Payoffs and Coherence of a Quantum Two-Player Game in a Thermal Environment
Abstract
:1. Introduction
2. Quantum Game
3. Decoherence and Its Description
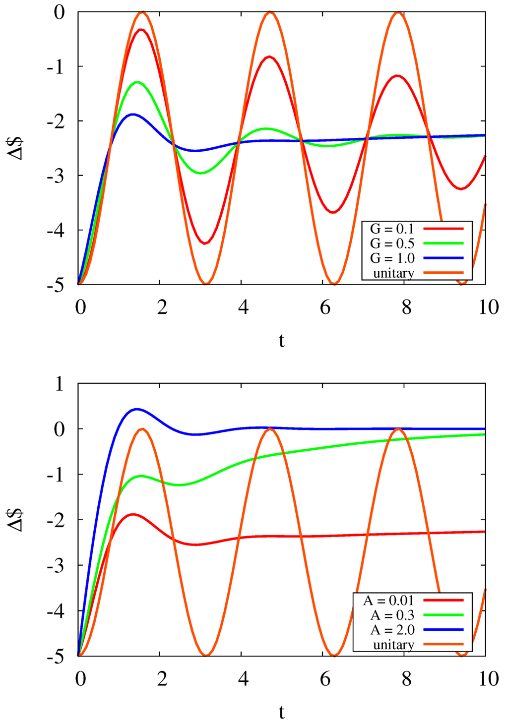
4. Payoffs for the Quantum Prisoner’s Dilemma

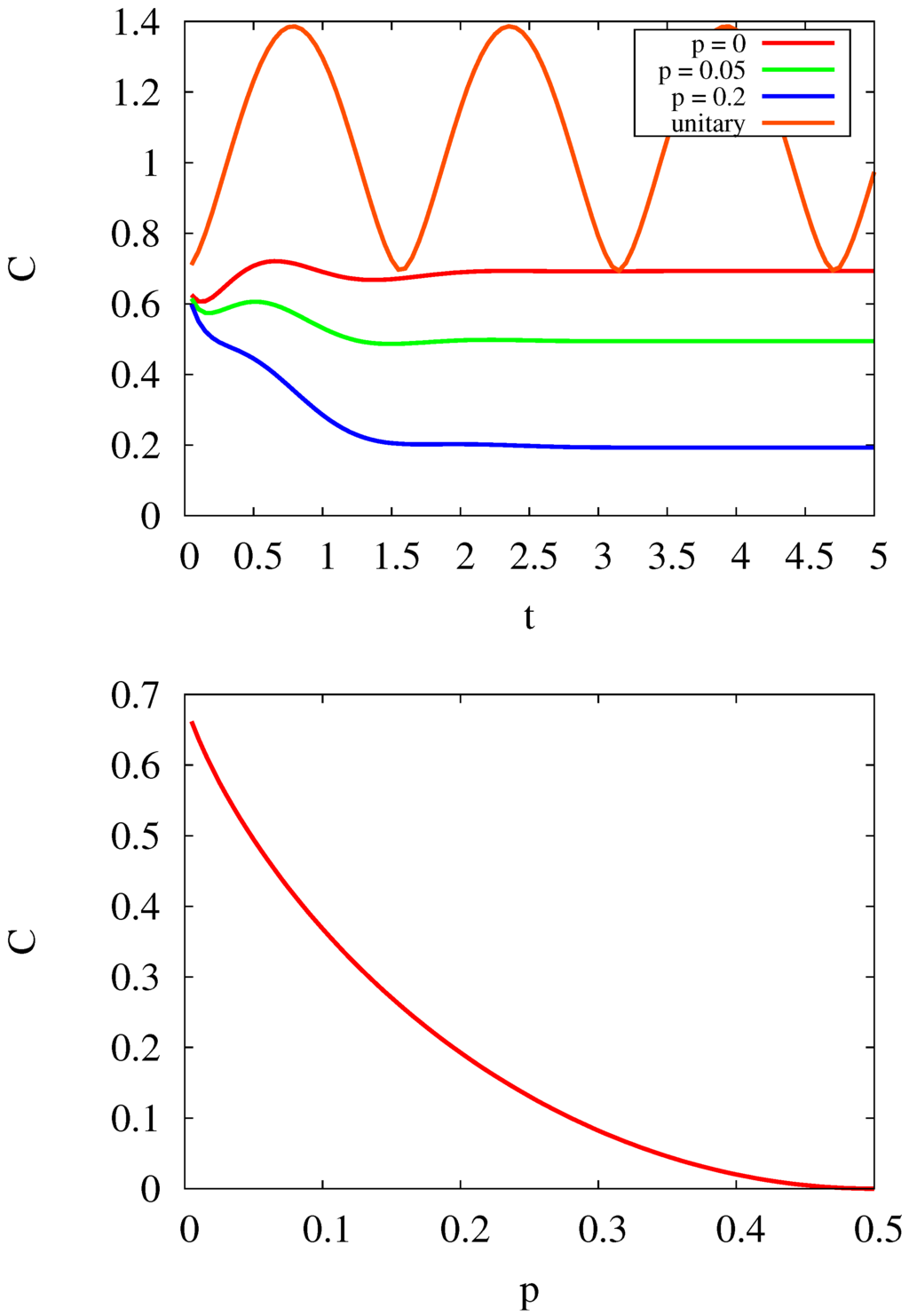
5. Coherence of a Quantum Game



6. Conclusions
Acknowledgments
Author Contributions
Conflicts of Interest
References
- Neumann, J.; Morgenstern, O. Theory of Games and Economic Behavior, 3rd ed.; Princeton University Press: Princeton, NJ, USA, 1953. [Google Scholar]
- Osborne, M.; Rubinstein, A. A Course in Game Theory; MIT Press: Cambridge, MA, USA, 1994. [Google Scholar]
- Barron, E. Game Theory. An Itntroduction; Wiley: Hoboken, NJ, USA, 2013. [Google Scholar]
- Meyer, D.A. Quantum Strategies. Phys. Rev. Lett. 1999, 82, 1052–1055. [Google Scholar] [CrossRef]
- Eisert, J.; Wilkens, M.; Lewenstein, M. Quantum Games and Quantum Strategies. Phys. Rev. Lett. 1999, 83, 3077–3080. [Google Scholar] [CrossRef]
- Piotrowski, E.; Sładkowski, J. An Invitation to Quantum Game Theory. Int. J. Theor. Phys. 2003, 42, 1089–1099. [Google Scholar] [CrossRef]
- Torres-Company, V.; Lajunen, H.; Friberg, A.T. ‘Nonlocal’ dispersion cancelation with classical light. New J. Phys. 2009, 11, 063041. [Google Scholar] [CrossRef]
- Girolami, D. Observable Measure of Quantum Coherence in Finite Dimensional Systems. Phys. Rev. Lett. 2014, 113, 170401. [Google Scholar] [CrossRef] [PubMed]
- Piotrowski, E.W.; Sładkowski, J. Quantum game theoretical framework in economics. In The Palgrave Handbook of Quantum Models in Social Science: Applications and Grand Challenges; Haven, E., Khrennikov, A., Eds.; Palgrave-MacMillan: Basingstoke, UK, 2015. [Google Scholar]
- Sładkowski, J. Giffen paradoxes in quantum market games. Physica A 2003, 324, 234–240. [Google Scholar] [CrossRef]
- Piotrowski, E.W.; Sładkowski, J. Quantum games in finance. Quant. Financ. 2004, 4, 61–67. [Google Scholar] [CrossRef]
- Piotrowski, E.W.; Sładkowski, J. Trading by quantum rules: Quantum anthropic principle. Int. J. Theor. Phys. 2003, 42, 234–240. [Google Scholar]
- Miakisz, K.; Piotrowski, E.W.; Sładkowski, J. Quantization of games: Towards quantum artificial intelligence. Theor. Comput. Sci. 2006, 358, 15–22. [Google Scholar] [CrossRef] [Green Version]
- Piotrowski, E.W.; Sładkowski, J. Quantum computer: An appliance for playing market games. Int. J. Quantum Inf. 2004, 2, 495–509. [Google Scholar] [CrossRef]
- Flitney, A.P.; Abbott, D. Quantum games with decoherence. J. Phys. A 2005, 38. [Google Scholar] [CrossRef]
- Gawron, P.; Kurzyk, D.; Pawela, L. Decoherence effects in the quantum qubit flip game using Markovian approximation. Quantum Inf. Process. 2014, 13, 665–682. [Google Scholar] [CrossRef]
- Flitney, A.P. Multiplayer quantum Minority game with decoherence. In Proceedings of SPIE 5842, Fluctuations and Noise in Photonics and Quantum Optics III, Austin, TX, USA, 23 May 2005; Hemmer, P.R., Gea-Banacloche, J.R., Heszler, P.S., Zubairy, M.S., Eds.; SPIE: Bellingham, WA, USA, 2005; Volume 5842, pp. 175–182. [Google Scholar]
- Flitney, A.P.; Hollenberg, L.C.L. Multiplayer quantum Minority game with decoherence. Quantum Inf. Comput. 2005, 7, 111–126. [Google Scholar]
- Davies, E. Markovian master equations. Commun. Math. Phys. 1974, 39, 91–110. [Google Scholar] [CrossRef]
- Spohn, H.; Lebowitz, J.L. Irreversible Thermodynamics for Quantum Systems Weakly Coupled to Thermal Reservoirs. In Advances in Chemical Physics; Wiley: Hoboken, NJ, USA, 2007; pp. 109–142. [Google Scholar]
- Piotrowski, E.W.; Sładkowski, J. Quantum auctions: Facts and myths. Physica A 2008, 387, 3949–3953. [Google Scholar] [CrossRef]
- Gawron, P.; Miszczak, J.; Sładkowski, J. Noise effects in quantum magic squares game. Int. J. Quantum Inf. 2005, 345, 185–195. [Google Scholar] [CrossRef]
- Zhang, S. Quantum Strategic Game Theory. 2010. arXiv:1012.5141. [Google Scholar]
- Benjamin, S.C.; Hayden, P.M. Comment on “Quantum Games and Quantum Strategies”. Phys. Rev. Lett. 2000, 87, 069801. [Google Scholar] [CrossRef] [PubMed]
- Zhang, S. Quantum Strategic Game Theory. In Proceedings of the 3rd ACM Innovations in Theoretical Computer Science Conference, Cambridge, MA, USA, 8–10 January 2012; pp. 39–59.
- Flitney, A.P.; Abbott, D. Advantage of a quantum player over a classical one in 2 × 2 quantum games. Proc. R. Soc. A 2003, 459, 2463–2474. [Google Scholar] [CrossRef]
- Kuhn, S. Prisoner’s Dilemma. In The Stanford Encyclopedia of Philosophy; Zalta, E.N., Ed.; Stanford University: Redwood City, CA, USA, 2014. [Google Scholar]
- Busemeyer, J.R.; Wang, Z.; Townsend, J.T. Quantum dynamics of human decision-making. J. Math. Psychol. 2006, 50, 220–241. [Google Scholar] [CrossRef]
- Miszczak, J.; Pawela, Ł.; Sładkowski, J. General Model for an Entanglement-Enhanced Composed Quantum Game on a Two-Dimensional Lattice. Fluctuat. Noise Lett. 2014, 13. [Google Scholar] [CrossRef]
- Pawela, Ł.; Sładkowski, J. Quantum Prisoner’s Dilemma game on hypergraph networks. Physica A 2013, 392, 910–917. [Google Scholar] [CrossRef]
- Alicki, R. Invitation to Quantum Dynamical Semigroups. In Dynamics of Dissipation; Garbaczewski, P., Olkiewicz, R., Eds.; Springer: Berlin/Heidelberg, Germany, 2002; Volume 597, pp. 239–264. [Google Scholar]
- Roga, W.; Fannes, M.; Zyczkowski, K. Davies maps for qubits and qutrits. Rep. Math. Phys. 2010, 66, 311–329. [Google Scholar] [CrossRef]
- Lendi, K.; Wonderen, A.J.V. Davies theory for reservoir-induced entanglement in a bipartite system. J. Phys. A 2007, 40. [Google Scholar] [CrossRef]
- Dajka, J.; Łuczka, J. Swapping of correlations via teleportation with decoherence. Phys. Rev. A 2013, 87, 022301. [Google Scholar] [CrossRef]
- Dajka, J.; Mierzejewski, M.; Łuczka, J.; Blattmann, R.; Hänggi, P. Negativity and quantum discord in Davies environments. J. Phys. A 2012, 45, 485306. [Google Scholar] [CrossRef] [Green Version]
- Dajka, J.; Łuczka, J.; Hänggi, P. Geometric phase as a determinant of a qubit– environment coupling. Quantum Inf. Process. 2011, 10, 85–96. [Google Scholar] [CrossRef]
- Szela̧g, M.; Dajka, J.; Zipper, E.; Łuczka, J. Heat Currents in Non-Superconducting Flux Qubits. Acta Physica Polonica B 2008, 39, 1177–1186. [Google Scholar]
- Alicki, R.; Lendi, K. Quantum Dynamical Semigroups and Applications; Springer: Berlin/Heidelberg, Germany, 2007. [Google Scholar]
- Levitt, M.H. Spin Dynamics: Basics of Nuclear Magnetic Resonance; Wiley: Hoboken, NJ, USA, 2008. [Google Scholar]
- Flitney, A.P.; Abbott, D. Advantage of a quantum player over a classical one in 2 × 2 quantum games. Proc. R. Soc. A 2003, 459, 2463–2474. [Google Scholar] [CrossRef]
- Baumgratz, T.; Cramer, M.; Plenio, M.B. Quantifying Coherence. Phys. Rev. Lett. 2014, 113, 140401. [Google Scholar] [CrossRef] [PubMed]
© 2015 by the authors; licensee MDPI, Basel, Switzerland. This article is an open access article distributed under the terms and conditions of the Creative Commons Attribution license (http://creativecommons.org/licenses/by/4.0/).
Share and Cite
Dajka, J.; Łobejko, M.; Sładkowski, J. Payoffs and Coherence of a Quantum Two-Player Game in a Thermal Environment. Entropy 2015, 17, 7736-7751. https://doi.org/10.3390/e17117736
Dajka J, Łobejko M, Sładkowski J. Payoffs and Coherence of a Quantum Two-Player Game in a Thermal Environment. Entropy. 2015; 17(11):7736-7751. https://doi.org/10.3390/e17117736
Chicago/Turabian StyleDajka, Jerzy, Marcin Łobejko, and Jan Sładkowski. 2015. "Payoffs and Coherence of a Quantum Two-Player Game in a Thermal Environment" Entropy 17, no. 11: 7736-7751. https://doi.org/10.3390/e17117736
APA StyleDajka, J., Łobejko, M., & Sładkowski, J. (2015). Payoffs and Coherence of a Quantum Two-Player Game in a Thermal Environment. Entropy, 17(11), 7736-7751. https://doi.org/10.3390/e17117736

