Machine Learning-Based Approach to Wind Turbine Wake Prediction under Yawed Conditions
Abstract
1. Introduction
Background
2. Literature Review
2.1. Wind Turbine Wake Aerodynamics
2.2. Wake in Yawed Wind Turbines
2.3. Analytical Models for Yawed Wind Turbines
2.3.1. Jiménez et al. [52] Wake Model for Yawed Conditions, 2010
2.3.2. Bastankhah and Porté-Agel [58] Wake Model for Yawed Conditions, 2016
- Advantages
- -
- A cost-effective analytical approach for computational prediction of wake characteristics in the far wake [62].
- Limitations
- -
- The estimation of two empirical parameters is necessary to figure out the initiation of the far wake zone. However, obtaining universal values for these parameters is challenging, as their forecasts heavily rely on computer simulations or experiments. Consequently, the practicality of the wake model is significantly constrained [61].
- -
- Wake is significantly impacted by turbulence intensity, which is not sufficiently taken into consideration in this model [62].
2.3.3. Qian and Ishihara [9] Wake Model for Yawed Conditions, 2018
- Advantages
- -
- In contrast to the Bastankhah and Porté-Agel model, this model incorporates input parameters that are expressed as functions of ambient turbulence intensity and thrust coefficient. This consideration is believed to improve the practicality of the model [61].
- Limitations
- -
- The model has a tendency to underestimate the maximum velocity deficit in scenarios involving yaw angles of 10 and 20 [63].
- -
- The underestimation of maximum velocity deficit is especially evident in the instances of yaw angles and [61].
- -
- More validation studies are necessary to support the efficacy of this model [61].
2.3.4. General Limitations of Existing Analytical Models for Yawed Wind Turbines
2.4. Role of Machine Learning in Wind Turbine Wake Modeling
2.5. Original Contributions and Objectives of the Study
- To develop a data-driven symbolic regression model aimed at accurately capturing vital aerodynamic parameters, including velocity deficit at hub height, velocity deficit for a yawed wake center, and wake deflection.
- To move beyond traditional modeling assumptions, such as actuator disc models and Gaussian velocity deficit estimates, in an effort to achieve a more faithful representation of the intricate physics involved in wind turbine operations.
- To employ the actuator line method as the computational foundation of this research, recognizing its merits in better representing complex flow dynamics compared to traditional actuator disc models.
- To make use of symbolic regression’s natural ability for interpretability, with the aspiration of revealing not just empirical relationships but also the underlying physical principles that govern aerodynamic behaviors.
- To conduct a thorough parametric study, covering a meaningful range of yaw angles and thrust coefficients, with the intent of validating the model’s efficacy and broadening its range of applicability.
3. Methodology
3.1. WindSE
3.1.1. Unsteady Solver in WindSE
3.1.2. Actuator Line Method in WindSE
3.2. Symbolic Regression
3.3. Data Generation
3.3.1. NREL 5-MW Wind Turbine
3.3.2. Case Setup
3.4. Procedure: Yawed Wake Model Development through Symbolic Regression
3.4.1. Objective
3.4.2. Input Parameters
- Yaw angle, , measured in radians;
- Downstream distance normalized to the rotor diameter, represented as ;
- Yaw-specific thrust coefficient, defined as ;
- Ambient turbulence intensity, , capturing the environmental dynamics the turbine operates within.
3.4.3. Symbolic Regression
- Automated Input Selection: The algorithm autonomously sifts through potential input variables, zeroing in on those of paramount importance for creating mathematical representations of , at hub height, and of yawed wake.
- Optimization Technique: The optimization leverages the prowess of Simulated Annealing (SA). SA is prized in computational research for its unparalleled ability to perform exhaustive searches within vast solution spaces, ensuring that the optimal solution is approached.
- Balancing Complexity and Accuracy: To strike the delicate balance between a model’s complexity and its representational accuracy, we have intertwined Pareto Simulated Annealing within our approach. This method is a specialized variant of Multi-Objective Combinatorial Optimization (MOCO) and ensures our model remains both versatile and true to the data it represents.
3.4.4. Mathematical Operators in Symbolic Regression
- Multiplication;
- Division;
- Exponentiation;
- Square root function;
- Trigonometric functions.
3.4.5. Model Training and Validation
- (Coefficient of Determination): A measure that illustrates how well the model predictions approximate the real data points. An value of 1 indicates perfect predictions, while values closer to 0 indicate a model that fails to capture the underlying data trend.
- RMSE (Root Mean Square Error): It provides a quantifiable measure of how far off our model predictions are from the actual values. Lower RMSE values signify that the model predictions are close to the true values, while higher values suggest potential issues with the model or underlying data.
4. Results and Discussion
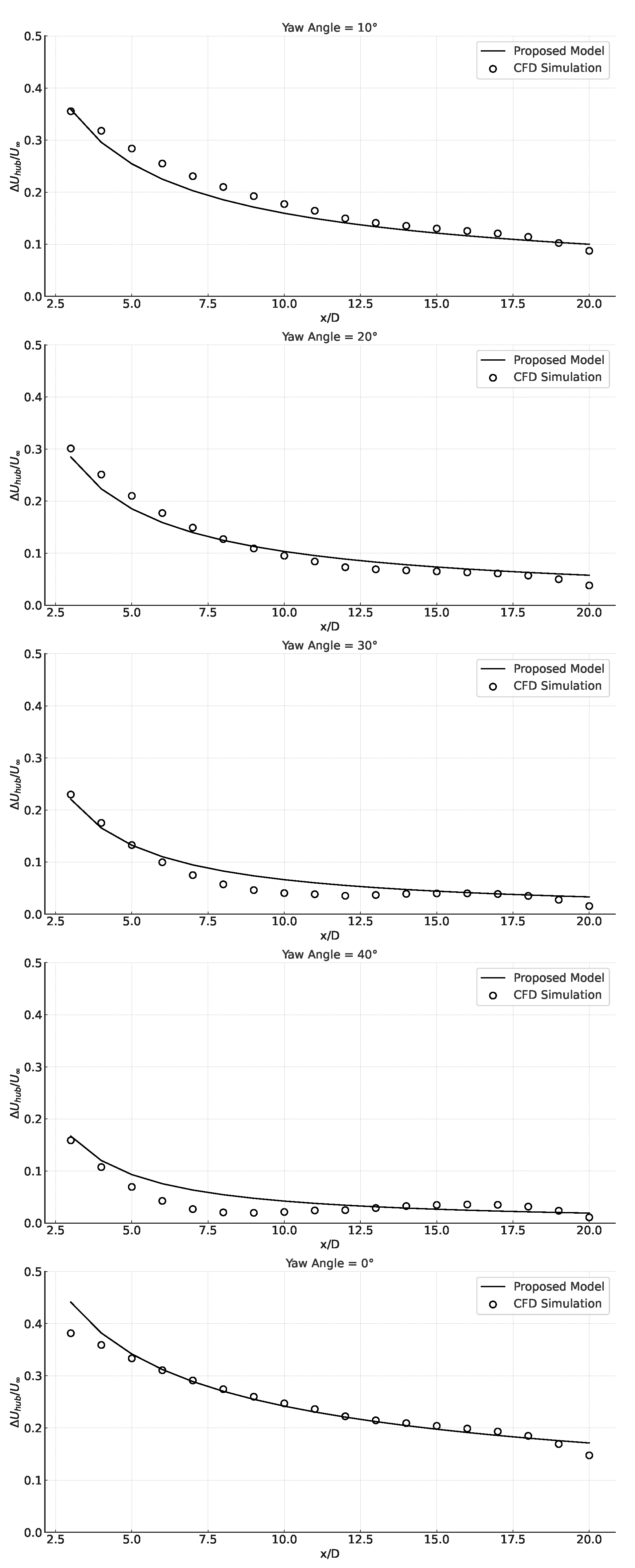
4.1. Velocity Deficit at Hub Height ()
4.2. Maximum Velocity Deficit of Yawed Wake ()
4.3. Wake Deflection
5. Conclusions and Future Work
5.1. Summary of Findings
- The symbolic regression model demonstrated the ability to characterize aerodynamic parameters, notably velocity deficit and wake deflection.
- By moving beyond actuator disc models and Gaussian velocity deficit assumptions, the study approached a more nuanced depiction of the physics involved in wind turbine operations.
- The actuator line model served as the computational foundation, highlighting its potential in representing complex flow dynamics.
- Symbolic regression’s inherent interpretability facilitated insights into the underlying physical principles that govern wind turbine aerodynamics.
- The extensive parametric study encompassed a diverse range of yaw angles and thrust coefficients, reinforcing the model’s adaptability and potential applicability.
5.2. Future Directions
Author Contributions
Funding
Institutional Review Board Statement
Informed Consent Statement
Data Availability Statement
Acknowledgments
Conflicts of Interest
References
- Esteban, M.D.; Diez, J.J.; López, J.S.; Negro, V. Why offshore wind energy? Renew. Energy 2011, 36, 444–450. [Google Scholar] [CrossRef]
- Perveen, R.; Kishor, N.; Mohanty, S.R. Off-shore wind farm development: Present status and challenges. Renew. Sustain. Energy Rev. 2014, 29, 780–792. [Google Scholar] [CrossRef]
- Vermeer, L.; Sørensen, J.; Crespo, A. Wind turbine wake aerodynamics. Prog. Aerosp. Sci. 2003, 39, 467–510. [Google Scholar] [CrossRef]
- Rak, B.P.; Santos Pereira, R. Impact of the wake deficit model on wind farm yield: A study of yaw-based control optimization. J. Wind Eng. Ind. Aerodyn. 2022, 220, 104827. [Google Scholar] [CrossRef]
- Kabir, I.F.S.A.; Ng, E.Y.K. Effect of different atmospheric boundary layers on the wake characteristics of NREL phase VI wind turbine. Renew. Energy 2019, 130, 1185–1197. [Google Scholar] [CrossRef]
- Sun, H.; Gao, X.; Yang, H. A review of full-scale wind-field measurements of the wind-turbine wake effect and a measurement of the wake-interaction effect. Renew. Sustain. Energy Rev. 2020, 132, 110042. [Google Scholar] [CrossRef]
- Dou, B.; Qu, T.; Lei, L.; Zeng, P. Optimization of wind turbine yaw angles in a wind farm using a three-dimensional yawed wake model. Energy 2020, 209, 118415. [Google Scholar] [CrossRef]
- Sanderse, B.; van der Pijl, S.; Koren, B. Review of computational fluid dynamics for wind turbine wake aerodynamics. Wind Energy 2011, 14, 799–819. [Google Scholar] [CrossRef]
- Qian, G.W.; Ishihara, T. A New Analytical Wake Model for Yawed Wind Turbines. Energies 2018, 11, 665. [Google Scholar] [CrossRef]
- Archer, C.L.; Vasel-Be-Hagh, A. Wake steering via yaw control in multi-turbine wind farms: Recommendations based on large-eddy simulation. Sustain. Energy Technol. Assessments 2019, 33, 34–43. [Google Scholar] [CrossRef]
- Purohit, S.; Ng, E.; Syed Ahmed Kabir, I.F. Evaluation of three potential machine learning algorithms for predicting the velocity and turbulence intensity of a wind turbine wake. Renew. Energy 2022, 184, 405–420. [Google Scholar] [CrossRef]
- Syed Ahmed Kabir, I.F.; Gajendran, M.K.; Ng, E.Y.K.; Mehdizadeh, A.; Berrouk, A.S. Novel Machine-Learning-Based Stall Delay Correction Model for Improving Blade Element Momentum Analysis in Wind Turbine Performance Prediction. Wind 2022, 2, 636–658. [Google Scholar] [CrossRef]
- Göçmen, T.; van der Laan, P.; Réthoré, P.E.; Diaz, A.P.; Larsen, G.C.; Ott, S. Wind turbine wake models developed at the technical university of Denmark: A review. Renew. Sustain. Energy Rev. 2016, 60, 752–769. [Google Scholar] [CrossRef]
- Branlard, E. Wind Turbine Aerodynamics and Vorticity-Based Methods: Fundamentals and Recent Applications; Springer: Cham, Switzerland, 2017. [Google Scholar]
- Vermeer, L. A review of wind turbine wake research at TU Delft. In Proceedings of the 20th 2001 ASME Wind Energy Symposium, Reno, NV, USA, 11–14 January 2001; p. 30. [Google Scholar]
- Bastankhah, M.; Welch, B.L.; Martínez-Tossas, L.A.; King, J.; Fleming, P. Analytical solution for the cumulative wake of wind turbines in wind farms. J. Fluid Mech. 2021, 911, A53. [Google Scholar] [CrossRef]
- Churchfield, M.J.; Lee, S.; Michalakes, J.; Moriarty, P.J. A numerical study of the effects of atmospheric and wake turbulence on wind turbine dynamics. J. Turbul. 2012, 13, N14. [Google Scholar] [CrossRef]
- Zhang, H.; Wen, J.; Zhan, J.; Xin, D. Effects of blade number on the aerodynamic performance and wake characteristics of a small horizontal-axis wind turbine. Energy Convers. Manag. 2022, 273, 116410. [Google Scholar] [CrossRef]
- Adaramola, M.; Krogstad, P.Å. Experimental investigation of wake effects on wind turbine performance. Renew. Energy 2011, 36, 2078–2086. [Google Scholar] [CrossRef]
- Syed, A.H.; Javed, A.; Asim Feroz, R.M.; Calhoun, R. Partial repowering analysis of a wind farm by turbine hub height variation to mitigate neighboring wind farm wake interference using mesoscale simulations. Appl. Energy 2020, 268, 115050. [Google Scholar] [CrossRef]
- González-Longatt, F.; Wall, P.; Terzija, V. Wake effect in wind farm performance: Steady-state and dynamic behavior. Renew. Energy 2012, 39, 329–338. [Google Scholar] [CrossRef]
- Lee, S.; Churchfield, M.; Moriarty, P.; Jonkman, J.; Michalakes, J. Atmospheric and Wake Turbulence Impacts on Wind Turbine Fatigue Loadings. In Proceedings of the 50th AIAA Aerospace Sciences Meeting including the New Horizons Forum and Aerospace Exposition, Nashville, TN, USA, 9–12 January 2012. [Google Scholar] [CrossRef]
- Lee, S.; Churchfield, M.J.; Moriarty, P.J.; Jonkman, J.; Michalakes, J. A Numerical Study of Atmospheric and Wake Turbulence Impacts on Wind Turbine Fatigue Loadings. J. Sol. Energy Eng. 2013, 135, 031001. [Google Scholar] [CrossRef]
- Samorani, M. The Wind Farm Layout Optimization Problem. In Handbook of Wind Power Systems; Pardalos, P.M., Rebennack, S., Pereira, M.V.F., Iliadis, N.A., Pappu, V., Eds.; Springer: Berlin/Heidelberg, Germany, 2013; pp. 21–38. [Google Scholar] [CrossRef]
- Shakoor, R.; Hassan, M.Y.; Raheem, A.; Wu, Y.K. Wake effect modeling: A review of wind farm layout optimization using Jensen’s model. Renew. Sustain. Energy Rev. 2016, 58, 1048–1059. [Google Scholar] [CrossRef]
- Kragh, K.A.; Hansen, M.H. Load alleviation of wind turbines by yaw misalignment. Wind Energy 2014, 17, 971–982. [Google Scholar] [CrossRef]
- Zalkind, D.S.; Pao, L.Y. The fatigue loading effects of yaw control for wind plants. In Proceedings of the 2016 American Control Conference (ACC), Boston, MA, USA, 6–8 July 2016; pp. 537–542. [Google Scholar] [CrossRef]
- Sun, H.; Gao, X.; Yang, H. Experimental study on wind speeds in a complex-terrain wind farm and analysis of wake effects. Appl. Energy 2020, 272, 115215. [Google Scholar] [CrossRef]
- Shin, D.; Ko, K. Experimental study on application of nacelle-mounted LiDAR for analyzing wind turbine wake effects by distance. Energy 2022, 243, 123088. [Google Scholar] [CrossRef]
- Wang, T.; Cai, C.; Wang, X.; Wang, Z.; Chen, Y.; Song, J.; Xu, J.; Zhang, Y.; Li, Q. A new Gaussian analytical wake model validated by wind tunnel experiment and LiDAR field measurements under different turbulent flow. Energy 2023, 271, 127089. [Google Scholar] [CrossRef]
- Chen, G.; Li, X.B.; Liang, X.F. IDDES simulation of the performance and wake dynamics of the wind turbines under different turbulent inflow conditions. Energy 2022, 238, 121772. [Google Scholar] [CrossRef]
- Porté-Agel, F.; Bastankhah, M.; Shamsoddin, S. Wind-Turbine and Wind-Farm Flows: A Review. Bound.-Layer Meteorol. 2020, 174, 1–59. [Google Scholar] [CrossRef]
- Ali, H.; Khan, N.B.; Jameel, M.; Khan, A.; Sajid, M.; Munir, A.; Ahmed, A.E.S.; Abdulkhaliq, M.; Alharbi, K.; Galal, A.M. Numerical investigation of the effect of spanwise length and mesh density on flow around cylinder at Re= 3900 using LES model. PLoS ONE 2022, 17, e0266065. [Google Scholar] [CrossRef] [PubMed]
- Khan, N.B.; Ibrahim, Z.B.; Ali, M.A.; Jameel, M.; Khan, M.I.; Javanmardi, A.; Oyejobi, D. Numerical simulation of flow with large eddy simulation at Re= 3900: A study on the accuracy of statistical quantities. Int. J. Numer. Methods Heat Fluid Flow 2020, 30, 2397–2409. [Google Scholar] [CrossRef]
- Jensen, N.O. A Note on Wind Generator Interaction; Risø National Laboratory: Roskilde, Denmark, 1983; Volume 2411. [Google Scholar]
- Katic, I.; Højstrup, J.; Jensen, N.O. A simple model for cluster efficiency. In Proceedings of the European Wind Energy Association Conference and Exhibition, Rome, Italy, 7–9 October 1986; A. Raguzzi: Rome, Italy, 1986; Volume 1, pp. 407–410. [Google Scholar]
- Larsen, G.C. A Simple Wake Calculation Procedure; Risø National Laboratory: Roskilde, Denmark, 1988. [Google Scholar]
- Frandsen, S.; Barthelmie, R.; Pryor, S.; Rathmann, O.; Larsen, S.; Højstrup, J.; Thøgersen, M. Analytical modelling of wind speed deficit in large offshore wind farms. Wind Energy Int. J. Prog. Appl. Wind Power Convers. Technol. 2006, 9, 39–53. [Google Scholar] [CrossRef]
- Bastankhah, M.; Porté-Agel, F. A new analytical model for wind-turbine wakes. Renew. Energy 2014, 70, 116–123. [Google Scholar] [CrossRef]
- Niayifar, A.; Porté-Agel, F. A new analytical model for wind farm power prediction. J. Physics: Conf. Ser. 2015, 625, 012039. [Google Scholar] [CrossRef]
- Tian, L.; Zhu, W.; Shen, W.; Zhao, N.; Shen, Z. Development and validation of a new two-dimensional wake model for wind turbine wakes. J. Wind Eng. Ind. Aerodyn. 2015, 137, 90–99. [Google Scholar] [CrossRef]
- Gao, X.; Yang, H.; Lu, L. Optimization of wind turbine layout position in a wind farm using a newly-developed two-dimensional wake model. Appl. Energy 2016, 174, 192–200. [Google Scholar] [CrossRef]
- Dou, B.; Guala, M.; Lei, L.; Zeng, P. Wake model for horizontal-axis wind and hydrokinetic turbines in yawed conditions. Appl. Energy 2019, 242, 1383–1395. [Google Scholar] [CrossRef]
- Micallef, D.; Sant, T. A Review of Wind Turbine Yaw Aerodynamics. In Wind Turbines; Aissaoui, A.G., Tahour, A., Eds.; IntechOpen: Rijeka, Croatia, 2016; Chapter 2. [Google Scholar] [CrossRef]
- Kim, M.G.; Dalhoff, P.H. Yaw Systems for wind turbines—Overview of concepts, current challenges and design methods. J. Phys. Conf. Ser. 2014, 524, 012086. [Google Scholar] [CrossRef]
- Nasery, P.; Aziz Ezzat, A. Yaw-adjusted wind power curve modeling: A local regression approach. Renew. Energy 2023, 202, 1368–1376. [Google Scholar] [CrossRef]
- Howland, M.F.; Lele, S.K.; Dabiri, J.O. Wind farm power optimization through wake steering. Proc. Natl. Acad. Sci. USA 2019, 116, 14495–14500. [Google Scholar] [CrossRef]
- Yang, J.; Fang, L.; Song, D.; Su, M.; Yang, X.; Huang, L.; Joo, Y.H. Review of control strategy of large horizontal-axis wind turbines yaw system. Wind Energy 2021, 24, 97–115. [Google Scholar] [CrossRef]
- Wu, Z.; Wang, H. Research on Active Yaw Mechanism of Small Wind Turbines. Energy Procedia 2012, 16, 53–57. [Google Scholar] [CrossRef][Green Version]
- Bromm, M.; Rott, A.; Beck, H.; Vollmer, L.; Steinfeld, G.; Kühn, M. Field investigation on the influence of yaw misalignment on the propagation of wind turbine wakes. Wind Energy 2018, 21, 1011–1028. [Google Scholar] [CrossRef]
- Wu, W.; Liu, X.; Liu, J.; Zeng, S.; Zhou, C.; Wang, X. Investigation into Yaw Motion Influence of Horizontal-Axis Wind Turbine on Wake Flow Using LBM-LES. Energies 2021, 14, 5248. [Google Scholar] [CrossRef]
- Jiménez, Á.; Crespo, A.; Migoya, E. Application of a LES technique to characterize the wake deflection of a wind turbine in yaw. Wind Energy 2010, 13, 559–572. [Google Scholar] [CrossRef]
- van Dijk, M.T.; van Wingerden, J.W.; Ashuri, T.; Li, Y. Wind farm multi-objective wake redirection for optimizing power production and loads. Energy 2017, 121, 561–569. [Google Scholar] [CrossRef]
- Kanev, S. Dynamic wake steering and its impact on wind farm power production and yaw actuator duty. Renew. Energy 2020, 146, 9–15. [Google Scholar] [CrossRef]
- Bastankhah, M.; Porté-Agel, F. A wind-tunnel investigation of wind-turbine wakes in yawed conditions. J. Phys. Conf. Ser. 2015, 625, 012014. [Google Scholar] [CrossRef]
- Fleming, P.A.; Gebraad, P.M.; Lee, S.; van Wingerden, J.W.; Johnson, K.; Churchfield, M.; Michalakes, J.; Spalart, P.; Moriarty, P. Evaluating techniques for redirecting turbine wakes using SOWFA. Renew. Energy 2014, 70, 211–218. [Google Scholar] [CrossRef]
- Deng, Z.; Xu, C.; Huo, Z.; Han, X.; Xue, F. Yaw Optimisation for Wind Farm Production Maximisation Based on a Dynamic Wake Model. Energies 2023, 16, 3932. [Google Scholar] [CrossRef]
- Bastankhah, M.; Porté-Agel, F. Experimental and theoretical study of wind turbine wakes in yawed conditions. J. Fluid Mech. 2016, 806, 506–541. [Google Scholar] [CrossRef]
- Gebraad, P.M.; Teeuwisse, F.W.; Van Wingerden, J.; Fleming, P.A.; Ruben, S.D.; Marden, J.R.; Pao, L.Y. Wind plant power optimization through yaw control using a parametric model for wake effects—A CFD simulation study. Wind Energy 2016, 19, 95–114. [Google Scholar] [CrossRef]
- Howland, M.F.; Bossuyt, J.; Martínez-Tossas, L.A.; Meyers, J.; Meneveau, C. Wake structure in actuator disk models of wind turbines in yaw under uniform inflow conditions. J. Renew. Sustain. Energy 2016, 8, 043301. [Google Scholar] [CrossRef]
- Wei, D.Z.; Wang, N.N.; Wan, D.C. Modelling yawed wind turbine wakes: Extension of a Gaussian-based wake model. Energies 2021, 14, 4494. [Google Scholar] [CrossRef]
- Kuo, J.; Pan, K.; Li, N.; Shen, H. Wind farm yaw optimization via random search algorithm. Energies 2020, 13, 865. [Google Scholar] [CrossRef]
- Lin, M.; Porté-Agel, F. Large-eddy simulation of yawed wind-turbine wakes: Comparisons with wind tunnel measurements and analytical wake models. Energies 2019, 12, 4574. [Google Scholar] [CrossRef]
- Kabir, I.F.S.A.; Safiyullah, F.; Ng, E.; Tam, V.W. New analytical wake models based on artificial intelligence and rivalling the benchmark full-rotor CFD predictions under both uniform and ABL inflows. Energy 2020, 193, 116761. [Google Scholar] [CrossRef]
- Gajendran, M.K.; Kabir, I.F.S.A.; Purohit, S.; Ng, E. On the Limitations of Machine Learning (ML) Methodologies in Predicting the Wake Characteristics of Wind Turbines. In Proceedings of the Renewable Energy Systems in Smart Grid: Select Proceedings of International Conference on Renewable and Clean Energy (ICRCE), Shiga, Japan, 25–27 February 2022; Springer: Singapore, 2022; pp. 15–23. [Google Scholar]
- Zhang, J.; Zhao, X. A novel dynamic wind farm wake model based on deep learning. Appl. Energy 2020, 277, 115552. [Google Scholar] [CrossRef]
- Stanfel, P.; Johnson, K.; Bay, C.J.; King, J. A distributed reinforcement learning yaw control approach for wind farm energy capture maximization. In Proceedings of the 2020 American Control Conference (ACC), Denver, CO, USA, 1–3 July 2020; pp. 4065–4070. [Google Scholar]
- WindSE, Version 2016; National Renewable Energy Laboratory (NREL): Golden, CO, USA, 2016.
- Young, E.; Allen, J.; Bortolotti, P.; King, R.; Barter, G. An Unsteady Actuator Line Solver to Enable Adjoint Sensitivity Studies for Wake Steering. Proc. J. Phys. Conf. Ser. 2020, 1618, 042038. [Google Scholar] [CrossRef]
- Allen, J.; Young, E.; Bortolotti, P.; King, R.; Barter, G. Blade planform design optimization to enhance turbine wake control. Wind Energy 2022, 25, 811–830. [Google Scholar] [CrossRef]
- Logg, A.; Mardal, K.A.; Wells, G. Automated Solution of Differential Equations by the Finite Element Method: The FEniCS Book; Springer Science & Business Media: Berlin/Heidelberg, Germany, 2012; Volume 84. [Google Scholar]
- Khan, M.Z.; Gajendran, M.K.; Lee, Y.; Khan, M.A. Deep Neural Architectures for Medical Image Semantic Segmentation. IEEE Access 2021, 9, 83002–83024. [Google Scholar] [CrossRef]
- Gajendran, M.K.; Khan, M.Z.; Khattak, M.A.K. ECG Classification using Deep Transfer Learning. In Proceedings of the 2021 4th International Conference on Information and Computer Technologies (ICICT), Kahului, HI, USA, 11–14 March 2021; pp. 1–5. [Google Scholar]
- Jahmunah, V.; Ng, E.; San, T.R.; Acharya, U.R. Automated detection of coronary artery disease, myocardial infarction and congestive heart failure using GaborCNN model with ECG signals. Comput. Biol. Med. 2021, 134, 104457. [Google Scholar] [CrossRef]
- Gajendran, M.K.; Rohowetz, L.J.; Koulen, P.; Mehdizadeh, A. Novel machine-learning based framework using electroretinography data for the detection of early-stage glaucoma. Front. Neurosci. 2022, 15, 869137. [Google Scholar] [CrossRef] [PubMed]
- Draper, N.R.; Smith, H. Applied Regression Analysis; John Wiley & Sons: Hoboken, NJ, USA, 1998; Volume 326. [Google Scholar]
- Chatterjee, S.; Hadi, A.S. Regression Analysis by Example; John Wiley & Sons: Hoboken, NJ, USA, 2015. [Google Scholar]
- Smits, G.F.; Kotanchek, M. Pareto-Front Exploitation in Symbolic Regression. In Genetic Programming Theory and Practice II; Springer: Boston, MA, USA, 2005; pp. 283–299. [Google Scholar]
- Morales, C.O.; Vázquez, K.R. Symbolic regression problems by genetic programming with multi-branches. In Proceedings of the Mexican International Conference on Artificial Intelligence, Mexico City, Mexico, 26–30 April 2004; Springer: Berlin/Heidelberg, Germany, 2004; pp. 717–726. [Google Scholar]
- Stinstra, E.; Rennen, G.; Teeuwen, G. Metamodeling by symbolic regression and Pareto simulated annealing. Struct. Multidiscip. Optim. 2008, 35, 315–326. [Google Scholar] [CrossRef]
- Alaskar, A.; Alfalah, G.; Althoey, F.; Abuhussain, M.A.; Javed, M.F.; Deifalla, A.F.; Ghamry, N.A. Comparative Study of Genetic Programming-Based Algorithms for Predicting the Compressive Strength of Concrete at Elevated Temperature. Case Stud. Constr. Mater. 2023, 18, e02199. [Google Scholar] [CrossRef]
- Schmidt, M.; Lipson, H. Distilling free-form natural laws from experimental data. Science 2009, 324, 81–85. [Google Scholar] [CrossRef]
- Kirkpatrick, S.; Gelatt, C.D.; Vecchi, M.P. Optimization by simulated annealing. Science 1983, 220, 671–680. [Google Scholar] [CrossRef]
- De Cillis, G.; Cherubini, S.; Semeraro, O.; Leonardi, S.; De Palma, P. The influence of incoming turbulence on the dynamic modes of an NREL-5MW wind turbine wake. Renew. Energy 2022, 183, 601–616. [Google Scholar] [CrossRef]
- Siddiqui, M.S.; Rasheed, A.; Tabib, M.; Kvamsdal, T. Numerical Analysis of NREL 5MW Wind Turbine: A Study Towards a Better Understanding of Wake Characteristic and Torque Generation Mechanism. J. Phys. Conf. Ser. 2016, 753, 032059. [Google Scholar] [CrossRef]
- Xue, F.; Xu, C.; Huang, H.; Shen, W.; Han, X.; Jiao, Z. Research on Unsteady Wake Characteristics of the NREL 5MW Wind Turbine Under Yaw Conditions Based on a LBM-LES Method. Front. Energy Res. 2022, 10, 819774. [Google Scholar] [CrossRef]
- Amin, M.N.; Khan, K.; Arab, A.M.A.; Farooq, F.; Eldin, S.M.; Javed, M.F. Prediction of Sustainable Concrete Utilizing Rice Husk Ash (RHA) as supplementary cementitious material (SCM): Optimization and Hyper-tuning. J. Mater. Res. Technol. 2023, 25, 1495–1536. [Google Scholar] [CrossRef]
- Amin, M.N.; Iftikhar, B.; Khan, K.; Javed, M.F.; AbuArab, A.M.; Rehman, M.F. Prediction model for rice husk ash concrete using AI approach: Boosting and bagging algorithms. Structures 2023, 50, 745–757. [Google Scholar] [CrossRef]




Disclaimer/Publisher’s Note: The statements, opinions and data contained in all publications are solely those of the individual author(s) and contributor(s) and not of MDPI and/or the editor(s). MDPI and/or the editor(s) disclaim responsibility for any injury to people or property resulting from any ideas, methods, instructions or products referred to in the content. |
© 2023 by the authors. Licensee MDPI, Basel, Switzerland. This article is an open access article distributed under the terms and conditions of the Creative Commons Attribution (CC BY) license (https://creativecommons.org/licenses/by/4.0/).
Share and Cite
Gajendran, M.K.; Kabir, I.F.S.A.; Vadivelu, S.; Ng, E.Y.K. Machine Learning-Based Approach to Wind Turbine Wake Prediction under Yawed Conditions. J. Mar. Sci. Eng. 2023, 11, 2111. https://doi.org/10.3390/jmse11112111
Gajendran MK, Kabir IFSA, Vadivelu S, Ng EYK. Machine Learning-Based Approach to Wind Turbine Wake Prediction under Yawed Conditions. Journal of Marine Science and Engineering. 2023; 11(11):2111. https://doi.org/10.3390/jmse11112111
Chicago/Turabian StyleGajendran, Mohan Kumar, Ijaz Fazil Syed Ahmed Kabir, Sudhakar Vadivelu, and E. Y. K. Ng. 2023. "Machine Learning-Based Approach to Wind Turbine Wake Prediction under Yawed Conditions" Journal of Marine Science and Engineering 11, no. 11: 2111. https://doi.org/10.3390/jmse11112111
APA StyleGajendran, M. K., Kabir, I. F. S. A., Vadivelu, S., & Ng, E. Y. K. (2023). Machine Learning-Based Approach to Wind Turbine Wake Prediction under Yawed Conditions. Journal of Marine Science and Engineering, 11(11), 2111. https://doi.org/10.3390/jmse11112111

