Sign in to use this feature.

Years

Between: -

Subjects

remove_circle_outline
remove_circle_outline
remove_circle_outline
remove_circle_outline
remove_circle_outline
remove_circle_outline
remove_circle_outline

Journals

Article Types

Countries / Regions

Search Results (53)

Search Parameters:
Keywords = yawed wind farm

Order results
Result details
Results per page
Select all
Export citation of selected articles as:
17 pages, 1718 KB  
Perspective
Augmenting Offshore Wind-Farm Yield with Tethered Kites
by Karl Zammit, Luke Jurgen Briffa, Jean-Paul Mollicone and Tonio Sant
Energies 2026, 19(3), 668; https://doi.org/10.3390/en19030668 - 27 Jan 2026
Viewed by 123
Abstract
Offshore wind-farm performance remains constrained by persistent wake deficits and turbulence that compound across intra-farm, intra-cluster, and inter-cluster scales, particularly under atmospheric neutral–stable stratification. A concept is advanced whereby offshore wind-farm yield may be augmented by pairing conventional horizontal-axis wind turbines (HAWTs) with [...] Read more.
Offshore wind-farm performance remains constrained by persistent wake deficits and turbulence that compound across intra-farm, intra-cluster, and inter-cluster scales, particularly under atmospheric neutral–stable stratification. A concept is advanced whereby offshore wind-farm yield may be augmented by pairing conventional horizontal-axis wind turbines (HAWTs) with lighter-than-air parafoil systems that entrain higher-momentum air and re-energise wakes, complementing yaw/induction-based wake control and enabling higher array energy density. A concise synthesis of wake physics and associated challenges motivates opportunities for active momentum re-injection, while a review of kite technologies frames design choices for lift generation and spatial keeping. Stability and control, spanning static and dynamic behaviours, tether dynamics, and response to extreme meteorological conditions, are identified as key challenges. System-integration pathways are outlined, including alignment and mounting options relative to turbine rows and prevailing shear. A staged validation programme is proposed, combining high-fidelity numerical simulation with wave-tank testing of coupled mooring–tether dynamics and wind-tunnel experiments on scaled arrays. Evaluation metrics emphasise net energy gain, fatigue loading, availability, and Levelized Cost of Energy (LCOE). The paper concludes with research directions and recommendations to guide standards and investment, and with a quantitative assessment of the techno-economic significance of kite–HAWT integration at scale. Full article
(This article belongs to the Section A3: Wind, Wave and Tidal Energy)
Show Figures

Figure 1

24 pages, 5047 KB  
Article
Study on Yaw Control of the Semi-Submersible Wind Turbine Array Under Misaligned Wind-Wave Conditions
by Xiaofei Zhang, Zhengwei Yang and Zhiqiang Xin
Modelling 2026, 7(1), 2; https://doi.org/10.3390/modelling7010002 - 23 Dec 2025
Viewed by 295
Abstract
When operating in the marine environment, floating offshore wind turbines (FOWTs) are subjected to various inflow conditions such as wind, waves, and currents. To investigate the effects of complex inflow conditions on offshore wind farms, an integrated fluid-structure interaction computational and coupled dynamic [...] Read more.
When operating in the marine environment, floating offshore wind turbines (FOWTs) are subjected to various inflow conditions such as wind, waves, and currents. To investigate the effects of complex inflow conditions on offshore wind farms, an integrated fluid-structure interaction computational and coupled dynamic analysis method for FOWTs is employed. An aero-hydro-servo-elastic coupled analysis model of the NREL 5 MW semi-submersible wind turbine array based on the OC4-DeepCwind platform is established. The study examines the variations in power generation, platform motion, structural loads, and flow field distribution of the FOWT array under different wave incident angles and yaw angles of the first column turbines. The results indicate that the changes in power generation, platform motion, and flow field distribution of the wind farm are significantly influenced by the yaw angle. The maximum tower top yaw bearing torque and the tower base Y-direction bending moment of the wind turbines undergo significant changes with the increase in the angle between wind and wave directions. The study reveals the mechanism of power generation and load variation during yaw control of the FOWT array under misaligned wind and wave conditions, providing a theoretical basis for the future development of offshore floating wind farms. Full article
Show Figures

Figure 1

18 pages, 1539 KB  
Article
A Data-Driven Observer for Wind Farm Power Gain Potential: A Sparse Koopman Operator Approach
by Yue Chen, Bingchen Wang, Kaiyue Zeng, Lifu Ding, Yingming Lin, Ying Chen and Qiuyu Lu
Energies 2025, 18(14), 3751; https://doi.org/10.3390/en18143751 - 15 Jul 2025
Cited by 1 | Viewed by 724
Abstract
Maximizing the power output of wind farms is critical for improving the economic viability and grid integration of renewable energy. Active wake control (AWC) strategies, such as yaw-based wake steering, offer significant potential for power generation increase but require predictive models that are [...] Read more.
Maximizing the power output of wind farms is critical for improving the economic viability and grid integration of renewable energy. Active wake control (AWC) strategies, such as yaw-based wake steering, offer significant potential for power generation increase but require predictive models that are both accurate and computationally efficient for real-time implementation. This paper proposes a data-driven observer to rapidly estimate the potential power gain achievable through AWC as a function of the ambient wind direction. The approach is rooted in Koopman operator theory, which allows a linear representation of nonlinear dynamics. Specifically, a model is developed using an Input–Output Extended Dynamic Mode Decomposition framework combined with Sparse Identification (IOEDMDSINDy). This method lifts the low-dimensional wind direction input into a high-dimensional space of observable functions and then employs iterative sparse regression to identify a minimal, interpretable linear model in this lifted space. By training on offline simulation data, the resulting observer serves as an ultra-fast surrogate model, capable of providing instantaneous predictions to inform online control decisions. The methodology is demonstrated and its performance is validated using two case studies: a 9-turbine and a 20-turbine wind farm. The results show that the observer accurately captures the complex, nonlinear relationship between wind direction and power gain, significantly outperforming simpler models. This work provides a key enabling technology for advanced, real-time wind farm control systems. Full article
(This article belongs to the Special Issue Modeling, Control and Optimization of Wind Power Systems)
Show Figures

Figure 1

16 pages, 779 KB  
Article
A Supervisory Control Framework for Fatigue-Aware Wake Steering in Wind Farms
by Yang Shen, Jinkui Zhu, Peng Hou, Shuowang Zhang, Xinglin Wang, Guodong He, Chao Lu, Enyu Wang and Yiwen Wu
Energies 2025, 18(13), 3452; https://doi.org/10.3390/en18133452 - 30 Jun 2025
Cited by 1 | Viewed by 850
Abstract
Wake steering has emerged as a promising strategy to mitigate turbine wake losses, with existing research largely focusing on the aerodynamic optimization of yaw angles. However, many prior approaches rely on static look-up tables (LUTs), offering limited adaptability to real-world wind variability and [...] Read more.
Wake steering has emerged as a promising strategy to mitigate turbine wake losses, with existing research largely focusing on the aerodynamic optimization of yaw angles. However, many prior approaches rely on static look-up tables (LUTs), offering limited adaptability to real-world wind variability and leading to non-optimal results. More importantly, these energy-focused strategies overlook the mechanical implications of frequent yaw activities in pursuit of the maximum power output, which may lead to premature exhaustion of the yaw system’s design life, thereby accelerating structural degradation. This study proposes a supervisory control framework that balances energy capture with structural reliability through three key innovations: (1) upstream-based inflow sensing for real-time capture of free-stream wind, (2) fatigue-responsive optimization constrained by a dynamic actuation quota system with adaptive yaw activation, and (3) a bidirectional threshold adjustment mechanism that redistributes unused actuation allowances and compensates for transient quota overruns. A case study at an offshore wind farm shows that the framework improves energy yield by 3.94%, which is only 0.29% below conventional optimization, while reducing yaw duration and activation frequency by 48.5% and 74.6%, respectively. These findings demonstrate the framework’s potential as a fatigue-aware control paradigm that balances energy efficiency with system longevity. Full article
(This article belongs to the Special Issue Wind Turbine Wakes and Wind Farms)
Show Figures

Figure 1

21 pages, 2194 KB  
Article
Floating Platform and Mooring Line Optimization for Wake Loss Mitigation in Offshore Wind Farms Through Wake Mixing Strategy
by Guido Lazzerini, Giancarlo Troise and Domenico P. Coiro
Energies 2025, 18(11), 2813; https://doi.org/10.3390/en18112813 - 28 May 2025
Cited by 2 | Viewed by 817
Abstract
Floating offshore wind turbines present peculiar characteristics that make them particularly interesting for the implementation of wind farm control strategies such as wake mixing to increase the overall power production. Wake mixing is achieved by generating an unsteady cyclical load on the blades [...] Read more.
Floating offshore wind turbines present peculiar characteristics that make them particularly interesting for the implementation of wind farm control strategies such as wake mixing to increase the overall power production. Wake mixing is achieved by generating an unsteady cyclical load on the blades of upwind turbines to decrease the wind deficit on downwind turbines. The possibility of exploiting the yaw motion of a floating offshore wind turbine allows for amplified wake mixing or a reduction in the workload of the control mechanism. To amplify the yaw motion of the system at a selected excitation frequency, a multi-disciplinary optimization framework was developed to modify selected properties of the floating platform and mooring line configuration of the DTU 10 MW turbine on the Triple Spar platform. At the same time, operational and structural constraints were taken into account. A simulation-based approach was chosen to design a floating platform and mooring line configuration that were optimized to integrate with the new control strategy based on wake mixing in floating offshore wind farms. Modifying the floating platform spar arrangement and mooring line properties allowed us to tune the yaw natural frequency of the system in accordance with the excitation frequency of the wake control technique and amplify the yaw motion while controlling the deviations of the operational constraints and costs from the baseline configuration. Full article
(This article belongs to the Section A3: Wind, Wave and Tidal Energy)
Show Figures

Figure 1

29 pages, 616 KB  
Review
Advancements in Wind Farm Control: Modelling and Multi-Objective Optimization Through Yaw-Based Wake Steering
by Tiago R. Lucas Frutuoso, Rui Castro, Ricardo B. Santos Pereira and Alexandra Moutinho
Energies 2025, 18(9), 2247; https://doi.org/10.3390/en18092247 - 28 Apr 2025
Cited by 4 | Viewed by 3459
Abstract
Wind energy is paramount to the European Union’s decarbonization and electrification goals. As wind farms expand with larger turbines and more powerful generators, conventional ‘greedy’ control strategies become insufficient. Coordinated control approaches are increasingly needed to optimize not only power output but also [...] Read more.
Wind energy is paramount to the European Union’s decarbonization and electrification goals. As wind farms expand with larger turbines and more powerful generators, conventional ‘greedy’ control strategies become insufficient. Coordinated control approaches are increasingly needed to optimize not only power output but also structural loads, supporting longer asset lifetimes and enhanced profitability. Despite recent progress, the effective implementation of multi-objective wind farm control strategies—especially those involving yaw-based wake steering—remains limited and fragmented. This study addresses this gap through a structured review of recent developments that consider both power maximization and fatigue load mitigation. Key concepts are introduced to support interdisciplinary understanding. A comparative analysis of recent studies is conducted, highlighting optimization strategies, modelling approaches, and fidelity levels. The review identifies a shift towards surrogate-based optimization frameworks that balance computational cost and physical realism. The reported benefits include power gains of up to 12.5% and blade root fatigue load reductions exceeding 30% under specific scenarios. However, challenges in model validation, generalizability, and real-world deployment remain. AI emerges as a key enabler in strategy optimization and fatigue damage prediction. The findings underscore the need for integrated approaches that combine physics-based models, AI techniques, and instrumentation to fully leverage the potential of wind farm control. Full article
(This article belongs to the Special Issue Advancements in Wind Farm Design and Optimization)
Show Figures

Figure 1

34 pages, 890 KB  
Review
Wind Turbine Static Errors Related to Yaw, Pitch or Anemometer Apparatus: Guidelines for the Diagnosis and Related Performance Assessment
by Davide Astolfi, Silvia Iuliano, Antony Vasile, Marco Pasetti, Salvatore Dello Iacono and Alfredo Vaccaro
Energies 2024, 17(24), 6381; https://doi.org/10.3390/en17246381 - 18 Dec 2024
Cited by 3 | Viewed by 2591
Abstract
The optimization of the efficiency of wind turbine systems is a fundamental task, from the perspective of a growing share of electricity produced from wind. Despite this, and given the complex multivariate dependence of the power of wind turbines on environmental conditions and [...] Read more.
The optimization of the efficiency of wind turbine systems is a fundamental task, from the perspective of a growing share of electricity produced from wind. Despite this, and given the complex multivariate dependence of the power of wind turbines on environmental conditions and working parameters, the literature is lacking studies specifically devoted to a careful characterization of wind farm performance. In particular, in the literature, it is overlooked that there are several types of faults which have similar manifestations and that can be defined as static errors. This kind of error manifests as a static bias occurring from a certain time onward, which can affect the anemometer, the absolute or relative pitch of the blades, or the yaw system. Static or systematic errors typically do not cause the functional failure of the wind turbine system, but they deserve attention due to the fact that they cause power production loss throughout the operation time. Based on this, the first objective of the present study is a critical review of the recent papers devoted to three types of wind turbine static errors: anemometer bias, static yaw error, and pitch misalignment. As a result, a comprehensive viewpoint, enhancing the state of the art in the literature, is developed in this study. Given that the use of data collected by Supervisory Control And Data Acquisition (SCADA) systems has, up to now, been prevailing for the diagnosis of systematic errors compared to the use of further specific sensors, particular attention in the present study is thus devoted to the discussion of the phenomena which can be observable through SCADA data analysis. Based on this, finally, a rigorous work flow is formulated for detecting static errors and discriminating among them through SCADA data analysis. Nevertheless, methods based on additional information sources (like further sensors or meteorological data) are also discussed. An important aspect of this study is that, for each considered type of systematic error, some previously unpublished results based on real-world SCADA data are reported in order to corroborate the proposed framework. Summarizing, then, the present is the first paper which considers and discusses several types of wind turbine static errors in a unified viewpoint, correctly interprets apparently controversial results collected in the literature, and finally provides guidelines for the diagnosis of this kind of error and for the quantification of the performance drop associated with their presence. Full article
Show Figures

Figure 1

19 pages, 7189 KB  
Article
Wind Turbine Wake Regulation Method Coupling Actuator Model and Engineering Wake Model
by Kuichao Ma, Jiaxin Zou, Qingyang Fan, Xiaodong Wang, Wei Zhang and Wei Fan
Energies 2024, 17(23), 5949; https://doi.org/10.3390/en17235949 - 27 Nov 2024
Viewed by 1440
Abstract
The wake effect is one of the main factors affecting the power generation of wind farms. Wake regulation is often used to reduce the wake interference between wind turbines. Accurate assessment of the wake flow of wind turbine is essential to wake regulation. [...] Read more.
The wake effect is one of the main factors affecting the power generation of wind farms. Wake regulation is often used to reduce the wake interference between wind turbines. Accurate assessment of the wake flow of wind turbine is essential to wake regulation. Engineering wake models are widely used for rapid evaluation of the wake at present due to lower computational resource cost. However, the selection of empirical parameters of the wake model has significant influence on the prediction accuracy, especially in the case of yaw. The actuator model based on CFD simulation has less dependence on empirical parameters and higher simulation accuracy. However, the computational cost is too high for wake regulation for large wind farms. This paper proposed an improved wake regulation method that combines the advantages of the actuator line model (ALM) method and the engineering wake mode. The simulation results of the ALM is used to calibrate the empirical parameters of the engineering wake model. The calibrated wake model can be used to optimize the yaw angle of wind turbines during wake regulation. The accuracy of two models is compared using wind tunnel experimental data. The ALM results give better agreement to the experimental data. The Horns Rev wind farm case is used for the coupled method verification. The power generation increase using the engineering wake model is obviously greater than that of the ALM. After calibrating the wake model, the gap between the two power predictions is greatly narrowed, which proves the effectiveness of the proposed method. The proposed coupling method can be used to improve the credibility of the wake regulation with affordable computational cost. Full article
(This article belongs to the Section A3: Wind, Wave and Tidal Energy)
Show Figures

Figure 1

14 pages, 4888 KB  
Article
A LiDAR-Based Active Yaw Control Strategy for Optimal Wake Steering in Paired Wind Turbines
by Esmail Mahmoodi, Mohammad Khezri, Arash Ebrahimi, Uwe Ritschel and Majid Kamandi
Energies 2024, 17(22), 5635; https://doi.org/10.3390/en17225635 - 11 Nov 2024
Cited by 2 | Viewed by 2814
Abstract
In this study, we investigate a yaw control strategy in a two-turbine wind farm with 3.5 MW turbines, aiming to optimize power management. The wind farm is equipped with a nacelle-mounted multi-plane LiDAR system for wind speed measurements. Using an analytical model and [...] Read more.
In this study, we investigate a yaw control strategy in a two-turbine wind farm with 3.5 MW turbines, aiming to optimize power management. The wind farm is equipped with a nacelle-mounted multi-plane LiDAR system for wind speed measurements. Using an analytical model and integrating LiDAR and SCADA data, we estimate wake effects and power output. Our results show a 2% power gain achieved through optimal yaw control over a year-long assessment. The wind predominantly blows from the southwest, perpendicular to the turbine alignment. The optimal yaw and power gain depend on wind conditions, with higher turbulence intensity and wind speed leading to reduced gains. The power gain follows a bell curve across the range of wind inflow angles, peaking at 1.7% with a corresponding optimal yaw of 17 degrees at an inflow angle of 12 degrees. Further experiments are recommended to refine the estimates and enhance the performance of wind farms through optimized yaw control strategies, ultimately contributing to the advancement of sustainable energy generation. Full article
(This article belongs to the Special Issue Wind Turbine and Wind Farm Flows)
Show Figures

Figure 1

21 pages, 2745 KB  
Article
Research on Wind Turbine Fault Detection Based on CNN-LSTM
by Lin Qi, Qianqian Zhang, Yunjie Xie, Jian Zhang and Jinran Ke
Energies 2024, 17(17), 4497; https://doi.org/10.3390/en17174497 - 7 Sep 2024
Cited by 15 | Viewed by 3905
Abstract
With the wide application of wind energy as a clean energy source, to cope with the challenge of increasing maintenance difficulty brought about by the development of large-scale wind power equipment, it is crucial to monitor the operating status of wind turbines in [...] Read more.
With the wide application of wind energy as a clean energy source, to cope with the challenge of increasing maintenance difficulty brought about by the development of large-scale wind power equipment, it is crucial to monitor the operating status of wind turbines in real time and accurately identify the specific location of faults. In this study, a CNN-LSTM-based wind motor fault detection model is constructed for four types of typical faults, namely gearbox faults, electrical faults, yaw faults, and pitch faults of wind motors, combining CNN’s advantages of excelling in feature extraction and LSTM’s advantages of dealing with long-time sequence data, to achieve the simultaneous detection of multiple fault types. The accuracy of the CNN-LSTM-based wind turbine fault detection model reaches 90.06%, and optimal results are achieved for the effective discovery of yaw system faults, pitch system faults, and gearbox faults, obtaining 94.09%, 96.46%, and 97.39%, respectively. The CNN-LSTM wind turbine fault detection model proposed in this study improves the fault detection effect, avoids the further deterioration of faults, provides direction for preventive maintenance, reduces downtime loss due to restorative maintenance, and is essential for the sustainable use of wind turbines and maintenance of wind turbine service life, which helps to improve the operation and maintenance level of wind farms. Full article
(This article belongs to the Special Issue Wind Energy End-of-Life Options: Theory and Practice)
Show Figures

Figure 1

19 pages, 5828 KB  
Article
Utilizing WFSim to Investigate the Impact of Optimal Wind Farm Layout and Inter-Field Wake on Average Power
by Guohao Li, Lidong Zhang, Duanmei Zhang, Shiyu Yang, Yuze Zhao, Yongzheng Tao, Jie Han, Yanwei Wang and Tengyu Zhang
J. Mar. Sci. Eng. 2024, 12(8), 1353; https://doi.org/10.3390/jmse12081353 - 8 Aug 2024
Cited by 1 | Viewed by 2063
Abstract
This paper presents a comprehensive study on optimizing wind farm efficiency by controlling wake effects using the WFSim dynamic simulation model. Focusing on five key factors—yaw wind turbine position, yaw angle, wind farm spacing, longitudinal wind turbine spacing, and yaw rate—we qualitatively analyze [...] Read more.
This paper presents a comprehensive study on optimizing wind farm efficiency by controlling wake effects using the WFSim dynamic simulation model. Focusing on five key factors—yaw wind turbine position, yaw angle, wind farm spacing, longitudinal wind turbine spacing, and yaw rate—we qualitatively analyze their individual and combined impact on the wind farm’s wake behavior and mechanical load. Through a quantitative approach using the orthogonal test method, we assess each factor’s influence on the farm’s overall power output. The findings prioritize the following factors in terms of their effect on power output: yaw wind turbine position, yaw angle, wind farm spacing, longitudinal spacing, and yaw rate. Most significantly, this study identifies optimal working conditions for maximizing the wind farm’s average power output. These conditions include a wind turbine longitudinal spacing of 7.0D, a wind farm spacing of 15.0D, a yaw angle of 30°, and a yaw rate of 0.0122 rad/s, with the first and second rows of turbines in a yaw state. Under these optimized conditions, the wind farm’s average power output is enhanced to 35.19 MW, marking an increase of 2.86 MW compared to the farm’s original configuration. Additionally, this paper offers an analysis of wake deflection under these optimal conditions, providing valuable insights for the design and management of more efficient wind farms. Full article
(This article belongs to the Special Issue Advances in Offshore Wind—2nd Edition)
Show Figures

Figure 1

23 pages, 12298 KB  
Article
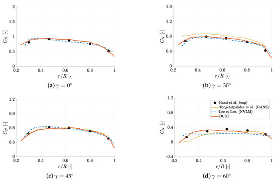
Validation of a Mid-Fidelity Numerical Approach for Wind Turbine Aerodynamics Characterization
by Alberto Savino, Andrea Ferreri and Alex Zanotti
Energies 2024, 17(7), 1517; https://doi.org/10.3390/en17071517 - 22 Mar 2024
Cited by 2 | Viewed by 2094
Abstract
This work is aimed at investigating the capabilities and limits of the mid-fidelity numerical solver DUST for the evaluation of wind turbines aerodynamic performance. In particular, this study was conducted by analysing the benchmarks NREL-5 MW and Phase VI wind turbines, widely [...] Read more.
This work is aimed at investigating the capabilities and limits of the mid-fidelity numerical solver DUST for the evaluation of wind turbines aerodynamic performance. In particular, this study was conducted by analysing the benchmarks NREL-5 MW and Phase VI wind turbines, widely investigated in the literature via experimental and numerical activities. The work was started by simulating a simpler configuration of the NREL-5 MW turbine to progressively integrate complexities such as shaft tilt, cone effects and yawed inflow conditions, offering a detailed portrayal of their collective impact on turbine performance. A particular focus was then given to the evaluation of aerodynamic responses from the tower and nacelle, as well as aerodynamic behavior in yawed inflow condition, crucial for optimizing farm layouts. In the second phase, the work was focused on the NREL Phase VI turbine due to the availability of experimental data on this benchmark case. A comparison of DUST simulation results with both experimental data and high-fidelity CFD tools shows the robustness and adaptability of this mid-fidelity solver for these applications, thus opening a new scenario for the use of such mid-fidelity tools for the preliminary design of novel wind turbine configurations or complex environments as wind farms, characterised by robust interactional aerodynamics. Full article
(This article belongs to the Section A3: Wind, Wave and Tidal Energy)
Show Figures

Figure 1

15 pages, 1110 KB  
Article
Fatigue Load Minimization for a Position-Controlled Floating Offshore Wind Turbine
by Brendan Saunders and Ryozo Nagamune
J. Mar. Sci. Eng. 2023, 11(12), 2274; https://doi.org/10.3390/jmse11122274 - 30 Nov 2023
Cited by 5 | Viewed by 2323
Abstract
Floating offshore wind farm control via real-time turbine repositioning has a potential in significantly enhancing the wind farm efficiency. Although the wind farm power capture increase by moving platforms with aerodynamic force has been verified in a recent study, the investigation and mitigation [...] Read more.
Floating offshore wind farm control via real-time turbine repositioning has a potential in significantly enhancing the wind farm efficiency. Although the wind farm power capture increase by moving platforms with aerodynamic force has been verified in a recent study, the investigation and mitigation of the fatigue damage caused by such aerodynamic force manipulated for turbine repositioning is still necessary. To respond to these needs, this paper presents fatigue load controller design for a semisubmersible floating offshore wind turbine, particularly when the turbine position is controlled by the nacelle yaw angle. At various turbine positions determined by nacelle yaw angles and average wind speeds, the designed controller manipulates three blade pitch angles individually and minimizes the fatigue load at the tower base. As the individual blade pitch controller, the linear quadratic regulator is optimized through surrogate optimization by simulating the turbine disturbed by various turbulent wind and irregular wave profiles, and then by searching for a minimum fatigue from these simulations. Fatigue load analysis with the optimized controller leads to the main contribution of this paper, that is, to demonstrate that turbine repositioning can be achieved while allowing for the inclusion of a fatigue reducing controller. In fact, when operating the FOWT with the position controller and fatigue load controller, the fatigue damage at the tower base is reduced by about 40% for different nacelle yaw angles. This result supports the feasibility of position-controlled wind turbines to optimize the wind farm efficiency, thereby drastically reducing the offshore wind energy cost. Full article
(This article belongs to the Section Marine Energy)
Show Figures

Figure 1

21 pages, 465 KB  
Article
Machine Learning-Based Approach to Wind Turbine Wake Prediction under Yawed Conditions
by Mohan Kumar Gajendran, Ijaz Fazil Syed Ahmed Kabir, Sudhakar Vadivelu and E. Y. K. Ng
J. Mar. Sci. Eng. 2023, 11(11), 2111; https://doi.org/10.3390/jmse11112111 - 4 Nov 2023
Cited by 15 | Viewed by 5901
Abstract
As wind energy continues to be a crucial part of sustainable power generation, the need for precise and efficient modeling of wind turbines, especially under yawed conditions, becomes increasingly significant. Addressing this, the current study introduces a machine learning-based symbolic regression approach for [...] Read more.
As wind energy continues to be a crucial part of sustainable power generation, the need for precise and efficient modeling of wind turbines, especially under yawed conditions, becomes increasingly significant. Addressing this, the current study introduces a machine learning-based symbolic regression approach for elucidating wake dynamics. Utilizing WindSE’s actuator line method (ALM) and Large Eddy Simulation (LES), we model an NREL 5-MW wind turbine under yaw conditions ranging from no yaw to 40 degrees. Leveraging a hold-out validation strategy, the model achieves robust hyper-parameter optimization, resulting in high predictive accuracy. While the model demonstrates remarkable precision in predicting wake deflection and velocity deficit at both the wake center and hub height, it shows a slight deviation at low downstream distances, which is less critical to our focus on large wind farm design. Nonetheless, our approach sets the stage for advancements in academic research and practical applications in the wind energy sector by providing an accurate and computationally efficient tool for wind farm optimization. This study establishes a new standard, filling a significant gap in the literature on the application of machine learning-based wake models for wind turbine yaw wake prediction. Full article
(This article belongs to the Special Issue Advances in Offshore Wind)
Show Figures

Figure 1

17 pages, 4817 KB  
Article
Analysis and Comparison of Wind Potential by Estimating the Weibull Distribution Function: Application to Wind Farm in the Northern of Morocco
by Mohamed Bousla, Ali Haddi, Youness El Mourabit, Ahmed Sadki, Abderrahman Mouradi, Abderrahman El Kharrim, Saleh Mobayen, Anton Zhilenkov and Badre Bossoufi
Sustainability 2023, 15(20), 15087; https://doi.org/10.3390/su152015087 - 20 Oct 2023
Cited by 9 | Viewed by 2953
Abstract
To assess wind energy potential in Northern Morocco, a validated approach based on the two-parameter Weibull distribution is employed, utilizing wind direction and speed data. Over a span of two years, from January 2019 to December 2020, measurements taken every 10 min are [...] Read more.
To assess wind energy potential in Northern Morocco, a validated approach based on the two-parameter Weibull distribution is employed, utilizing wind direction and speed data. Over a span of two years, from January 2019 to December 2020, measurements taken every 10 min are collected. This study is centered on a comprehensive and statistical analysis of electricity generated from a wind farm situated in the Tetouan region in Morocco. This wind farm boasts a total capacity of 120 MW, comprising 40 wind turbines, each with a 3 MW capacity, strategically positioned along the ridge. Among the available techniques for estimating Weibull distribution parameters, the maximum likelihood method (MLM) is chosen due to its statistical robustness and exceptional precision, especially for large sample sizes. Throughout the two-year period, monthly wind speed measurements fluctuated between 2.1 m/s and 9.1 m/s. To enhance accuracy, monthly and annual theoretical power densities were recalculated using the Weibull parameters and compared with actual measurements. This has enabled the detection of production disparities and the mitigation of forecast errors throughout the entire wind farm. In conclusion, over the two-year production period, turbines WTG 30 and WTG 33 displayed the most significant shortcomings, primarily attributed to orientation issues within the “Yaw system”. Full article
Show Figures

Figure 1

Back to TopTop