Abstract
Visual features and representation learning strategies experienced huge advances in the previous decade, mainly supported by deep learning approaches. However, retrieval tasks are still performed mainly based on traditional pairwise dissimilarity measures, while the learned representations lie on high dimensional manifolds. With the aim of going beyond pairwise analysis, post-processing methods have been proposed to replace pairwise measures by globally defined measures, capable of analyzing collections in terms of the underlying data manifold. The most representative approaches are diffusion and ranked-based methods. While the diffusion approaches can be computationally expensive, the rank-based methods lack theoretical background. In this paper, we propose an efficient Rank-based Diffusion Process which combines both approaches and avoids the drawbacks of each one. The obtained method is capable of efficiently approximating a diffusion process by exploiting rank-based information, while assuring its convergence. The algorithm exhibits very low asymptotic complexity and can be computed regionally, being suitable to outside of dataset queries. An experimental evaluation conducted for image retrieval and person re-ID tasks on diverse datasets demonstrates the effectiveness of the proposed approach with results comparable to the state-of-the-art.
1. Introduction
For decades, the evolution of image retrieval approaches was mainly supported by the development of novel features for representing the visual content. Other relevant stages of the retrieval pipeline were often neglected []. Even in the era of deep learning-based features, retrieval systems often perform comparisons by computing measures which consider only pairs of images and ignore the relevant information encoded in the relationships among images. Traditionally, such measures are defined based on pairwise dissimilarities between features represented in a high dimensional Euclidean space [].
To go beyond pairwise analysis, post-processing methods have been proposed with the aim of increasing the effectiveness retrieval tasks without the need for user intervention [,,,]. Such unsupervised methods aim at replacing similarities between pairs of images by globally defined measures, capable of analyzing collections in terms of the underlying data manifold, i.e., in the context of other objects [,].
Diversified context-sensitive methods have been exploited by post-processing approaches for retrieval tasks. Among them, two categories can be highlighted as very representative of existing methods: diffusion processes [,,] and rank-based approaches [,,]. The most common diffusion processes are inspired by random walks [], and therefore supported by a strong mathematical background. Very significant improvements to retrieval performance have been achieved by such methods [,,]. However, they often require high computational efforts, mainly due to the asymptotic complexity associated with matrices multiplication or inversion procedures.
More recently, rank-based methods also have attracted a lot of attention, mainly due to relevant similarity information encoded in the ranked lists [,]. While the rank-based strategies also achieve very significant effectiveness gains, such methods lack a theoretical basis and convergence aspects are mainly based on empirical analysis []. On the other hand, a positive aspect is related to the low computational costs required. Most of relevant similarity information is located at top rank positions, reducing the amount of data which needs to be processed and enabling the development of efficient algorithms []. In fact, efficiency aspects assumed a relevant role last years for both diffusion and rank-based methods, especially regarding its application to query images outside of the dataset [,].
In this paper, we propose a diffusion process completely defined in terms of ranking information. The method is capable of approximating a diffusion process based only on the top positions of ranked lists, while assures its convergence. Therefore, since it combines diffusion and rank-based approaches, both efficiency and theoretical requirements are met. The main contributions of this work are three-fold and can be summarized as follows:
- Efficiency and Complexity Aspects: traditionally, diffusion processes compute the elements of affinity matrices through successive multiplications, considering all the collection images. To reduce the computational costs, sparse affinity matrices [] are employed for the first iteration. However, there is no guarantees that the multiplied matrices are also sparse and classic diffusion methods do not know in advance where the non-zero values appear in the matrices computed over the iterations. Therefore, a full multiplication of time complexity is required for each iteration. In opposite, the proposed method keeps the sparsity of matrices by computing only a small subset of affinities, which are indexed through rank information. First, the proposed method derives a novel similarity measure based only on top-k ranking information. Then, only the matrix positions indexed by the top-L rank positions () are computed. Inspired by [,], the overlap between ranked lists and, equivalently, between elements of rows/columns being multiplied is considered. Figure 1 illustrates this process for computing a matrix row, with sparsity depicted in white. The operation is constrained to top-L rank positions with time complexity of , and therefore for each row (with L constant), and hence for all rows, i.e., the whole dataset. Therefore, the method computes only a small subset of operations required by diffusion processes, reducing the conventional time complexity for the whole dataset from to .
- Theoretical Aspects: while convergence is an aspect well-defined and widely studied for diffusion processes [,], the same cannot be said about rank-based approaches. In fact, the use of classic proofs for rank-based approaches is not straight-forward and the convergence is still an open topic when considering rank information [], only analyzed through empirical studies []. Once the connection between diffusion and rank-based methods is formally established, we discuss the extension of convergence properties from diffusion to the proposed rank-based approach. To the best of our knowledge, this is the first work which presents a formal proof of convergence of rank-based methods.
- Unseen Query Images: most of both diffusion and ranked-based methods, consider the query image to be contained in the dataset. Alternatively, a query image can be included in the dataset at query time. However, even an efficient algorithm of is unfeasible to be executed on-line for larger datasets. A more recent research trend consists on post-processing approaches for efficiently dealing with unseen queries at query time [,]. The proposed method also allows its use for unseen queries through a simple regional diffusion constrained to top-L rank positions of the query, which can be computed in .

Figure 1.
Our efficient algorithm constrained to top-L rank positions exploited for efficiently computing the Rank Diffusion.
An extensive experimental evaluation was conducted considering different retrieval scenarios. The evaluation for general image retrieval tasks was conducted on 6 public datasets and several features, including global (shape, color, and texture), local, and convolution-neural-network-based features. The performance on Person reidentification (re-ID) tasks was also evaluated on two recent datasets using diverse features. The proposed method achieves very significant gains, reaching up to +40% of relative gain on image retrieval and +50% on person re-ID tasks. Comparisons with various recent methods on different datasets were also conducted and the proposed algorithm yields comparable or superior performance to state-of-the-art approaches.
The remainder of this paper is organized as follows. Section 2 discusses the relationship between diffusion, rank-based and the proposed approach. Section 3 formally defines the proposed method, while Section 4 discusses complexity aspects and presents an efficient algorithmic solution. Section 5 describes the conducted experimental evaluation and, finally, Section 6 discusses the conclusions.
2. Diffusion, Rank-Based, and the Proposed Method
Diffusion is one of the most widely spread processes in science [,]. In the retrieval domain, diffusion approaches rely on the definition of a global measure, which describes the relationship between pairs of points in terms of their connectivity [,,]. In general, diffusion methods start from an affinity matrix, which establishes a similarity relationship among different dataset elements [].
Let = be an image collection of size n = . Let denotes a d-dimensional representation of an image given by a feature extraction function, such that . The dataset can be represented by a set = and the affinity matrix among the elements is often computed by a Gaussian kernel as
where is a parameter to be defined and the function is commonly defined by the Euclidean distance .
Most of the diffusion processes [] are mainly defined in terms of successive multiplications of affinity matrices, such that their high computational cost is mainly caused by the matrix multiplication operations. This is due to the fact that similarities to all images need to be computed, even those with very low similarity values, whose impact on retrieval results is very small. Additionally, even when sparse affinity matrices are considered, such sparsity is not guaranteed to be kept through the iterative matrices multiplications.
While the diffusion methods use the similarity measure computed based on visual features, the rank-based approaches exploit the similarity encoded in ranking information. The rank information is initially represented in terms of ranked lists, which are computed based on the distance function . One key advantage of rank-based models is due to the fact that top positions of ranked lists are expected to contain the most similar images to the query. Therefore, instead of full ranked lists which can be very time-consuming to compute according to the size of the dataset, only a subset (of a fixed size L) needs to be considered.
Formally, let be a ranked list computed in response to a query image . Let be a subset of the collection , such that and . The ranked list can be defined as a bijection from the set onto the set . The notation denotes the position (or rank) of image in the ranked list according to the distance . Hence, if the image is ranked before in the ranked list , i.e., , then (, ) ≤(, ).
In general, to compute a more global similarity measure between two images and , the rank-based methods exploit the similarity between their respective ranked lists and . Several distinct approaches have been proposed in order to model the rank similarity information. The asymmetry of the k-neighborhood sets were exploited in various works [,,]. Rank correlation measures and similarity between neighborhood sets have also been successfully employed [,]. More recently, graph [,,] and hypergraph [] formulations have been used.
In terms of objectives and outputs, both approaches, diffusion and rank-based, are comparable in that both aim at obtaining more global similarity measures that are expected to produce more effective retrieval results. However, each category presents distinct advantages. While rank-based approaches focus on the similarity encoded in the top positions of ranked lists, reducing the computational cost, the diffusion approaches benefit from a strong mathematical background.
In this scenario, the Rank Diffusion Process with Assured Convergence (RDPAC) is proposed in this paper based on an efficient formulation capable of avoiding the computation of small and irrelevant similarity values. The main idea consists of exploiting the rank information to identify and index the high similarity values in the transition and affinity matrices. In this way, the method admits an efficient algorithmic solution capable of computing an effective approximation of diffusion processes. Mostly related to [], the proposed approach presents relevant novelties: a theoretical convergence analysis, a novel rank similarity measure, a post-diffusion reciprocal step and its capacity of dealing with unseen queries in on-line time. The proof of convergence of the method presented in this work is a topic which has not been addressed for other rank-based approaches. The proposed similarity considers only ranking information. This makes it robust to feature variations, and therefore, suitable for fusion tasks.
3. Rank Diffusion Process with Assured Convergence
The presentation of our method is organized in four main steps: (i) a similarity measure is defined based on ranking information; (ii) a normalization is conducted for improving the symmetry of ranking references; (iii) the rank diffusion process is performed, requiring a small number of iterations; (iv) a post-diffusion step is conducted for exploiting the reciprocal rank information. Each step is discussed and formally defined in the next sections in terms of matrix operations. The efficient algorithmic solutions are discussed in Section 4.
3.1. Rank Similarity Measure
In this work, a novel approach is proposed for defining the affinity matrix by using a rank-based strategy. Although we mentioned a common retrieval pipeline based on the Euclidean distance, the method requires only the ranked lists, such that any distance measure can be used. Based only on rank information, our approach defines a very sparse matrix and, at same time, allows predicting information about its sparsity. By exploiting the information about sparsity, it is possible to derive efficient algorithmic solutions (discussed in Section 4).
Taking every image in the collection as a query, a set of ranked lists = can be obtained. Based on similarity information encoded on the set , a rank similarity measure is defined. The confidence of similarity information reaches its maximum at top positions and decreases at increasing depths of ranked lists. Hence, a rank similarity measure is proposed by assigning weights to positions inspired by the Rank-Biased Overlap (RBO) []. The RBO measure is based on a probabilistic model which considers the probability of a hypothetical user of keeping examining subsequent levels of the ranked list.
The affinity matrix can be computed according to the different sizes of ranked lists. Let s denotes the size of ranked lists, the subscript notation is used to refer to affinity matrix computed by considering the size s. Each position of the matrix is defined as follows:
where p denotes a probability parameter.
In our method, the ranked list size s assumes two different values according to the step being executed. During the rank diffusion, the size is defined as , where k denotes the number of nearest neighbors (including the point itself). For the normalization, the size is defined as , defining a more comprehensive collection subset, although much smaller than n, i.e., .
In this way, both matrices and are very sparse, which allows an efficient algorithmic approximation of the diffusion process. Beyond a novel formulation for the similarity measure, the rank information is exploited to identify high similarities positions in sparse matrices. By computing only such positions, a low complexity can be kept for the algorithm, which is one of key characteristics of the proposed approach, discussed in Section 4.
3.2. Pre-Diffusion Rank Normalization
In contrast to most distance/similarity pairwise measures, the rank measures are not symmetric. Even if an image is at top positions of a ranked list , there is no guarantee that is well ranked in . As a result, different values are assigned to symmetric matrix elements, such that , which can negatively affect the retrieval results. In fact, the benefits of improving the symmetry of the k-neighborhood relationship are remarkable in image retrieval applications [].
Therefore, a pre-processing step based on reciprocal ranking information is conducted before the rank diffusion process. The reciprocal rank references have been exploited by other works, usually considering the information of rank position. In our approach the rank similarity measure described in the previous section is used.
The affinity matrix is computed by considering an intermediary size of ranked lists . By slightly abusing the notation, from now on denotes a symmetric version of , i.e., we have
The number of non-zero entries per row in the so normalized matrix is defined in the interval , depending of the size of intersection among references and reciprocal rank references. Based on the normalized matrix , the ranking information is updated through a re-sorting procedure. The ranked lists are re-sorted in descending order of affinity score, according to a stable sorting algorithm. The resultant normalized set of ranked lists is used for the diffusion process, i.e., Equation (2), and consequently, used in next section is computed based on .
We further column-wise normalize matrix to a matrix
where is a small constant to ensure that the sum of each column <1.
3.3. Rank Diffusion with Assured Convergence
To make the graph diffusion process independent from the number of iterations, accumulation of similarity values over iterations is widely used []. For each iteration, the similarity information is diffused through a transition matrix and added to the similarity information diffused in previous steps. We initialize the transition matrix as and define the iterative diffusion as
where is a parameter in the interval (0,1) and is the identity matrix. The accumulation of similarity values is achieved through the addition of the identity matrix as we will see in the next section. The addition of the identity matrix also contributes to convergence of the iterative process in (5).
Given the asymmetry of the affinity matrix , due to column-wise normalization in (4), its transposition is used for considering the multiplication among corresponding rank similarity scores. A non-transposed matrix defines reciprocal rank relationships, which is performed as a post-diffusion step, as discussed in Section 3.5.
3.4. Proof of Convergence
To prove the convergence of the iterative diffusion process in Equation (5), we first consider its simpler variant defined as
where .
Due to the column-wise normalization of the matrix , the sum of each row of . This implies , and consequently,
This proves the convergence of (6) after a sufficient number of iterations. The convergence proof also applies to the diffusion process in Equation (5). We do not use the closed form solution (12) in our experiments, since the matrix inversion is computationally expensive. Both iterative processes accumulate diffused similarity values, and can be viewed as special instances of
where is a graph affinity matrix. Under the assumption that the sum of each row of , which implies that the spectral radius of is smaller than one, (13) converges to a fixed and nontrivial solution given by , which makes independent of the number of iterations.
In contrast, the rank-based diffusion in [] represents the simplest realization of a diffusion process on a graph as it only computes powers of the graph matrix, i.e., the edge weights at time (or iteration) t are given by . Hence, this process is sensitive to the number of iterations []. For example, if the sum of each row of is smaller than one, then it converges to the zero matrix, in which case determining a right stopping time t is critical. To avoid the convergence to zero matrix, a small value of t is used as .
3.5. Post-Diffusion Reciprocal Analysis
Despite of the relevant similarity information encoded in the reciprocal rank references, such information is not considered during the rank diffusion process. More specifically, for two images and , the diffusion step considers the information encoded in the rank similarity of and to another images contained in a shared k-neighborhood. The information about the rank similarity of these images to and is not exploited.
Let be the final number of iterations used in (5). To aggregate the reciprocal analysis over the gains already obtained by the diffusion process, a post-diffusion step is proposed. The result of the rank diffusion process given by matrix is subsequently column normalized according to Equation (4). The post-diffusion step is then computed as
The matrix is squared for analyzing similarity between rows (ranked lists) versus columns (reciprocal references). Due to the asymmetry of rank-based matrices, the multiplication by the tranposition considers similarity between ranked lists, while the reciprocal ranking references are considered without the transposition. In contrast to Equation (5), the multiplication for reciprocal analysis does not consider transposed matrices. The obtained denotes the final result matrix which is used to define the similarity scores and the re-ranked retrieval results denoted by the set of ranked lists .
3.6. Rank Fusion
Several different visual features have been proposed over recent decades aiming to mimic the inherent complexity associated with the visual human perception. However, given the myriad of available features, how to combine them so that their complementarity is well exploited becomes a key question. Our answer is to derive a rank fusion approach embedded in the diffusion process.
Let be a set of visual features. Let be the set of ranked lists computed for a given feature . The rank diffusion is computed for each feature, in order to obtain a re-ranked set . Based on such set of ranked lists, Equation (2) is used to derive a rank similarity matrix, given by , where L denotes the size of ranked lists and i stands for feature . A fused similarity matrix is defined as:
Finally, the fused similarity matrix is used to derive a novel set of ranked lists, which is submitted to the proposed rank diffusion process.
4. Efficiency and Complexity Aspects
In this section, we discuss and present algorithms for efficiently computing the main steps of the proposed method. Inspired by [], the algorithm identifies high similarities values indexed through ranking information according to top-L positions, while discards the remaining information which results in the sparsity of the transition matrix .
Figure 2 illustrates the impact of our approach on the sparsity along iterations. First line depicts the matrix with a constrained top-L diffusion, while the second line considers the whole dataset. In this way, the value of L can be seen as a trade-off parameter between effectiveness and efficiency. As experimentally evaluated in Section 5, the impact of lost information after top-L is not significant, even for relatively small values of L.

Figure 2.
Impact of top-L constrained diffusion on sparsity of the probability matrix (first row) on MPEG-7 dataset: non-zero values represented as black pixels. (a) 2nd it. L = 400, (b) 5th it. L = 400, (c) 10th it. L = 400, (d) 2nd it. L = Full, (e) 5th it. L = Full, (f) 10th it. L = Full.
4.1. Efficient Algorithmic Solutions
For deriving the algorithms, we exploit a neighborhood set , which contains the s most similar images to a given image . The first main step of the method consists in the computation of the affinity matrix and its rank normalization. Algorithm 1 addresses the efficient computation of constrained to top-L rank positions according to Equation (2).
Algorithm 1 Rank Sim. Measure |
|
The efficient rank normalization is presented in Algorithm 2, which is equivalent to Equation (3). Line 2 process aims at considering most of non-zero entries for each row, which can reach . In general, presented algorithms follow the same principle of bounding the processing to the top ranking positions, which are used to discard sparse positions of matrix and .
Algorithm 2 Rank Normalization |
|
The normalization procedures given by Equation (4) are addressed in Algorithm 3. The same algorithm can be used for computing the normalization of matrix before the reciprocal analysis, by using the constant L instead of k.
Algorithm 3 Matrix Normalization |
|
Algorithm 4 presents the proposed approach for computing the rank diffusion, defined by Equation (5). It is the central element of the proposed method, and it is iterated times. An analogous solution can be used to compute the post-diffusion reciprocal analysis, defined in Equation (14).
Algorithm 4 Rank Diffusion |
|
4.2. Complexity Analysis
As discussed before, the diffusion processes typically exhibits an asymptotic complexity of , mainly due to successive matrices multiplications required. It occurs because both relevant and non-relevant similarity information are processed. In contrast, our approach exploits rank information, which allows the algorithms presented in the previous section to compute only relevant similarity scores.
The inputs are ranked lists, which can be computed by employing an efficient k-NN graph construction method with the NN-Descent algorithm [] or other recent approaches [,]. Based on the ranked lists, the sparse affinity matrix can be computed in according to Algorithm 1. Since L is a constant, only the loop in lines 1–5 depend on the number of elements in the dataset.
Algorithms 2 and 3 are also for analogous reasons. All the internal loops are constrained to constants L or k. The sorting step in Algorithm 2 is also performed until a constant L, being for each ranked list and for the whole dataset.
The most computationally expensive step is given by Algorithm 4. However, notice that loops in lines 3–11 and 7–9 are constrained to constants L and k, respectively, keeping the asymptotic complexity of . This algorithm is iterated times, where is also constant. Therefore, we can conclude that all the algorithms can be computed in .
4.3. Regional Diffusion for Unseen Queries
Let be an unseen query image, defined outside of the collection, such that . In fact, such situation represents a classical and common real-world image retrieval scenario. The objective is to efficiently obtain retrieval results re-ranked by the proposed diffusion process. The main idea of our solution is computing a regional diffusion, constrained only to the top-L images of the unseen query ranking.
Firstly, an initial neighborhood set and a corresponding ranked list can be obtained through an efficient k-NN search approach [,,]. The neighborhood set is used to define a sub-collection , such that . Next, the set of pre-computed ranked lists for images in are updated in order to contain only images of the sub-collection, removing the other images. Formally, let be two images of the sub-collection. The updated ranked list is defined as a bijection from the set onto the set . The position of image in the ranked list is defined as:
Once the ranked lists are updated, the Rank Diffusion Process is executed for the sub-collection in order to obtain the re-ranked retrieval results for the unseen query. As all the procedures are constrained to L, the time complexity is . As discussed in experimental section, the results can be obtained in on-line time without significant effectiveness losses in comparison to the global diffusion, defined for the whole collection.
5. Experimental Evaluation
This section discusses the comprehensive experimental evaluation conducted in order to assess the effectiveness of the proposed method.
5.1. Experimental Protocol and Implementation Aspects
For image retrieval, the proposed method was evaluated on 6 diversified public datasets, ranging from 280 to 72,000 images. Different features were considered, including global (shape, color, and texture), local, mid-level representations and convolutional neural network-based features. Table 1 presents the datasets and the features used for each dataset.

Table 1.
Image datasets and features used in the experimental evaluation.
All images are considered as query images, except for the Holidays [] dataset, where we use 500 queries for comparison purposes. The effectiveness measure considered for most of experiments is the Mean Average Precision (MAP), but other measures are also considered according to the specific protocol of some datasets: the Recall at 40 (bull’s eye score) for MPEG-7 [] dataset. For the most of experiments we also report the relative gains obtained, which is defined as follows: let , be the effectiveness measures respectively before and after the use of the method, the relative gain is defined as .
Regarding implementation aspects, the proposed method was developed in C++ language under the UDLF framework []. The framework provides a software environment to easily implement, use, and evaluate unsupervised post-processing methods. The source-code is publicly available on GitHub https://github.com/UDLF/UDLF/ (accessed on 5 March 2021), under the terms of the GPLv2 license, allowing free access and possibility of sharing the code.
5.2. Parametric Space Analysis
This section discusses the impact of parameters on the retrieval results. The parameters considered are: , k, , p, , and L. The number of iterations is given by . However, in all experiments we define = k. Therefore, k is the most relevant parameter since it defines both the size of neighborhood and number of iterations. The weight of identity matrix is defined by . The probability parameter for the rank similarity measure is given by p, which can assume a different value during the rank normalization step. The size of ranked lists is defined by L.
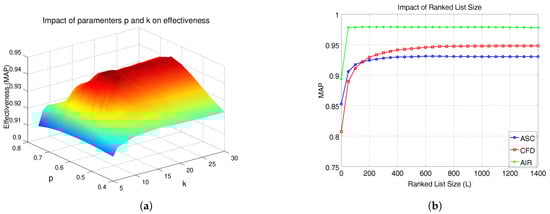
Experiments were conducted to analyze the impact of parameters on effectiveness. We consider the MPEG-7 with CFD as shape descriptor. Firstly, we analyzed the impact of k and p on MAP scores. Figure 3a illustrates the results. We can observe a smooth surface, which indicates the robustness of the method to different parameter settings.

Figure 3.
Parametric space analysis: impact of parameters p, k, and L on effectiveness. (a) Impact of parameters p and k. (b) Impact of ranked lists size L.
The parameter L, which defines a trade-off between effectiveness and efficiency was also evaluated. Figure 3b presents the results for three shape descriptors: CFD, ASC, and AIR. We can observe that most of the effectiveness gains are obtained for small values of L. Based on the analysis, we defined the parameters (k = 15, = 0.95, p = 0.60, = 0.99, L = 400), which are used for most of experiments. For the Holidays dataset, which presents a very small number of images per class, we used k = 4, p = 0.25, =0.75, and L = 200. For the ALOI and the Person Re-ID datasets, which are larger collections, we used L = 1000.
5.3. General Image Retrieval Results
The effectiveness results obtained by our method are discussed in this section. Table 2 presents the results for shape, color, and texture features on datasets MPEG-7, Soccer, and Brodatz. The most effective results for each dataset are highlighted in bold. We can observe very significant gains, ranging from +7.17% to +35.17%.

Table 2.
Retrieval results on general image retrieval tasks.
Natural image retrieval tasks were evaluated on datasets Corel5K and Holidays. The results are presented in Table 3 and Table 4. Very impressive gains can be observed, especially on Corel5K. The best features reached a MAP score of 28.07%, while our method reached 39.45% for a single feature and 56% in a rank fusion task.

Table 3.
Results on the Corel5K [] dataset.

Table 4.
Results on the Holidays [].
Table 5 presents the results on the ALOI dataset. Our method also achieved high-effectiveness gains, even using a small value of L in comparison with the size of the dataset. The retrieval results based on CNN-RESNET features were improved from 79.49% to 91.31%. We also evaluated our results for the unseen query scenarios for ALOI, which is the largest dataset considered in the experimental evaluation. Table 6 presents the MAP results for 500 randomly selected queries, one from each class. Notice that the unseen queries execution achieved results close to the full execution for all the cases.

Table 5.
Results on the ALOI [] dataset.

Table 6.
Results on ALOI [] for unseen queries.
5.4. Person Re-ID Results
The proposed method is also evaluated on Person Re-ID tasks. Table 7 presents information about the considered datasets, with up to 36,411 different person bounding boxes. Both are publicly available and commonly used in the literature. The MAP is reported following the protocol proposed by the dataset authors [,]. All the results consider the single-shot (single-query) analyzes, where only one probe image is provided per query. In the evaluation, gallery images are ranked in comparison to the probe images. Gallery images that are of the same view/cam of the probe are excluded. The training images are considered for diffusion, but their labels are not used in any of the steps.

Table 7.
Person Re-ID datasets considered in the experimental evaluation.
Table 8 and Table 9 present the results for the datasets Market1501 and DukeMTMC, respectively. The CNNs (Convolutional Neural Networks) were trained on MSMT17 [] and employed considering the pre-trained weights provided by Torchreid [] https://kaiyangzhou.github.io/deep-person-reid/MODEL_ZOO.html (accessed on 5 March 2021). Notice that we achieved significant MAP values in all the cases, with gains up to +55.89%.

Table 8.
Results on the Market1501 [] dataset.

Table 9.
Results on the DukeMTMC [] dataset.
5.5. Visual Analysis
This section presents a visual analysis of results achieved by the proposed method. The positive impact on effectiveness is illustrated through retrieval results before and after the use of the method. Figure 4 shows the results on the MPEG-7 dataset and CFD feature considering three different queries. The effectiveness gains obtained are remarkable: the precision at top-20 positions increases from between 20% and 30% to 100% in all 3 cases. Figure 5 illustrates retrieval results for ALOI dataset. Even for a much larger dataset, very significant effectiveness gains can be observed at top ranking positions.

Figure 4.
Visual retrieval results obtained on the MPEG-7 dataset.

Figure 5.
Visual retrieval results obtained on the ALOI dataset.
The positive impact can also be observed on person re-ID tasks. Figure 6 shows the ranked lists for two queries on DukeMTMC dataset. The results correspond to the OSNET-AIN feature, before and after our approach was applied. The query images are presented with green borders and the incorrect results with red borders. The obtained improvements are very significant and easily noticeable.

Figure 6.
Two visual examples on DukeMTMC showing the impact of our approach.
5.6. Efficiency Evaluation
Section 4 presents a theoretical analysis of efficiency aspects, in which we discuss that the proposed method requires time complexity of while diffusion approaches typically have an asymptotic complexity of . This section presents an efficiency evaluation considering the execution time of the proposed approach in comparison with other recent rank-based methods.
The comparison was performed under a common computational environment and implementation aspects. All the methods are implemented under the UDLF framework [], using default parameter settings defined in the framework (Once default parameters were considered, it was not possible to execute RL-Sim algorithm on ALOI dataset. It is defined to use full ranked lists, such that , which requires unfeasible memory amounts.). The hardware environment is composed of an Intel(R) Xeon(R) Silver 4108 CPU @ 1.80 GHz, 128 GB of memory and the software environment is given by the operating system Linux 5.8.0-44-generic-Ubuntu 20.04.1. Table 10 presents the execution time per query obtained on different datasets, considering an average of 5 executions. The efficiency results demonstrate that the proposed method is faster or comparable to the related rank-based approaches.

Table 10.
Execution time per query (in milliseconds) for different methods and datasets.
5.7. Comparison with Other Approaches
The proposed method is compared with diverse state-of-the-art related methods on two datasets commonly used as benchmark for image retrieval: MPEG-7 [] and Holidays []. Table 11 reports the results on the MPEG-7 [] in comparison with other various other post-processing methods. The bull’s eye score, which counts similar images within the top-40 rank positions, is used as effectiveness measure. Table 12 presents the MAP scores obtained on the Holidays [] dataset, in comparison with state-of-the-art retrieval methods. On both datasets, the proposed method achieves high-effective results compared with related methods.

Table 11.
Comparison with other post-processing methods on the MPEG-7 [] dataset.

Table 12.
Comparison with retrieval approaches on the Holidays [] dataset.
Our results were compared with the most recent state-of-the-art person re-ID methods. The comparison is presented in Table 13. We report the best results obtained by our method (re-ranking of OSNET-AIN). The abbreviations in parentheses indicate the datasets used for training (C02 = CUHK02, C03 = CUHK03, M = Market1501, D = DukeMTMC, MT = MSMT17). For example, the use of (D,M) indicates that it was trained on DukeMTMC (source) and tested on Market1501 (target) or the opposite. Methods that consider the target dataset labels for training are not included, since we intend to keep the comparison fair with our protocol, which is unsupervised. Notice that we achieved the highest mean among all methods, best MAP on DukeMTMC, and the second best on Market1501 (only behind ISSDA []).

Table 13.
Comparison with state-of-the-art Person Re-ID methods-MAP (%).
6. Conclusions
In this work, we introduce a rank diffusion process for post-processing tasks in image retrieval scenarios. The proposed method embraces key advantages from both diffusion and ranked-based approaches, while avoiding most of their disadvantages. Formally defined as a diffusion process, the method is proved to converge, different from most of rank-based approaches. In addition, the method can be computed by low-complexity algorithms, in contrast to most diffusion methods. An extensive experimental evaluation demonstrates that significant effectiveness gains can be achieved on different retrieval tasks, considering various datasets and several visual features, evidencing the capacity of improving the retrieval results.
Concerning limitations, a relevant requirement of the proposed method consists of the need for computing the set of ranked lists for the images. Brute force strategies for computing the ranked lists can be unfeasible, especially for large-scale datasets. In this scenario, the use of the proposed method is limited to efficient approaches for obtaining the initial ranking results. Indexing and hashing approaches have been exploited for this objective. In our experimental evaluation, indexing approaches were used for larger datasets.
As future work, we intend to investigate if other diffusion methods for image retrieval can be efficiently computed by exploiting the proposed approach. In addition, we also intend to investigate the application of the proposed approach in other scenarios, which require efficient computation of successive multiplication matrix procedures, similar to diffusion processes.
Author Contributions
Conceptualization, D.C.G.P. and L.J.L.; Methodology, D.C.G.P. and L.J.L.; Software, D.C.G.P. and L.P.V.; Validation, L.P.V. and D.C.G.P.; Formal Analysis, L.J.L.; Investigation, D.C.G.P.; Data Curation, L.P.V.; Writing-Original Draft Preparation, D.C.G.P. and L.P.V.; Writing-Review Editing, L.J.L.; Visualization, L.P.V.; Supervision, L.J.L.; Funding Acquisition, D.C.G.P. and L.J.L. All authors have read and agreed to the published version of the manuscript.
Funding
Reported in acknowledgments.
Data Availability Statement
Public datasets and code used are properly referenced along with the paper.
Acknowledgments
The authors are grateful to Fulbright Commission, São Paulo Research Foundation-FAPESP (grants #2018/15597-6, #2017/25908-6, and #2020/11366-0), Brazilian National Council for Scientific and Technological Development-CNPq (grants #308194/2017-9 and #309439/2020-5), and Microsoft Research for financial support. This work was also partly supported by the National Science Foundation Grant No. IIS-1814745.
Conflicts of Interest
The authors declare no conflict of interest.
References
- Liu, Y.; Zhang, D.; Lu, G.; Ma, W.Y. A survey of content-based image retrieval with high-level semantics. Pattern Recognit. 2007, 40, 262–282. [Google Scholar] [CrossRef]
- Bai, S.; Bai, X.; Tian, Q.; Latecki, L.J. Regularized Diffusion Process on Bidirectional Context for Object Retrieval. IEEE Trans. Pattern Anal. Mach. Intell. 2019, 41, 1213–1226. [Google Scholar] [CrossRef]
- Bai, X.; Yang, X.; Latecki, L.J.; Liu, W.; Tu, Z. Learning Context-Sensitive Shape Similarity by Graph Transduction. IEEE Trans. Pattern Anal. Mach. Intell. 2010, 32, 861–874. [Google Scholar]
- Yang, X.; Prasad, L.; Latecki, L. Affinity Learning with Diffusion on Tensor Product Graph. IEEE Trans. Pattern Anal. Mach. Intell. 2013, 35, 28–38. [Google Scholar] [CrossRef] [PubMed]
- Donoser, M.; Bischof, H. Diffusion Processes for Retrieval Revisited. In Proceedings of the 2013 IEEE Conference on Computer Vision and Pattern Recognition, Portland, OR, USA, 23–28 June 2013; pp. 1320–1327. [Google Scholar]
- Pedronette, D.C.G.; Torres, R.d.S. Image Re-Ranking and Rank Aggregation based on Similarity of Ranked Lists. Pattern Recognition 2013, 46, 2350–2360. [Google Scholar] [CrossRef]
- Jiang, J.; Wang, B.; Tu, Z. Unsupervised Metric Learning by Self-Smoothing Operator. In Proceedings of the 2011 International Conference on Computer Vision, Barcelona, Spain, 6–13 November 2011; pp. 794–801. [Google Scholar]
- Yang, X.; Koknar-Tezel, S.; Latecki, L.J. Locally Constrained Diffusion Process on Locally Densified Distance Spaces with Applications to Shape Retrieval. In Proceedings of the 2009 IEEE Conference on Computer Vision and Pattern Recogniti, Miami, FL, USA, 20–25 June 2009; pp. 357–364. [Google Scholar]
- Chen, Y.; Li, X.; Dick, A.; Hill, R. Ranking consistency for image matching and object retrieval. Pattern Recognit. 2014, 47, 1349–1360. [Google Scholar] [CrossRef]
- Qin, D.; Gammeter, S.; Bossard, L.; Quack, T.; van Gool, L. Hello Neighbor: Accurate Object Retrieval with k-Reciprocal Nearest Neighbors. In Proceedings of the CVPR 2011, Colorado Springs, CO, USA, 20–25 June 2011; pp. 777–784. [Google Scholar]
- Bai, S.; Bai, X. Sparse Contextual Activation for Efficient Visual Re-Ranking. IEEE Trans. Image Process. 2016, 25, 1056–1069. [Google Scholar] [CrossRef]
- Pedronette, D.C.G.; Gonçalves, F.M.F.; Guilherme, I.R. Unsupervised manifold learning through reciprocal kNN graph and Connected Components for image retrieval tasks. Pattern Recognit. 2018, 75, 161–174. [Google Scholar] [CrossRef]
- Pedronette, D.C.G.; Torres, R.d.S. Exploiting pairwise recommendation and clustering strategies for image re-ranking. Inf. Sci. 2012, 207, 19–34. [Google Scholar] [CrossRef]
- Pedronette, D.C.G.; Almeida, J.; Torres, R.D.S. A Scalable Re-Ranking Method for Content-Based Image Retrieval. Inf. Sci. 2014, 265, 91–104. [Google Scholar] [CrossRef]
- Yang, F.; Hinami, R.; Matsui, Y.; Ly, S.; Satoh, S. Efficient Image Retrieval via Decoupling Diffusion into Online and Offline Processing. In Proceedings of the Thirty-Third Conference on Artificial Intelligence, AAAI, Honolulu, HI, USA, 27 January–1 February 2019; pp. 9087–9094. [Google Scholar]
- Iscen, A.; Tolias, G.; Avrithis, Y.; Furon, T.; Chum, O. Efficient Diffusion on Region Manifolds: Recovering Small Objects with Compact CNN Representations. In Proceedings of the 2017 IEEE Conference on Computer Vision and Pattern Recognition, CVPR, Honolulu, HI, USA, 21–26 July 2017; pp. 926–935. [Google Scholar]
- Pedronette, D.C.G.; Torres, R.D.S. Unsupervised rank diffusion for content-based image retrieval. Neurocomputing 2017, 260, 478–489. [Google Scholar] [CrossRef]
- Zhou, D.; Weston, J.; Gretton, A.; Bousquet, O.; Schölkopf, B. Ranking on Data Manifolds. In Proceedings of the Advances in Neural Information Processing Systems (NIPS’2004), Cambridge, MA, USA, June 2004; pp. 169–176. [Google Scholar]
- Peserico, E.; Pretto, L. What does it mean to converge in rank. In Proceedings of the 1st International Conference on Theory and Practice of Electronic Governance, ICEGOV 2007, Macao, China, 10–13 December 2007. [Google Scholar]
- Stickler, B.A.; Schachinger, E. The Random Walk and Diffusion Theory. In Basic Concepts in Computational Physics; Springer: Berlin, Germany, 2016; pp. 271–295. [Google Scholar]
- Delvinioti, A.; Jégou, H.; Amsaleg, L.; Houle, M.E. Image retrieval with reciprocal and shared nearest neighbors. In Proceedings of the 2014 International Conference on Computer Vision Theory and Applications (VISAPP), Lisbon, Portugal, 5–8 January 2014; Volume 2, pp. 321–328. [Google Scholar]
- Pedronette, D.C.G.; Penatti, R.T.C.O.A.B.; Torres, R.D.S. Unsupervised Distance Learning By Reciprocal kNN Distance for Image Retrieval. In Proceedings of the International Conference on Multimedia Retrieval (ICMR’14), Glasgow, UK, 1–4 April 2014. [Google Scholar]
- Bai, X.; Bai, S.; Wang, X. Beyond diffusion process: Neighbor set similarity for fast re-ranking. Inf. Sci. 2015, 325, 342–354. [Google Scholar] [CrossRef]
- Pedronette, D.C.G.; Almeida, J.; Torres, R.D.S. A graph-based ranked-list model for unsupervised distance learning on shape retrieval. Pattern Recognit. Lett. 2016, 83, 357–367. [Google Scholar] [CrossRef]
- Pedronette, D.C.G.; Torres, R.D.S. A correlation graph approach for unsupervised manifold learning in image retrieval tasks. Neurocomputing 2016, 208, 66–79. [Google Scholar] [CrossRef]
- Pedronette, D.C.G.; Valem, L.P.; Almeida, J.; da Silva Torres, R. Multimedia Retrieval Through Unsupervised Hypergraph-Based Manifold Ranking. IEEE Trans. Image Process. 2019, 28, 5824–5838. [Google Scholar] [CrossRef] [PubMed]
- Webber, W.; Moffat, A.; Zobel, J. A similarity measure for indefinite rankings. ACM Trans. Inf. Syst. 2010, 28, 20:1–20:38. [Google Scholar] [CrossRef]
- Jegou, H.; Schmid, C.; Harzallah, H.; Verbeek, J. Accurate Image Search Using the Contextual Dissimilarity Measure. PAMI 2010, 32, 2–11. [Google Scholar] [CrossRef] [PubMed]
- Coifman, R.; Lafon, S. Diffusion maps. Appl. Comput. Harmon. Anal. 2006, 21, 5–30. [Google Scholar] [CrossRef]
- Dong, W.; Charikar, M.; Li, K. Efficient k-nearest neighbor graph construction for generic similarity measures. In Proceedings of the 20th International Conference on World Wide Web, WWW 2011, Hyderabad, India, 28 March–1 April 2011. [Google Scholar]
- Hyvonen, V.; Pitkanen, T.; Tasoulis, S.; Jääsaari, E.; Tuomainen, R.; Wang, L.; Corander, J.; Roos, T. Fast nearest neighbor search through sparse random projections and voting. In Proceedings of the 2016 IEEE International Conference on Big Data (Big Data), Washington, DC, USA, 5–8 December 2016; pp. 881–888. [Google Scholar]
- Fu, C.; Cai, D. EFANNA: An Extremely Fast Approximate Nearest Neighbor Search Algorithm Based on kNN Graph. arXiv 2016, arXiv:1609.07228. [Google Scholar]
- van de Weijer, J.; Schmid, C. Coloring Local Feature Extraction. In Proceedings of the Computer Vision-ECCV 2006, 9th European Conference on Computer Vision, Graz, Austria, 7–13 May 2006; pp. 334–348. [Google Scholar]
- Huang, J.; Kumar, S.R.; Mitra, M.; Zhu, W.J.; Zabih, R. Image Indexing Using Color Correlograms. In Proceedings of the IEEE Computer Society Conference on Computer Vision and Pattern Recognition, San Juan, PR, USA, 17–19 June 1997; pp. 762–768. [Google Scholar]
- Stehling, R.O.; Nascimento, M.A.; Falcão, A.X. A compact and efficient image retrieval approach based on border/interior pixel classification. In Proceedings of the Eleventh International Conference CIKM, McLean, VA, USA, 4–9 November 2002; pp. 102–109. [Google Scholar]
- Swain, M.J.; Ballard, D.H. Color indexing. Int. J. Comput. Vis. 1991, 7, 11–32. [Google Scholar] [CrossRef]
- Latecki, L.J.; Lakmper, R.; Eckhardt, U. Shape Descriptors for Non-rigid Shapes with a Single Closed Contour. In Proceedings of the IEEE Conference on Computer Vision and Pattern Recognition. CVPR 2000 (Cat. No.PR00662), Hilton Head, SC, USA, 15 June 2000; pp. 424–429. [Google Scholar]
- Gopalan, R.; Turaga, P.; Chellappa, R. Articulation-invariant representation of non-planar shapes. In Proceedings of the Computer Vision-ECCV 2010, 11th European Conference on Computer Vision, Heraklion, Crete, Greece, 5–11 September 2010; Volume 3, pp. 286–299. [Google Scholar]
- Ling, H.; Yang, X.; Latecki, L.J. Balancing Deformability and Discriminability for Shape Matching. In Proceedings of the Computer Vision-ECCV 2010, 11th European Conference on Computer Vision, Heraklion, Crete, Greece, 5–11 September 2010; Volume 3, pp. 411–424. [Google Scholar]
- Arica, N.; Vural, F.T.Y. BAS: A perceptual shape descriptor based on the beam angle statistics. Pattern Recognit. Lett. 2003, 24, 1627–1639. [Google Scholar] [CrossRef]
- Pedronette, D.C.G.; Torres, R.d.S. Shape Retrieval using Contour Features and Distance Optmization. In Proceedings of the VISAPP 2010-Fifth International Conference on Computer Vision Theory and Applications, Angers, France, 17–21 May 2010; Volume 1, pp. 197–202. [Google Scholar]
- Ling, H.; Jacobs, D.W. Shape Classification Using the Inner-Distance. PAMI 2007, 29, 286–299. [Google Scholar] [CrossRef] [PubMed]
- Torres, R.d.S.; Falcão, A.X. Contour Salience Descriptors for Effective Image Retrieval and Analysis. Image Vis. Comput. 2007, 25, 3–13. [Google Scholar] [CrossRef]
- Jegou, H.; Douze, M.; Schmid, C. Hamming Embedding and Weak Geometric Consistency for Large Scale Image Search. In Proceedings of the ECCV ’08 European Conference on Computer Vision, Marseille, France, 12–18 October 2008; pp. 304–317. [Google Scholar]
- Chatzichristofis, S.A.; Boutalis, Y.S. CEDD: Color and edge directivity descriptor: A compact descriptor for image indexing and retrieval. In Proceedings of the Computer Vision Systems, 6th International Conference, ICVS 2008, Santorini, Greece, 12–15 May 2008; pp. 312–322. [Google Scholar]
- Lux, M. Content Based Image Retrieval with LIRe. In Proceedings of the MM ’11 19th ACM International Conference on Multimedia, Scottsdale, AZ, USA, 28 November–1 December 2011. [Google Scholar]
- Mopuri, K.R.; Babu, R.V. Object level deep feature pooling for compact image representation. In Proceedings of the 2015 IEEE Conference on Computer Vision and Pattern Recognition Workshops (CVPRW), Boston, MA, USA, 7–12 June 2015; pp. 62–70. [Google Scholar]
- Razavian, A.S.; Azizpour, H.; Sullivan, J.; Carlsson, S. CNN Features off-the-shelf: An Astounding Baseline for Recognition. In Proceedings of the IEEE Conference on Computer Vision and Pattern Recognition Workshops (CVPRW’14), Columbus, OH, USA, 23–28 June 2014; pp. 512–519. [Google Scholar]
- Brodatz, P. Textures: A Photographic Album for Artists and Designers; Dover: New York, NY, USA, 1966. [Google Scholar]
- Kovalev, V.; Volmer, S. Color Co-occurence Descriptors for Querying-by-Example. In Proceedings of the 1998 MultiMedia Modeling. MMM’98 (Cat. No.98EX200), Lausanne, Switzerland, 12–15 October 1998; p. 32. [Google Scholar]
- Tao, B.; Dickinson, B.W. Texture Recognition and Image Retrieval Using Gradient Indexing. JVCIR 2000, 11, 327–342. [Google Scholar] [CrossRef]
- Ojala, T.; Pietikäinen, M.; Mäenpää, T. Multiresolution Gray-Scale and Rotation Invariant Texture Classification with Local Binary Patterns. PAMI 2002, 24, 971–987. [Google Scholar] [CrossRef]
- Content-based image retrieval using color difference histogram. Pattern Recognit. 2013, 46, 188–198. [CrossRef]
- Jia, Y.; Shelhamer, E.; Donahue, J.; Karayev, S.; Long, J.; Girshick, R.; Guadarrama, S.; Darrell, T. Caffe: Convolutional Architecture for Fast Feature Embedding. arXiv 2014, arXiv:1408.5093C. [Google Scholar]
- Chatzichristofis, S.A.; Boutalis, Y.S. FCTH: Fuzzy Color and Texture Histogram—A Low Level Feature for Accurate Image Retrieval. In Proceedings of the 2008 Ninth International Workshop on Image Analysis for Multimedia Interactive Services, Klagenfurt, Austria, 7–9 May 2008; pp. 191–196. [Google Scholar]
- Geusebroek, J.M.; Burghouts, G.J.; Smeulders, A.W.M. The Amsterdam Library of Object Images. Int. J. Comput. Vis. 2005, 61, 103–112. [Google Scholar] [CrossRef]
- Pass, G.; Zabih, R.; Miller, J. Comparing Images Using Color Coherence Vectors. In Proceedings of the fourth ACM international conference on Multimedia, ACM-MM, Boston, MA, USA, November 1996; pp. 65–73. [Google Scholar]
- Lu, H.; Ooi, B.; Tan, K. Efficient Image Retrieval By Color Contents. In International Conference on Applications of Databases; Springer: Berlin, Germnay, 1994; pp. 95–108. [Google Scholar]
- He, K.; Zhang, X.; Ren, S.; Sun, J. Deep Residual Learning for Image Recognition. In Proceedings of the 2016 IEEE Conference on Computer Vision and Pattern Recognition (CVPR), Las Vegas, NV, USA, 27–30 June 2016; pp. 770–778. [Google Scholar]
- Liu, S.; Deng, W. Very deep convolutional neural network based image classification using small training sample size. In Proceedings of the 2015 3rd IAPR Asian Conference on Pattern Recognition (ACPR), Kuala Lumpur, Malaysia, 3–6 November 2015; pp. 730–734. [Google Scholar]
- Valem, L.P.; Pedronette, D.C.G.a. An Unsupervised Distance Learning Framework for Multimedia Retrieval. In Proceedings of the ICMR’17 ACM on International Conference on Multimedia Retrieval, Bucharest, Romania, 6–9 June 2017; pp. 107–111. [Google Scholar]
- Zheng, L.; Shen, L.; Tian, L.; Wang, S.; Wang, J.; Tian, Q. Scalable Person Re-identification: A Benchmark. In Proceedings of the 2015 IEEE International Conference on Computer Vision (ICCV), Santiago, Chile, 7–13 December 2015; pp. 1116–1124. [Google Scholar]
- Zheng, Z.; Zheng, L.; Yang, Y. Unlabeled Samples Generated by GAN Improve the Person Re-identification Baseline in vitro. In Proceedings of the IEEE International Conference on Computer Vision, Venice, Italy, 22–29 October 2017; pp. 3754–3762. [Google Scholar]
- Wei, L.; Zhang, S.; Gao, W.; Tian, Q. Person Transfer GAN to Bridge Domain Gap for Person Re-identification. In Proceedings of the 2018 IEEE/CVF Conference on Computer Vision and Pattern Recognition, Salt Lake City, UT, USA, 18–23 June 2018; pp. 79–88. [Google Scholar]
- Zhou, K.; Xiang, T. Torchreid: A Library for Deep Learning Person Re-Identification in Pytorch. arXiv 2019, arXiv:1910.10093. [Google Scholar]
- Chang, X.; Hospedales, T.M.; Xiang, T. Multi-Level Factorisation Net for Person Re-Identification. In Proceedings of the IEEE Conference on Computer Vision and Pattern Recognition (CVPR), Salt Lake City, UT, USA, 18–22 June 2018. [Google Scholar]
- Li, W.; Zhu, X.; Gong, S. Harmonious Attention Network for Person Re-Identification. In Proceedings of the IEEE Conference on Computer Vision and Pattern Recognition (CVPR), Salt Lake City, UT, USA, 18–22 June 2018. [Google Scholar]
- Zhou, K.; Yang, Y.; Cavallaro, A.; Xiang, T. Omni-Scale Feature Learning for Person Re-Identification. In Proceedings of the IEEE International Conference on Computer Vision (ICCV), Seoul, Korea, 27 October– 2 November 2019. [Google Scholar]
- Zhou, K.; Yang, Y.; Cavallaro, A.; Xiang, T. Learning Generalisable Omni-Scale Representations for Person Re-Identification. arXiv 2019, arXiv:1910.06827. [Google Scholar]
- A BFS-Tree of ranking references for unsupervised manifold learning. Pattern Recognit. 2021, 111, 107666. [CrossRef]
- Yang, X.; Bai, X.; Latecki, L.J.; Tu, Z. Improving Shape Retrieval by Learning Graph Transduction. In Proceedings of the Computer Vision-ECCV 2008, 10th European Conference on Computer Vision, Marseille, France, 12–18 October 2008; Volume 4, pp. 788–801. [Google Scholar]
- Wang, J.; Li, Y.; Bai, X.; Zhang, Y.; Wang, C.; Tang, N. Learning context-sensitive similarity by shortest path propagation. Pattern Recognit. 2011, 44, 2367–2374. [Google Scholar] [CrossRef]
- Pedronette, D.C.G.; Torres, R.D.S. Unsupervised Manifold Learning By Correlation Graph and Strongly Connected Components for Image Retrieval. In Proceedings of the 2014 IEEE International Conference on Image Processing (ICIP), Paris, France, 27–30 October 2014. [Google Scholar]
- Tolias, G.; Avrithis, Y.; Jégou, H. To Aggregate or Not to aggregate: Selective Match Kernels for Image Search. In Proceedings of the IEEE International Conference on Computer Vision (ICCV’2013), Sydney, Australia, 1–8 December 2013; pp. 1401–1408. [Google Scholar]
- Paulin, M.; Mairal, J.; Douze, M.; Harchaoui, Z.; Perronnin, F.; Schmid, C. Convolutional Patch Representations for Image Retrieval: An Unsupervised Approach. Int. J. Comput. Vis. 2017, 121, 149–168. [Google Scholar] [CrossRef]
- Qin, D.; Wengert, C.; Gool, L.V. Query Adaptive Similarity for Large Scale Object Retrieval. In Proceedings of the IEEE Conference on Computer Vision and Pattern Recognition (CVPR’2013), Portland, OR, USA, 23–28 June 2013; pp. 1610–1617. [Google Scholar]
- Zheng, L.; Wang, S.; Tian, Q. Coupled Binary Embedding for Large-Scale Image Retrieval. IEEE Trans. Image Process. (TIP) 2014, 23, 3368–3380. [Google Scholar] [CrossRef]
- Sun, S.; Li, Y.; Zhou, W.; Tian, Q.; Li, H. Local residual similarity for image re-ranking. Inf. Sci. 2017, 417, 143–153. [Google Scholar] [CrossRef]
- Zheng, L.; Wang, S.; Liu, Z.; Tian, Q. Packing and Padding: Coupled Multi-index for Accurate Image Retrieval. In Proceedings of the IEEE Conference on Computer Vision and Pattern Recognition (CVPR’2014), Columbus, OH, USA, 24–27 June 2014; pp. 1947–1954. [Google Scholar]
- Iscen, A.; Tolias, G.; Avrithis, Y.S.; Chum, O. Mining on Manifolds: Metric Learning without Labels. In Proceedings of the IEEE International Conference on Computer Vision and Pattern Recognition (CVPR’2018), Salt Lake City, UT, USA, 18–22 June 2018. [Google Scholar]
- Li, X.; Larson, M.; Hanjalic, A. Pairwise geometric matching for large-scale object retrieval. In Proceedings of the IEEE Conference on Computer Vision and Pattern Recognition (CVPR’2015), Boston, MA, USA, 7–12 June 2015; pp. 5153–5161. [Google Scholar]
- Liu, Z.; Wang, S.; Zheng, L.; Tian, Q. Robust ImageGraph: Rank-Level Feature Fusion for Image Search. IEEE Trans. Image Process. 2017, 26, 3128–3141. [Google Scholar] [CrossRef]
- Tang, H.; Zhao, Y.; Lu, H. Unsupervised Person Re-Identification With Iterative Self-Supervised Domain Adaptation. In Proceedings of the IEEE Conference on Computer Vision and Pattern Recognition (CVPR) Workshops, Long Beach, CA, USA, 16–17 June 2019. [Google Scholar]
- Li, Y.J.; Yang, F.E.; Liu, Y.C.; Yeh, Y.Y.; Du, X.; Frank Wang, Y.C. Adaptation and Re-Identification Network: An Unsupervised Deep Transfer Learning Approach to Person Re-Identification. In Proceedings of the IEEE Conference on Computer Vision and Pattern Recognition (CVPR) Workshops, Salt Lake City, UT, USA, 18–22 June 2018. [Google Scholar]
- Huang, H.; Yang, W.; Chen, X.; Zhao, X.; Huang, K.; Lin, J.; Huang, G.; Du, D. EANet: Enhancing Alignment for Cross-Domain Person Re-identification. arXiv 2018, arXiv:1812.11369. [Google Scholar]
- Zhong, Z.; Zheng, L.; Luo, Z.; Li, S.; Yang, Y. Invariance Matters: Exemplar Memory for Domain Adaptive Person Re-identification. In Proceedings of the IEEE Conference on Computer Vision and Pattern Recognition (CVPR), Long Beach, CA, USA, 16–20 June 2019. [Google Scholar]
- Yu, H.X.; Zheng, W.S.; Wu, A.; Guo, X.; Gong, S.; Lai, J.H. Unsupervised Person Re-Identification by Soft Multilabel Learning. In Proceedings of the IEEE Conference on Computer Vision and Pattern Recognition (CVPR), Long Beach, CA, USA, 16–20 June 2019. [Google Scholar]
- Li, M.; Zhu, X.; Gong, S. Unsupervised person re-identification by deep learning tracklet association. In Proceedings of the European Conference on Computer Vision (ECCV), Munich, Germany, 8–14 September 2018; pp. 737–753. [Google Scholar]
- Li, M.; Zhu, X.; Gong, S. Unsupervised Tracklet Person Re-Identification. IEEE Trans. Pattern Anal. Mach. Intell. 2019, 42, 1770–1782. [Google Scholar] [CrossRef] [PubMed]
- Zhong, Z.; Zheng, L.; Li, S.; Yang, Y. Generalizing A Person Retrieval Model Hetero- and Homogeneously. In Proceedings of the European Conference on Computer Vision (ECCV), Munich, Germany, 8–14 September 2018. [Google Scholar]
- Liu, J.; Zha, Z.J.; Chen, D.; Hong, R.; Wang, M. Adaptive Transfer Network for Cross-Domain Person Re-Identification. In Proceedings of the IEEE Conference on Computer Vision and Pattern Recognition (CVPR), Long Beach, CA, USA, 16–20 June 2019. [Google Scholar]
- Ren, C.; Liang, B.; Lei, Z. Domain Adaptive Person Re-Identification via Camera Style Generation and Label Propagation. arXiv 2019, arXiv:1905.05382. [Google Scholar] [CrossRef]
- Deng, W.; Zheng, L.; Ye, Q.; Kang, G.; Yang, Y.; Jiao, J. Image-Image Domain Adaptation with Preserved Self-Similarity and Domain-Dissimilarity for Person Re-identification. In Proceedings of the 2018 IEEE/CVF Conference on Computer Vision and Pattern Recognition (CVPR), Salt Lake City, UT, USA, 18–22 June 2018. [Google Scholar]
- Huang, Y.; Peng, P.; Jin, Y.; Xing, J.; Lang, C.; Feng, S. Domain Adaptive Attention Model for Unsupervised Cross-Domain Person Re-Identification. arXiv 2019, arXiv:1905.10529. [Google Scholar]
- Liu, H.; Cheng, J.; Wang, S.; Wang, W. Attention: A Big Surprise for Cross-Domain Person Re-Identification. arXiv 2019, arXiv:1905.12830. [Google Scholar]
- Yang, Q.; Yu, H.X.; Wu, A.; Zheng, W.S. Patch-Based Discriminative Feature Learning for Unsupervised Person Re-Identification. In Proceedings of the IEEE Conference on Computer Vision and Pattern Recognition (CVPR), Long Beach, CA, USA, 15–20 June 2019. [Google Scholar]
- Xian, Y.; Hu, H. Enhanced multi-dataset transfer learning method for unsupervised person re-identification using co-training strategy. IET Comput. Vis. 2018, 12, 1219–1227. [Google Scholar] [CrossRef]
- Yu, H.X.; Wu, A.; Zheng, W.S. Cross-View Asymmetric Metric Learning for Unsupervised Person Re-Identification. In Proceedings of the IEEE International Conference on Computer Vision (ICCV), Venice, Italy, 22–29 October 2017. [Google Scholar]
- Kumar, D.; Siva, P.; Marchwica, P.; Wong, A. Fairest of Them All: Establishing a Strong Baseline for Cross-Domain Person ReID. arXiv 2019, arXiv:1907.12016. [Google Scholar]
Publisher’s Note: MDPI stays neutral with regard to jurisdictional claims in published maps and institutional affiliations. |
© 2021 by the authors. Licensee MDPI, Basel, Switzerland. This article is an open access article distributed under the terms and conditions of the Creative Commons Attribution (CC BY) license (http://creativecommons.org/licenses/by/4.0/).