Next Article in Journal
Points Accumulation Framework and Spending Behavior—Accelerating vs. Linear Points: The Impact of Loyalty Framework on Consumer Spending
Previous Article in Journal
Website Loading Animation and Perceived Waiting Time: The Role of Temporal Attention
Previous Article in Special Issue
Modeling Consumer Reactions to AI-Generated Content on E-Commerce Platforms: A Trust–Risk Dual Pathway Framework with Ethical and Platform Responsibility Moderators
 
 
Font Type:
Arial Georgia Verdana
Font Size:
Aa Aa Aa
Line Spacing:
Column Width:
Background:
Article

AI-Generated Videos: Influencing Trustworthiness, Awe, and Behavioral Intention in Space Tourism E-Commerce

1
Faculty of International Tourism and Management, City University of Macau, Macau 999078, China
2
Faculty of Business Administration, Shanxi Polytechnic College, Taiyuan 237016, China
*
Author to whom correspondence should be addressed.
J. Theor. Appl. Electron. Commer. Res. 2025, 20(4), 307; https://doi.org/10.3390/jtaer20040307
Submission received: 27 August 2025 / Revised: 22 September 2025 / Accepted: 28 September 2025 / Published: 3 November 2025

Abstract

This study explores the effectiveness of artificial intelligence-generated videos (AIGV) as a scalable enabling technology within the e-commerce sector. It investigates the potential of AIGV to enhance marketing efficacy through the simulation of product experiences, with a particular focus on space tourism. A notable gap exists in the current understanding of how the attributes of AIGV and individual perceptions influence critical consumer responses in the context of space tourism e-commerce. This gap specifically pertains to their effects on trustworthiness, awe, and behavioral intentions, with an emphasis on the underlying mediating mechanisms. Purposive sampling was employed to gather samples, and partial least squares structural equation modeling (PLS-SEM) was utilized for data analysis. The results reveal that both AIGV attributes and personal perceptions exert a significant influence on trustworthiness, awe, and behavioral intentions within the context of space tourism e-commerce. Awe serves as a central mediating construct between AIGV attributes and behavioral intention, while also mediating the relationship between perceived risk and behavioral intention. In contrast, trustworthiness solely mediates the pathway between perceived risk and behavioral intention. The findings present novel theoretical insights into AI-driven consumer behavior within experiential e-commerce contexts. They also offer practical guidance for the effective implementation of the AIGV. Moreover, this study underscores the necessity for ethical frameworks to regulate consumer trust in AI-dominated marketplaces.

1. Introduction

The rapid expansion of e-commerce platforms is fundamentally reshaping the strategic priorities for market expansion [1]. This compels space tourism enterprises to leverage these social media channels. Such leverage is critical for optimizing market reach and engagement. This remains a key operational challenge for the industry. It is the effective marketing of intangible services and products, where consumers cannot physically inspect the goods before purchase. With the successful launches of space tourism initiatives by Virgin Galactic, Blue Origin, and SpaceX, suborbital and orbital space tourism have emerged as a viable commercial venture [2]. Breakthroughs in artificial intelligence technology have significantly advanced space tourism [3]. The industry is experiencing substantial growth, with its market size projected to exceed $7 billion by 2027 [2]. It has drawn significant attention from consumers, businesses, and policymakers [4]. Current research emphasizes three key areas: (1) behavioral antecedents, such as risk perception and motivation [4,5]; (2) technological experience effects, particularly VR simulations eliciting awe and environmental behaviors [6]; and (3) media characteristic impacts (e.g., trustworthiness, practicality, and immersion) on decision-making [7]. Fundamentally, the existing literature offers limited empirical evidence on how AI-generated technologies influence consumer behavior in space tourism e-commerce. This gap is particularly evident when contrasted with the well-established research on conventional tourism e-commerce dynamics [1]. Beyond space tourism, AIGV has revolutionized e-commerce through automated content generation for product visualization, dynamic advertising adaptation, and personalized customer interactions [8]. AIGV possesses the singular ability to visually construct and simulate compelling realism. This is particularly critical for space tourism, where a single model can generate countless variations of a space tourism experience, a feat prohibitively expensive with human-produced videos [4,9]. AIGV overcomes cultural barriers with localized content in cross-border settings, yet amplifies challenges in intellectual property protection and content authenticity verification [10]. This study investigates how AIGV, as a scalable e-commerce enabling technology, can overcome this barrier by simulating product experience.
Video marketing effectively boosts tourist behavioral intentions in traditional tourism [11]. Both trustworthiness from technology (e.g., AI chatbot reliability) and perceived value (e.g., confidence in cost-saving strategies) [12] critically drive purchase intentions. Awe is similarly established as a powerful affective driver that promotes social connectedness and sharing behavior [13]. However, the synergistic interaction between these trustworthiness mechanisms and awe within the unique context of space tourism e-commerce platforms remains unexplored. Crucially, there is a gap in understanding the behavioral mechanisms through which AI-driven technologies shape consumer decision-making in these digital marketplaces. This study examines how AI-generated space tourism video attributes (content and technical quality) and tourists’ perceptions of authenticity and risk influence their behavioral intentions. While AIGV enhances engagement, its influence on consumer trust is bifurcated: high-quality content boosts credibility, whereas undisclosed AI origins risk deception [14]. This duality necessitates ethical guidelines for transparency in AI-generated promotions, a gap that is magnified in high-stakes sectors such as space tourism. This study examines this influence through the mediating roles of trustworthiness and awe. The unique spacetime nature of space tourism [15] creates exceptional decision-making complexities. This justifies the specialized methodological approach of our study. This study adopted a cognitive–affective–behavioral (CAB) framework to systematically map these multi-stage psychological transmission processes.
To fill this research gap, this study addresses the aforementioned issues through empirical analysis and specifically answers the following three questions:
(1)
How do the content and technical quality of AI-generated space tourism videos differentiate and influence trustworthiness, awe, and behavioral intention?
(2)
How do tourists’ perceived authenticity and perceived risk of AI-generated space tourism videos differentially affect the abovementioned psychological mechanisms?
(3)
In AI-generated space tourism videos, do video attributes (content quality, technical quality) and tourists’ personal perception (perceived authenticity and perceived risk) influence consumers’ behavioral intentions through two differentiated mediating paths of trustworthiness and awe?

2. Literature Review and Hypothesis Construction

2.1. Review of Previous Studies on AI-Generated Video and Space Tourism E-Commerce

The evolution of generative artificial intelligence has profoundly reshaped the marketing paradigm through its unique capabilities for content creation, including text, images, audio, and video [8]. Videos convey a substantial amount of information and possess rapid dissemination speed, effectively meeting viewers’ informational needs [16]. Furthermore, they are more dynamic and visually engaging than text or static images, thereby capturing consumer attention and enhancing the decision-making process [16]. By employing scenario-based narratives, videos reduce the cognitive load and expedite purchase conversions [17]. AI-generated videos are emerging as a significant force in modern marketing strategies [8]. Simultaneously, e-commerce, defined as business operations conducted via Internet technologies and digital platforms, is experiencing rapid growth. E-commerce encompasses various business activities that leverage online technology for operational efficiency [10]. Video technology is increasingly being integrated into immersive experiences. However, existing research predominantly focuses on conventional product categories such as data analysis and performance metrics [18,19]. E-commerce stakeholders should improve video quality. This enhances the perception of premium products while reducing costs and refining marketing [17]. Despite this progress, studies on space tourism, a quintessential example of a high-value intangible service [2], remain scarce. AIGV represents the next evolutionary step in this domain, offering unprecedented scalability and personalization for dynamic product presentation on e-commerce platforms. To address this literature gap, this study proposes AIGV as a key tool for e-commerce. This approach generates realistic space simulations to overcome spatio-temporal constraints and highlight the unique attributes of AIGV-enabled tourism.

2.2. Cognitive–Affective–Behavioral Framework

The cognitive–affective–behavioral (CAB) framework proposes that cognitive evaluation of stimuli triggers emotional responses, collectively shaping behavioral decisions. This model explains how emotions influence consumers’ tourism experiences, choices, and actions [20], where interactions with destinations and services prompt cognitive evaluations that evoke emotion-driven behavior [21]. Applying beyond tourism, the CAB framework illuminates technology adoption. Fan et al. demonstrated its relevance in augmented reality retail and the role of cognition in forming product attitudes and purchase behaviors [22]. Similarly, destination marketing studies have utilized the CAB model to analyze how cognitive assessments drive emotional responses and behavioral intentions [23]. However, its application remains limited to contexts involving personal safety and risk perception. To address this gap, our study employs the CAB framework to investigate how tourists’ exposure to AI-generated space tourism videos influences their behavior. Our study extends space tourism research by integrating these key uncertainties. These include supplier technology, costs, and health risks within a cognitive–emotional model of tourist acceptance of online services.

2.3. Cognitive Assessment: Attribute of AI-Generated Space Tourism Video

2.3.1. AI-Generated Space Tourism Video Attributes and Tourist Affective Responses

Source effect theory establishes that content quality variations stem from disparities in source credibility and professionalism [24,25], significantly shaping the attitudes and behaviors of receivers. While empirical research on AI as an information source remains limited [26], the proliferation of generative AI [27,28] highlights the transformative potential of AI-generated tourism videos [8]. This is supported by a validated three-dimensional quality scale (informativeness, emotional appeal, and empathy) that mitigates traditional sources’ expertise gaps [29]. Crucially, source trustworthiness is intrinsically linked to perceived credibility. Technical quality assessment prioritizes visual harmony, video–text consistency, and domain adaptation capacity, enabling AI videos to overcome physical constraints, such as location permissions [8]. Audiences predominantly perceive these as distinct from conventional tourism media, but deficient technical execution combined with AI affinity reduces engagement [8] and erodes destination trustworthiness. AIGV’s technical capabilities inherently introduce vulnerabilities: synthetic media can disseminate fraudulent travel scenarios, whereas data collection in immersive experiences raises privacy concerns [18,19]. Mitigation requires robust authentication protocols for AIGV and compliance with emerging regulations, such as the EU AI Act. Thus, we proposed:
H1: 
Content quality positively affects tourist trustworthiness.
H2: 
Technical quality positively affects tourist trustworthiness.
The appraisal theory of emotion conceptualizes emotions as adaptive responses that simultaneously reflect an individual’s cognitive evaluation of stimulus events and shape subsequent behavioral outcomes [30,31]. Within this framework, awe is a key response to a profoundly grand stimulus. This emotional reaction challenges existing cognitive patterns and amplifies feelings of astonishment and disorientation [30,31]. Awe comprises two core components: perceived vastness and the need for cognitive accommodation [32,33]. Perceived vastness extends beyond the physical scale to include social, informational, and conceptual depth. Empirical studies often use panoramic natural vistas to induce awe [31]. This approach is highly relevant to AI-generated space tourism video content. Tourist engagement with such content is shaped by the technical and narrative quality of the videos. This quality directly influences the emotional responses. This ultimately enhances awe through immersive cosmic simulations. Hence, the following hypotheses are proposed:
H3: 
Content quality positively affects tourist awe.
H4: 
Technical quality has a positive effect on tourist awe.

2.3.2. AI-Generated Space Tourism Video Attributes and Tourist Behavioral Intention

The advent of generative AI tools necessitates the development of novel frameworks for evaluating digital content quality [29]. AI-generated content has transformative potential in the tourism industry. It advances both theory and practice through enriched insights. Crucially, high-quality external information exhibits greater user acceptance, amplifying its impact on attitude formation [34], where positively valenced content specifically enhances behavioral willingness [35]. The core goal of video generation is to achieve photorealism and fluid motion. This objective directly applies to AI-generated space tourism video content. However, significant variations exist among text-to-video models in terms of visual fidelity, stylistic coherence, and temporal continuity. Destination marketers strategically leverage these tools to optimize service efficiency, recognizing that video quality fundamentally modulates tourists’ cognition, emotional responses, and behavioral outcomes [36]. Ultimately, the integration of intelligent video technologies elevates service experiences, thereby directly strengthening consumers’ behavioral intentions toward featured destinations [37]. Thus, the following hypotheses are proposed.
H5: 
Content quality positively affects tourist behavioral intention in space tourism e-commerce.
H6: 
Technical quality positively affects tourist behavioral intention in space tourism e-commerce.

2.4. Cognitive Assessment: Personal Perception of AI-Generated Space Tourism Video

2.4.1. AI-Generated Space Tourism Video Personal Perception and Tourist Affective Responses

AI-generated space tourism videos aim to elicit authenticity perceptions among tourists, providing a framework for evaluating how virtual experiences align with or diverge from reality [38]. Authenticity is increasingly prioritized in AI-driven marketing, where establishing trustworthiness is essential. Enhancing the customer experience requires AI services to emphasize authenticity. Trustworthiness, defined as the perceived characteristics of a trustee, develops not only through content quality but also through sincerity linked to authenticity [39]. Tourists may extend their trust to genuine recommendations, even for AI-generated content, if they are perceived as sincere [38]. However, perceived risk fundamentally mediates trust and tourist behavior [2]. In contexts such as space tourism, risks such as privacy, financial, and health concerns can significantly reduce trust and behavioral intention [40]. When tourists perceive risks associated with AI-generated content, their trustworthiness and usage intention diminish [14] because risk perception directly erodes trust [41]. Consequently, this study examines how risk perception of AI-generated space tourism videos influences trustworthiness in this unique experiential domain. This study hypothesizes the following:
H7: 
Perceived authenticity positively affects tourist trustworthiness.
H8: 
Perceived risk negatively affects tourist trustworthiness.
Tourists’ pursuit of authenticity intensifies in experiential contexts, such as space tourism, where cosmic vastness elicits profound awe that fundamentally restructures behavioral intentions toward heightened responsibility [42]. This constructed authenticity [43] can be strategically enhanced through detailed space environment videos, leveraging authenticity to amplify awe and catalyze behavioral intention. Crucially, awe bifurcates into threatened (high-risk scenarios) and non-threatened (low-risk context) typologies [44]. Non-threatened awe exerts a superior influence on behavioral intentions compared to other positive states, with effects modulated by threat levels, perceived control, and stimulus complexity. Unlike pure fear, threatened awe generates attenuated self-diminishment while intensifying risk-averse responses [44], establishing distinct pathways where authenticity intersects with awe classification in the context of space tourism. Consequently, the perceived risks in AI-generated space tourism videos reduce the awe intensity. This study hypothesizes the following:
H9: 
Perceived authenticity positively affects tourist awe.
H10: 
Perceived risk negatively affects tourist awe.

2.4.2. AI-Generated Space Tourism Video Personal Perception and Tourist Behavioral Intention

Contemporary research has reconceptualized AI service authenticity, noting that traditional frameworks inadequately capture AI-mediated experiences owing to technological convergence. Social presence serves as the primary indicator for evaluating authenticity and informing usage intentions [45]. Perceived authenticity is positively correlated with behavioral intentions across brands, tourism, and AI services [46,47]. However, its specific role in AIGV and space tourism remains underexplored. Complementarily, perceived risk, a psychological construct explaining information seeking and decision dependencies [48], operates in technology adoption (e.g., autonomous vehicles) [49]. Scholarship frames risk perception as a dynamic cognition–action–environment triad [50], consistently demonstrating its direct, negative impact on behavioral intentions [51]. We posit that this relationship extends to AI-generated space tourism videos, where technological novelty and experiential uncertainty amplify risk salience, potentially negating authenticity-driven behavioral incentives. Consequently, the following hypotheses are proposed.
H11: 
Perceived authenticity positively affects tourists’ behavioral intention in space tourism e-commerce.
H12: 
Perceived risk negatively affects tourist behavioral intention in space tourism e-commerce.

2.5. AI-Generated Space Tourism Video Affective Response and Behavioral Intention

Trustworthiness is vital for user adoption of emerging technologies and is a key driver of purchasing decisions [52]. This trust–intention link has been proven in digital settings, such as e-commerce and streaming media [53,54]. Perceived authenticity is a crucial antecedent that reduces decision costs and amplifies purchase intent [55]. For AI-generated destination videos, in serving as marketing stimuli, trustworthiness functions as a fundamental prerequisite for behavioral intention within the resulting cognitive–affective processes [56,57]. Complementing this, awe—typically evoked through immersive stimuli such as AI space tourism videos—primarily manifests as a positive emotional state despite context-dependent variations. Social identity theory clarifies that awe reinforces collective identity [58] and increases the propensity for humanity-benefiting actions [59]. Space tourism decision-making is influenced by both rational functional value evaluation and positive emotional experiences [60]. Thus, AI-generated space tourism videos operate as dual-pathway catalysts. They transform tourist perception into prosocial behavioral intention through combined trust-mediated cognitive routes and awe-enhanced identity pathways. This leads to the following hypothesis:
H13: 
Trustworthiness positively affects tourist behavioral intention in space tourism e-commerce.
H14: 
Awe positively affects tourist behavioral intention in space tourism e-commerce.

2.6. The Mediating Role of Trustworthiness and Awe

Research has established that trust in artificial intelligence significantly enhances behavioral intention across contexts, including AI-generated space tourism videos. Trustworthiness is a fundamental component of technology adoption in healthcare. Critically, reductions in trust predict diminished performance expectations and behavioral intentions [61], establishing a self-reinforcing, negative cycle. Complementarily, awe elicited by cosmic vastness in space tourism videos serves as a potent behavioral catalyst that enhances information processing and worldview transformation [31]. Empirical evidence suggests that awe is a critical mediator between stimulus quality and behavioral intention [42]. Immersive content presentation directly triggers cosmic awe, which subsequently evokes behavioral responses [6]. Advanced exposure to space events further amplifies this effect, enabling deeper experiential fulfillment through AI video engagement [29]. Thus, we proposed:
H15: 
Tourist trustworthiness mediates the relationship between AI-generated space tourism video attributes ([a] content quality and [b] technical quality) and behavioral intention in space tourism e-commerce.
H16: 
Tourist awe mediates the relationship between AI-generated space tourism video attributes ([a] content quality and [b] technical quality) and behavioral intention in space tourism e-commerce.
Consumer perception of authenticity stems from experiential engagement with products/services [62], amplified in AI-generated visual content when labeled, and enhances tourist satisfaction and behavioral intentions. This authenticity operates via trust-mediated pathways that stimulate destination-visit intention [63]. Paradoxically, perceived risk, a core trust determinant, erodes trust and user acceptance [64], ultimately triggering behavioral abandonment when trustworthiness diminishes. Concurrently, awe serves as a transformative pathway: breathtaking cosmic visuals in AIGV evoke profound awe [65] and enhance environmental cognition and worldview transformation [66]. Such awe mediates the authenticity-behavioral intention relationship, while strategic cosmic presentations inspire nature reverence [67]. Crucially, reduced perceived risk increases vulnerability acceptance [68] and amplifies awe-driven environmental respect and behavioral engagement. Therefore, we propose the following hypothesis:
H17: 
Tourist trustworthiness mediates the relationship between AI-generated space tourism video personal perception ([a] perceived authenticity, [b] perceived risk) and behavioral intention in space tourism e-commerce.
H18: 
Tourist awe mediates the relationship between AI-generated space tourism video personal perception ([a] perceived authenticity and [b] perceived risk) and behavioral intention in space tourism e-commerce.
The following research model was constructed based on the above hypotheses (Figure 1).

3. Methodology

3.1. Research Objects

This study simulated a space tourism experience through the use of AI-generated video footage, the creation of which employed the professional software HAILUO 1.0 (https://hailuoai.video) from 13 April to 15 April 2025. All footage was professionally reviewed prior to use; selected frames from the approved videos are included in Appendix A.1. The 1-min stimulus depicted realistic suborbital flight sequences from launch to Earth observation and cabin immersion. Previous studies have confirmed that short videos positively influence potential tourists’ travel intentions [69]. Typically ranging from 30 s to one minute in duration, short videos leverage their concise format and engaging, content-rich nature to effectively enhance the user experience [69]. Inspired by Wu and Lai [70], this study examines the impact of watching short travel videos on viewers’ willingness to forward, using 1-min videos as the stimulus. This approach enhances external validity by grounding the stimulus in commercially feasible experiences, allowing us to measure authentic initial consumer responses to industry-relevant marketing materials. Video development followed a rigorous protocol: (1) content validation by aerospace tourism experts, (2) adherence to technical feasibility standards, and (3) anonymous double-blind selection of three candidate videos by seven industry specialists.
Participants then received the following scenario: Imagine you are evaluating a new space tourism e-commerce that uses AIGV to preview tourism experiences. After viewing, please share your perceptions, emotional responses, behavioral intentions toward purchase and recommendation, and demographic information.

3.2. Measurement Items

The questionnaire comprised three sections. The first section included two screening questions confirming the participants’ experience of purchasing tourism products via e-commerce platforms (e.g., Ctrip and Expedia) and viewing AI-generated space tourism marketing videos. The second section contains measurement items for latent variables, adapted from established studies to ensure reliability and validity within the CAB model framework: content quality (five items: Zhang et al. [29]), technical quality (four items: Qu et al. [71]), perceived authenticity, perceived risk, and trustworthiness (five items each: Wu & Hsu [72], Wang & Chen [14], Ayeh et al. [73]), awe (four items: Wang & Lu [30]), and behavioral intention (three items: Dawar et al. [74]). All items were contextualized into AI space tourism videos (see Appendix A.2). The final section collected demographic information: gender, age, education level, and annual income.
Each question item was translated into Chinese, and the back-translation method [75] was employed to compare discrepancies in translation to ensure the accuracy of the questionnaire. A seven-point Likert scale was used, where 1 represented “strongly disagree” and 7 represented “strongly agree.”

3.3. Data Collection and Sampling

This study used purposive sampling to collect data. An online survey was designed to collect empirical data for this study. Furthermore, an introductory AI-generated space tourism video was offered to the survey participants as a scenario setting for them to answer our survey. Participants were recruited through the Space Network BBS platform (https://space.chinaflier.com/forum-55-1.html, accessed on 18 April 2025) from 18 April to 25 July 2025, leveraging their high interest in and comprehension of space tourism to enhance the external validity of this study. The study employed an online questionnaire distribution and sampling method. All participants provided informed consent prior to data collection, which was conducted using anonymous questionnaires. From the initial 400 questionnaires collected, 346 complete and valid responses were included in the final analysis. The sample exclusion criteria were as follows: (1) annual income below 200,000 RMB, (2) lack of online shopping experience, and (3) age below 18 years old. Table 1 presents the respondents’ demographic details.

3.4. Data Analysis

Data analysis employed partial least squares structural equation modeling (PLS-SEM), leveraging its methodological strengths for small-sample estimation and robustness to non-normal distributions [76]. This variance-based approach was implemented in SmartPLS 4.0 to assess the direct and indirect path relationships.

4. Results and Discussion

4.1. Measurement Model Assessment

The reliability and validity of the assessment results are presented in Table 2. All latent constructs demonstrated robust internal consistency, with both Cronbach’s α coefficients and composite reliability (CR) indices surpassing the recommended threshold of 0.70 [76]. Convergent validity was established through two key indicators: (1) all measurement items exhibited factor loadings exceeding 0.70 (refer to Table 2), and (2) average variance extracted (AVE) values consistently exceeded the 0.50 benchmark [76]. For discriminant validity assessment, the Fornell–Larker criterion was implemented alongside the heterotrait–monotrait (HTMT) ratio analysis. The results confirmed discriminant validity as follows: (1) the square roots of the AVEs were greater than the corresponding inter-construct correlations, and (2) all HTMT values remained below the 0.85 cutoff [76].
Harman’s single-factor analysis was conducted to assess potential common method biases. The analysis indicated that the primary factor explained 31.672% of the total variance, representing less than half of the critical 50% threshold established by Podsakoff et al. [77]. Furthermore, the variance inflation factor (VIF) diagnostics yielded values ranging from 1.755 to 2.412, which were significantly below the recommended ceiling of 5 [76]. These complementary measures collectively demonstrate the absence of substantial common method variance concerns, as shown in Table 3.

4.2. Structural Model Evaluation

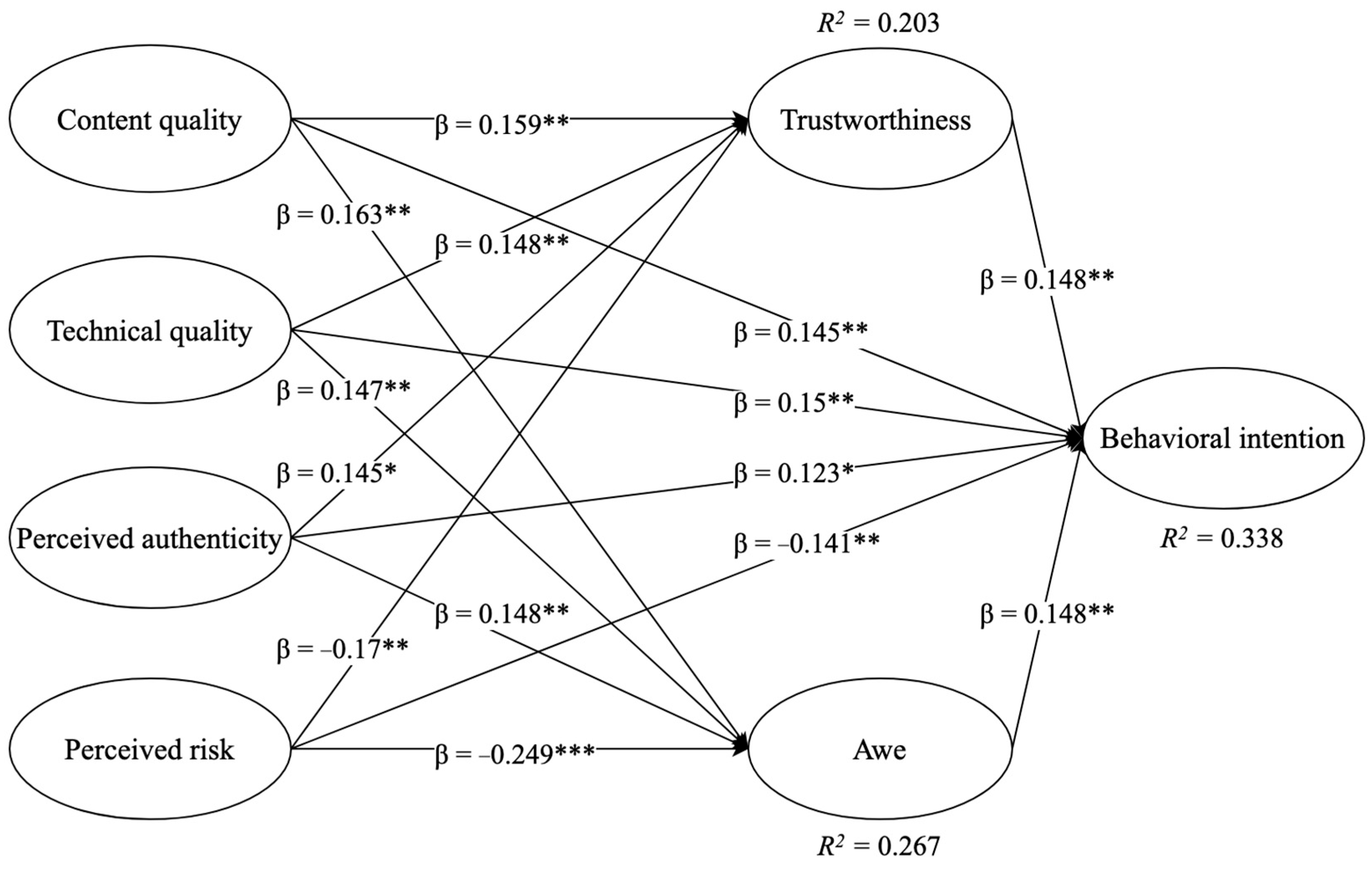
Structural model evaluation was conducted using the measurement model assessment. Employing bootstrap resampling with 5000 iterations, we established the statistical significance of the model coefficients. The resulting structural model outcomes are presented in Figure 2.
As Figure 2 illustrates, both content quality (β = 0.159, p < 0.01) and technical quality (β = 0.148, p < 0.01) positively influenced trustworthiness, supporting H1 and H2. These dimensions also significantly enhanced awe (β = 0.163, p < 0.01; technical: β = 0.147, p < 0.01), confirming H3 and H4. Both quality dimensions exerted direct positive effects on behavioral intention (content: β = 0.145, p < 0.01; technical: β = 0.15, p < 0.01), thus validating H5 and H6. Perceived authenticity strengthened trustworthiness (β = 0.145, p < 0.05; H7 supported) and awe (β = 0.148, p < 0.01; H9 confirmed) while also directly enhancing behavioral intention (β = 0.123, p < 0.05; H11 supported). Conversely, perceived risk diminished trustworthiness (β = −0.17, p < 0.01; H8 supported), awe (β = −0.249, p < 0.001; H10 confirmed), and behavioral intention (β = −0.141, p < 0.01; H12 supported). Both mediators positively predicted behavioral intention: trustworthiness (β = 0.148, p < 0.01; H13 confirmed) and awe (β = 0.148, p < 0.01; H14 confirmed).
Trustworthiness mediated the negative relationship between perceived risk and behavioral intention (β = −0.025, p < 0.05), supporting H17b. However, the mediating effects of content quality (β = 0.023, p = 0.059), technical quality (β = 0.022, p = 0.07), and perceived authenticity (β = 0.021, p = 0.054) on behavioral intention were not significant, thus rejecting H15a, H15b, and H17a, respectively. Conversely, awe significantly mediated the positive relationships between content quality (β = 0.024, p < 0.05; H16a supported) and technical quality (β = 0.022, p < 0.05; H16b supported) and behavioral intention, while also mediating the negative relationship between perceived risk and intention (β = −0.037, p < 0.05; H18b supported). Awe showed no significant mediation between perceived authenticity and behavioral intention (β = 0.022, p = 0.055), rejecting H18a. The results are presented in Table 4.
The R2 value, an index of the model’s explanatory power, was classified by Cohen as large (≥0.26), medium (≥0.13), or small (≥0.02) [78]. The R2 values were as follows: trustworthiness (0.203), awe (0.267), and behavioral intention (0.338). The model fit was evaluated using the standardized root mean square residual (SRMR). The obtained SRMR value of 0.044 met the acceptable cutoff criterion of 0.08 [79], indicating satisfactory fit. Finally, predictive validity was confirmed, as all Q2 values exceeded 0 (awe: 0.249; trustworthiness: 0.181; behavioral intention: 0.283) [80].

4.3. Discussion

High-quality AI-generated tourism videos drive trustworthiness (H1 and H2), awe (H3 and H4), and behavioral intentions (H5 and H6). Superior content and technical execution—creating coherent, visually immersive experiences—appear to minimize cognitive dissonance while bolstering credibility for novel or high-risk destinations. This substantiates the Cognitive Appraisal Theory, which states that cognitive evaluations elicit positive emotional and behavioral outcomes. Our findings extend the evidence of the impact of multimedia quality on tourist trustworthiness and purchase intentions [29] and align with awe’s connection to pro-environmental behaviors [32,42].
Perceived risk significantly reduces trustworthiness (H8), awe (H10), and behavioral intention (H12), reflecting consumer sensitivity to multifaceted hazards, from technological concerns to experiential risks. This inhibitory role aligns with the risk perception literature on autonomous vehicles [49] and space tourism [2], confirming its critical deterrent function in high-risk contexts. Although perceived authenticity enhances trustworthiness (H7), awe (H9), and behavioral intentions (H11), its direct effect on intentions is weaker than expected. This attenuation suggests that authenticity primarily operates through affective mediation rather than direct cognitive pathways. Such a limited impact contrasts with terrestrial tourism studies, where authenticity consistently predicts behavior [46,47], likely because of the distinctive AI-space contexts where authentic portrayals cannot fully mitigate deep-seated uncertainties.
Mediation analyses showed that awe significantly mediated the impact of both quality dimensions (content/technical) and perceived risk on behavioral intention (H16, H18b), aligning with research showing that immersive stimuli evoke transcendent decision-shaping emotions [81,82]. Conversely, trustworthiness only mediates the perceived risk-behavioral intention relationship (H17b), indicating that risk reduction is a stronger trust pathway than enhancing quality. This asymmetric mediation implies that awe stimulates engagement regardless of initial trust, whereas trust mechanisms are critical for overcoming risk-induced hesitancy in novel contexts. The sustainability of AIGV in e-commerce hinges on resolving two tensions: (1) cross-cultural adoption disparities, such as varying risk perceptions of AI videos across markets [2], and (2) legal conflicts between generative data training and copyright frameworks. Therefore, proactive industry standards for the deployment of multicultural AIGV are imperative.
This study contributes to the broader field of e-commerce by providing a framework for understanding how AI-generated content can transform the online marketing of experience-centric goods. The findings offer a blueprint for how e-commerce platforms can integrate advanced media simulation technologies to build trustworthiness, reduce perceived risk, and ultimately increase conversion rates for a category of products that have traditionally been difficult to sell online.

5. Conclusions

These findings have several important theoretical implications. First, this study extends cognitive–affective–behavioral theory [23] to space tourism. It examines the distinct influence of AIGV attributes through dual mediating pathways, a previously unexamined area in high-cost tourism research. Second, it empirically identifies two pivotal mediating pathways (trustworthiness-based and awe-based affect) linking AI video exposure to e-commerce behavioral intention. Crucially, this research reveals a unique complexity in how tourists’ evaluations of video quality, authenticity, and risk interact, producing behavioral intention impacts that are markedly different from conventional tourism scenarios. This nuanced understanding advances decision-making theory for high-risk, high-value experiential purchases.

5.1. Theoretical Implications

We provide empirical evidence of the paradoxical dual impact of AI-generated content. AIGV’s technical quality not only amplifies awe but also directly reduces perceived risk. This dual effect represents a mechanism that has not been reported in previous studies and signifies that AIGV does not merely replicate reality but creates a new affective affordance. This study provides a precise theoretical foundation for understanding and implementing changes in experiential marketing. AI-generated space tourism videos foster positive tourist expectations but also heighten perceptions of inherent space tourism risks. Elevated risk perception reduces service trustworthiness [83] and diminishes purchase and recommendation intentions on e-commerce platforms. Conversely, a lower risk perception increases receptiveness to captivating cosmic visuals, evokes awe, and strengthens space tourism engagement. This study confirms that content and technical quality are critical evaluation dimensions for AI-generated videos, aligning with prior tourism research [8].
Regarding AI-generated space tourism videos, our findings indicate that trustworthiness does not play a significant mediating role between video attributes and behavioral intentions. This study uncovers a novel mediation hierarchy that challenges the established paradigms. While prior tourism and e-commerce literature consistently positions trustworthiness as the primary mediator [38,40], our results demonstrate the supremacy of awe over trustworthiness in the context of AI-simulated experiences. This critical divergence is attributable to the dimensional uniqueness of space tourism. Its profound physical inaccessibility triggers affective responses that can bypass rational trustworthiness pathways. This finding redefines the transmission mechanism within the CAB framework for high-risk and high-immersion environments. This suggests that within the context of advanced AI technology, technological attributes may exert a more direct influence on behavioral responses, potentially circumventing the need for trust as an intermediary pathway. Furthermore, perceived risk had a consistent negative impact, directly affecting trustworthiness, feelings of awe, and behavioral intention. These results align with prior research [44,68,84] and further solidify the applicability of these critical constructs in space tourism research.

5.2. Practical Implications

This study provides a strategic blueprint for managers of space tourism enterprises to deploy AIGV in marketing and e-commerce. The findings were translated into concrete, actionable strategies spanning three core areas: customer journey management, risk communication, and content development. First, firms should strategically deploy AIGV across different phases of the consumer journey to maximize impact, moving beyond a generic approach. For instance, developing detailed, interactive AIGV content for e-commerce platforms directly applies our finding that high technical quality builds confidence by offering a transparent and immersive inspection experience. Similarly, implementing personalized AIGV post-booking utilizes the power of AIGV for customization, applying the finding that personalized content enhances behavioral intention.
Second, AIGV should be engineered to proactively address safety and authenticity concerns, moving beyond general education to specific applications. This involves clearly disclosing the AI-generated nature of the content while highlighting the real-world engineering data behind the simulation. This balance between innovation and honesty mitigates the “deception risk.” Additionally, creating content that seamlessly blends AI-generated visuals with human presenters can build authenticity and trust through human connections while showcasing unimaginable experiences via AI simulations. For example, a real chief engineer could explain safety features, whereas an AIGV could demonstrate a launch abort scenario. This approach directly tackles the negative path from perceived risk to trustworthiness.
Third, prioritizing technical fluidity is essential. This requires allocating resources to achieve flawless motion simulation, particularly for critical sequences, such as launch and zero-gravity transitions, using cinematic realism as the benchmark. High technical quality serves as a key antecedent to both trustworthiness and awe. Moreover, AIGV scenes should emphasize the stark contrast between the spacecraft and the infinite cosmos or capture breathtaking views of the Earth’s atmosphere. This unique value proposition, which distinguishes AIGV from traditional videos, is key to triggering the awe that drives behavioral intention. Finally, continuously testing different AIGV narratives on e-commerce platforms helps identify the content that most effectively reduces risk perception and increases booking intention for specific customer segments. By adopting these specific strategies, space tourism firms can leverage AIGV beyond novel marketing tools. They can transform it into a powerful engine that builds trust, mitigates perceived risk, and ultimately drives conversion within e-commerce channels.

5.3. Limitations and Future Research

However, this study had several limitations that warrant further investigation. The generalizability of the findings was constrained by the purposive sampling strategy employed. Future research could address this limitation by adopting probability-based methods, such as stratified sampling, to include more diverse cultural and socio-economic groups. Additionally, the reliance on self-reported behavioral intentions instead of observed behavior raises concerns about validity; tracking actual purchases through experimental or longitudinal designs would strengthen the empirical support. The exclusive focus on AI-generated videos also limits comparative insights; future studies should contrast human-generated or hybrid media to clarify technology-specific effects.
While this study underscores authenticity and risk as crucial cognitive variables within the high-risk domain of space tourism, several significant dimensions remain unexamined. To expand the current framework, several promising avenues warrant consideration. Firstly, the integration of novelty seeking could elucidate how AI-generated novel stimuli evoke awe through mechanisms extending beyond technical dimensions. Secondly, perceived enjoyment may function as an alternative affective pathway alongside awe, particularly for consumers driven by hedonic motivations. Most critically, as AI ethics increasingly influence consumer trust, incorporating ethical cognition—such as perceptions of transparency in content generation and data usage protocols—may uncover essential boundary conditions for trust formation. Research designs that experimentally manipulate these variables would substantially enhance the applicability of the cognitive–affective–behavioral (CAB) framework in AI-dominated marketplaces. Additionally, the limitation of a one-minute video in capturing the complexity of space tourism decisions suggests that longer experimental designs could be conducted to compare the outcomes of this study. Addressing these factors would significantly augment the theoretical comprehensiveness and practical relevance of space tourism research.

Author Contributions

Conceptualization, S.W. and Z.H.; methodology, S.W., K.-L.P. and Z.H.; software, S.W. and Z.H.; validation, S.W., K.-L.P. and Z.H.; formal analysis, S.W. and Z.H.; investigation, S.W. and Z.H.; resources, K.-L.P.; data curation, S.W. and Z.H.; writing—original draft preparation, S.W. and Z.H.; writing—review and editing, S.W., K.-L.P., Z.H. and L.M.; visualization, S.W. and Z.H.; supervision, K.-L.P. All authors have read and agreed to the published version of the manuscript.

Funding

This research was funded the APC by City University of Macau grant number RMO2025.

Institutional Review Board Statement

The study was conducted in accordance with the Declaration of Helsinki and approved by the Human Research Ethics Committee for Non-Clinical Faculties of the City University of Macau (protocol code: 2025RE05; date of approval: 21 April 2025).

Informed Consent Statement

Informed consent was obtained from all the subjects involved in the study.

Data Availability Statement

The data presented in this study are available on request from the corresponding author.

Acknowledgments

During the preparation of this work the author(s) used ChatGPT-5 in order to improve language and readability. The video screenshots for this study was produced with professional-grade AI video generation software (HAILUO 1.0). After using this tool/ service, the author(s) reviewed and edited the content as needed and take(s) full responsibility for the content of the publication.

Conflicts of Interest

The authors declare no conflicts of interest.

Appendix A

Appendix A.1. Screenshots of an AI-Generated Space Tourism Video

Figure A1. AI-generated space tourism rocket launch sequence.
Figure A1. AI-generated space tourism rocket launch sequence.
Jtaer 20 00307 g0a1
Figure A2. AI-reconstructed space tourism experience using authentic orbital video (anonymization).
Figure A2. AI-reconstructed space tourism experience using authentic orbital video (anonymization).
Jtaer 20 00307 g0a2
Figure A3. AI-generated simulation of space tourism egress featuring affective response and terrestrial assistance in arid terrain (anonymization).
Figure A3. AI-generated simulation of space tourism egress featuring affective response and terrestrial assistance in arid terrain (anonymization).
Jtaer 20 00307 g0a3

Appendix A.2. Measurement Items

Table A1. Measurement Items.
Table A1. Measurement Items.
Construct/ItemsSources
Content quality[29]
1. The content of the AI-generated space tourism video is rich in information.
2. The content of the AI-generated space tourism video is unique in information.
3. The logicality of the AI-generated space tourism video is clear in its structure.
4. The content of the AI-generated space tourism video is infectious.
5. The content of the AI-generated space tourism video is understandable.
Technical quality[71]
1. The scene of the AI-generated space tourism video has harmony.
2. The scene setting of the AI-generated space tourism video is reasonable.
3. The scene of the AI-generated space tourism video can switch consistently.
4. The image of the AI-generated space tourism video is high-definition and smooth.
Perceived authenticity[72]
1. The scene of space tourism presented is genuine.
2. The experience of space tourism presented is genuine.
3. The atmosphere of space tourism presented conveys genuineness.
4. The scene of space tourism presented enabled me to immerse myself.
5. The scene of space tourism presented enabled me to perceive space genuinely.
Perceived risk[14]
1. The AI-generated space tourism video contains inaccuracies.
2. The AI-generated space tourism experience video is insufficient.
3. The AI-generated space tourism video is subject to tampering during transmission.
4. Watching an AI-generated space tourism video makes me feel uncomfortable.
5. Watching an AI-generated space tourism video makes me anxious about security.
Trustworthiness[73]
1. The AI-generated space tourism video is dependable.
2. The AI-generated space tourism video is honest.
3. The AI-generated space tourism video is reliable.
4. The AI-generated space tourism video is sincere.
5. The AI-generated space tourism video is trustworthy.
Awe[30]
1. The AI-generated space tourism video makes me feel vast in the universe.
2. The AI-generated space tourism video makes me feel shocked by the universe.
3. The AI-generated space tourism video instills in me reverence towards the universe.
4. The AI-generated space tourism video makes me feel that space tourism is unusual.
Behavioral intention[74]
1. I plan to purchase space tourism services on e-commerce platforms in the future.
2. I am willing to purchase space tourism services on e-commerce platforms.
3. I recommend others to purchase space tourism services on e-commerce platforms.

References

  1. Samsu, R.A.; Budiawan, L.N.; Yinnie, C.; Muhroji, J.; Redjeki, F. The Impact of Influencer Marketing on Consumer Decision-Making in E-Commerce Platforms. RIGGS J. Artif. Intell. Digit. Bus. 2025, 4, 5257–5261. [Google Scholar] [CrossRef]
  2. Kim, M.J.; Hall, C.M.; Kwon, O. Space tourism: Do age and gender make a difference in risk perception? J. Hosp. Tour. Manag. 2023, 57, 13–17. [Google Scholar] [CrossRef]
  3. Kim, M.J.; Hall, C.M.; Kwon, O.; Hwang, K.; Kim, J.S. Orbital and sub-orbital space tourism: Motivation, constraint and artificial intelligence. Tour. Rev. 2024, 79, 392–407. [Google Scholar] [CrossRef]
  4. Olya, H.G.; Han, H. Antecedents of space traveler behavioral intention. J. Travel Res. 2020, 59, 528–544. [Google Scholar] [CrossRef]
  5. Hu, T.-L.; Chao, C.-M.; Wu, C.-C.; Lin, C.-H.; Chi, S.-C. Digital Franchising in the Age of Transformation: Insights from the Motivation-Opportunity-Ability Framework. J. Theor. Appl. Electron. Commer. Res. 2025, 20, 107. [Google Scholar] [CrossRef]
  6. Loy, L.S.; Steppler, K.; Kliachko, I.; Kuhlmann, J.; Menzel, C.; Schick, O.; Reese, G. A virtually-induced overview effect? How seeing the world from above through a simulated space tour is related to awe, global identity and pro-environmental behaviour. J. Environ. Psychol. 2024, 99, 102428. [Google Scholar] [CrossRef]
  7. Nguyen, M.-H.; Duong, M.-P.T.; Tran, T.T.; Sari, N.P.W.P.; Tedjasuksmana, H.; La, V.-P.; Vuong, Q.-H. Beyond trust: How usefulness and immersiveness drive space tourism intentions in high-risk contexts. Curr. Issues Tour. 2025, 1–23. [Google Scholar] [CrossRef]
  8. Seo, I.T.; Liu, H.; Li, H.; Lee, J.-S. AI-infused video marketing: Exploring the influence of AI-generated tourism videos on tourist decision-making. Tour. Manag. 2025, 110, 105182. [Google Scholar] [CrossRef]
  9. Diwanji, V.S.; Geana, M.; Pei, J.; Nguyen, N.; Izhar, N.; Chaif, R.H. Consumers’ emotional responses to AI-Generated versus human-generated content: The role of perceived agency, affect and gaze in health marketing. Int. J. Hum.-Comput. Interact. 2025, 41, 12270–12290. [Google Scholar] [CrossRef]
  10. Oprea, S.-V.; Bâra, A. Is artificial intelligence a game-changer in steering e-business into the future? uncovering latent topics with probabilistic generative models. J. Theor. Appl. Electron. Commer. Res. 2025, 20, 16. [Google Scholar] [CrossRef]
  11. Slaney, C.; Lee, S.; Busser, J. Future space tourists’ motivations, constraints, and negotiation strategies: A grounded theory approach. J. Travel Res. 2025, 64, 1045–1063. [Google Scholar] [CrossRef]
  12. Guo, J.; Li, Y.; Xu, Y.; Zeng, K. How live streaming features impact consumers’ purchase intention in the context of cross-border E-commerce? A research based on SOR theory. Front. Psychol. 2021, 12, 767876. [Google Scholar] [CrossRef]
  13. Yang, Y.; Hu, J.; Nguyen, B. Awe, consumer conformity and social connectedness. Mark. Intell. Plan. 2021, 39, 893–908. [Google Scholar] [CrossRef]
  14. Wang, S.-F.; Chen, C.-C. Exploring designer trust in artificial intelligence-generated content: TAM/TPB model study. Appl. Sci. 2024, 14, 6902. [Google Scholar] [CrossRef]
  15. Peng, K.-L.; Kim, M.J.; Huang, Z.; Lai, I.K.W.; Ji, X. From holocene to anthropocene: A spacetime perspective on the ontology, epistemology, and methodology of space tourism. J. Hosp. Tour. Manag. 2025, 64, 101304. [Google Scholar] [CrossRef]
  16. Jiang, W.; Chen, H.-L. Can short videos work? The effects of use and gratification and social presence on purchase intention: Examining the mediating role of digital dependency. J. Theor. Appl. Electron. Commer. Res. 2024, 20, 5. [Google Scholar] [CrossRef]
  17. Yang, Y.; Zhao, Y.; Yeoh, W.; Qi, C.; Jiang, H. Exploring the Interaction Between Streaming Modes and Product Types in E-Commerce Sales. J. Theor. Appl. Electron. Commer. Res. 2025, 20, 53. [Google Scholar] [CrossRef]
  18. Zhou, C.; Li, H.; Zhang, L.; Ren, Y. Optimal recommendation strategies for AI-powered e-commerce platforms: A study of duopoly manufacturers and market competition. J. Theor. Appl. Electron. Commer. Res. 2023, 18, 1086–1106. [Google Scholar] [CrossRef]
  19. Zhang, C.; Wang, Y.; Zhang, J. Risk Assessment of Live-Streaming Marketing Based on Hesitant Fuzzy Multi-Attribute Group Decision-Making Method. J. Theor. Appl. Electron. Commer. Res. 2025, 20, 120. [Google Scholar] [CrossRef]
  20. Manzoor, S.R.; Ullah, R.; Khattak, A.; Ullah, M.; Han, H. Exploring tourist perceptions of artificial intelligence devices in the hotel industry: Impact of industry 4.0. J. Travel Tour. Mark. 2024, 41, 272–291. [Google Scholar] [CrossRef]
  21. Zheng, D.; Ritchie, B.W.; Benckendorff, P.J.; Bao, J. The role of cognitive appraisal, emotion and commitment in affecting resident support toward tourism performing arts development. J. Sustain. Tour. 2019, 27, 1725–1744. [Google Scholar] [CrossRef]
  22. Fan, X.; Chai, Z.; Deng, N.; Dong, X. Adoption of augmented reality in online retailing and consumers’ product attitude: A cognitive perspective. J. Retail. Consum. Serv. 2020, 53, 101986. [Google Scholar] [CrossRef]
  23. Breitsohl, J.; Garrod, B. Assessing tourists’ cognitive, emotional and behavioural reactions to an unethical destination incident. Tour. Manag. 2016, 54, 209–220. [Google Scholar] [CrossRef]
  24. Hautz, J.; Füller, J.; Hutter, K.; Thürridl, C. Let users generate your video ads? The impact of video source and quality on consumers’ perceptions and intended behaviors. J. Interact. Mark. 2014, 28, 1–15. [Google Scholar] [CrossRef]
  25. Li, M.; Huang, L.; Tan, C.-H.; Wei, K.-K. Helpfulness of online product reviews as seen by consumers: Source and content features. Int. J. Electron. Commer. 2013, 17, 101–136. [Google Scholar] [CrossRef]
  26. Lim, S.; Schmälzle, R. The effect of source disclosure on evaluation of AI-generated messages. Comput. Hum. Behav. Artif. Hum. 2024, 2, 100058. [Google Scholar] [CrossRef]
  27. Lee, L.-H.; Lin, Z.; Hu, R.; Gong, Z.; Kumar, A.; Li, T.; Li, S.; Hui, P. When creators meet the metaverse: A survey on computational arts. arXiv 2021. [Google Scholar] [CrossRef]
  28. Zhang, C.; Zhang, C.; Zheng, S.; Qiao, Y.; Li, C.; Zhang, M.; Dam, S.K.; Thwal, C.M.; Tun, Y.L.; Huy, L.L. A complete survey on generative ai (aigc): Is chatgpt from gpt-4 to gpt-5 all you need? arXiv 2023. [Google Scholar] [CrossRef]
  29. Zhang, J.J.; Wang, Y.W.; Ruan, Q.; Yang, Y. Digital tourism interpretation content quality: A comparison between AI-generated content and professional-generated content. Tour. Manag. Perspect. 2024, 53, 101279. [Google Scholar] [CrossRef]
  30. Wang, C.; Lu, C. The effect of awe in wildlife tourists on animal-friendly behavioural intentions: A serial mediation model of connectedness to nature and empathy. Asia Pac. J. Tour. Res. 2025, 30, 161–175. [Google Scholar] [CrossRef]
  31. Huang, G.I.; Xie, H.; Du, J.; Zhang, C. When and How to Encourage Tourists to Be More Responsible: Essential Issues for Natural World Heritage Site Post-Disaster Restorations. J. Travel Res. 2025, 00472875251337719. [Google Scholar] [CrossRef]
  32. Keltner, D.; Haidt, J. Approaching awe, a moral, spiritual, and aesthetic emotion. Cogn. Emot. 2003, 17, 297–314. [Google Scholar] [CrossRef]
  33. Shiota, M.N.; Thrash, T.; Danvers, A.F.; Dombrowski, J.T. Transcending the Self: Awe, Elevation, and Inspiration; Guilford Press: New York, NY, USA, 2017. [Google Scholar] [CrossRef]
  34. Bhattacherjee, A.; Sanford, C. Influence processes for information technology acceptance: An elaboration likelihood model. MIS Q. 2006, 30, 805–825. [Google Scholar] [CrossRef]
  35. Erkan, I.; Evans, C. The influence of eWOM in social media on consumers’ purchase intentions: An extended approach to information adoption. Comput. Hum. Behav. 2016, 61, 47–55. [Google Scholar] [CrossRef]
  36. Errichiello, L.; Micera, R.; Atzeni, M.; Del Chiappa, G. Exploring the implications of wearable virtual reality technology for museum visitors’ experience: A cluster analysis. Int. J. Tour. Res. 2019, 21, 590–605. [Google Scholar] [CrossRef]
  37. De Keyser, A.; Lariviere, B. How technical and functional service quality drive consumer happiness: Moderating influences of channel usage. J. Serv. Manag. 2014, 25, 30–48. [Google Scholar] [CrossRef]
  38. Lee, H.; Shin, M.; Yang, J.; Chock, T.M. Virtual influencers vs. human influencers in the context of influencer marketing: The moderating role of machine heuristic on perceived authenticity of influencers. Int. J. Hum.-Comput. Interact. 2025, 41, 6029–6046. [Google Scholar] [CrossRef]
  39. Portal, S.; Abratt, R.; Bendixen, M. The role of brand authenticity in developing brand trust. J. Strateg. Mark. 2019, 27, 714–729. [Google Scholar] [CrossRef]
  40. Zhang, T.; Tao, D.; Qu, X.; Zhang, X.; Lin, R.; Zhang, W. The roles of initial trust and perceived risk in public’s acceptance of automated vehicles. Transp. Res. Part C Emerg. Technol. 2019, 98, 207–220. [Google Scholar] [CrossRef]
  41. Ha, T.; Kim, S.; Seo, D.; Lee, S. Effects of explanation types and perceived risk on trust in autonomous vehicles. Transp. Res. Part F Traffic Psychol. Behav. 2020, 73, 271–280. [Google Scholar] [CrossRef]
  42. Wang, L.; Lyu, J. Inspiring awe through tourism and its consequence. Ann. Tour. Res. 2019, 77, 106–116. [Google Scholar] [CrossRef]
  43. Boateng, H.; Okoe, A.F.; Hinson, R.E. Dark tourism: Exploring tourist’s experience at the Cape Coast Castle, Ghana. Tour. Manag. Perspect. 2018, 27, 104–110. [Google Scholar] [CrossRef]
  44. Coghlan, A.; Buckley, R.; Weaver, D. A framework for analysing awe in tourism experiences. Ann. Tour. Res. 2012, 39, 1710–1714. [Google Scholar] [CrossRef]
  45. Vo, D.-T.; Nguyen, L.V.T.; Dang-Pham, D.; Hoang, A.-P. What makes an app authentic? Determining antecedents of perceived authenticity in an AI-powered service app. Comput. Hum. Behav. 2025, 163, 108495. [Google Scholar] [CrossRef]
  46. Jang, S.S.; Ha, J.; Park, K. Effects of ethnic authenticity: Investigating Korean restaurant customers in the US. Int. J. Hosp. Manag. 2012, 31, 990–1003. [Google Scholar] [CrossRef]
  47. Kim, H.; Bonn, M.A. Authenticity: Do tourist perceptions of winery experiences affect behavioral intentions? Int. J. Contemp. Hosp. Manag. 2016, 28, 839–859. [Google Scholar] [CrossRef]
  48. Stone, R.N.; Grønhaug, K. Perceived risk: Further considerations for the marketing discipline. Eur. J. Mark. 1993, 27, 39–50. [Google Scholar] [CrossRef]
  49. Choi, J.K.; Ji, Y.G. Investigating the importance of trust on adopting an autonomous vehicle. Int. J. Hum.-Comput. Interact. 2015, 31, 692–702. [Google Scholar] [CrossRef]
  50. Petty, R.E.; Cacioppo, J.T. Addressing disturbing and disturbed consumer behavior: Is it necessary to change the way we conduct behavioral science? J. Mark. Res. 1996, 33, 1–8. [Google Scholar] [CrossRef]
  51. Slade, E.L.; Dwivedi, Y.K.; Piercy, N.C.; Williams, M.D. Modeling consumers’ adoption intentions of remote mobile payments in the United Kingdom: Extending UTAUT with innovativeness, risk, and trust. Psychol. Mark. 2015, 32, 860–873. [Google Scholar] [CrossRef]
  52. Qiu, H.; Ye, B.H.; Bai, B.; Wang, W.H. Do the roles of switching barriers on customer loyalty vary for different types of hotels? Int. J. Hosp. Manag. 2015, 46, 89–98. [Google Scholar] [CrossRef]
  53. Djafarova, E.; Rushworth, C. Exploring the credibility of online celebrities’ Instagram profiles in influencing the purchase decisions of young female users. Comput. Hum. Behav. 2017, 68, 1–7. [Google Scholar] [CrossRef]
  54. Schouten, A.P.; Janssen, L.; Verspaget, M. Celebrity vs. Influencer endorsements in advertising: The role of identification, credibility, and Product-Endorser fit. In Leveraged Marketing Communications; Routledge: Abingdon, UK, 2021; pp. 208–231. [Google Scholar]
  55. Liu, X.; Zhang, L.; Chen, Q. The effects of tourism e-commerce live streaming features on consumer purchase intention: The mediating roles of flow experience and trust. Front. Psychol. 2022, 13, 995129. [Google Scholar] [CrossRef] [PubMed]
  56. Petzel, Z.W.; Sowerby, L. Prejudiced interactions with large language models (LLMs) reduce trustworthiness and behavioral intentions among members of stigmatized groups. Comput. Hum. Behav. 2025, 165, 108563. [Google Scholar] [CrossRef]
  57. Fan, D.X.; Buhalis, D.; Fragkaki, E.; Tsai, Y.-R. Achieving senior tourists’ active aging through value co–creation: A customer-dominant logic perspective. J. Travel Res. 2025, 64, 427–443. [Google Scholar] [CrossRef]
  58. Seo, M.; Yang, S.; Laurent, S.M. No one is an island: Awe encourages global citizenship identification. Emotion 2023, 23, 601. [Google Scholar] [CrossRef]
  59. Reese, G. Common human identity and the path to global climate justice. Clim. Change 2016, 134, 521–531. [Google Scholar] [CrossRef]
  60. Huang, Z.; Peng, K.-L.; Wang, Y.; Qiu, H. Beyond Earth: Comparing Rational and Behavioral Mediators in Space Tourism Intentions. J. Qual. Assur. Hosp. Tour. 2025, 1–29. [Google Scholar] [CrossRef]
  61. Wanner, J.; Herm, L.-V.; Heinrich, K.; Janiesch, C. The effect of transparency and trust on intelligent system acceptance: Evidence from a user-based study. Electron. Mark. 2022, 32, 2079–2102. [Google Scholar] [CrossRef]
  62. Jiménez-Barreto, J.; Rubio, N.; Campo, S. Destination brand authenticity: What an experiential simulacrum! A multigroup analysis of its antecedents and outcomes through official online platforms. Tour. Manag. 2020, 77, 104022. [Google Scholar] [CrossRef]
  63. Bui, H.T.; Filimonau, V.; Sezerel, H. AI-thenticity: Exploring the effect of perceived authenticity of AI-generated visual content on tourist patronage intentions. J. Destin. Mark. Manag. 2024, 34, 100956. [Google Scholar] [CrossRef]
  64. Wu, X.; Yang, Z.; Law, R.; Gong, R.; Xu, H. Beyond human drivers: Understanding female tourists’ acceptance of autonomous vehicles in tourism. J. Travel Tour. Mark. 2025, 42, 307–320. [Google Scholar] [CrossRef]
  65. Su, L.; Li, M.; Wen, J.; He, X. How do tourism activities and induced awe affect tourists’ pro-environmental behavior? Tour. Manag. 2025, 106, 105002. [Google Scholar] [CrossRef]
  66. Bonner, E.T.; Friedman, H.L. A conceptual clarification of the experience of awe: An interpretative phenomenological analysis. Humanist. Psychol. 2011, 39, 222–235. [Google Scholar] [CrossRef]
  67. Pearce, J.; Strickland-Munro, J.; Moore, S.A. What fosters awe-inspiring experiences in nature-based tourism destinations? J. Sustain. Tour. 2017, 25, 362–378. [Google Scholar] [CrossRef]
  68. Ma, D.; Dong, J.; Lee, C.-C. Influence of perceived risk on consumers’ intention and behavior in cross-border e-commerce transactions: A case study of the Tmall Global platform. Int. J. Inf. Manag. 2025, 81, 102854. [Google Scholar] [CrossRef]
  69. Liu, J.; Wang, Y.; Chang, L. How do short videos influence users’ tourism intention? A study of key factors. Front. Psychol. 2023, 13, 1036570. [Google Scholar] [CrossRef]
  70. Wu, X.; Lai, I.K.W. The distinctiveness of short travel videos makes audiences proud to forward them. J. Hosp. Tour. Manag. 2025, 63, 211–219. [Google Scholar] [CrossRef]
  71. Qu, B.; Liang, X.; Sun, S.; Gao, W. Exploring aigc video quality: A focus on visual harmony video-text consistency and domain distribution gap. In Proceedings of the IEEE/CVF Conference on Computer Vision and Pattern Recognition, Seattle, WA, USA, 16–22 June 2024; pp. 6652–6660. [Google Scholar] [CrossRef]
  72. Wu, S.-L.; Hsu, C.-P. Role of authenticity in massively multiplayer online role playing games (MMORPGs): Determinants of virtual item purchase intention. J. Bus. Res. 2018, 92, 242–249. [Google Scholar] [CrossRef]
  73. Ayeh, J.K.; Au, N.; Law, R. “Do we believe in TripAdvisor?” Examining credibility perceptions and online travelers’ attitude toward using user-generated content. J. Travel Res. 2013, 52, 437–452. [Google Scholar] [CrossRef]
  74. Dawar, S.; Panwar, S.; Dhaka, S.; Kudal, P. Antecedents and role of trust in chatbot use intentions: An Indian perspective. Mark. Menedžment Innovacij 2022, 13, 198–206. [Google Scholar] [CrossRef]
  75. Brislin, R.W. Back-translation for cross-cultural research. J. Cross-Cult. Psychol. 1970, 1, 185–216. [Google Scholar] [CrossRef]
  76. Hair, J.F., Jr.; Hult, G.T.M.; Ringle, C.M.; Sarstedt, M.; Danks, N.P.; Ray, S. Partial Least Squares Structural Equation Modeling (PLS-SEM) Using R: A Workbook; Springer Nature: Berlin, Germany, 2021. [Google Scholar] [CrossRef]
  77. Podsakoff, P.M.; MacKenzie, S.B.; Lee, J.-Y.; Podsakoff, N.P. Common method biases in behavioral research: A critical review of the literature and recommended remedies. J. Appl. Psychol. 2003, 88, 879. [Google Scholar] [CrossRef] [PubMed]
  78. Cohen, J. Statistical Power Analysis for the Behavioral Sciences; Routledge: Abingdon, UK, 2013. [Google Scholar] [CrossRef]
  79. Henseler, J.; Ringle, C.M.; Sarstedt, M. A new criterion for assessing discriminant validity in variance-based structural equation modeling. J. Acad. Mark. Sci. 2015, 43, 115–135. [Google Scholar] [CrossRef]
  80. Hair, J.F. A Primer on Partial Least Squares Structural Equation Modeling (PLS-SEM); Sage: Newcastle upon Tyne, UK, 2014. [Google Scholar]
  81. Quesnel, D.; Riecke, B.E. Are you awed yet? How virtual reality gives us awe and goose bumps. Front. Psychol. 2018, 9, 2158. [Google Scholar] [CrossRef]
  82. Chirico, A.; Cipresso, P.; Yaden, D.B.; Biassoni, F.; Riva, G.; Gaggioli, A. Effectiveness of immersive videos in inducing awe: An experimental study. Sci. Rep. 2017, 7, 1218. [Google Scholar] [CrossRef]
  83. Wu, L.; Chiu, M.-L.; Chen, K.-W. Defining the determinants of online impulse buying through a shopping process of integrating perceived risk, expectation-confirmation model, and flow theory issues. Int. J. Inf. Manag. 2020, 52, 102099. [Google Scholar] [CrossRef]
  84. Wang, Y.; Zhu, J.; Liu, R.; Jiang, Y. Enhancing recommendation acceptance: Resolving the personalization–privacy paradox in recommender systems: A privacy calculus perspective. Int. J. Inf. Manag. 2024, 76, 102755. [Google Scholar] [CrossRef]
Figure 1. Research model.
Figure 1. Research model.
Jtaer 20 00307 g001
Figure 2. Structural model analysis results. Note: * p < 0.05, ** p < 0.01, *** p < 0.001.
Figure 2. Structural model analysis results. Note: * p < 0.05, ** p < 0.01, *** p < 0.001.
Jtaer 20 00307 g002
Table 1. Demographic information (n = 346).
Table 1. Demographic information (n = 346).
DemographicCategoriesFrequencyPercent (%)
GenderMale18252.6
Female16447.4
Age18–2911834.1
30–3913539.0
40–496217.9
50–59257.2
≥6061.7
Education levelHigh school or below288.1
Bachelor’s degree14541.9
Master’s degree13639.3
Doctoral degree3710.7
Annual income (RMB)≤200,000195.5
200,001–400,0007421.4
400,001–800,00012135.0
800,001–1,500,0009728.0
≥1,500,0003510.1
Table 2. Reliability and validity test results.
Table 2. Reliability and validity test results.
ConstructCronbach’s AlphaCRAVEFornell–Larcker Criterion/HTMT
CQTQPAPRTRAWBI
CQ0.8970.8980.7070.8410.4300.4170.3800.3650.4070.459
TQ0.8410.8490.6760.3720.8220.3810.4720.3730.4180.481
PA0.8860.8910.6860.3740.3350.8280.4110.3560.3970.439
PR0.8970.8990.708−0.340−0.414−0.3690.8410.3790.4760.474
TR0.8750.8780.6670.3250.3260.316−0.3380.8160.3640.439
AW0.8570.8600.7000.3570.3600.349−0.4200.3170.8370.476
BI0.8250.8280.7410.3960.4050.378−0.4100.3770.4030.861
Note: 1. Fornell and Larcker: The diagonal elements (in bold) represent the square root of the AVE, while the off-diagonal elements below the diagonal are the inter-construct correlations. 2. Heterotrait–monotrait ratio (HTMT) values are displayed above the diagonals.
Table 3. Mean, standard deviation (S.D.), factor loading, and variance inflation factor (VIF).
Table 3. Mean, standard deviation (S.D.), factor loading, and variance inflation factor (VIF).
Construct/ItemsMeanS.D.Factor LoadingsVIF
Content quality (CQ)
CQ 14.3761.6870.8462.295
CQ 24.5171.6150.8222.009
CQ 34.5381.6090.8532.412
CQ 44.4541.6050.8322.270
CQ 54.4081.6500.8512.355
Technical quality (TQ)
TQ 14.5721.5180.8171.901
TQ 24.5981.4460.7971.781
TQ 34.6681.5310.8551.981
TQ 44.6391.4760.8201.755
Perceived authenticity (PA)
PA 14.3791.6360.8232.085
PA 24.4281.5920.7851.917
PA 34.3531.5790.8432.203
PA 44.4281.6120.8452.273
PA 54.5061.6150.8432.158
Perceived risk (PR)
PR 13.6331.6360.8362.307
PR 23.5921.6530.8462.398
PR 33.6471.6490.8442.27
PR 43.6241.6420.8272.124
PR 53.7051.6110.8532.334
Trustworthiness (TR)
TR 14.2691.6160.8182.024
TR 24.3501.6240.8102.034
TR 34.3501.5500.8051.879
TR 44.2601.5510.8402.149
TR 54.4621.5820.8091.960
Awe (AW)
AW 14.2571.6000.8201.886
AW 24.3611.6290.8402.037
AW 34.3961.5960.8341.938
AW 44.3151.6680.8532.027
Behavioral intention (BI)
BI 14.2141.6000.8802.001
BI 24.3821.6340.8401.792
BI 34.2021.6180.8611.845
Table 4. Path coefficients and confidence intervals (CI).
Table 4. Path coefficients and confidence intervals (CI).
HypothesisPathβp-ValueCIResults
LLUL
H1CQ → TR0.1590.0060.0430.269Supported
H2TQ → TR0.1480.0100.0330.264Supported
H3CQ → AW0.1630.0020.0620.267Supported
H4TQ → AW0.1470.0050.0420.250Supported
H5CQ → BI0.1450.0050.0420.248Supported
H6TQ → BI0.1500.0060.0440.256Supported
H7PA → TR0.1450.0110.0320.259Supported
H8PR → TR−0.1700.002−0.280−0.061Supported
H9PA → AW0.1480.0050.0450.249Supported
H10PR → AW−0.2490.000−0.355−0.144Supported
H11PA → BI0.1230.0230.0150.227Supported
H12PR → BI−0.1410.007−0.243−0.038Supported
H13TR → BI0.1480.0040.0430.244Supported
H14AW → BI0.1480.0030.0520.245Supported
H15aCQ → TR → BI0.0230.0590.0050.053Not Supported
H15bTQ → TR → BI0.0220.0700.0040.053Not Supported
H16aCQ → AW → BI0.0240.0300.0070.053Supported
H16bTQ → AW → BI0.0220.0460.0050.049Supported
H17aPA → TR → BI0.0210.0540.0040.049Not Supported
H17bPR → TR → BI−0.0250.039−0.056−0.007Supported
H18aPA → AW → BI0.0220.0550.0050.050Not Supported
H18bPR → AW → BI−0.0370.015−0.073−0.013Supported
Disclaimer/Publisher’s Note: The statements, opinions and data contained in all publications are solely those of the individual author(s) and contributor(s) and not of MDPI and/or the editor(s). MDPI and/or the editor(s) disclaim responsibility for any injury to people or property resulting from any ideas, methods, instructions or products referred to in the content.

Share and Cite

MDPI and ACS Style

Wang, S.; Peng, K.-L.; Huang, Z.; Ma, L. AI-Generated Videos: Influencing Trustworthiness, Awe, and Behavioral Intention in Space Tourism E-Commerce. J. Theor. Appl. Electron. Commer. Res. 2025, 20, 307. https://doi.org/10.3390/jtaer20040307

AMA Style

Wang S, Peng K-L, Huang Z, Ma L. AI-Generated Videos: Influencing Trustworthiness, Awe, and Behavioral Intention in Space Tourism E-Commerce. Journal of Theoretical and Applied Electronic Commerce Research. 2025; 20(4):307. https://doi.org/10.3390/jtaer20040307

Chicago/Turabian Style

Wang, Shanshan, Kang-Lin Peng, Zhilun Huang, and Linjie Ma. 2025. "AI-Generated Videos: Influencing Trustworthiness, Awe, and Behavioral Intention in Space Tourism E-Commerce" Journal of Theoretical and Applied Electronic Commerce Research 20, no. 4: 307. https://doi.org/10.3390/jtaer20040307

APA Style

Wang, S., Peng, K.-L., Huang, Z., & Ma, L. (2025). AI-Generated Videos: Influencing Trustworthiness, Awe, and Behavioral Intention in Space Tourism E-Commerce. Journal of Theoretical and Applied Electronic Commerce Research, 20(4), 307. https://doi.org/10.3390/jtaer20040307

Article Metrics

Back to TopTop