investigation of Vortical Structures and Turbulence Characteristics in Corner Separation in a Linear Compressor Cascade Using DDES. J. Fluids Eng. 2017, 139, 021107. [Google Scholar]
- Wang, Z.N.; Yuan, X. Unsteady mechanisms of compressor corner separation over a range of incidences based on hybrid LES/RANS. In Proceedings of the ASME Turbo Expo 2013: Turbine Technical Conference and Exposition, San Antonio, TX, USA, 3–7 June 2013; p. V06AT35A030. [Google Scholar]
- Denton, J.D. Loss Mechanisms in Turbomachines. J. Turbomach. Trans. ASME 1993, 115, 621–656. [Google Scholar] [CrossRef]
- Winterbone, D.; Turan, A. Advanced Thermodynamics for Engineers; Butterworth-Heinemann: Oxford, UK, 2015. [Google Scholar]
- Dixon, S.L.; Hall, C. Fluid Mechanics and Thermodynamics of Turbomachinery; Butterworth-Heinemann: Oxford, UK, 2013. [Google Scholar]
- Rathakrishnan, E. Fundamentals of Engineering Thermodynamics; PHI Learning Pvt. Ltd.: New Delhi, India, 2005. [Google Scholar]
- Herwig, H.; Schmandt, B. How to determine losses in a flow field: A paradigm shift towards the second law analysis. Entropy 2014, 16, 2959–2989. [Google Scholar] [CrossRef]
- Zlatinov, M.B.; Tan, C.S.; Montgomery, M.; Islam, T.; Harris, M. Turbine hub and shroud sealing flow loss mechanisms. J. Turbomach. 2012, 134, 061027. [Google Scholar] [CrossRef]
- Lin, D.; Yuan, X.; Su, X. Local Entropy Generation in Compressible Flow through a High Pressure Turbine with Delayed Detached Eddy Simulation. Entropy 2017, 19, 29. [Google Scholar] [CrossRef]
- Su, X.; Yuan, X. Improved compressor corner separation prediction using the quadratic constitutive relation. Proc. Inst. Mech. Eng. Part A J. Power Energy 2017, 1–13. [Google Scholar] [CrossRef]
- Spalart, P.R.; Deck, S.; Shur, M.; Squires, K.; Strelets, M.K.; Travin, A. A new version of detached-eddy simulation, resistant to ambiguous grid densities. Theor. Comput. Fluid Dyn. 2006, 20, 181–195. [Google Scholar] [CrossRef]
- Ma, W.; Gao, F.; Ottavy, X.; Lu, L.; Wang, A. Numerical Investigation of Intermittent Corner Separation in a Linear Compressor Cascade. In Proceedings of the ASME Turbo Expo 2016: Turbomachinery Technical Conference and Exposition, Seoul, Korea, 13–17 June 2016; p. V02AT37A035. [Google Scholar]
- Su, X.; Yamamoto, S.; Yuan, X. On the accurate prediction of tip vortex: effect of numerical schemes. In Proceedings of the ASME Turbo Expo 2013: Turbine Technical Conference and Exposition, San Antonio, TX, USA, 3–7 June 2013; p. V06BT37A013. [Google Scholar]
- Su, X.; Sasaki, D.; Nakahashi, K. On the efficient application of Weighted Essentially Nonoscillatory scheme. Int. J. Numer. Methods Fluids 2013, 71, 185–207. [Google Scholar] [CrossRef]
- Gou, J.; Zhang, Y.; Su, X.; Yuan, X. Numerical investigation on the effects of real industrial bleeding geometry in a high-speed compressor stage. J. Mech. Sci. Technol. 2016, 30, 5275–5286. [Google Scholar] [CrossRef]
- Gou, J.; Yuan, X.; Su, X. Adaptive mesh refinement method based investigation of the interaction between shock wave, boundary layer, and tip vortex in a transonic compressor. Proc. Inst. Mech. Eng. Part G J. Aerosp. Eng. 2017, 1–22. [Google Scholar] [CrossRef]
- Spalart, P.R.; Allmaras, S.R. A one-equation turbulence model for aerodynamics flows. La Recherche Aérospatiale 1992, 439, 5–21. [Google Scholar]
- Spalart, P.; Jou, W.; Strelets, M.; Allmaras, S. Comments on the feasibility of LES for wings, and on a hybrid RANS/LES approach. Adv. DNS/LES 1997, 1, 4–8. [Google Scholar]
- Wilcox, D.C. Turbulence Modeling for CFD; DCW Industries: La Canada, CA, USA, 1998; Volume 2. [Google Scholar]
- Adrian, R.J. Hairpin vortex organization in wall turbulence a. Phys. Fluids 2007, 19, 041301. [Google Scholar] [CrossRef]
- Haidari, A.; Smith, C. The generation and regeneration of single hairpin vortices. J. Fluid Mech. 1994, 277, 135–162. [Google Scholar] [CrossRef]


















| Parameter | Magnitude |
|---|---|
| Chord c (mm) | 150.0 |
| Pitch spacing s (mm) | 134.0 |
| Blade span h (mm) | 370.0 |
| Camber angle (degree) | |
| Stagger angle (degree) | |
| Design upstream flow angle (degree) | |
| Design downstream flow angle (degree) | |
| Incident angle i (degree) | 0 + 0.18 |
| Ma (-) | 0.1176 |
© 2017 by the authors. Licensee MDPI, Basel, Switzerland. This article is an open access article distributed under the terms and conditions of the Creative Commons Attribution (CC BY) license (http://creativecommons.org/licenses/by/4.0/).
Share and Cite
Wang, H.; Lin, D.; Su, X.; Yuan, X. Entropy Analysis of the Interaction between the Corner Separation and Wakes in a Compressor Cascade. Entropy 2017, 19, 324. https://doi.org/10.3390/e19070324
Wang H, Lin D, Su X, Yuan X. Entropy Analysis of the Interaction between the Corner Separation and Wakes in a Compressor Cascade. Entropy. 2017; 19(7):324. https://doi.org/10.3390/e19070324
Chicago/Turabian StyleWang, Hao, Dun Lin, Xinrong Su, and Xin Yuan. 2017. "Entropy Analysis of the Interaction between the Corner Separation and Wakes in a Compressor Cascade" Entropy 19, no. 7: 324. https://doi.org/10.3390/e19070324
APA StyleWang, H., Lin, D., Su, X., & Yuan, X. (2017). Entropy Analysis of the Interaction between the Corner Separation and Wakes in a Compressor Cascade. Entropy, 19(7), 324. https://doi.org/10.3390/e19070324
