Abstract
This paper aims to investigate how to coordinate a dual-channel supply chain composing of a manufacturer and a retailer when customers utilize the retailer’s service to conduct free-riding behavior. Specially, we consider the crucial role of service in affecting customers’ valuation for a kind of experience product and establish a channel choice model by employing utility theory. Then, we analyze the optimal pricing and service decisions under decentralized and centralized scenarios. To achieve overall optimization, we propose three contract mechanisms, namely price hike (Mechanism 1), price hike with service cost sharing (Mechanism 2) and price hike with service cost sharing and surplus compensation (Mechanism 3). We reveal the way of price difference and service provision in affecting customer free-riding behavior. Besides, we find that the three mechanisms can reduce free-riding behavior to some extent. However, the extent varies under different mechanisms and is related to the cost-sharing fraction and the degree by which the manufacturer increases his online price. Further, we find that Mechanism 3 can realize overall optimization and members’ win–win situations. Finally, we conduct numerical examples to explore how different mechanisms affect supply chain efficiency. The results also provide managerial insights for dual-channel firms in practice.
1. Introduction
In recent years, more and more manufacturers have chosen dual-channel distribution mode because of the gradual maturity of information technology. In China, electronic commerce has achieved rapid development [1]. It is reported that the trade sales are 2.06 billion dollars in 2021, accounting for 25% of the total social retail sales. Many manufacturers including Sony, Lenovo, Hewlett–Packard and Compaq are spurred to supplement their pre-existing offline channels with an online channel for the potential advantages, such as revenue growth, cost savings and expansion to new market segments [2,3].
Although the dual-channel distribution mode can bring the aforementioned advantages for manufacturers, it may not be good for retailers because customers will make choices on which channel to purchase from, which further leads to channel competition. To contend for the market, the retailers begin to build competitive advantages by providing experience services in the offline channel, including opportunities to experience the functions and learn essential knowledge about products from professional salesperson via timely Q&A communications, which cannot be available via the online channel [4,5]. These experience services in the offline channel play a crucial role in the process of customer’s purchasing decision. This is especially true for the products with obviously non-digital attributes. A survey by Mckinsey shows that 93% of the respondents say that they need to visit a physical store to experience before purchasing electronic products. The reason behind this is that the virtual pictures and texts in the online channel cannot describe the non-digital attributes of the products to customers. Thus, customers must touch and feel the products in the offline channel to make sure whether the products match their needs. When they decide to purchase, they will choose the channel that brings more utility to make final purchases after comparing the utilities between the online and the offline channels [6]. If they choose to stay and purchase in the offline channel, they can own the products immediately, but bear a higher retail price. Since the operating cost of a physical store is often higher than that of an online channel, the price in the offline channel is usually higher [7]. If customers switch to purchase in the online channel, they can own the products at a lower price but have to undertake uncertainties resulting from extra time and effort needed to search and check products online, payment security and after-sale services [8]. Once they find the latter can bring more utility, they will switch to the online channel and then become service free-riders. Service free riding refers to a kind of customer’s behavior of experiencing a product in an offline channel, but switching to a competitor’s online channel for a final purchase. Such behavior has been documented by industrial surveys and observations in the real world [7,9,10,11].
According to the purchasing process above, it can be seen that for customers, service free riding is a kind of strategic behaviors that customers conduct to maximize their purchasing utilities. However, such behavior will definitely make the retailer feel unjust because the manufacturer’s online channel takes away her would-be orders, which may further intensify channel competition and eventually lead to negative impacts on the overall supply chain performance.
The purpose of this paper is to mitigate the channel competition, coordinate the channel conflict and improve supply chain performance with the existence of free riding through designing effective contracts. To reach this purpose, we take into account a dual-channel supply chain in which the manufacturer distributes the product simultaneously via their personal online channel and an offline retailer. We concentrate on the product with obviously non-digital attributes, such as a cell phone, a computer or a newly released sofa. For this kind of product, customers usually need to pay a visit to an offline channel first to experience the functions of the product and learn essential knowledge from specialized salespersons. Then, they decide whether to purchase and which channel to purchase from. To reflect the process of decision-making and purchasing behavior, we employ customer utility theory to describe a customer’s behavior of channel choice by considering the positive role of experience service in the customer’s valuation for the product. On this basis, we build profit functions and present an analytical framework under a decentralized and a centralized setting to verify whether the decentralized setting with the existence of free riding can reach system optimization. Finally, we propose three progressive mechanisms to coordinate the decentralized supply chain and reach system optimization. Specifically, the research questions of this paper are as follows:
- (i)
- Whether the decentralized supply chain with the existence of free riding can reach system-wide optimization state as the centralized supply chain? If not, how does the decisions under the decentralized scenario deviate from that under the centralized scenario?
- (ii)
- What is the difference of the impact among the three mechanisms on supply chain members’ optimal decisions and customer’s free-riding behavior compared with the decentralized scenario?
- (iii)
- Whether the proposed mechanisms can help the decentralized supply chain realize system-wide optimization?
The remainder of this paper is arranged as follows. Section 2 reviews the relevant literature. Section 3 describes the problem. Section 4 develops decentralized and centralized decision models. Section 5 proposes three contract mechanisms to improve supply chain performance. Section 6 conducts numerical examples to explore how the proposed mechanisms affect supply chain efficiency. Section 7 concludes this paper.
2. Literature Review
As the e-commerce emerges, scholars have attached importance to this new business mode and conducted extensive research on dual-channel supply chain management. To understand the impacts of dual-channel mode, many scholars pay attention to the issue of channel selection. That is, whether the manufacturer should introduce an online channel based on a pre-existing offline channel and what is the impact on the manufacturer and the retailer’s optimal decisions and profits [12,13,14]. Further, since the manufacturer generally distributes homogeneous products though both channels, the introduction of the online channel will inevitably pose a threat to the pre-existing offline channel owned by the retailer and lead to channel competition. Thus, a question arises for the manufacturer in how to mitigate channel competition between members and channels. Some scholars carry out research with regard to channel competition and supply chain coordination. For example, Yan and Pei [15] show channel competition can be effectively mitigated and supply chain efficiency can be improved after the implementation of the cooperative advertising strategy. Saha [16] considers a three-echelon dual-channel supply chain with price competition and propose a discount mechanism to make the supply chain coordinated. Zhang and Wang [17] explore whether a wholesale price contract with a fixed transfer payment can make the supply chain coordinated in the context of dynamic pricing. Yan et al. [18] combine revenue-sharing contract with reward points to mitigate competition and improve supply chain efficiency. Wang et al. [19] investigate how customer channel preference affects optimal pricing decisions and find that the traditional revenue sharing contract can coordinate the dual-channel supply chain.
To compete with the manufacturer’s online channel, it is an effective way for the retailer to retain and attract customers by providing experience services that are not available via the online channel. However, the experience service is likely to induce customers to become service free-riders, which further aggravates channel conflict and competition. Some scholars investigate the specific impacts of customer free-riding behavior. For example, Balakrishnan et al. [20] focus on customer free-riding behavior and find that such behavior will intensify price competition between channels. Further, Zhang et al. [21] simultaneously take into account free riding and sunk cost. They find that channel competition will be intensified by free-riding behavior, but be mitigated by the sunk cost. Guo et al. [22] analyze the impact of the degree of free riding on optimal decisions and profits under three power structures. They find that when the dual-channel retailer operates the online and offline channels separately, free riding will always make negative impact. In order to alleviate the negative impact of free riding, some scholars further put forward strategies. From the offline retailer’s view of point, Mehra et al. [23] put forward several measures to counter customer free-riding behavior. Jing [24] finds that the online retailer’s return policy can mitigate the competition by reducing free riding. However, these studies focus on free-riding in a dual-channel distribution with horizontal competition only.
The relationship between upstream and downstream members in a dual-channel supply chain becomes much more complicated. Several scholars focus on the free-riding issue under this more complicated scenario. For example, Liu et al. [25] incorporates fairness concern into supply chain members’ decision-making process and analyze how free riding influences optimal decisions. Li et al. [26] consider three service strategies and study how free riding influences pricing decisions and service strategy choice. Tian et al. [27] investigate how the existence of free-riding customers affects the manufacturer’s product strategy in the online and offline channels. Bian et al. [14] investigate the impact of customer free-riding behavior on the manufacturer’s choice of channel strategy between a direct online channel and an indirect online channel.
Besides analyzing the impact of free riding, some scholars further investigate how to cope with the adverse impact of free-riding via strategies and mechanisms. Xing and Liu [28] demonstrate that the retailer’s enthusiasm for providing service will be reduced by free riding. Then, they put forward a coordination mechanism with selective compensation rebate and price match to achieve service coordination. Dan et al. [29] consider two kinds of effects resulting from service provision, namely free-riding effect and competition effect, and put forward coordinating contracts according to the size of the two effects. To motivate the retailer to provide a high level of service and achieve supply chain coordination, Luo et at. [30] put forward a coordinating scheme according to the service level and order quantity. Pu et al. [31] and Zhou et al. [32] explore how the cost-sharing strategy affects supply chain performance and alleviates channel competition. Liu et al. [33] show that agency selling can not only mitigate the adverse impact of free riding, but also help supply chain members realize Pareto improvement. From the manufacturer’s point of view, Basak et al. [34] propose a two-part tariff with effort-sharing contract to cope with the adverse impact of free riding. Xu et al. [35] find that the impact of free riding coefficient on overall profit depends on customer channel preference and propose a supplier-revenue sharing contract to realize global optimal profit and supply chain members’ win–win situation. The aforementioned studies investigate the adverse impact of free riding, some of which further focus on how to mitigate the impact via kinds of strategies and contracts.
Table 1 shows the comparison between the highly related studies and this research. The contribution of this research is twofold. Firstly, as for the experience products with obviously non-digital attributes, customers usually experience the products to obtain essential knowledge and actual perception before purchasing. Under this case, experience service in the offline channel will play a crucial role in affecting customer’s valuation for the products. However, such role of service has been rarely considered before. Besides, we investigate how the retailer decides the service level when the service can increase the potential free-riding customer’s valuation for the products. On this base, consumer channel choice model is built in which the endogenous service level positively affects consumer’s valuation for the product. Secondly, we propose three progressive mechanisms and explore the difference of impacts among the three mechanisms on service level decision, customer free-riding behavior and supply chain performance. We find that the last mechanism can help realize a win–win situation and system-wide optimization by reducing the number of free-riding customers. Besides, the results provide some managerial insights for firms in practice.
Table 1.
List of key studies related to this research.
3. Description of the Problem
3.1. The Dual-Channel Supply Chain
We focus on a dual-channel supply chain in which a brand manufacturer (he, hereinafter referred as to manufacturer) simultaneously distributes products via his personal online channel and an offline retailer (she, hereinafter referred as to retailer). For the manufacturer, his unit cost for production is denoted by and online retail price is denoted by . For the retailer, when the sales period begins, she orders certain quantity denoted by from the manufacturer at wholesale price . Due to the long-term cooperative relationship, we assume is determined by the long-term agreement [36]. Then, the retailer distributes the product at price with unit selling cost . We assume that is determined by the market because of the long-term competition in the offline market. Nevertheless, as a newly introduced channel, the manufacturer can determine the price in his own online channel. To cope with the manufacturer, the retailer provides services for customers, including product experience, immediate customer response, shopping assistance, etc. The service level is denoted by (). means that the retailer will not provide extra service [28]. The expense where the retailer provides such service is called service cost. We use to represent the service cost, and assume that is an increasing and convex function of , [37,38]. When the sales period ends, the unit salvage value of the unsold product is , where [39].
3.2. Customer Channel Choice Based on Purchasing Utility
We employ customer utility theory to build a channel choice model for its ability for describing the process of customer channel choice. In fact, it is a common approach to describe customers’ purchasing behaviors, especially when they are faced with multiple sales channels. It can exactly describe the factors that affect customers’ channel choice and help the multi-channel firms better understand customers’ purchasing behaviors and make appropriate decisions. Thus, it is widely employed in the field of multi-channel marketing and customer behavior.
We consider that each customer purchases at most one product and use to denote consumer’s valuation or willingness to pay for the product. Due to the differences of income levels, quality perceptions for the product, customers are heterogeneous in the valuation for product. Referring to [30], we assume that is uniformly distributed between . For the kind of product with obviously non-digital attributes, it is necessary for customers to visit the offline channel to experience the product and obtain essential knowledge before purchasing. After customers receive the experience service provided in the offline channel, the valuation for the product increases to , where , , . It means that the newly obtained knowledge about the non-digital attributes from product experience can increase customer’s valuation for the product. This seems to be in line with the reality. For example, offline retailers invest in providing try-on products, comfortable shopping atmosphere and highly specialized salesperson in order to positively affect customer’s valuation for products and further increase the likelihood of actual purchasing.
When customers decide to purchase, they are faced with two ways to purchase, namely purchasing in the offline channel or switching to the online channel and becoming free-riders. If they choose former, they can own the product right now, but bear a higher price. In this case, the utility customers can obtain is . If customers choose the latter, they can purchase at a lower price, but have to incur extra effort and time to search the product and undertake uncertainties like delivery time and potential risks [8]. These impacts will lead to a loss of valuation for the product. We use to describe the loss of valuation due to free-riding behavior, where () is defined as customer’s acceptance of online channel. In this case, the utility the free-riders obtain is . Then, customers need to choose which channel to purchase from by comparing with , namely . They have the following choices: (i) if , customers choose to purchase in the offline channel; (ii) if , customers choose to switch to the online channel; and (iii) if , customers decline to purchase from neither channel.
3.3. Demand Functions
Based on the channel choice model obtained in Section 3.2, we derive the demand functions for online and offline channels. Through solving , we can obtain the condition with regard to that customers choose to purchase offline, namely . Then, we have the probability that customers choose offline , where denotes the density function of . By solving , the demand in the offline channel is
where presents the market size.
Through solving , we can obtain the condition with regard to that customers choose to switch to the online channel, namely . Similarly, the demand in the online channel is
Note that there are no customers who choose to switch to the online channel and become free-riders when . Since we focus on how to coordinate the dual-channel supply chain with the existence of customer free-riding behavior, thus, we consider the case in this paper where
.
Further, we include randomness in our demand models besides the deterministic demand functions above. Generally, there are two ways to describe this. One is multiplicative form, and the other is additive form [40,41]. For the popularity and tractability, we consider the additive form by adding a random variable into the deterministic demand. Then, we obtain the stochastic demand functions in the following:
and are random variables which result from uncertainty due to evolving economic conditions and changing markets [41]. We use and to denote density function and cumulative distribution function of the random variable , respectively. Likewise, and , respectively, denote density function and cumulative distribution function of the random variable .
Moreover, the model parameters should satisfy the following additional constraints to avoid trivial cases: (i) ; (ii) .
4. Decentralized and Centralized Decision Model
4.1. The Decentralized Decision Model
Under the decentralized decision model (denoted by superscript D), the supply chain members are independent individuals and make the optimal decisions to maximize their own profits.
4.1.1. The Retailer’s Best Response
The retailer’s expected profit is given by
We use to denote the stocking factor of products in the offline channel, where . Then, we rewrite the expected profit in Equation (5) as
Proposition 1.
is jointly concave inand.
Proof of Proposition 1.
Firstly, we can easily obtain the Hessian matrix as
Then, we need to take the second-order partial derivatives of with regard to and . According to the size of and , we can obtain the retailer’s profit function as
Substituting and into , we have
We define the range of and the means of are and , respectively. Then, we can obtain the expected profit as
According to Equation (10), we can obtain first-order and second-order partial derivatives of with regard to as
Similarly, we can obtain , and .
On this basis, we can obtain
To prove is jointly concave in and , we need to prove that is negative definite, namely . According to our assumption, we can see that , , , and , thus .
Therefore, is jointly concave in and . □
Based on Proposition 1, given , we can obtain the optimal response functions of the retailer’s decision variables with regard to by letting and as follows
Note that we can obtain the specific via Equation (15) under the given format of . We can see that the price in the online channel will not make an impact on the retailer’s decision on stocking factor, but make an impact on the service level. This means that the retailer will determine the service level according to the manufacturer’s optimal decision. In detail, we can see from the best response function of with regard to that an increase in will lead to a decrease in . This is because an increase in will narrow the gap of prices between channels and reduce customers’ motivations to switch to the online channel and become free-riders, thus there is no need for the retailer to provide high level service to retain customers.
4.1.2. The Manufacturer’s Best Response
The manufacturer’s profit is given by
Since purchasing online requires waiting for a while to receive the product due to the lead time, it becomes possible for the manufacturer to assemble the online orders. Since only the expected value of influences the profit function, the manufacturer’s profit does not depend on the value of . Effectively, this can be regarded as a constant term in the demand function and does not affect the manufacturer’s decision. Following [42], we normalize that expectation value of to be zero.
It is obvious to see that is strictly concave in . Then, given and , we can obtain the optimal response function of with regard to and by letting as follows:
We can see that the retailer’s optimal decisions do not play a role in the manufacturer’s decision. This indicates that no matter how the retailer determines her optimal service level and stocking factor, the manufacturer under the decentralized scenario will always focus on his own decision.
Through solving Equations (15) and (17) together, we can obtain the optimal service for the retailer.
4.2. The Centralized Decision Model
Under the centralized decision model (denoted by superscript C), the supply chain act as an integrated firm and maximize a joint profit function via adding Equations (6) and (16) as follows:
To maximize , we examine the concavity of regarding the decision variables.
Proposition 2.
The optimal decisions under the centralized scenario are
Proof of Proposition 2.
Similar to the proof of proposition 1, taking the second-order partial derivatives of with regard to , and , we can obtain the Hessian matrix:
In order to prove the joint concavity, we need to prove . We assume that the solutions satisfy , and then we substitute the optimal solutions into as follows:
We find that Equation (23) < 0 is satisfied. Thus, there exists a unique equilibrium, and on the equilibrium point, we have . □
There is no doubt that the optimal solutions in proposition 2 can make the supply chain system achieve optimization. Therefore, we verify whether the decentralized supply chain reaches the optimal state by comparing the optimal solutions under the decentralized with those under the centralized scenarios. Then, we get proposition 3.
Proposition 3.
- (i)
- , ;
- (ii)
- .
Proof of Proposition 3.
- (i)
- By comparing Equation (17) with Equation (19), and Equation (14) with Equation (20), respectively, we can easily find that and .
- (ii)
- Firstly, , and are the unique optimal solutions of . Secondly, we can see that the functional forms of and are identical, thus . □
Proposition 3 shows that there exists a difference between the optimal solutions under the two scenarios. Specially, under the decentralized scenario, the manufacturer always sets a lower price to induce customers to become free-riders. To lower potential risk, the retailer may reduce his order quantity. This will further cause the decrease of system-wide profit. Thus, the manufacturer needs to employ effective mechanisms to achieve system-wide optimization.
5. Coordinating Mechanisms
In this section, we put forward three contract mechanisms, namely price hike (denoted by superscript 1), price hike with service cost sharing (denoted by superscript 2), and price hike with service cost sharing and surplus compensation (denoted by superscript 3). We explore whether the decentralized system with the mechanism can achieve coordination and how different mechanisms affect members’ optimal decisions. Besides, the different mechanisms we propose may show some managerial insights to different firms that have different optimization objectives.
To acquire more specific results and figure out the functions of different mechanisms, referring to [43], the specific form of service cost is assumed to be . In the meanwhile, we assume the concrete form of is .
5.1. Mechanism 1: Price Hike
Since the self-interested decision behavior under the decentralized scenario will drive the manufacturer to set a lower price to induce more customers to become free-riders and lead to the loss of supply chain efficiency, we firstly design a price hike mechanism (Mechanism 1) that aims to narrow the gap of prices between online and offline channels. We use superscript “1” to denote this scenario. Under Mechanism 1, the manufacturer properly increases the online price to to try to reduce free-riding phenomenon. Let , where is the online price under the decentralized decision model, and .
Hence, supply chain members’ profit functions are
To explore the effectiveness of Mechanism 1, we analyze how Mechanism 1 affect the optimal solutions and profit under the decentralized scenario and obtain Proposition 4.
Proposition 4.
- (i)
- , , ;
- (ii)
- (iii)
- Mechanism 1 cannot coordinate the supply chain.
Proof of Proposition 4.
- (i)
- From Equation (24), we can acquire the manufacturer’s optimal online price asFrom Equation (25), we can acquire the retailer’s optimal stocking factor and service level asSince , thus ;The difference between and iswhere .Since , thus .The difference between and isIt is obvious to see that , thus . From , and , we can obtain .
- (ii)
- Substituting , and into Equation (25), and into Equation (6), respectively, we can get the retailer’s optimal expected profits and under Mechanism 1 and under the decentralized scenario, respectively, and the difference between and isAccording to Proposition 4(i), we have and . Thus, we have .
- (iii)
- Comparing Equation (19) with Equation (26), Equation (20) with Equation (27) and Equation (21) with Equation (28), we can figure out that Mechanism 1 cannot coordinate the supply chain. □
From Proposition 4, we can see that Mechanism 1 will discourage the retailer from providing service but can motivate the retailer to increase order quantity. The reason lies in that once the online price increases, the price difference between channels decreases, which weakens the price advantage of the online channel. Under this circumstance, the retailer reduces her service level to further keep customers from becoming service free-riders via decreasing the utility the free riding customers obtain. Then, some customers will not choose to shift and become free-riders, but choose to stay in the offline channel, which finally increases the demand and order quantity in the offline channel. Moreover, the increased sales and reduced service costs outweigh the increased ordering costs. Thus, the retailer’s expected profit increases.
The analyses of Proposition 4 indicate the crucial role of price difference between channels in controlling customers’ free-riding behavior. We can also see that Mechanism 1 can effectively alleviate channel conflict resulting from free riding and benefit the retailer. This mechanism is relatively easy to implement and can be employed when firms’ purpose is mainly to alleviate channel conflict.
5.2. Mechanism 2: Price Hike with Service Cost Sharing
Based on Mechanism 1, we put forward Mechanism 2 (superscripted by 2) to further induce the retailer to improve service level to attract more potential customers. That is, the manufacturer undertakes a fraction of the service cost in the offline channel. We use () to denote the fraction shared by the manufacturer.
Hence, supply chain members’ profit functions are
To explore the effectiveness of Mechanism 2, we analyze how Mechanism 2 affects the optimal solutions and profit under the decentralized scenario, and obtain Proposition 5.
Proposition 5.
- (i)
- ,,;
- (ii)
- ;
- (iii)
- Mechanism 2 cannot coordinate the supply chain.
Proof of Proposition 5.
(i) The proof is similar to the proof of Proposition 4(i); (ii) the proof is similar to the proof of Proposition 4(ii); and (iii) from Equation (32), we can obtain the manufacturer’s optimal solution as
From Equation (33), we can obtain the retailer’s optimal solutions as
Compared Equation (19) with Equation (34), Equation(20) with Equation (35) and Equation (21) with Equation (36), we can figure out that Mechanism 2 cannot coordinate the supply chain. □
Proposition 5 shows that although Mechanism 2 cannot coordinate the supply chain, it further improves the retailer’ s performance due to the higher service level and more order quantity compared with Mechanism 1. Besides, we can see that with other conditions unchanged, the retailer can be effectively encouraged to increase service level by the cost-sharing mechanism. However, compared with Mechanism 1, it is noticeable that the increased service level will further promote the demand in the offline channel but reduce customer free-riding behavior to a larger extent. This indicates the decisive role of price difference in controlling customer free-riding behavior.
How practical is the cost sharing? The cost sharing applies to the situation where the retailer’s service cost can be verifiable. In practice, we can find that the service cost can be verified in some cases. More specifically, the manufacturer can observe and verify whether the retailer advertises the product through television and local newspaper or not. Besides, retailer’s service cost is often verifiable when the effort involves point of sale promotion [44].
5.3. Mechanism 3: Price Hike with Service Cost Sharing and Surplus Compensation
To achieve the supply chain coordination, we propose price hike with service cost sharing and surplus compensation on the basis of Mechanism 2, which is denoted by superscript 3. On the basis of Mechanism 2, the manufacturer promises to pay the retailer for each unsold product when the selling season ends as compensation.
Hence, supply chain members’ profit functions are
The proposition in the following shows how the decentralized supply chain achieves coordination under Mechanism 3.
Proposition 6.
The condition that the decentralized supply chain can realize optimization under Mechanism 3 is
where,,.
Proof of Proposition 6.
Let , and , and then we get , and .
We can prove that . Besides, it’s obvious to see that , and when , we have . According to the assumption, we can get . To avoid the retailer deliberately benefiting from the unit compensation of the unsold product, , thus . □
Thus, according to Proposition 6, the price hike with service cost sharing and surplus compensation mechanism can help the decentralized supply chain achieve the system-wide optimization. Then, we are wondering the impact of different mechanisms on reducing free-riding behavior.
Corollary 1.
.
Proof ofCorollary 1.
represents the free-riding demand under Mechanism 3, represents the free-riding demand under Mechanism 1 and represents the free-riding demand under the decentralized scenario. The difference between and is
where .
Since , and , thus . Similarly, we can obtain . Besides, it is obvious that . Therefore, . □
We denote as the reducing extent of free-riding behavior under different scenarios, where . Notice that is equal to . According to the definition of , we can see that the bigger is, the greater reducing extent of free-riding behavior will be. Corollary 1 shows that the three mechanisms can eliminate free-riding behavior to some extent. However, the extent varies under different mechanisms. The reducing extent of free-riding behavior under Mechanism 2 or 3 is greater than that under Mechanism 1. Besides, we can see that the extent is related to the service cost sharing fraction the manufacturer undertakes and the degree by which the manufacturer increases his online retail price. This means that when the manufacturer undertakes a greater fraction of the service costs or increases the online price by a larger degree, the free-riding behavior can be restrained by a greater extent. This indicates that the appropriate combination of price hike strategy and service cost sharing strategy is an efficient way to reduce the free-riding behavior and to motivate the retailer to improve her service level to attract more potential customers.
5.4. Members’ Win-Win Situations
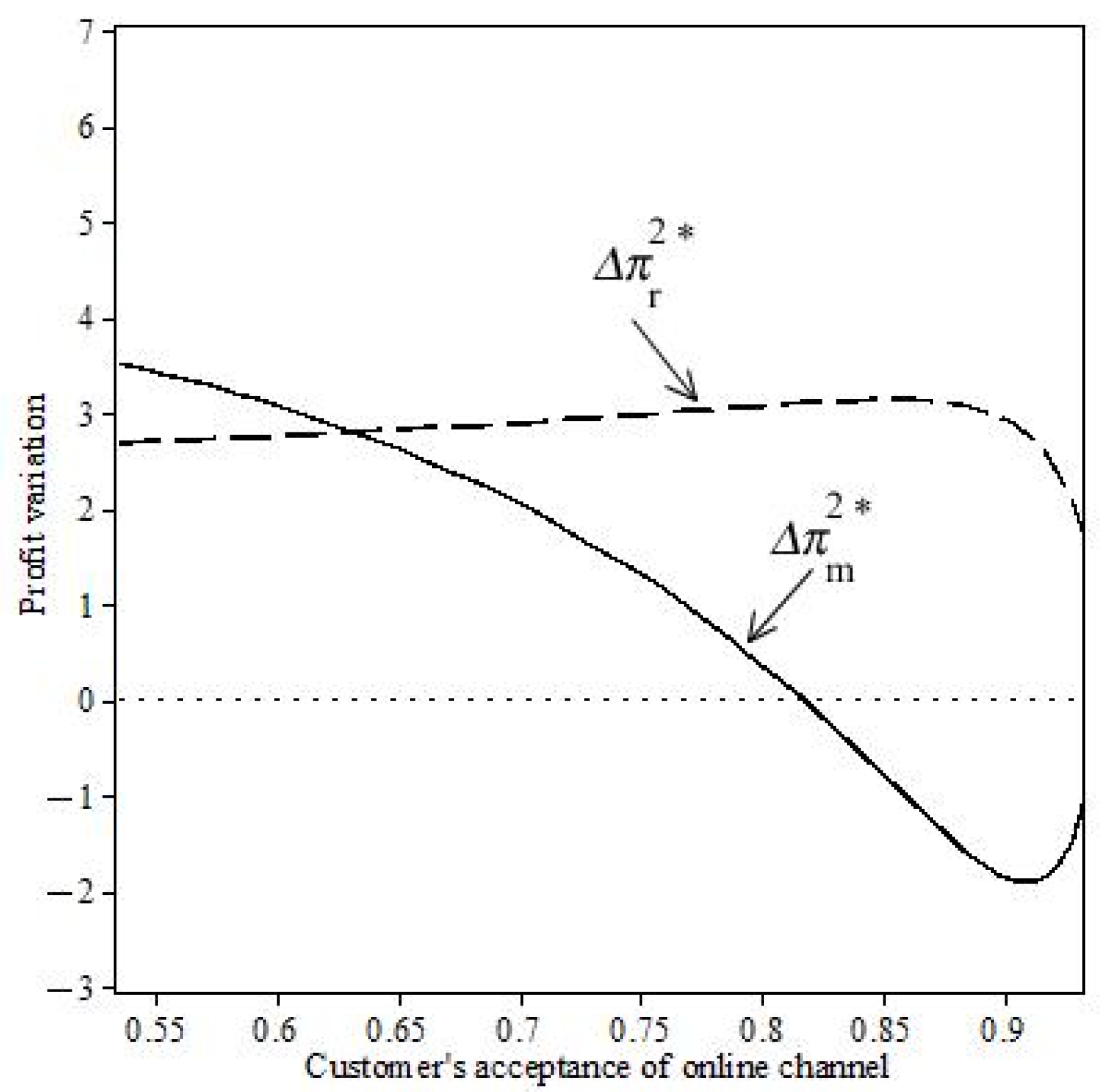
In this subsection, we conduct numerical examples to examine whether the mechanisms can benefit supply chain members. Let , , , , , , , , , and . The values of parameters meet the conditions in the analyses. To make the model meaningful, the numerical examples are conducted when . The results are presented in Figure 1, Figure 2 and Figure 3, where , , .
Figure 1.
The impact of on the profit variation under Mechanism 1.
Figure 2.
The impact of on the profit variation under Mechanism 2.
Figure 3.
The impact of θ on the profit variation under Mechanism 3.
Figure 1 in dicates that the retailer can profit from Mechanism 1, while the manufacturer cannot. This indicates that if the manufacturer employs a price hike alone, his interest will be hurt. To achieve members’ win–win situations, a transfer payment , which is from the retailer to the manufacturer and locates between and , where and , is complementarily designed to guarantee that the manufacturer also profits from Mechanism 1. Note that the transfer payment is a kind of ex post behaviors, which is complementally designed to guarantee both members to benefit from the mechanism at the same time in case one member’s interest is undermined after the mechanism is implemented. If the aforementioned situation happens, the detailed interval of the transfer payment can be obtained after the demand is realized, and how much the payment will be depends on the relative size of both members’ bargaining power. In practice, the transfer payment from the downstream member to the upstream member can be found in the videocassette supply chain. To improve performance, members in the videocassette supply chain cooperate with each other. The upstream member distributes the product (videocassette) to the downstream member at a lower price. When the sales period ends, the retailer gives a payment to the upstream member [45].
From Figure 2 and Figure 3, we can see that both members can profit from Mechanisms 2 and 3 when is located in certain ranges. Furthermore, we can see that with Mechanism 3, the supply chain system can not only achieve coordination, but also guarantee members’ win–win situations. Although the supply chain system with Mechanisms 1 and 2 cannot achieve coordination, the supply chain members under Mechanism 2 can achieve Pareto improvements, and they can also achieve Pareto improvements under Mechanism 1 plus a complementary payment.
6. The Impacts of Changing θ on Supply Chain Efficiencies
To examine the supply chain efficiencies under different scenarios, we denote as the supply chain efficiency under scenario , where representing the decentralized, Mechanism 1, Mechanism 2 and Mechanism 3 scenarios, respectively. Let , , , , , , , , , . Then, we show the supply chain efficiency with different Mechanisms Figure 4.
Figure 4.
The impact of θ on the supply chain efficiency.
Figure 4 shows the impact of different mechanisms on supply chain efficiency. It is noticeable to see that the difference of efficiency between Mechanisms 3 and 1 is not beyond 1.2%, which indicates that the cost-sharing and surplus compensation in Mechanism 3 do not effectively enhance the supply chain efficiency. Then, we set 1.2% as a base and adjust the values of parameters. In order to intuitively compare the supply chain efficiency under Mechanism 1 with that under Mechanism 3, we denote to represent the difference of efficiency between Mechanisms 3 and 1. The result is summarized in Figure 5.
Figure 5.
The difference of efficiency between Mechanisms 3 and 1.
Figure 5 shows that the difference of efficiency between Mechanisms 3 and 1. Since the offline price () and the wholesale price () affect the horizontal relationship between channels and the vertical relationship between members, we next adjust the values of these two parameters to see how the gap changes. Note that as an intermediate parameter, the wholesale price does not appear when we add both members’ profit function together. However, it will affect the optimal solutions if the supply chain does not coordinate. Therefore, the wholesale price will affect the uncoordinated optimal service level and stoking factor under Mechanism 1:
- ①
- Only increase to 10 and keep other parameters fixed.
Figure 5 shows that the impact of increasing wholesale price () on the difference of efficiency between Mechanisms 3 and 1. We can see that compared with , such difference becomes more obvious. This indicates that the increase of widens the gap of supply chain efficiency between the two mechanisms. This is because the increase of will lower the retailer’s margin profit and intensify double marginalization. Then, the retailer has to control her cost by reducing service level. The decrease of service level then leads to the demand decrease, which further drives the retailer to lower the order quantity. However, the design of cost-sharing and surplus compensation in Mechanism 3 is to motivate the retailer to improve service level and increase order quantity. Therefore, to some extent, Mechanism 3 can prevent the decrease of the efficiency resulting from the increase of .
- ②
- Only decrease to 15 and keep other parameters fixed.
Figure 5 shows the impact of decreasing retail price () on the difference of efficiency between Mechanisms 3 and 1. We can see that, compared with , such difference becomes a little more obvious. The reason is twofold. Firstly, the decrease of will drive the manufacturer to decrease his online price and then lead to a decrease of price difference between channels. Secondly, the decrease of price difference will further discourage the retailer from providing service. The triggered price competition and lowered service level will further damage the supply chain efficiency. However, to a certain extent, Mechanism 3 motivates the retailer to improve service level to attract and retain customers, and alleviate the negative effect of price competition between channels.
- ③
- Increase to 10 and decrease to 15 simultaneously.
The simultaneous adjustments of increasing and decreasing () not only further cuts down the retailer’s margin profit, but also intensifies price competition between channels, which widens the gap of supply chain efficiency between Mechanisms 3 and 1 to a greater degree.
The observations above indicate how the horizontal price competition and vertical wholesale price affect the difference of supply chain efficiency between Mechanism 1 and Mechanism 3. Firstly, we find that the simultaneous intensification of price competition and double marginalization will make Mechanism 3 obviously outperform Mechanism 1. Secondly, from observations ① and ②, we find that the intensification of double marginalization or the intensification of price competition alone will make Mechanism 3 a little more obviously outperform than Mechanism 1. However, the intensification of double marginalization brings greater outperformance for Mechanism 3 than the intensification of price competition does. This indicates that double marginalization plays a stronger role in supply chain efficiency. On the contrary, when the price difference is relatively large or the wholesale price is relatively low, the difference of efficiency is close. Mechanism 1 should be advocated. Note that the difference of efficiency between Mechanisms 3 and 1 in any figure is more obvious when is not very high than that when is high. This indicates that when the customer’s acceptance of the online channel is not very high, appropriate mechanisms can help the retailer to retain customers and attract potential customers, and enhance supply chain efficiency.
7. Conclusions
7.1. Summary
We concentrate on a coordinating issue when free riding exists in a dual-channel supply chain. Through developing decision models under the decentralized and the centralized scenarios and comparing the optimal solutions, we figure out that the manufacturer under the decentralized scenario will decrease his online price to cope with the retailer and induce customers to become free-riders. To lower risk, the retailer reduces the order quantity. The self-interested decisions under the decentralized scenario finally deflect the supply chain from system optimization. Then, we propose three progressive coordinating mechanisms to mitigate channel competition and improve supply chain performance.
We find that although Mechanism 1 and Mechanism 2 cannot coordinate the decentralized supply chain, both members can realize Pareto improvements under certain circumstances. We also find that Mechanism 3 can help the supply chain realize the centralized system-wide optimal profit as well as members’ win–win situations. In addition, the implementation of the three mechanisms can effectively reduce free-riding behavior to some extent. However, the extent under different mechanisms is different, which is further related to the parameters in the mechanisms. Finally, we compare the supply chain efficiency under three mechanisms with the decentralized scenario through numerical examples and focus on discussing how price difference and wholesale price affect the difference of supply chain efficiency under Mechanisms 1 and 3.
The major contribution of this paper lies in that a novel mechanism is put forward to coordinate a decentralized supply chain in which the retailer provides experience service to improve customers’ valuation for the products and customers may become free-riders after receiving the service in the offline channel. On this basis, we reveal how the price difference between channels and service provision affects customer free-riding behavior. Besides, the proposed mechanisms in this paper also give some managerial insights in practice, and numerical results show the application conditions for different mechanisms.
Our analysis might also have some limitations. We assumed that the retailer only sells the manufacturer’s single product. However, the retailer may have his own brand. Under such cases, free-riding customers may choose to switch channels for the manufacturer’s product or switch brand for the retailer’s product. Therefore, further research might investigate the impact of customers’ multiple free-riding behaviors on optimal decisions and channel competition, and design suitable contracts to realize supply chain coordination.
7.2. Managerial Insights
The results provide managerial insights in the following two aspects:
- (i)
- How does a dual-channel firm treat price difference between channels and service provision when facing customer free-riding behavior?
According to the comparison among the decentralized scenario, Mechanism 1 and Mechanism 2, we reveal the way that price difference and service provision in affecting customer free-riding behavior. The dual-channel managers should understand the following points. Firstly, the price difference of prices between online and offline channels plays a decisive role in reducing free riding behavior. Thus, managers need to hold an overall viewpoint on managing the dual-channel supply chain. This is, they should control the price difference by avoiding setting excessively low online price. Although the increased online price will lead to the demand reduction of free-riding customers, it can provide a higher margin profit for the manufacturer and increase the retailer’s order quantity, which may indirectly benefit the manufacturer in turn and improve supply chain efficiency. Secondly, although Mechanism 2 plays a positive role in stimulating the retailer to increase service level, the increased service level promotes the demand in the offline channel to a greater degree while reduces the free-riding demand to a greater degree compared with Mechanism 1. Thus, managers need to understand the role of service correctly. The increased service level can bring more profit increase for the retailer as well as the manufacturer.
- (ii)
- How to employ the proposed mechanisms in practice?
The three progressive mechanisms bring different effects on the improvement of supply chain efficiency and the control of free riding behavior. The improvement of supply chain efficiency is mainly related to the influencing factors including the offline price, the wholesale price and customer’s acceptance of online channel. For Mechanism 1, although it cannot coordinate the supply chain, it is the easiest one for dual-channel firms to employ. Especially, its effect on improving supply chain efficiency is close to the system-wide optimization when the price difference is relatively large or the wholesale price is relatively low. For Mechanism 2, it can further improve the supply chain efficiency and realize members’ win–win situation when one can observe the other’s service cost. For Mechanism 3, it can coordinate the supply chain and realize win–win situation for members. Besides, its effect can be obvious outstanding as the wholesale price increases and the price difference decreases. Thus, managers can employ the suitable mechanism according to market conditions they are faced with. In detail, they can obtain the information about the influencing factors via doing market survey, referring to industry reports, etc. When managers choose the mechanism, they can refer to the mechanism parameters to determine the optimal decisions and control customer free-riding behavior.
Author Contributions
Formal analysis, writing—review and editing, Conceptualization, methodology, C.L.; writing—original draft preparation, C.L. and H.Z.; supervision, project administration, B.D.; funding acquisition, C.L. and X.Z. All authors have read and agreed to the published version of the manuscript.
Funding
This research was funded by the National Natural Science Foundation of China, grant number 72072016, the Youth Foundation of Humanities and Social Sciences of Ministry of Education of China, grant number 19XJC630005 and the Research Program of Humanities and Social Sciences of Chongqing Municipal Education Commission, grant number 20SKGH175.
Institutional Review Board Statement
Not applicable.
Informed Consent Statement
Not applicable.
Data Availability Statement
The data presented in this study are available in the article.
Conflicts of Interest
The authors declare no conflict of interest.
References
- Li, M.; Zhang, X. Information acquisition and its Incentives in an e-commerce supply chain under the offline showroom model. J. Theor. Appl. Electron. Commer. 2021, 16, 1791–1804. [Google Scholar] [CrossRef]
- Chen, T.H. Effects of the pricing and cooperative advertising policies in a two-echelon dual-channel supply chain. Comput. Ind. Eng. 2015, 87, 250–259. [Google Scholar] [CrossRef]
- Modak, N.M.; Kelle, P. Managing a dual-channel supply chain under price and delivery-time dependent stochastic demand. Eur. J. Oper. Res. 2019, 272, 147–161. [Google Scholar] [CrossRef]
- Hu, W.; Li, Y.J. Retail service for mixed retail and E-tail channels. Ann. Oper. Res. 2012, 192, 151–171. [Google Scholar] [CrossRef]
- Bell, D.R.; Gallino, S.; Moreno, A. Offline showrooms in omnichannel retail: Demand and operational benefits. Manag. Sci. 2018, 64, 1629–1651. [Google Scholar] [CrossRef]
- Takahashi, K.; Aoi, T.; Hirotani, D.; Morikawa, K. Inventory control in a two-echelon dual-channel supply chain with setup of production and delivery. Int. J. Prod. Econ. 2011, 133, 403–415. [Google Scholar] [CrossRef]
- Chiou, J.S.; Wu, L.Y.; Chou, S.Y. You do the service but they take the order. J. Bus. Res. 2012, 65, 883–889. [Google Scholar] [CrossRef]
- Ryu, M.H.; Cho, Y.; Lee, D. Should small-scale online retailers diversify distribution channels into offline channels? Focused on the clothing and fashion industry. J. Retail. Consum. Serv. 2019, 47, 74–77. [Google Scholar] [CrossRef]
- Verhoef, P.C.; Neslin, S.A.; Vroomen, B. Multichannel customer management: Understanding the research-shopper phenomenon. Int. J. Res. Mark. 2007, 24, 129–148. [Google Scholar] [CrossRef]
- van Baal, S.; Dach, C. Free riding and customer retention across retailers’ channels. J. Interact. Mark. 2005, 19, 75–85. [Google Scholar] [CrossRef]
- Share of Internet Users in the United States Who Have Utilized Showrooming and Webrooming as of September 2014. Available online: http://www.statista.com/statistics/448677/uswebrooming-showroomingpenetration (accessed on 12 February 2016).
- Chiang, W.K.; Chhajed, D.; Hess, J.D. Direct marketing, indirect profits: A strategic analysis of dual-channel supply chain design. Manag. Sci. 2003, 49, 1–20. [Google Scholar] [CrossRef] [Green Version]
- Cai, G. Channel selection and coordination in dual-channel supply chains. J. Retail. 2010, 86, 22–36. [Google Scholar] [CrossRef]
- Bian, Y.; Zhu, S.; Sun, Y.; Yan, S. Whether a manufacturer introduces a direct or an indirect online channel in the presence of consumer showrooming behaviour? Int. J. Logist. Res. Appl. 2022, in press. [CrossRef]
- Yan, R.; Pei, Z. The strategic value of cooperative advertising in the dual-channel competition. Int. J. Electron. Commer. 2015, 19, 118–143. [Google Scholar] [CrossRef]
- Saha, S. Channel characteristics and coordination in three-echelon dual-channel supply chain. Int. J. Syst. Sci. 2016, 47, 740–754. [Google Scholar] [CrossRef]
- Zhang, F.; Wang, C. Dynamic pricing strategy and coordination in a dual-channel supply chain considering service value. Appl. Math. Model. 2018, 54, 722–742. [Google Scholar] [CrossRef]
- Yan, R.; Pei, Z.; Ghose, S. Reward points, profit sharing, and valuable coordination mechanism in the O2O era. Int. J. Prod. Econ. 2019, 215, 34–47. [Google Scholar] [CrossRef]
- Wang, R.; Wang, S.; Yan, S. Pricing and coordination strategies of dual channels considering consumers’ channel preferences. Sustainability 2021, 13, 11191. [Google Scholar] [CrossRef]
- Balakrishnan, A.; Sundaresan, S.; Zhang, B. Browse-and-switch: Retail-online competition under value uncertainty. Prod. Oper. Manag. 2014, 23, 1129–1145. [Google Scholar] [CrossRef]
- Zhang, T.; Ge, L.; Gou, Q.; Chen, L. Consumer showrooming, the sunk cost effect and online-offline competition. J. Electron. Commer. Res. 2018, 19, 55–74. [Google Scholar]
- Guo, J.; Zhou, Y.; Li, B. The optimal pricing and service strategies of a dual-channel retailer under free riding. J. Ind. Manag. Optim. 2021, 18, 2049–2076. [Google Scholar] [CrossRef]
- Mehra, A.; Kumar, S.; Raju, J.S. Competitive strategies for brick-and-mortar stores to counter “showrooming”. Manag. Sci. 2018, 64, 3076–3090. [Google Scholar] [CrossRef] [Green Version]
- Jing, B. Showrooming and webrooming: Information externalities between online and offline sellers. Mark. Sci. 2018, 37, 469–483. [Google Scholar] [CrossRef]
- Liu, Y.; Ding, C.; Fan, C.; Chen, X. Pricing decision under dual-channel structure considering fairness and free-riding behavior. Discret. Dyn. Nat. Soc. 2014, 536576. [Google Scholar] [CrossRef] [Green Version]
- Li, G.; Li, L.; Sun, J. Pricing and service effort strategy in a dual-channel supply chain with showrooming effect. Transp. Res. Part E Logist. Transp. Rev. 2019, 126, 32–48. [Google Scholar] [CrossRef]
- Tian, C.; Xiao, T.; Shang, J. Channel differentiation strategy in a dual-channel supply chain considering free riding behavior. Eur. J. Oper. Res. 2022, 301, 473–485. [Google Scholar] [CrossRef]
- Xing, D.; Liu, T. Sales effort free riding and coordination with price match and channel rebate. Eur. J. Oper. Res. 2012, 219, 264–271. [Google Scholar] [CrossRef]
- Dan, B.; Liu, C.; Xu, G.; Zhang, X. Pareto improvement strategy for service-based free-riding in a dual-channel supply chain. Asia Pac. J. Oper. Res. 2014, 31, 1450050. [Google Scholar] [CrossRef]
- Luo, M.; Li, G.; Cheng, T.C.E. Free riding and coordination in a dual-channel supply chain in e-commerce. Int. J. Ship. Transp. Logist. 2016, 8, 223–249. [Google Scholar] [CrossRef]
- Pu, X.; Gong, L.; Han, X. Consumer free riding: Coordinating sales effort in a dual-channel supply chain. Electron. Commer. Res. Appl. 2017, 22, 1–12. [Google Scholar] [CrossRef]
- Zhou, Y.W.; Guo, J.; Zhou, W. Pricing/service strategies for a dual-channel supply chain with free riding and service-cost sharing. Int. J. Prod. Econ. 2018, 196, 198–210. [Google Scholar] [CrossRef]
- Liu, C.; Dan, Y.; Dan, B.; Xu, G. Cooperative strategy for a dual-channel supply chain with the influence of free-riding customers. Electron. Commer. Res. Appl. 2020, 43, 101001. [Google Scholar] [CrossRef]
- Basak, S.; Basu, P.; Avittathur, B.; Sikdar, S. Manufacturer driven strategic coordination as a response to “showrooming”. Decis. Support Syst. 2020, 133, 113305. [Google Scholar] [CrossRef]
- Xu, S.; Tang, H.; Lin, Z.; Lu, J. Pricing and sales-effort analysis of dual-channel supply chain with channel preference, cross-channel return and free riding behavior based on revenue-sharing contract. Int. J. Prod. Econ. 2022, 249, 108506. [Google Scholar] [CrossRef]
- Dan, B.; Zhang, S.; Zhou, M. Strategies for warranty service in a dual-channel supply chain with value-added service competition. Int. J. Prod. Res. 2018, 56, 5677–5699. [Google Scholar] [CrossRef]
- Tsay, A.A.; Agrawal, N. Channel conflict and coordination in the E-commerce age. Prod. Oper. Manag. 2004, 13, 93–110. [Google Scholar] [CrossRef] [Green Version]
- Zhang, X.M.; Li, Q.W.; Liu, Z.; Chang, C.T. Optimal pricing and remanufacturing mode in a closed-loop supply chain of WEEE under government fund policy. Comput. Ind. Eng. 2021, 151, 106951. [Google Scholar] [CrossRef]
- Petruzzi, N.C.; Dada, M. Pricing and the newsvendor problem: A review with extensions. Oper. Res. 1999, 47, 183–194. [Google Scholar] [CrossRef] [Green Version]
- Bernstein, F.; Federgruen, A. Decentralized supply chains with competing retailers under demand uncertainty. Manag. Sci. 2005, 51, 18–29. [Google Scholar] [CrossRef] [Green Version]
- Yan, R.; Pei, Z. Information asymmetry, pricing strategy and firm’s performance in the retailer- multi-channel manufacturer supply chain. J. Bus. Res. 2011, 64, 377–384. [Google Scholar] [CrossRef]
- Dumrongsiri, A.; Fan, M.; Jain, A.; Moinzadeh, K. A supply chain model with direct and retail channels. Eur. J. Oper. Res. 2008, 187, 691–718. [Google Scholar] [CrossRef]
- Liu, W.; Liu, Y.; Zhu, D.; Wang, Y.; Liang, Z. The influences of demand disruption on logistics service supply chain coordination: A comparison of three coordination modes. Int. J. Prod. Econ. 2016, 179, 59–76. [Google Scholar] [CrossRef]
- Krishnan, H.; Kapuscinski, R.; Butz, D.A. Coordinating contracts for decentralized supply chains with retailer promotional effort. Manag. Sci. 2004, 50, 48–63. [Google Scholar] [CrossRef]
- Cachon, G.P.; Lariviere, M.A. Supply chain coordination with revenue-sharing contracts: Strengths and limitations. Manag. Sci. 2005, 51, 30–44. [Google Scholar] [CrossRef] [Green Version]
Publisher’s Note: MDPI stays neutral with regard to jurisdictional claims in published maps and institutional affiliations. |
© 2022 by the authors. Licensee MDPI, Basel, Switzerland. This article is an open access article distributed under the terms and conditions of the Creative Commons Attribution (CC BY) license (https://creativecommons.org/licenses/by/4.0/).




