Analysis of Entropy Generation in the Flow of Peristaltic Nanofluids in Channels With Compliant Walls
Abstract
:1. Introduction
2. Mathematical Formulation
3. Entropy Generation
4. Solution of the Problem
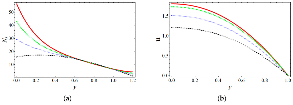
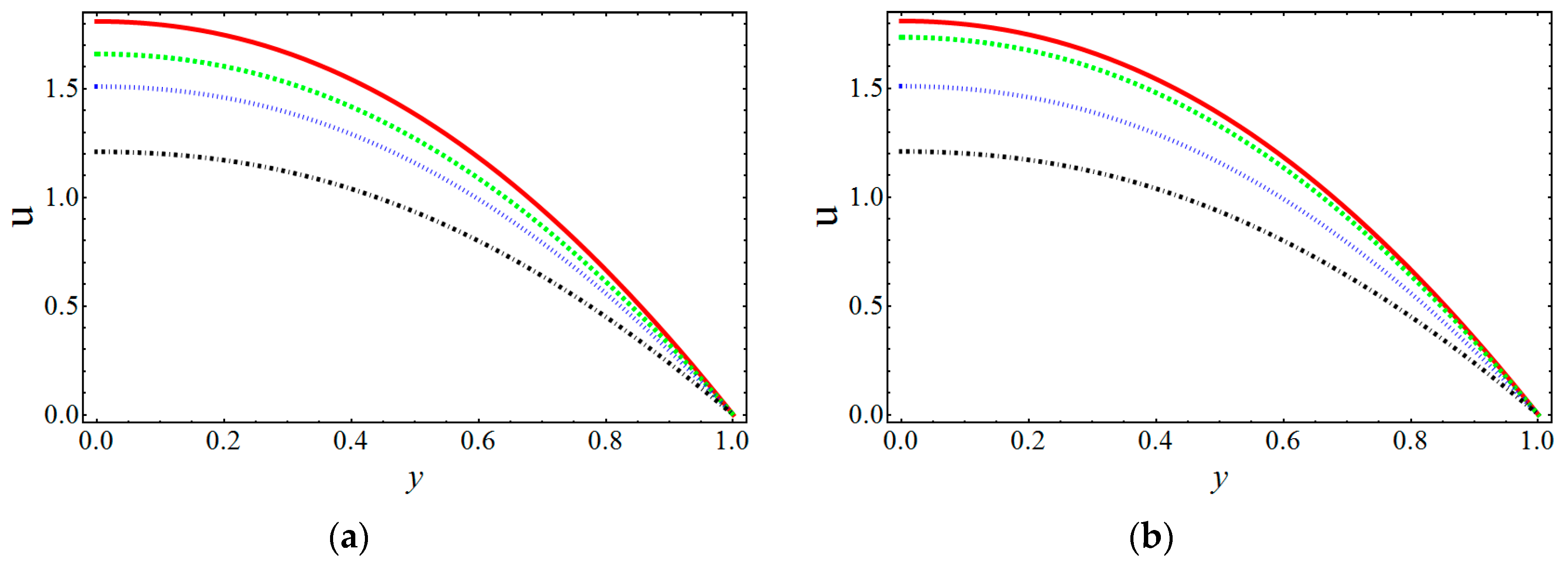
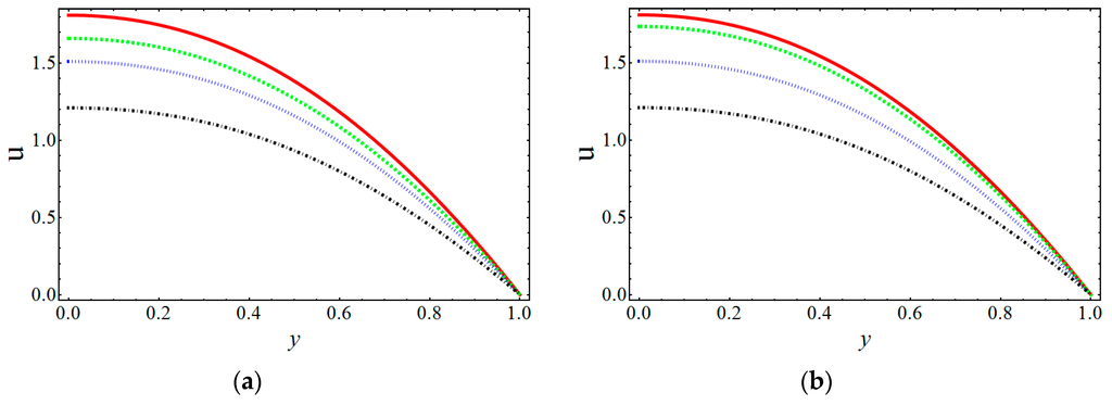
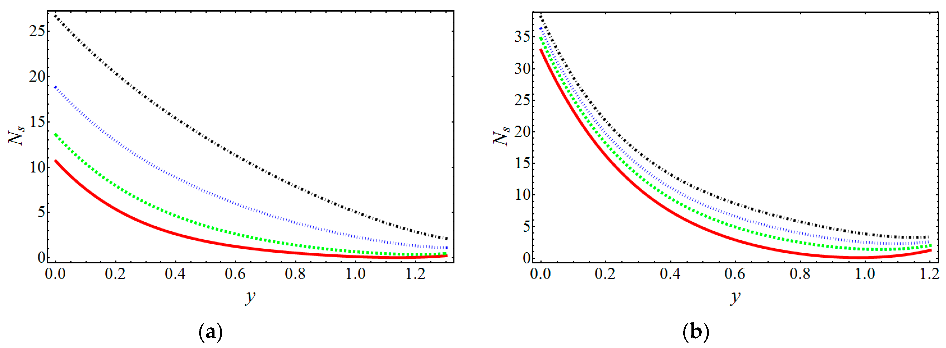
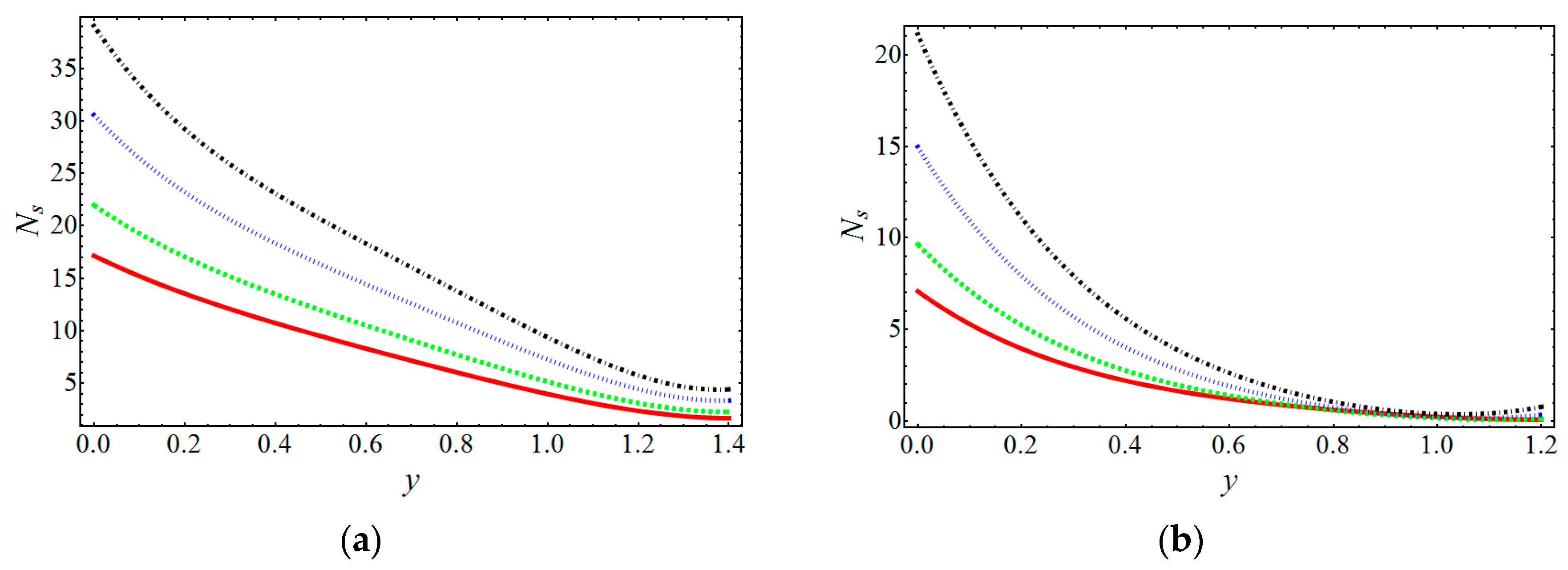
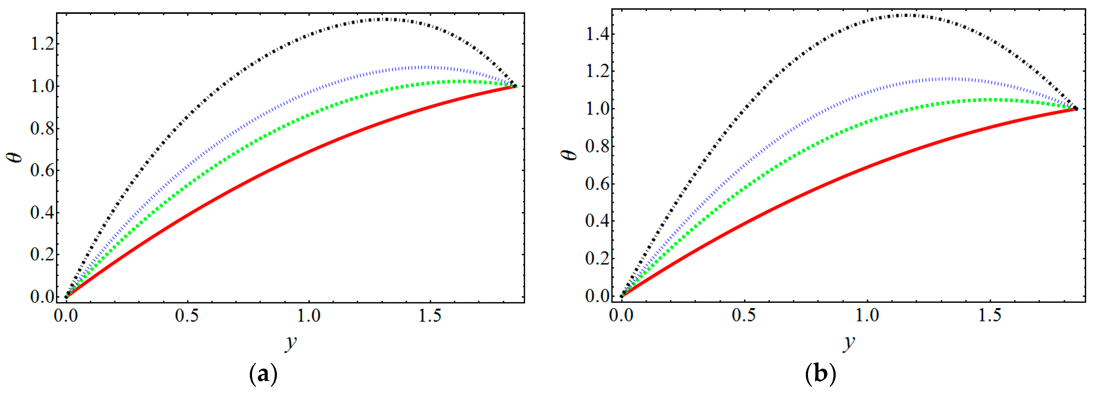
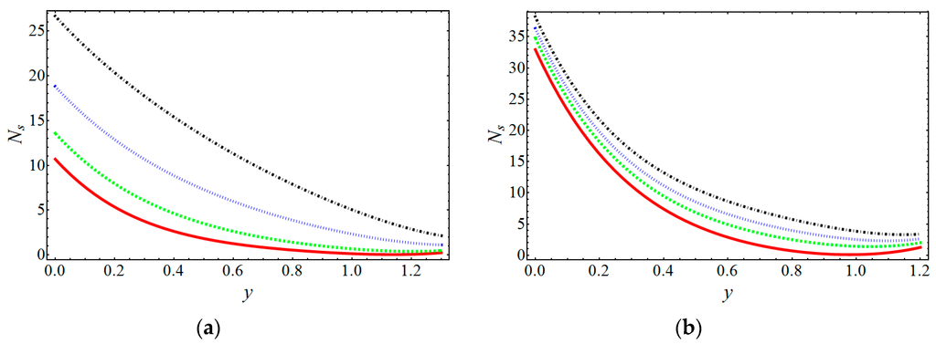
5. Numerical Results and Discussion
6. Conclusions
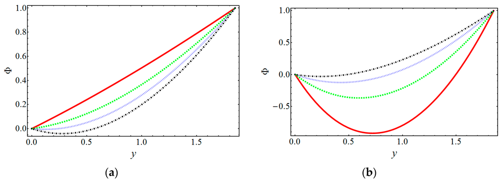
- Temperature distribution increases when and increases.
- Concentration distribution is increasing for but its attitude is opposite for .
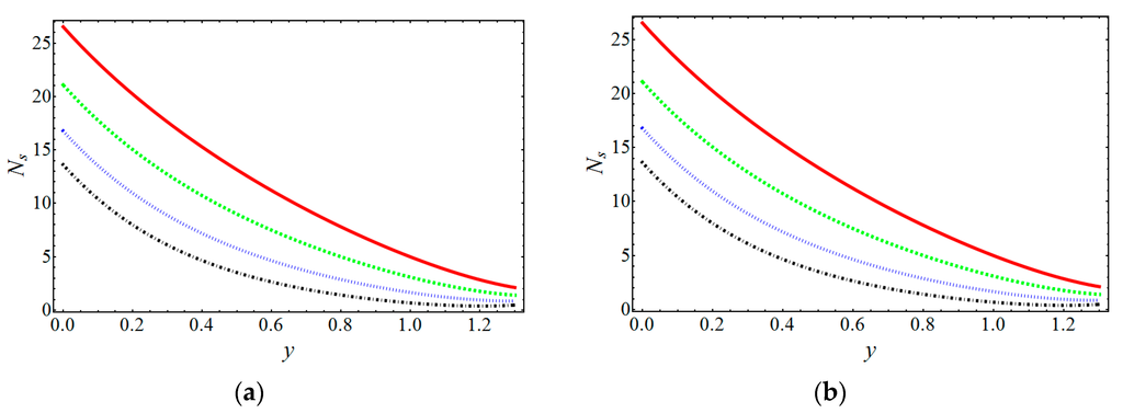
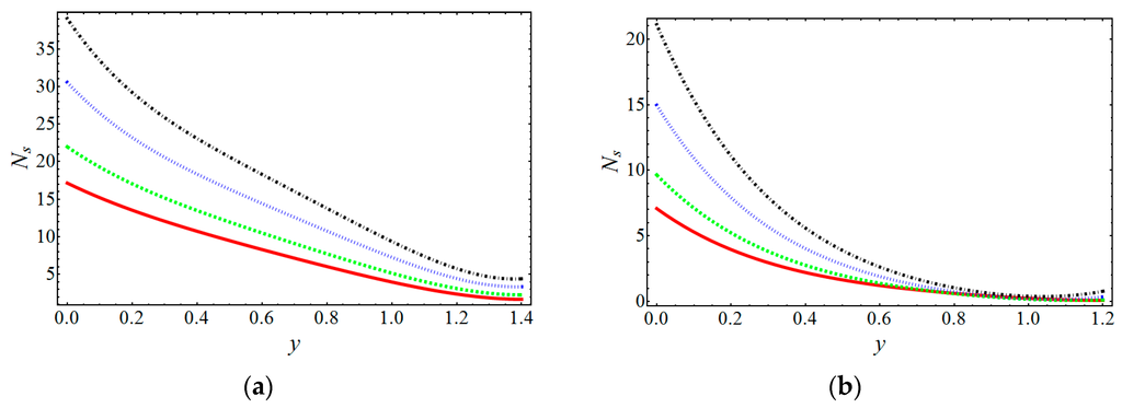
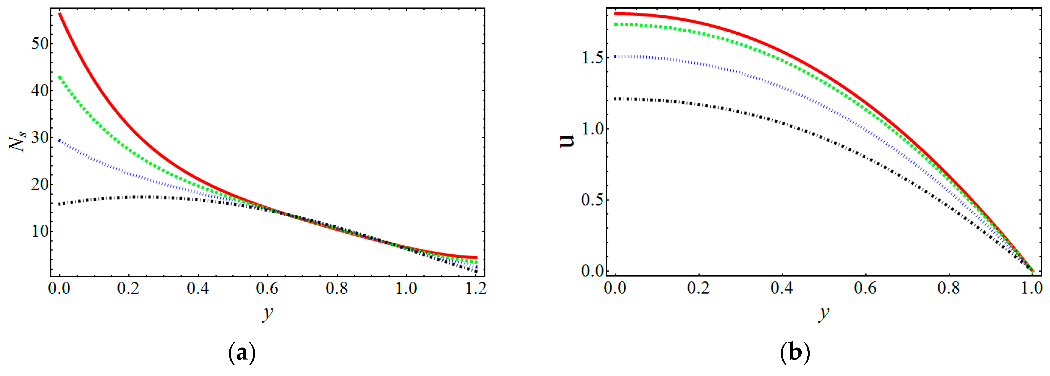
- Entropy generation is increasing for different values of , and but it is a decreasing function for the parameters and .
- Velocity profile diminishes for large values of , and .
- The present model may be beneficial in understanding the dynamic of blood flow small blood vessels by taking into account the important wall elastic parameters.
Acknowledgments
Author Contributions
Conflicts of Interest
Nomenclature
| velocity components | |
| Cartesian coordinate | |
| pressure in fixed frame | |
| wave amplitude | |
| width of the channel | |
| half width at the inlet | |
| wave velocity | |
| dimensionless entropy number | |
| Reynolds number | |
| time | |
| basic density Grashof number | |
| thermal Grashof number | |
| Brownian motion parameter | |
| thermophoresis parameter | |
| constant | |
| Brinkman number | |
| environmental temperature (K) | |
| constant parameter | |
| wall mass per unit area | |
| coefficient of viscous damping | |
| temperature and concentration | |
| acceleration due to gravity | |
| Brownian diffusion coefficient | |
| thermophoretic diffusion coefficient | |
| mean absorption constant | |
| stress tensor |
Greek Symbols
| thermal conductivities of the nano particles | |
| ratio b/w relaxation to retardation time | |
| thermal conductivity of nanofluid | |
| viscosity of the fluid | |
| diffusive coefficient | |
| dimensionless constant parameter | |
| dimensionless temperature difference | |
| nano particle volume fraction | |
| temperature profile | |
| wave number | |
| shear rate | |
| effective heat capacity of nano particle | |
| nanofluid kinematic viscosity | |
| nano particle mass density | |
| fluid density | |
| fluid density at the reference temperature | |
| volumetric expansion coefficient of the fluid | |
| heat capacity of fluid | |
| wavelength | |
| amplitude ratio | |
| delay time |
References
- Villone, M.M.; Greco, F.; Hulsen, M.A.; Maffettone, P.L. Simulation of an elastic particle in Newtonian and Viscoelastic fluids subjected to confined shear flow. J. Non-Newton. Fluid Mech. 2014, 210, 47–55. [Google Scholar] [CrossRef]
- Bae, H.-O. Regularity criterion for generalized Newtonian fluids in bounded domains. J. Math. Anal. Appl. 2015, 421, 489–500. [Google Scholar] [CrossRef]
- Hatami, M.; Domairry, G. Transient vertically motion of a soluble particle in a Newtonian fluid media. Powder Technol. 2014, 253, 481–485. [Google Scholar] [CrossRef]
- Rashidi, M.M.; Rastegari, M.T.; Asadi, M.; Bég, O.A. A study of non-Newtonian flow and heat transfer over a non-isothermal wedge using the homotopy analysis method. Chem. Eng. Commun. 2012, 199, 231–256. [Google Scholar] [CrossRef]
- Nadeem, S.; Akbar, N.S.; Hendi, A.A.; Hayat, T. Power law fluid model for blood flow through a tapered artery with a stenosis. Appl. Math. Comput. 2011, 217, 7108–7116. [Google Scholar] [CrossRef]
- Ashorynejad, H.R.; Javaherdeh, K.; Sheikholeslami, M.; Ganji, D.D. Investigation of the heat transfer of a non-Newtonian fluid flow in an axisymmetric channel with porous wall using Parameterized Perturbation Method (PPM). J. Frankl. Inst. 2014, 351, 701–712. [Google Scholar] [CrossRef]
- Choi, S.U.S. Enhancing thermal conductivity of fluids with nanoparticles. In Proceedings of ASME International Mechanical Engineering Congress & Exposition, San Francisco, CA, USA, 12–17 November 1995.
- Freidoonimehr, N.; Rashidi, M.M. Dual Solutions for MHD Jeffery–Hamel Nano-fluid Flow in Non-parallel Walls using Predictor Homotopy Analysis Dual Solutions Method. J. Appl. Fluid Mech. 2015, 8, 911–919. [Google Scholar]
- Sheikholeslami, M.; Gorji-Bandpy, M.; Ganji, D.D.; Soleimani, S. MHD natural convection in a nanofluid filled inclined enclosure with sinusoidal wall using CVFEM. Neural Comput. Appl. 2014, 24, 873–882. [Google Scholar] [CrossRef]
- Freidoonimehr, N.; Rashidi, M.M.; Mahmud, S. Unsteady MHD free convective flow past a permeable stretching vertical surface in a nano-fluid. Int. J. Therm. Sci. 2015, 87, 136–145. [Google Scholar] [CrossRef]
- Akbar, N.S.; Rahman, S.U.; Ellahi, R.; Nadeem, S. Nano fluid flow in tapering stenosed arteries with permeable walls. Int. J. Therm. Sci. 2014, 85, 54–61. [Google Scholar] [CrossRef]
- Freidoonimehr, N.; Rostami, B.; Rashidi, M.M.; Momoniat, E. Analytical Modelling of Three-Dimensional Squeezing Nanofluid Flow in a Rotating Channel on a Lower Stretching Porous Wall. Math. Probl. Eng. 2014. [Google Scholar] [CrossRef]
- Abbas, M.A.; Bai, Y.; Bhatti, M.M.; Rashidi, M.M. Three dimensional peristaltic flow of hyperbolic tangent fluid in non-uniform channel having flexible walls. Alex. Eng. J. 2015, in press. [Google Scholar] [CrossRef]
- Mekheimer, K.S. Peristaltic flow of a couple stress fluid in an annulus: Application of an endoscope. Physica A 2008, 387, 2403–2415. [Google Scholar] [CrossRef]
- Akbar, N.S.; Nadeem, S.; Mekheimer, K.S. Rheological properties of Reiner-Rivlin fluid model for blood flow through tapered artery with stenosis. J. Egypt. Math. Soc. 2016, 24, 138–142. [Google Scholar] [CrossRef]
- Sinha, A.; Shit, G.C.; Ranjit, N.K. Peristaltic transport of MHD flow and heat transfer in an asymmetric channel: Effects of variable viscosity, velocity-slip and temperature jump. Alex. Eng. J. 2015, 54, 691–704. [Google Scholar] [CrossRef]
- Abbas, M.A.; Bai, Y.; Rashidi, M.M.; Bhatti, M.M. Application of drug delivery in megnetohydrodynamics peristaltic blood flow of nano fluid in a nan-uniform channel. J. Mech. Med. Biol. 2015. [Google Scholar] [CrossRef]
- Mekheimer, K.S. Peristaltic flow of blood under effect of a magnetic field in a non-uniform channels. Appl. Math. Comput. 2004, 153, 763–777. [Google Scholar] [CrossRef]
- Bég, O.A.; Keimanesh, M.; Rashidi, M.M.; Davoodi, M.; Branch, S.T. Multi-Step dtm simulation of magneto-peristaltic flow of a conducting Williamson viscoelastic fluid. Int. J. Appl. Math. Mech. 2013, 9, 1–24. [Google Scholar]
- Bejan, A. Second law analysis in heat transfer. Energy 1980, 5, 720–732. [Google Scholar] [CrossRef]
- Bejan, A. Entropy Generation Minimization: The Method of Thermodynamic Optimization of Finite-Time Systems and Finite-Time Processes; CRC Press: New York, NY, USA, 1996. [Google Scholar]
- Revellin, R.; Lips, S.; Khandekar, S.; Bonjour, J. Local entropy generation for saturated two-phase flow. Energy 2009, 34, 1113–1121. [Google Scholar] [CrossRef]
- Salas, H.; Cuevas, S.; de Haro, M.L. Entropy generation analysis of magnetohydrodynamic induction devices. J. Phys. D Appl. Phys. 1999, 32. [Google Scholar] [CrossRef]
- Akbar, N.S. Entropy Generation Analysis for a CNT Suspension Nanofluid in Plumb Ducts with Peristalsis. Entropy 2015, 17, 1411–1424. [Google Scholar] [CrossRef]
- Akbar, N.S. Entropy generation and energy conversion rate for the peristaltic flow in a tube with magnetic field. Energy 2015, 82, 23–30. [Google Scholar] [CrossRef]
- Rashidi, M.M.; Abelman, S.; Mehr, N.F. Entropy generation in steady MHD flow due to a rotating porous disk in a nanofluid. Int. J. Heat Mass Transf. 2013, 62, 515–525. [Google Scholar] [CrossRef]
- Rashidi, M.M.; Bagheri, S.; Momoniat, E.; Freidoonimehr, N. Entropy analysis of convective MHD flow of third grade non-Newtonian fluid over a stretching sheet. Ain Shams Eng. J. 2015, in press. [Google Scholar] [CrossRef]
- Lee, M.Y.; Kim, H.J. Heat Transfer Characteristics of a Speaker Using Nano-Sized Ferrofluid. Entropy 2014, 16, 5891–5900. [Google Scholar] [CrossRef]
- Humeau-Heurtier, A.; Baumert, M.; Mahé, G.; Abraham, P. Multiscale Compression Entropy of Microvascular Blood Flow Signals: Comparison of Results from Laser Speckle Contrastand Laser Doppler Flowmetry Data in Healthy Subjects. Entropy 2014, 16, 5777–5795. [Google Scholar] [CrossRef]
- Galanis, N.; Rashidi, M.M. Entropy generation in non-Newtonian fluids due to heat and mass transfer in the entrance region of ducts. Heat Mass Transf. 2012, 48, 1647–1662. [Google Scholar] [CrossRef]
- Hassan, M.; Sadri, R.; Ahmadi, G.; Dahari, M.B.; Kazi, S.N.; Safaei, M.R.; Sadeghinezhad, E. Numerical study of entropy generation in a flowing nanofluid used in micro-and minichannels. Entropy 2013, 15, 144–155. [Google Scholar] [CrossRef]
- Sheikholeslami, M.; Ganji, D.D. Entropy generation of nanofluid in presence of magnetic field using Lattice Boltzmann Method. Physica A 2015, 417, 273–286. [Google Scholar] [CrossRef]
- Baag, S.; Mishra, S.R.; Dash, G.C.; Acharya, M.R. Entropy generation analysis for viscoelastic MHD flow over a stretching sheet embedded in a porous medium. Ain Shams Eng. J. 2016, in press. [Google Scholar] [CrossRef]
- Mahian, O.; Kianifar, A.; Kleinstreuer, C.; Al-Nimr, M.M.; Pop, I.; Sahin, A.Z.; Wongwises, S. A review of entropy generation in nanofluid flow. Int. J. Heat Mass Transf. 2013, 65, 514–532. [Google Scholar] [CrossRef]
- Shapiro, A.H.; Jaffrin, M.Y.; Weinberg, S.L. Peristaltic pumping with long wavelength at low Reynolds number. J. Fluid Mech. 1969, 37, 799–825. [Google Scholar] [CrossRef]
- Srivastava, L.M.; Srivastava, V.P. Peristaltic transport of a power-law fluid: Application to the ductus efferentes of the reproductive tract. Rheol. Acta. 1988, 27, 428–433. [Google Scholar] [CrossRef]
- Gupta, B.B.; Seshadri, V. Peristaltic pumping in non-uniform tubes. J. Biomech. 1976, 9, 105–109. [Google Scholar] [CrossRef]









| h(x,t) | u(y) | u(y) | u(y) | u(y) |
|---|---|---|---|---|
| (Newtonian Fluid) | (Non-Newtonian Fluid) | (Non-Newtonian Fluid) | (Non-Newtonian Fluid) | |
© 2016 by the authors; licensee MDPI, Basel, Switzerland. This article is an open access article distributed under the terms and conditions of the Creative Commons by Attribution (CC-BY) license (http://creativecommons.org/licenses/by/4.0/).
Share and Cite
Abbas, M.A.; Bai, Y.; Rashidi, M.M.; Bhatti, M.M. Analysis of Entropy Generation in the Flow of Peristaltic Nanofluids in Channels With Compliant Walls. Entropy 2016, 18, 90. https://doi.org/10.3390/e18030090
Abbas MA, Bai Y, Rashidi MM, Bhatti MM. Analysis of Entropy Generation in the Flow of Peristaltic Nanofluids in Channels With Compliant Walls. Entropy. 2016; 18(3):90. https://doi.org/10.3390/e18030090
Chicago/Turabian StyleAbbas, Munawwar Ali, Yanqin Bai, Mohammad Mehdi Rashidi, and Muhammad Mubashir Bhatti. 2016. "Analysis of Entropy Generation in the Flow of Peristaltic Nanofluids in Channels With Compliant Walls" Entropy 18, no. 3: 90. https://doi.org/10.3390/e18030090
APA StyleAbbas, M. A., Bai, Y., Rashidi, M. M., & Bhatti, M. M. (2016). Analysis of Entropy Generation in the Flow of Peristaltic Nanofluids in Channels With Compliant Walls. Entropy, 18(3), 90. https://doi.org/10.3390/e18030090

