Abstract
The application of big data targeted advertising in the green supply chain makes the green marketing of products more accurate and effective. This paper applies game theory to study the decisions and coordination issues of a green supply chain in which the online retailer conducts big data targeted advertising. A centralized model and two Stackelberg game models (an online-retailer-led decentralized model and a manufacturer-led decentralized model) were constructed and solved. The zero wholesale price-side-payment contract and greedy wholesale price-side-payment contract were introduced into the green supply chain for coordination. The study found that: (1) the increase in demand attenuation coefficient, green sensitivity coefficient, and big data targeted advertising sensitivity coefficient will be beneficial to the growth of total consumer demand, supply chain profit, and environmental benefit; (2) supply chain coordination is necessary because greenness, demand, supply chain profit, and environmental benefit under the centralized model are higher than those under two decentralized models; (3) two contracts can achieve the coordination of the green supply chain, and the profits of the manufacturer and online retailer under the contract are greater than those under the decentralized model. The results can provide insights for promoting green supply chain operations.
1. Introduction
In view of the shortage of resources, environmental degradation, and frequent disasters, many countries have promulgated legislation to reduce the waste of resources and protect the environment [1]. With increasing environmental awareness, consumers are more willing to purchase environmentally friendly products at a premium [2]. Under pressure from the promulgation of government regulations and increased consumer awareness of environmental protection, the green supply chain has emerged. The green supply chain considers environmental protection to minimize the negative impact of the supply chain on the environment. The green supply chain plays an extremely important role in conserving resources and protecting the environment [3,4]. More and more manufacturers are investing in green production and building green supply chains. For example, BYD Company Limited (BYD) from Shenzhen, China, invested 10.627 billion yuan in the research and development (R&D) of electric vehicles in 2021 [5].
As green production is being paid more attention, retailers are committed to green marketing. In the e-commerce field, big data has helped the development of green marketing. Enterprises can discover knowledge [6], create value [7], and improve performance [8] through big data. The application of big data targeted advertising in e-commerce marketing has effectively improved the conversion efficiency of potential consumers to consumers. In the green supply chain, online retailers are widely using big data targeted advertising for green marketing [9]. For example, Suning, a large online retailer in China, uses big data targeted advertising for green marketing of the products of the electric appliance manufacturer Hisense, which directly guides consumption and improves the brand loyalty of the target segmentation [10]. JD’s self-operated retail stores used big data targeted advertising to promote Huawei mobile phones, which significantly increased the sales of these mobile phones [11]. Big data targeted advertising uses big-data-based user portraits to locate target customer groups. Compared with traditional bombardment advertising, big data targeted advertising makes advertising more effective and less likely to arouse consumer disgust [12]. The reasonable application of big data targeted advertising for green marketing has become an inevitable choice for online retailers. Therefore, big data targeted advertising in the green supply chain is worthy of our attention.
However, competition is fierce in the green supply chain consisting of manufacturers and online retailers. One example is the price war between Gome Electric (GOME), China, and Gree Electric Appliances, Inc. of Zhuhai (GREE), China [13]. This is because manufacturers make green investments and online retailers make big data targeted advertising investments, both of whom want to make more profits. Therefore, how manufacturers and online retailers can make optimal decisions in the competition to maximize their own profits is a very important issue.
When manufacturers and retailers compete in the supply chain, how to eliminate the competition is also the focus of supply chain and operations management scholars. Researchers propose a series of coordination contracts based on a wholesale price contract to eliminate competition among supply chain members [14,15]. For example, the cost sharing contract [16], the revenue sharing contract [14], etc. However, in the green supply chain where the online retailer conducts big data targeted advertising, what kind of contract can be accepted by both parties and coordinate the supply chain more simply and effectively? This is also a very important issue.
Therefore, in this context, this paper focuses on the green supply chain composed of a manufacturer and an online retailer, uses game theory to analyze the decision-making problems of the green supply chain, and designs a zero wholesale price-side-payment contract and a greedy wholesale price-side-payment contract to coordinate the supply chain in different situations to eliminate competition. Through this paper, we answer the following questions:
- (1)
- In the green supply chain where the online retailer conducts big data targeted advertising, what are the optimal decisions for the manufacturer and the online retailer?
- (2)
- What influence will the model parameters have on the equilibrium results of the green supply chain?
- (3)
- Can the zero wholesale price-side-payment contract and the greedy wholesale price-side-payment contract help to achieve the coordination of the green supply chain?
The remainder of this paper is organized as follows. A brief review of the literature is presented in Section 2. Section 3 describes the problem and builds the model. Section 4 analyzes the model and introduces two contracts. Section 5 verifies the above propositions through numerical analysis. Section 6 concludes the paper.
2. Literature Review
The following section will review studies that are closely relevant to our research. These studies fall into three categories: namely, decisions of the green supply chain, coordination of the green supply chain, and the application of big data targeted advertising in the supply chain.
2.1. Decisions of the Green Supply Chain
The research on the decisions of the green supply chain can be divided into two directions. The first is the decisions of the green supply chain under different power structures. This has been studied by many scholars, and the centralized model, the Stackelberg game model, and the Nash game model have been constructed [17,18,19,20]. The optimal decisions of supply chain members under different power structures are obtained, and the influence of channel structure on decisions and profits is demonstrated. This paper will adopt a similar logic to these studies and analyze both centralized and decentralized decision making. In contrast to these studies, this paper uses contracts to coordinate the green supply chain and eliminate competition between manufacturers and online retailers.
The second is the decisions of the green supply chain considering influencing factors of the supply chain. With the development of the green supply chain, more and more factors are being considered in the field of green supply chain operation decisions [21,22]. External policy factors such as government policies [23], government subsidies [24], and the cap-and-trade mechanism [25] have been considered. Yan et al. [26] considered the influence of consumer behavior on green supply chain decisions from the perspective of consumers. Organizational behavioral factors such as risk aversion [27] and fairness concerns [28] were considered as well. The influence of these factors on the decisions of the green supply chain members is analyzed. Different from these studies, this paper considers the green marketing behavior of the online retailer with big data targeted advertising in the green supply chain.
In summary, the above literature involves a large number of studies on the decisions of the green supply chain. However, these do not consider the big data targeted advertising behavior of online retailers in the green supply chain. Therefore, the research on decisions of the green supply chain is not enough. In this paper, wholesale price, retail price, greenness, and big data targeted advertising intensity are used as decision variables. We use game theory to obtain the equilibrium results under a centralized model and two decentralized models. This has made new contributions to the decisions of the green supply chain. This research can help members of the green supply chain make optimal pricing, green investment, and big data targeted advertising investment decisions.
2.2. Coordination of the Green Supply Chain
For a decentralized supply chain, coordination among supply chain members is very important to their performance [29,30]. Researchers design different contracts for different situations in the green supply chain. The profits of the supply chain members under the contract are higher than those under decentralized decision making, and the sum of the profits of the supply chain members under the contract is equal to that under centralized decision making in order to achieve the coordination of the green supply chain [14,31,32].
Many scholars often use the cost sharing contract [16], revenue sharing contract [15], and two-part tariff contract [33,34] to coordinate the green supply chain. Some scholars have considered other contracts in the green supply chain [35]. For example, Zhang et al. [36] used return contracts for green supply chain coordination. Xu et al. [37] used a combination of the wholesale price contract, cost sharing contract, and two-part tariff contract to coordinate the green supply chain. Heydaria et al. [38] designed a mixed contract of greening cost sharing and revenue sharing to coordinate the green supply chain. A coordinated supply chain can obtain more satisfied customers and more profits. Scholars have made many attempts at contract design. These contracts are all extended on the basis of the wholesale price contract.
Different from the above literature, this paper introduces the zero wholesale price-side-payment contract and greedy wholesale price-side-payment contract into the green supply chain based on the wholesale price contract and obtains the coordination conditions. It extends the application of these two contracts and provides new contract options for green supply chain members. Through the application of contracts, green supply chain coordination can be achieved, supply chain members can receive more benefits, and the supply chain can achieve greater environmental benefits.
2.3. Application of Big Data Targeted Advertising in the Supply Chain
With the development of big data, big data analysis technology has been applied in all aspects of society [9]. In the field of marketing, big data analysis technology can help companies obtain accurate consumer information, such as consumer purchase intention and demand information [39,40]. The combination of big data and machine learning can help to understand consumers’ satisfaction [41], shopping habits [42], and preferences [43,44]. On this basis, big data targeted advertising has gradually emerged. The method of predicting the recommended location of the targeted advertisement [45] and the method of processing consumer online big data [46] provide a guarantee for the precise arrival of the targeted advertisement.
Some scholars have introduced big data targeted advertising into the supply chain decision-making field and strive to obtain the optimal big data targeted advertising investment of supply chain members. Liu and Yi [9] first considered big data targeted advertising in the supply chain and used game theory to solve the optimal decisions. Big data targeted advertising has also been considered in the low-carbon supply chain [47] and the closed-loop remanufacturing supply chain [48]. Liu and Yi [49] innovatively considered big data targeted advertising in the green supply chain and solved optimal big data targeted advertising decisions under different power structures. Li et al. [50] also considered big data targeted advertising in the green supply chain and obtained green marketing decisions for manufacturers and online retailers.
According to the above review, it can be found that there is not enough research that considers big data targeted advertising in the green supply chain and on the issue of green supply chain coordination. Therefore, it is necessary to study this issue. The most relevant literature to this paper is the research of [49,50]. Based on the research of [50], we divide consumers into known information consumers and potential consumers; based on the research of [49,50], the new consumer demand function in the environment of big data targeted advertising is obtained. On this basis, the optimal decisions of the supply chain members are obtained. The zero wholesale price-side-payment contract and greedy wholesale price-side-payment contract are then used to coordinate the green supply chain.
3. Problem Description and Model Construction
The research in this paper concerns a green supply chain composed of a manufacturer, an online retailer, and green preference consumers. The product sales process of the green supply chain is as follows. The manufacturer invests in green cost to produce products with a greenness of and sells them to the online retailer at a wholesale price of . The online retailer invests in big data targeted advertising cost for green marketing with a big data targeted advertising intensity of and sells products to consumers at retail price . Consumer groups are divided into two types: known information consumers and potential consumers [50]. Known information consumers will actively learn product information and purchase spontaneously. They are loyal customers of products such as Apple’s mobile phone ‘fruit fan’ and Xiaomi’s mobile phone ‘enthusiast’ [50], but their numbers will gradually decline with an attenuation coefficient of . Potential consumers will not purchase products spontaneously. Big data targeted advertising can identify potential consumers, induce their consumption, and help them complete the conversion from potential consumers to consumers. High green investment will increase the conversion rate, and high retail price will reduce the conversion rate. To simplify the calculation, the manufacturing cost of green products is assumed to be zero. The structure of the green supply chain is shown in Figure 1.
Figure 1.
The structure of the green supply chain.
The description of the related symbols used in this paper is shown in Table 1.
Table 1.
Notations and descriptions.
With reference to previous research [50,51], the conversion rate of potential consumers is negatively impacted by retail price and positively impacted by greenness and big data targeted advertising intensity. The conversion rate of potential consumers can be expressed as:
The total consumer demand of the green supply chain is equal to the sum of known information consumer demand and potential consumer demand. According to Equation (1), the total consumer demand of the green supply chain can be expressed as:
The manufacturer invests in green cost to enhance greenness by improving the technology and other methods. With reference to previous research [16,17], the green investment of the manufacturer can be expressed as:
The online retailer invests in the cost of big data targeted advertising to promote the conversion of potential consumers to consumers by delivering relevant advertisements to potential consumers through their browsing history and other methods. With reference to previous research [50], the big data targeted advertising investment of the online retailer can be expressed as:
According to Equations (2) and (3), the profit function of the manufacturer is:
According to Equations (2) and (4), the profit function of the online retailer is:
According to Equations (5) and (6), the overall profit function of the green supply chain is:
With reference to previous research [23,52], the environmental benefit function of the green supply chain is:
4. Model Analysis
In this section, the equilibrium results under the centralized model are first obtained. We then solve the equilibrium results under the decentralized models for two different cases. Moreover, we introduce the zero wholesale price-side-payment contract to coordinate the online-retailer-led green supply chain and the greedy wholesale price-side-payment contract to coordinate the manufacturer-led green supply chain. The superscripts c, r, and m represent the equilibrium situation under the centralized model, online-retailer-led decentralized model, and manufacturer-led decentralized model, respectively. The superscripts zs and gs represent the equilibrium situation under the zero wholesale price-side-payment contract and greedy wholesale price-side-payment contract, respectively.
4.1. Centralized Model
Under centralized decision making, the manufacturer and online retailer work together to make decisions with the goal of maximizing the overall benefits of the green supply chain. The decision objective function of the green supply chain is shown in Equation (7). Although the situation of centralized decision making is difficult to achieve in reality, it has important theoretical significance because supply chain coordination is carried out on the basis of centralized decision making.
Theorem 1.
The equilibrium results under the centralized model are:
In the above equations, .
Proof of Theorem 1.
The proof process is shown in Appendix A.1. □
Proposition 1.
The green supply chain under the centralized model has the following characteristics:
- (1)
- ,,,,,.
- (2)
- ,,,,,.
- (3)
- ,,,,,.
Proof of Proposition 1.
The proof process is shown in Appendix A.2. □
From Proposition 1, we can see that under the centralized model, the increase in the attenuation coefficient, green sensitivity coefficient, and big data targeted advertising sensitivity coefficient will lead to an increase in retail price, greenness, big data targeted advertising intensity, total consumer demand, overall profit of the supply chain, and environmental benefit.
The reason for Proposition 1 is that, as the demand attenuation coefficient increases, the demand of known information consumers will increase. As the green sensitivity coefficient and the big data targeted advertising sensitivity coefficient increase, the conversion rate of potential consumers will increase. The increase in the demand of known information consumers and the conversion rate of potential consumers will lead to an increase in the total consumer demand. The increase in total consumer demand leads to an increase in the overall profit of the green supply chain. The manufacturer has sufficient motivation to invest in green products and the online retailer has sufficient motivation to invest in the intensity of big data targeted advertising. As a result, the greenness of products and the intensity of big data targeted advertising will also increase. Green supply chain decision makers will also raise the retail price to offset the increase in investment costs. Increased greenness and demand lead to increased environmental benefits.
4.2. Online-Retailer-Led Model
4.2.1. Online-Retailer-Led Decentralized Model
Under the online-retailer-led decentralized model, the online retailer first determines the retail price p and big data targeted advertising intensity v based on their own profit maximization. The decision objective function of the online retailer is shown in Equation (6). The manufacturer determines the wholesale price ω and greenness g of the products to maximize their own profit based on the online retailer’s decisions. The decision objective function of the manufacturer is shown in Equation (5). The two parties follow the Stackelberg game, in which the online retailer is the leader and the manufacturer is the follower. Backward induction is used to solve the Stackelberg game. The follower’s optimal decision is solved first, and then the leader’s optimal decision is analyzed forward.
Theorem 2.
The equilibrium results under the online-retailer-led decentralized model are:
In the above equations, .
Proof of Theorem 2.
The proof process is shown in Appendix A.3. □
Proposition 2.
The green supply chain under the online-retailer-led decentralized model has the following characteristics:
- (1)
- ,,,,,,,,.
- (2)
- ,,,,,,,,.
- (3)
- ,,,,,,,,.
Proof of Proposition 2.
The proof process is shown in Appendix A.4. □
From Proposition 2, we can see that under the online-retailer-led decentralized model, the increase in the attenuation coefficient, green sensitivity coefficient, and big data targeted advertising sensitivity coefficient will lead to an increase in retail price, wholesale price, greenness, big data targeted advertising intensity, total consumer demand, manufacturer’s profit, online retailer’s profit, overall profit of the supply chain, and environmental benefit.
The reason for Proposition 2 is that, as the demand attenuation coefficient increases, the demand of known information consumers will increase. As the green sensitivity coefficient and the big data targeted advertising sensitivity coefficient increase, the conversion rate of potential consumers will increase. The increase in the demand of known information consumers and the conversion rate of potential consumers will lead to an increase in the total consumer demand. This is beneficial to the growth of the manufacturer’s profit and online retailer’s profit. The manufacturer and online retailer will make decisions to increase greenness and big data targeted advertising intensity to further expand demand. Therefore, the environmental benefit will be increased. In addition, the manufacturer will also increase the wholesale price to offset their own green investment. The online retailer will increase the marginal profit of products by increasing the retail price, thereby further expanding their own profit.
Comparing the above centralized model and online-retailer-led decentralized model, Proposition 3 can be obtained.
Proposition 3.
The relationship between greenness, big data targeted advertising intensity, retail price, total consumer demand, overall profit of the supply chain, and environmental benefit is as follows:
- (1)
- ,,,,.
- (2)
- When,; when,.
Proof of Proposition 3.
The proof process is shown in Appendix A.5. □
From Proposition 3, we can see that the greenness, big data targeted advertising intensity, total consumer demand, overall profit of the supply chain, and environmental benefit under the online-retailer-led decentralized model are all lower than that under the centralized model. The relationship of retail price under the two models is affected by the model parameters.
The reason for Proposition 3 is that the decentralized model increases the intermediate process of wholesale products from the manufacturer to the online retailer. The price competition between the two parties in this process prevents both parties from making the same cost input as the centralized model. Therefore, the greenness and big data targeted advertising intensity are lower under the decentralized model. This also leads to the total consumer demand, overall profit of the supply chain, and environmental benefit that cannot reach the level under the centralized model. In addition, under the decentralized model, the online retailer will price products according to different circumstances to obtain more profits.
From Proposition 3, we can know that under the online-retailer-led decentralized model, the optimal decisions, profits, and environmental benefit cannot reach the situation as under the centralized model. Therefore, it is necessary to carry out the supply chain contract design and coordinate the green supply chain.
4.2.2. Coordination Model with the Zero Wholesale Price-Side-Payment Contract
A zero wholesale price-side-payment contract means that the manufacturer wholesales the products to the online retailer at a wholesale price of zero, and then the manufacturer receives a fixed payment from the online retailer. For example, some farmers supply fresh agricultural products to supermarkets at a zero wholesale price and receive compensation in the form of fixed payments. There are similar applications in the fashion industry and the power industry [53]. In the online-retailer-led green supply chain, the online retailer has the power to dominate the supply chain. Therefore, the contract is acceptable to both parties.
Under the zero wholesale price-side-payment contract situation, the online retailer determines the intensity of big data targeted advertising of and the retail price of . Then, the manufacturer produces green products with a greenness of and wholesales them to the online retailer at a zero wholesale price. After the sale is over, the online retailer compensates the manufacturer for a fixed payment . In order to make the overall profit of the supply chain and environmental benefit reach those under the centralized model, the following conditions need to be met: , , .
At this time, the profits of the manufacturer and online retailer are:
When the green supply chain is coordinated, the profits of the manufacturer and online retailer under the zero wholesale price-side-payment contract are greater than those under the online-retailer-led decentralized model, namely and . According to Equations (20), (21), (24), and (25), we can obtain:
Substituting Equations (9)–(11) into Equations (26) and (27), the range of can be obtained:
From the above analysis, Proposition 4 can be obtained.
Proposition 4.
When the zero wholesale price-side-payment contract is used for online-retailer-led green supply chain coordination, the online retailer’s fixed payment to the manufacturer satisfies , the green supply chain has reached coordination.
4.3. Manufacturer-Led Model
4.3.1. Manufacturer-Led Decentralized Model
Under a manufacturer-led decentralized model, the manufacturer first determines the wholesale price and greenness of the products based on their own profit maximization. The decision objective function of the manufacturer is shown in Equation (5). The online retailer determines the retail price and big data targeted advertising intensity to maximize their own profit based on the manufacturer’s decisions. The decision objective function of the online retailer is shown in Equation (6). The two parties follow the Stackelberg game, in which the manufacturer is the leader and the online retailer is the follower. Backward induction is also used to solve the Stackelberg game.
Theorem 3.
The equilibrium results under the manufacturer-led decentralized model are:
In the above equations, .
Proof of Theorem 3.
The proof process is shown in Appendix A.6. □
Proposition 5.
The green supply chain under the manufacturer-led decentralized model has the following characteristics:
- (1)
- ,,,,,,,, 0.
- (2)
- ,,,,,,,,.
- (3)
- ,,,,,,,,.
Proof of Proposition 5.
The proof process is shown in Appendix A.7. □
From Proposition 5, we can see that, under the manufacturer-led decentralized model, the increase in the attenuation coefficient, green sensitivity coefficient, and big data targeted advertising sensitivity coefficient will lead to an increase in the retail price, wholesale price, greenness, big data targeted advertising intensity, total consumer demand, manufacturer’s profit, online retailer’s profit, overall profit of the supply chain, and environmental benefit.
The reason for Proposition 5 is similar to that of Proposition 2.
Comparing the above centralized model and manufacturer-led decentralized model, Proposition 6 can be obtained.
Proposition 6.
The relationship between greenness, big data targeted advertising intensity, retail price, total consumer demand, overall profit of the supply chain, and environmental benefit is as follows:
- (1)
- ,,,,.
- (2)
- When,; when,.
Proof of Proposition 6.
The proof process is shown in Appendix A.8. □
From Proposition 6, we can see that the greenness, big data targeted advertising intensity, total consumer demand, overall profit of the supply chain, and environmental benefit under the manufacturer-led decentralized model are all lower than that under the centralized model. The relationship of retail price under the two models is affected by the model parameters.
The reason for Proposition 6 is similar to that of Proposition 3.
From Proposition 6, we can know that under the manufacturer-led decentralized model, the optimal decisions, profits, and environmental benefit cannot reach the situation as under the centralized model. Therefore, it is necessary to carry out the supply chain contract design and coordinate the green supply chain.
4.3.2. Coordination Model with the Greedy Wholesale Price-Side-Payment Contract
A greedy wholesale price-side-payment contract means that the manufacturer wholesales the product to the online retailer at the wholesale price (the wholesale price is equal to the retail price). Then, the online retailer obtains a fixed payment from the manufacturer for compensation. This is another contract corresponding to the zero wholesale price-side-payment contract. In the manufacturer-led green supply chain, the manufacturer has the power to dominate the supply chain. Therefore, the contract is acceptable to both parties.
Under the greedy wholesale price-side-payment contract situation, the manufacturer produces green products with a greenness of and wholesales them to the online retailer at the wholesale price equal to the retail price of . Then, the online retailer invests in the intensity of big data targeted advertising of and sells green products to customers at the retail price of . After the sale is over, the manufacturer compensates the online retailer for a fixed payment . In order to make the overall profit of the supply chain and environmental benefit reach those under the centralized model, the following conditions need to be met: , , .
At this time, the profits of the manufacturer and online retailer are:
When the supply chain is coordinated, the profits of the manufacturer and online retailer under the greedy wholesale price-side-payment contract are greater than those under the manufacturer-led decentralized model, namely and . According to Equations (34), (35), (38), and (39), we can acquire:
Substituting Equations (9)–(11) into Equations (40) and (41), the range of can be obtained:
From the above analysis, Proposition 7 can be obtained.
Proposition 7.
When the greedy wholesale price-side-payment contract is used for manufacturer-led green supply chain coordination, the manufacturer’s fixed payment to the online retailer satisfies , the green supply chain has reached coordination.
5. Numerical Analysis
In this section, the propositions of the previous section will be intuitively explained through numerical analysis to verify the effectiveness of the model. According to previous research [40,41], we set the model parameters as , , , , , .
5.1. Impact of Model Parameters
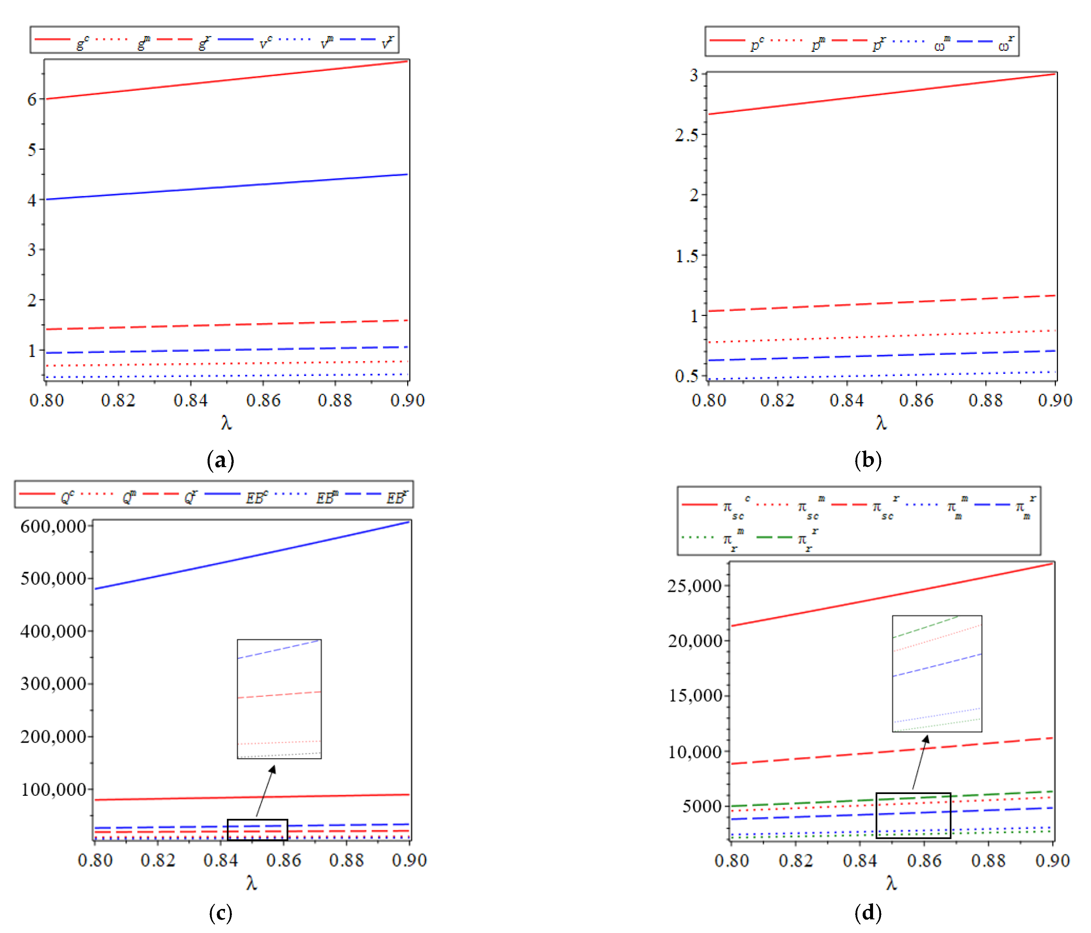
Let , Figure 2 can be obtained.
Figure 2.
Decisions, demand, profits, and environmental benefit change with . (a) Greenness and targeted advertising intensity change with λ. (b) Prices change with . (c) Demand and environmental benefit change with . (d) Profits change with .
It can be seen from Figure 2 that, whether it is a centralized model or a decentralized model, as increases, the decision variables, total consumer demand, profits, and environmental benefit will increase. This is consistent with Propositions 1, 2, and 5. Therefore, an increase in the attenuation coefficient of known information consumers will help the green supply chain to obtain more demand, profits, and environmental benefit. Manufacturers and online retailers must understand and meet customer demand, establish long-term partnerships with customers, and treat customer complaints correctly to improve customer satisfaction. For customers who have already withdrawn, manufacturers and online retailers should analyze the reasons for the withdrawal of customers, summarize experiences, and improve products to inhibit the withdrawal of more similar customers.
Let , , and Figure 3 can be obtained.
Figure 3.
Decisions, demand, profits, and environmental benefit change with . (a) Greenness and targeted advertising intensity change with . (b) Prices change with . (c) Demand and environmental benefit change with . (d) Profits change with .
It can be seen from Figure 3 that, whether it is a centralized model or a decentralized model, as increases, the decision variables, total consumer demand, profits and environmental benefit will increase. This is consistent with Propositions 1, 2, and 5. Similarly, an increase in the green sensitivity coefficient of potential consumers will help the green supply chain obtain more demand, profits, and environmental benefit. This finding of our study is supported by [15,47,49]. Both manufacturers and online retailers can guide consumers’ green concepts through television propaganda, online propaganda, etc., and promote consumer purchase of green products. Manufacturers and online retailers can also offer incentives to consumers who have purchased green products. Motivated consumers should create a new trend of green consumption by recommending green products to relatives and friends and communicating with the community. Manufacturers and online retailers can also provide customers with service experience to improve the emotional identity of consumers and promote the strengthening of consumer green awareness.
Let , , and Figure 4 can be obtained.
Figure 4.
Decisions, demand, profits, and environmental benefit change with . (a) Greenness and targeted advertising intensity change with . (b) Prices change with . (c) Demand and environmental benefit change with . (d) Profits change with .
It can be seen from Figure 4 that, whether it is a centralized model or a decentralized model, as increases, the decision variables, total consumer demand, profits, and environmental benefit will increase. This is consistent with Propositions 1, 2, and 5. Similarly, an increase in the sensitivity coefficient of big data targeted advertising of potential consumers will help the green supply chain to obtain more demand, profits, and environmental benefit. When big data targeted advertisements are delivered, online retailers should follow up on the potential consumers they obtain and quickly make feedback and strategic adjustments to ensure the effective conversion of potential consumers. It is also necessary to optimize the content of targeted advertising, such as reducing the number of words in the advertisement, increasing the proportion of pictures, etc., to maximize consumer interest.
A comprehensive comparison of the above figures shows that the greenness, big data targeted advertising intensity, total consumer demand, overall profit of the supply chain, and environmental benefit under the centralized model are always higher than those under the decentralized model. This is consistent with Propositions 3 and 6. This finding of our study is supported by [13,47,48,49]. Therefore, under centralized decision making, the greenness of the products purchased by consumers is the highest, the number of potential consumers transformed into consumers is the largest, the consumer demand is the largest, the profit of the entire supply chain is the largest, and the environmental benefit is the largest. It is necessary for the green supply chain to coordinate in the form of contractual cooperation under decentralized decision making.
5.2. Coordination Contract
Here, we set in addition to the original model parameter settings. Substituting the values of the parameters into the above equations, , , , and can be obtained. At this time, . The green supply chain is in an uncoordinated state. Under the zero wholesale price-side-payment contract, the value range of : . From this, we obtain the changes in the manufacturer’s profit, online retailer’s profit, and overall profit of the supply chain when changes within the range, as shown in Table 2.
Table 2.
Profits change with .
It can be seen from Table 2 that when the value range of is in the green supply chain coordinated with a zero wholesale price-side-payment contract, both the manufacturer’s profit and online retailer’s profit increase compared to those under the online-retailer-led decentralized model (, ), and the overall profit of the supply chain is equal to that under the centralized model (). At this time, the green supply chain is coordinated, and the manufacturer and online retailer have reached the goal of ‘win-win’. However, the specific value of is determined by the bargaining power of the manufacturer and online retailer. This finding is consistent with [53]. It can be seen from the value range of that a zero wholesale price-side-payment contract is actually somewhat ideal. However, it has applicability for the green supply chain consisting of small start-up manufacturers and large online retailers.
It can be seen from the model parameter settings that , , , and . At this time, . The green supply chain is in an uncoordinated state. Under the greedy wholesale price-side-payment contract, the value range of : . From this, we obtain the changes in the manufacturer’s profit, online retailer’s profit, and overall profit of the supply chain when changes within the range, as shown in Table 3.
Table 3.
Profit change with .
It can be seen from Table 3 that when the value range of is in the green supply chain coordinated with a greedy wholesale price-side-payment contract, both the manufacturer’s profit and online retailer’s profit increase compared to those under the manufacturer-led decentralized model (, ), and the overall profit of the supply chain is equal to that under the centralized model (). At this time, the green supply chain is coordinated, and the manufacturer and online retailer have reached the goal of ‘win-win’. However, the specific value of is determined by the bargaining power of the manufacturer and online retailer. This finding is consistent with [53]. It can be seen from the value range of that a greedy wholesale price-side-payment contract is actually somewhat ideal. However, it has applicability for the green supply chain consisting of large manufacturers and small online retailers.
6. Conclusions
In the era of big data, the application of big data targeted advertising has become very common. This paper studied the green supply chain in which the online retailer invests in big data targeted advertising and the manufacturer invests in greenness. First, equilibrium results under the centralized model were solved, and the effects of model parameters on equilibrium results were analyzed. Second, the online-retailer-led decentralized model was considered. Equilibrium results were obtained, the effects of model parameters on equilibrium results were analyzed, and a comparison with the centralized model was carried out. The introduction of the zero wholesale price-side-payment contract coordinates the online-retailer-led decentralized model. Third, the manufacturer-led decentralized model was considered. Equilibrium results were obtained, the effects of model parameters on equilibrium results were analyzed, and a comparison with the centralized model was carried out. The introduction of the greedy wholesale price-side-payment contract coordinates the manufacturer-led decentralized model. Finally, through numerical analysis, the validity of the model was verified, the related propositions were intuitively explained, and the opinions were provided for the supply chain.
This study has the following theoretical implications: (1) This study can guide the decision making of members in the green supply chain where the online retailer conducts big data targeted advertising, enriching the research in the field of supply chain decision making. (2) This study analyzed the influence of model parameters on the optimal decisions of supply chain members, which can further guide the development of the green supply chain. (3) This study introduced two new contracts for green supply chain coordination, which contributes to the research on green supply chain contracts. This study has the following practical implications: (1) Manufacturers and online retailers can obtain optimal decisions by quantifying relevant parameters. (2) The introduction of two new contracts is of great significance to the cooperation and contract formulation of members in the green supply chain.
By analyzing the decisions and coordination issues of the green supply chain, the following conclusions can be drawn. (1) Regardless of whether it is a centralized model or a decentralized model, the increase in the demand attenuation coefficient of known information consumers and the green sensitivity coefficient and big data targeted advertising sensitivity coefficient of potential consumers will all have a beneficial impact on the green supply chain. An increase in these three parameters will lead to an increase in the total consumer demand, manufacturer’s profit, online retailer’s profit, supply chain’s profit, and environmental benefit. (2) Compared to two decentralized models, the green supply chain under a centralized model can obtain more consumer demand, profit, and environmental benefit. (3) The zero wholesale price-side-payment contract can achieve the coordination of the online-retailer-led green supply chain. When the fixed payment meets certain conditions, the profits of the manufacturer and online retailer under the zero wholesale price-side-payment contract are greater than those under the online-retailer-led decentralized model. (4) The greedy wholesale price-side-payment contract can achieve the coordination of the manufacturer-led green supply chain. When the fixed payment meets certain conditions, the profits of the manufacturer and online retailer under the greedy wholesale price-side-payment contract are greater than those under the manufacturer-led decentralized model.
The management implications of this study are as follows.
- (1)
- Manufacturers must correctly understand the real product needs of consumers and actively carry out product improvements and green investment. Online retailers must meet consumer service needs and improve consumer satisfaction. As a result, the increase in the attenuation coefficient of known information consumers is promoted, and the withdrawal of consumers is inhibited.
- (2)
- In order to increase the green sensitivity of consumers, both manufacturers and online retailers must actively promote green products to create a new fashion for green consumption. In reality, the environmental awareness of consumers is constantly increasing, which is very important for the development of the green supply chain.
- (3)
- When big data targeted advertisements are delivered, online retailers should optimize the content of the targeted advertisements and adopt quick response strategies, such as issuing coupons to potential consumers waiting for conversion. As a result, the increase in the sensitivity coefficient of big data targeted advertising and the conversion rate of potential consumers is improved.
- (4)
- Whether it is an online-retailer-led green supply chain or a manufacturer-led green supply chain, manufacturers and online retailers should trust each other, agree on a fixed payment fee acceptable to both parties, and coordinate the green supply chain by adopting a zero wholesale price-side-payment contract or a greedy wholesale price-side-payment contract. The application of the contract ensures that both parties can obtain more profits and the green supply chain can obtain higher environmental benefits.
Although this paper has obtained some meaningful results, it also has certain limitations. First of all, this research was conducted under the condition that the members of the green supply chain are completely rational. Existing research has shown that not all supply chain members are completely rational. Therefore, future research can explore the green supply chain under the bounded rationality of supply chain members. Secondly, this research only studied the green supply chain where online retailers conduct big data targeted advertising. As big data receives increasing attention, more and more manufacturers are carrying out big data targeted advertising. Future research could also consider this situation.
Author Contributions
Conceptualization, H.H. and Y.L.; methodology, Y.L.; software, Y.L. and M.L.; validation, Y.L.; investigation, Y.L.; resources, H.H.; writing—original draft preparation, Y.L.; writing—review and editing, H.H.; visualization, Y.L.; supervision, M.L.; project administration, H.H.; funding acquisition, H.H. All authors have read and agreed to the published version of the manuscript.
Funding
This research was funded by the National Natural Science Foundation of China, grant number 71704151; the Soft Science Research Project of Innovation Competence Enhancement Plan of Hebei Province, grant number 21552501D; the Young Top Talent Project of Hebei Higher Education Institutions Humanities and Social Science Research Project, grant number BJ2021079; and the 2021 Hebei Provincial Postgraduate Demonstration Course Construction Project, grant number KCJSX2021021.
Institutional Review Board Statement
Not applicable.
Informed Consent Statement
Not applicable.
Data Availability Statement
Not applicable.
Acknowledgments
The authors thank the editors and reviewers for their hard work.
Conflicts of Interest
The authors declare no conflict of interest.
Appendix A
Appendix A.1. The Proof of Theorem 1
According to Equation (7), the Hessian matrix of with respect to , , and can be obtained as:
From Equation (A1), it can be known that when , is the joint concave function of , , and . Let , , and , we can acquire , , and , as shown in Equations (9)–(11).
Substituting Equations (9)–(11) into Equation (2), the optimal consumer demand can be obtained as shown in Equation (12).
Substituting Equations (9)–(11) into Equation (7), the optimal overall profit of the supply chain can be obtained as shown in Equation (13).
Substituting Equations (9)–(11) into Equation (8), the environmental benefit can be obtained as shown in Equation (14).
Appendix A.2. The Proof of Proposition 1
Let , , , , , and take the partial derivatives of , , and , respectively, we can obtain:
, , , , , .
, , , , , .
, , , , , .
Therefore, Proposition 1 can be proved.
Appendix A.3. The Proof of Theorem 2
Let , and substitute this into Equation (5). According to Equation (5), the Hessian matrix of with respect to and can be obtained as:
From Equation (A2), it can be known that is the joint concave function of and . Let and , we can acquire:
Substituting Equations (A3) and (A4) into Equation (6), it is easy to understand that is the joint concave function of and . Let and , we can obtain:
Substituting Equations (A5) and (A6) into Equations (A3) and (A4), we can acquire and , as shown in Equations (16) and (17).
Therefore, the optimal retail price can be obtained as shown in Equation (18).
Substituting Equations (15)–(18) into Equations (2) and (5)–(8), we can acquire , , , , and , as shown in Equations (19)–(23).
Appendix A.4. The Proof of Proposition 2
Let , , , , , , , , and take the partial derivatives of , , and , respectively, we can obtain:
, , , , , , , , .
, , , , , , , , .
, , , , , , , , .
Therefore, Proposition 2 can be proved.
Appendix A.5. The Proof of Proposition 3
Comparing the optimal situation under the centralized model and online-retailer-led decentralized model, we can acquire:
, , , .
As , when , ; when , .
Therefore, Proposition 3 can be proved.
Appendix A.6. The Proof of Theorem 3
According to Equation (6), the Hessian matrix of with respect to and can be obtained as:
From Equation (A7), it can be known that is the joint concave function of and . Let and , we can acquire:
Substituting Equations (A8) and (A9) into Equation (5), it is easy to understand that is the joint concave function of and . Let and , we can obtain and , as shown in Equations (29) and (30).
Substituting Equations (29) and (30) into Equations (A8) and (A9), we can acquire and , as shown in Equations (31) and (32).
Substituting Equations (29)–(32) into Equations (2) and (5)–(8), we can obtain , , , , and , as shown in Equations (33)–(37).
Appendix A.7. The Proof of Proposition 5
Let , , , , , , , , and take the partial derivatives of , , and , respectively, we can obtain:
, , , , , , , , .
, , , , , , , , .
, , , , , , , , .
Therefore, Proposition 5 can be proved.
Appendix A.8. The Proof of Proposition 6
Comparing the optimal situation under the centralized model and manufacturer-led decentralized model, we can acquire:
, , , .
As , when , ; when , .
Therefore, Proposition 6 can be proved.
References
- Gao, J.; Xiao, Z.; Cao, B.; Chai, Q. Green supply chain planning considering consumer’s transportation process. Transport. Res. E-Log. 2018, 109, 311–330. [Google Scholar] [CrossRef]
- Ambec, S.; Donder, P.D. Environmental policy with green consumerism. J. Environ. Econ. Manag. 2022, 111, 102584. [Google Scholar] [CrossRef]
- Liu, X.; Zhou, W.; Xie, L. Dynamic competitive game study of a green supply chain with R&D level. Comput. Ind. Eng. 2022, 163, 107785. [Google Scholar]
- Li, G.; Li, L.; Choi, T.M.; Sethi, S.P. Green supply chain management in Chinese firms: Innovative measures and the moderating role of quick response technology. J. Oper. Manag. 2020, 66, 958–988. [Google Scholar] [CrossRef]
- Wang, M. BYD Will Invest 10.627 Billion Yuan in Research and Development in 2021, a Year-on-Year Increase of 24.2%. Available online: https://baijiahao.baidu.com/s?id=1728641710586085698&wfr=spider&for=pc (accessed on 1 May 2021).
- Torre, M.L.; Dumay, J.; Rea, M.A. Breaching intellectual capital: Critical reflections on Big Data security. Medit. Account. Res. 2018, 26, 463–482. [Google Scholar] [CrossRef]
- Secundo, G.; Vecchio, P.D.; Dumay, J.; Passiante, G. Intellectual capital in the age of Big Data: Establishing a research agenda. J. Intellect. Cap. 2017, 18, 242–261. [Google Scholar] [CrossRef]
- Gravili, G.; Manta, F.; Cristofaro, C.L.; Reina, R.; Toma, P. Value that matters: Intellectual capital and big data to assess performance in healthcare. An empirical analysis on the European context. J. Intellect. Cap. 2021, 22, 260–289. [Google Scholar] [CrossRef]
- Liu, P.; Yi, S. Effects of consumer information and targeting advertising investment on supply chain pricing. Comput. Integr. Manuf. Syst. 2017, 23, 162–171. [Google Scholar]
- AdTime. AdTime & Hisense Suning Marketing Case Won the “Big Data Marketing Silver Award”. Available online: https://www.sohu.com/a/119546889_498848 (accessed on 1 May 2022).
- TechWeb. JD.com Customizes an Exclusive Marketing Plan for Huawei, and Cooperates with Big-Name Manufacturers to Upgrade. Available online: http://www.techweb.com.cn/news/2017-10-27/2598763.shtml (accessed on 1 May 2022).
- Liu, S.Q.; Mattila, A.S. Airbnb: Online targeted advertising, sense of power, and consumer decisions. Int. J. Hosp. Manag. 2017, 60, 33–41. [Google Scholar] [CrossRef]
- Jian, J.; Li, B.; Zhang, N.; Su, J. Decision-making and coordination of green closed-loop supply chain with fairness concern. J. Clean. Prod. 2021, 298, 126779. [Google Scholar] [CrossRef]
- Hu, H.; Wu, Q.; Han, S.; Zhang, Z. Coordination of dual-channel supply chain with perfect product considering sales effort. Adv. Prod. Eng. Manag. 2020, 15, 192–203. [Google Scholar] [CrossRef]
- Shen, Y.; Willems, S.P.; Dai, Y. Channel selection and contracting in the presence of a retail platform. Prod. Oper. Manag. 2019, 28, 1173–1185. [Google Scholar] [CrossRef]
- Liu, G.; Yang, H.; Dai, R. Which contract is more effective in improving product greenness under different power structures: Revenue sharing or cost sharing? Comput. Ind. Eng. 2022, 148, 106701. [Google Scholar] [CrossRef]
- Zhu, W.; He, Y. Green product design in supply chains under competition. Eur. J. Oper. Res. 2017, 258, 165–180. [Google Scholar] [CrossRef]
- Parsaeifar, S.; Bozorgi-Amiri, A.; Naimi-Sadigh, A.; Sangari, M.S. A game theoretical for coordination of pricing, recycling, and green product decisions in the supply chain. J. Clean. Prod. 2019, 226, 37–49. [Google Scholar] [CrossRef]
- Agi, M.; Yan, X. Greening products in a supply chain under market segmentation and different channel power structures. Int. J. Prod. Econ. 2020, 223, 107523. [Google Scholar] [CrossRef]
- Xia, Q.; Zhi, B.; Wang, X. The role of cross-shareholding in the green supply chain: Green contribution, power structure and coordination. Int. J. Prod. Econ. 2021, 234, 108037. [Google Scholar] [CrossRef]
- Agi, M.A.N.; Nishant, R. Understanding influential factors on implementing green supply chain management practices: An interpretive structural modelling analysis. J. Environ. Manag. 2017, 188, 351–363. [Google Scholar] [CrossRef]
- Jamali, M.B.; Rasti-barzoki, M. A game theoretic approach for green and non-green product pricing in chain-to-chain competitive sustainable and regular dual-channel supply chains. J. Clean. Prod. 2018, 170, 1029–1043. [Google Scholar] [CrossRef]
- Gao, J.; Xiao, Z.; Wei, H. Competition and coordination in a dual-channel green supply chain with an eco-label policy. Comput. Ind. Eng. 2021, 153, 107057. [Google Scholar] [CrossRef]
- Meng, Q.; Li, M.; Liu, W.; Li, Z.; Zhang, J. Pricing policies of dual-channel green supply chain: Considering government subsidies and consumers’ dual preferences. Sustain. Prod. Consump. 2021, 26, 1021–1030. [Google Scholar] [CrossRef]
- Li, Z.; Pan, Y.; Yang, W.; Ma, J.; Zhou, M. Effects of government subsidies on green technology investment and green marketing coordination of supply chain under the cap-and-trade mechanism. Energy Econ. 2021, 101, 105426. [Google Scholar] [CrossRef]
- Yan, B.; Chen, X.; Cai, C.; Guan, S. Supply chain coordination of fresh agricultural products based on consumer behavior. Comput. Oper. Res. 2020, 123, 105038. [Google Scholar] [CrossRef]
- Li, B.; Wang, H.; Zheng, W. Who will take on green product development in supply chains? manufacturer or online retailer. J. Clean. Prod. 2021, 314, 128000. [Google Scholar] [CrossRef]
- Wang, Y.; Fan, R.; Shen, L.; Jin, M. Decisions and coordination of green e-commerce supply chain considering green manufacturer’s fairness concerns. Int. J. Prod. Res. 2020, 58, 7471–7489. [Google Scholar] [CrossRef]
- Manoj, U.V.; Sriskandarajah, C.; Wagneur, E. Coordination in a two-stage production system: Complexity, conflict and cooperation. Comput. Oper. Res. 2012, 39, 1245–1256. [Google Scholar] [CrossRef]
- Tsao, Y.; Sheen, G. Effects of promotion cost sharing policy with the sales learning curve on supply chain coordination. Comput. Oper. Res. 2012, 39, 1872–1878. [Google Scholar] [CrossRef]
- Zhang, C.T.; Wang, H.X.; Ren, M.L. Research on pricing and coordination strategy of green supply chain under hybrid production mode. Comput. Ind. Eng. 2014, 72, 24–31. [Google Scholar] [CrossRef]
- Basiri, Z.; Heydari, J. A mathematical model for green supply chain coordination with substitutable products. J. Clean. Prod. 2017, 145, 232–249. [Google Scholar] [CrossRef] [Green Version]
- Li, M.; Zhang, X. Information acquisition and its incentives in an E-Commerce supply chain under the offline showroom model. J. Theor. Appl. Electron. Commer. Res. 2021, 16, 1791–1804. [Google Scholar] [CrossRef]
- Hong, Z.; Guo, X. Green product supply chain contracts considering environmental responsibilities. Omega 2019, 83, 155–166. [Google Scholar] [CrossRef]
- Hosseini-Motlagh, S.M.; Ebrahimi, S.; Jokar, A. Sustainable supply chain coordination under competition and green effort scheme. J. Oper. Res. Soc. 2021, 72, 304–319. [Google Scholar] [CrossRef]
- Zhang, L.; Wang, J.; You, J. Consumer environmental awareness and channel coordination with two substitutable products. Eur. J. Oper. Res. 2015, 241, 63–73. [Google Scholar] [CrossRef]
- Xu, X.; He, P.; Xu, H.; Zhang, Q. Supply chain coordination with green technology under cap-and-trade regulation. Int. J. Prod. Econ. 2017, 183, 433–442. [Google Scholar] [CrossRef]
- Heydaria, J.; Govindanb, K.; Basiria, Z. Balancing price and green quality in presence of consumer environmental awareness: A green supply chain coordination approach. Int. J. Prod. Res. 2020, 59, 1957–1975. [Google Scholar] [CrossRef]
- Lu, S.; Xiao, L.; Ding, M. A video-based automated recommender (VAR) system for garments. Mark. Sci. 2016, 35, 484–510. [Google Scholar] [CrossRef] [Green Version]
- Semanjski, I.; Gautama, S. Crowdsourcing mobility insights—Reflection of attitude based segments on high resolution mobility behaviour data. Transp. Res. C-Emer. 2016, 71, 434–446. [Google Scholar] [CrossRef]
- Kliestik, T.; Zvarikova, K.; Lăzăroiu, G. Data-driven Machine Learning and Neural Network Algorithms in the Retailing Environment: Consumer Engagement, Experience, and Purchase Behaviors. Econ. Manag. Financ. Mark. 2022, 17, 57–69. [Google Scholar]
- Hopkins, E. Machine Learning Tools, Algorithms, and Techniques in Retail Business Operations: Consumer Perceptions, Expectations, and Habits. J. Self-Gov. Manag. Econ. 2022, 10, 43–55. [Google Scholar]
- Nica, E.; Sabie, O.M.; Mascu, S.; Luțan, A.G. Artificial Intelligence Decision-Making in Shopping Patterns: Consumer Values, Cognition, and Attitudes. Econ. Manag. Financ. Mark. 2022, 17, 31–43. [Google Scholar]
- Kliestik, T.; Kovalova, E.; Lăzăroiu, G. Cognitive Decision-Making Algorithms in Data-driven Retail Intelligence: Consumer Sentiments, Choices, and Shopping Behaviors. J. Self-Gov. Manag. Econ. 2022, 10, 30–42. [Google Scholar]
- Li, X.; Li, M.; Gong, Y.J.; Zhang, X.L.; Yin, J. T-DesP: Destination prediction based on big trajectory data. IEEE T. Intell. Transp. 2016, 17, 2344–2354. [Google Scholar] [CrossRef]
- Trusov, M.; Ma, L.; Jamal, Z. Crumbs of the cookie: User profiling in customer-base analysis and behavioral targeting. Market. Sci. 2016, 35, 405–426. [Google Scholar] [CrossRef]
- Liu, P. Pricing policies and coordination of low-carbon supply chain considering targeted advertisement and carbon emission reduction costs in the big data environment. J. Clean. Prod. 2019, 210, 343–357. [Google Scholar] [CrossRef]
- Xiang, Z.; Xu, M. Dynamic game strategies of a two-stage remanufacturing closed-loop supply chain considering big data marketing, technological innovation and overconfidence. Comput. Ind. Eng. 2020, 145, 106538. [Google Scholar] [CrossRef]
- Liu, P.; Yi, S. Pricing policies of green supply chain considering targeted advertising and product green degree in the Big Data environment. J. Clean. Prod. 2017, 164, 1614–1622. [Google Scholar] [CrossRef]
- Li, C.; Hu, P.; Liu, H. Consumer’s green preference, big data targeted advertising and evolution of mobile phone green marketing strategies. Comput. Integr. Manuf. Syst. 2021, 7, 1–18. [Google Scholar]
- Wu, C.; Zhao, D.; Pan, X. Comparison on dynamic cooperation strategies of a three-echelon supply chain involving big data service provider. Control Decis. 2016, 31, 1169–1177. [Google Scholar]
- Sheu, J.B.; Chen, Y.J. Impact of government financial intervention on competition among green supply chains. Int. J. Prod. Econ. 2012, 138, 201–213. [Google Scholar] [CrossRef]
- Choi, T.M.; Guo, S. Is a ‘free lunch’ a good lunch? The performance of zero wholesale price-based supply-chain contracts. Eur. J. Oper. Res. 2020, 285, 237–246. [Google Scholar] [CrossRef]
Publisher’s Note: MDPI stays neutral with regard to jurisdictional claims in published maps and institutional affiliations. |
© 2022 by the authors. Licensee MDPI, Basel, Switzerland. This article is an open access article distributed under the terms and conditions of the Creative Commons Attribution (CC BY) license (https://creativecommons.org/licenses/by/4.0/).



