Sign in to use this feature.

Years

Between: -

Subjects

remove_circle_outline
remove_circle_outline
remove_circle_outline
remove_circle_outline
remove_circle_outline
remove_circle_outline
remove_circle_outline
remove_circle_outline
remove_circle_outline

Journals

remove_circle_outline
remove_circle_outline
remove_circle_outline
remove_circle_outline
remove_circle_outline
remove_circle_outline
remove_circle_outline
remove_circle_outline

Article Types

Countries / Regions

remove_circle_outline
remove_circle_outline
remove_circle_outline
remove_circle_outline

Search Results (590)

Search Parameters:
Keywords = wheat fibers

Order results
Result details
Results per page
Select all
Export citation of selected articles as:
20 pages, 1623 KB  
Article
Evaluating the Feed Value of Sawdust as a Roughage Substitute for Ruminants: Implications Based on In Vitro, In Sacco and In Vivo Studies
by Seid Ali Yimam, Egil Prestløkken, Lars Martin Hval and Alemayehu Kidane
Agriculture 2026, 16(3), 288; https://doi.org/10.3390/agriculture16030288 - 23 Jan 2026
Abstract
Sawdust represents a locally available lignocellulosic resource that may complement ruminant diets during periods of forage shortage. This study evaluated the feeding value of birch (Betula pendula) sawdust subjected to physical and chemical processing using a stepwise experimental approach. Steam-exploded and fresh sawdust [...] Read more.
Sawdust represents a locally available lignocellulosic resource that may complement ruminant diets during periods of forage shortage. This study evaluated the feeding value of birch (Betula pendula) sawdust subjected to physical and chemical processing using a stepwise experimental approach. Steam-exploded and fresh sawdust were treated with 0, 4% ammonia, or 4% sodium hydroxide in a 2 × 3 factorial design and initially evaluated by in vitro gas production, dry matter digestibility, and fermentation pH. Based on these results, selected materials were further assessed for rumen dry matter and fiber degradation using the in sacco technique in cannulated dairy cows, with untreated and ammonia-treated wheat straw included for comparison. In addition, steam-exploded sawdust was compared with wheat straw and grass silage for in vivo digestibility in sheep. A pilot study also tested aspen (Populus tremula) sawdust in lactating cow diets. Steam explosion substantially reduced fiber fractions, particularly hemicellulose, and increased residual carbohydrates, resulting in higher gas production and in vitro digestibility compared with fresh sawdust (p < 0.05). Ammonia treatment markedly increased crude protein content, whereas sodium hydroxide primarily increased ash concentration. In sacco, steam-exploded birch showed similar or higher ruminal dry matter and neutral detergent fiber degradation compared with ammonia-treated wheat straw, while untreated fresh birch remained largely undegraded. In vivo, steam-exploded sawdust exhibited greater organic matter digestibility and net energy than untreated wheat straw but remained less digestible than grass silage (p < 0.0001). A pilot feeding test with lactating dairy cows demonstrated good acceptance of untreated aspen sawdust as a partial roughage substitute under non-standardized conditions. Overall, the results indicate that steam-exploded sawdust has potential as a complementary roughage source for ruminants when conventional forages are limited. Full article
(This article belongs to the Section Farm Animal Production)
Show Figures

Figure 1

18 pages, 1465 KB  
Article
Growth Performances and Nutritional Values of Tenebrio molitor Larvae: Influence of Different Agro-Industrial By-Product Diets
by Giuseppe Serra, Francesco Corrias, Mattia Casula, Maria Leonarda Fadda, Stefano Arrizza, Massimo Milia, Nicola Arru and Alberto Angioni
Foods 2026, 15(2), 393; https://doi.org/10.3390/foods15020393 (registering DOI) - 22 Jan 2026
Abstract
Intensive livestock and aquaculture systems require high-quality feeds with the correct nutritional composition. The decrease in wild fish proteins has led to demands within the feed supply chain for new alternatives to fulfil the growing demand for protein. In this context, edible insects [...] Read more.
Intensive livestock and aquaculture systems require high-quality feeds with the correct nutritional composition. The decrease in wild fish proteins has led to demands within the feed supply chain for new alternatives to fulfil the growing demand for protein. In this context, edible insects like the yellow mealworm (Tenebrio molitor) have the greatest potential to become a valid alternative source of proteins. This study evaluated the growth performance and nutritional profile of yellow mealworm larvae reared under laboratory conditions on eight different agro-industrial by-products: wheat middling, durum wheat bran, rice bran, hemp cake, thistle cake, dried brewer’s spent grains, dried tomato pomace, and dried distilled grape marc. The quantitative and qualitative impacts of rearing substrates on larvae were compared. The results showed that larvae adapt well to different substrates with different nutritional compositions, including the fibrous fraction. However, substrates affect larval growth feed conversion and larval macro composition. Hemp cake stood out for its superior nutritional value, as reflected by its high protein content and moderate NDF (Neutral Detergent Fiber) levels, which determine fast larval growth. On the contrary, imbalanced substrate lipid or carbohydrate content (rice bran), as well as the presence of potential antinutritional compounds (thistle cake), appeared to negatively affect growth performances. Full article
(This article belongs to the Section Nutraceuticals, Functional Foods, and Novel Foods)
Show Figures

Figure 1

23 pages, 4786 KB  
Article
Potassium Fertilization as a Steering Tool for Sustainable Valorization of Cereal Straw in Circular Bioeconomy Value Chains
by Dario Iljkić, Ivana Varga, Paulina Krolo and Ivan Kraus
Sustainability 2026, 18(2), 984; https://doi.org/10.3390/su18020984 - 18 Jan 2026
Viewed by 87
Abstract
Potassium (K) fertilization plays a key role in regulating stem morphology, particularly stem diameter, yet the influence of different K fertilizer formulations on stem structure and tensile strength remains insufficiently understood. Cereal straw is a key lignocellulosic by-product with growing importance in the [...] Read more.
Potassium (K) fertilization plays a key role in regulating stem morphology, particularly stem diameter, yet the influence of different K fertilizer formulations on stem structure and tensile strength remains insufficiently understood. Cereal straw is a key lignocellulosic by-product with growing importance in the circular bioeconomy. Thus, the aim of this study was to determine the links between potassium nutrition, stem structure, and mechanical behavior for four cereal species: wheat, barley, rye, and oats. There were three potassium fertilization levels (0, 60, and 120 kg K ha−1) conducted in a field experiment in eastern Croatia (2021/2022). At maturity, stem morphology, macroelements (Ca, K, P, C, N), acid detergent fiber (ADF), neutral detergent fiber (NDF), and uniaxial tensile properties (maximum force, tensile strength, Young’s modulus) were determined. Cereal species was the dominant source of variation (p < 0.0001) for all traits, whereas the main effect of K was generally weak and significant only for stem diameter at the midpoint and N concentration, although K × species interactions were frequent. Oats and rye showed the most vigorous biomass production, whereas wheat exhibited by far the highest tensile strength (about 120 MPa) and stiffness (6.23 GPa), together with the highest ADF, while barley had the greatest NDF. Oat stems had the lowest ADF and NDF, indicating less lignified, more digestible tissues but mechanically weaker straw. Mechanical traits were tightly and positively correlated with ADF, NDF, and CN ratio, whereas P showed weak or negative associations with plant size and strength. Therefore, for targeted straw valorization, cereal species selection is paramount, with potassium fertilization playing a secondary, species-dependent role. Full article
Show Figures

Figure 1

12 pages, 1231 KB  
Article
Hydroponically Sprouted Grains: Effects on In Situ Ruminal Nutrient Degradation, Fractional Disappearance Rate, and Effective Ruminal Degradation
by Gerald K. Salas-Solis, Ana Carolina S. Vicente, Jose A. Arce-Cordero, Martha U. Siregar, Mikayla L. Johnson, James R. Vinyard, Richard R. Lobo, Efstathios Sarmikasoglou and Antonio P. Faciola
Fermentation 2026, 12(1), 55; https://doi.org/10.3390/fermentation12010055 - 18 Jan 2026
Viewed by 87
Abstract
This study aimed to evaluate in situ ruminal nutrient degradation, fractional disappearance rate, and effective ruminal degradation of hydroponically sprouted barley, wheat, and triticale. Two ruminally canulated lactating cows were used in a complete randomized block design with four treatments and nine incubation [...] Read more.
This study aimed to evaluate in situ ruminal nutrient degradation, fractional disappearance rate, and effective ruminal degradation of hydroponically sprouted barley, wheat, and triticale. Two ruminally canulated lactating cows were used in a complete randomized block design with four treatments and nine incubation times (0, 2, 4, 8, 12, 24, 48, 72, and 240 h). Treatments were corn silage (control), and sprouted barley, triticale, and wheat. Quadruplicate samples (5 g each) were placed in Dacron bags and incubated in the rumen. Then, bags were rinsed and spun, dried (48 h × 55 °C; 3 h × 105 °C), and weighed to determine residual dry matter (DM). Data were analyzed using mixed models (MIXED, SAS 9.4) with treatment, time, and their interaction as fixed effects, and cow and replicate (cow) as random effects. Denominator degrees of freedom were adjusted using the Kenward–Roger method, and means were separated by Tukey–Kramer. Significance was declared at p ≤ 0.05 and tendencies at 0.05 < p ≤ 0.10. Sprouted triticale and wheat treatments had a greater rapidly soluble fraction for DM (p < 0.01), the greatest fractional disappearance rate for DM (p < 0.01) and neutral detergent fiber (NDF; p < 0.01), and greater effective ruminal degradability (ERD) for DM (p < 0.01) and crude protein (CP; p < 0.01). Sprouted wheat also had the greatest ERD for NDF (p < 0.01). In contrast, sprouted barley had the lowest rapidly soluble fractions for DM (p < 0.01), NDF (p < 0.01), and CP (p < 0.01), lower fractional disappearance rate for DM (p < 0.01) and NDF (p < 0.01) than sprouted triticale and wheat, and the lowest ERD for DM (p < 0.01) and CP (p < 0.01). Overall, sprouted triticale and wheat had greater in situ ruminal nutrient degradation, effective ruminal degradation, and nutrient degradation kinetics, indicating their potential for inclusion in dairy cattle diets to improve nutrient degradability. Full article
(This article belongs to the Special Issue Ruminal Fermentation: 2nd Edition)
Show Figures

Figure 1

17 pages, 1390 KB  
Article
Ultrasound-Assisted Extraction of Oil and Antioxidant Compounds from Wheat Germ and the Obtention of Protein and Fiber-Rich Residue
by Silvina Patricia Meriles, Carlos Guillermo Ferrayoli, Marcela Lilian Martínez, Pablo Daniel Ribotta and María Cecilia Penci
Processes 2026, 14(2), 259; https://doi.org/10.3390/pr14020259 - 12 Jan 2026
Viewed by 140
Abstract
Wheat germ (WG) oil is highly used in cosmetics and pharmaceutics for its high tocopherol content. The present study explored and optimized the ultrasound-assisted extraction of oil and bioactive compounds from stabilized wheat germ at a laboratory scale. Optimum conditions were 15 s, [...] Read more.
Wheat germ (WG) oil is highly used in cosmetics and pharmaceutics for its high tocopherol content. The present study explored and optimized the ultrasound-assisted extraction of oil and bioactive compounds from stabilized wheat germ at a laboratory scale. Optimum conditions were 15 s, 36% amplitude, and 10:1 solvent-to-solid ratio. The yield (5.1%) and the ether-soluble fraction (87.92%) obtained were remarkable considering the short extraction time, and the solvent used was absolute ethanol. Sonication did not have a significant impact on oil oxidation parameters (acidity and peroxide value), tocopherol content (1499 μg toc/g extract), and antiradical scavenging activity of the extracts (71% DPPH loss). The total fiber content (16%) and type of the remaining solids were not affected as well. Protein solubility increased with sonication. Altogether, these findings propose ultrasound-assisted extraction of oil from wheat germ as a promising alternative to conventional techniques. Full article
(This article belongs to the Special Issue Extraction Processes, Modeling, and Optimization of Oils)
Show Figures

Graphical abstract

20 pages, 2000 KB  
Article
Technological Performance and Nutritional Modulation of Bread Enriched with Cnidoscolus aconitifolius and Crotalaria longirostrata Leaf Flours
by Kimberly Calonico, Esther Pérez-Carrillo and Julian De La Rosa-Millan
Plants 2026, 15(1), 71; https://doi.org/10.3390/plants15010071 - 25 Dec 2025
Viewed by 386
Abstract
Bread typically exhibits a high glycemic index (GI), motivating interest in plant-based ingredients that can modulate starch digestibility while enhancing nutritional value. This study evaluated the technological, compositional, and digestibility effects of incorporating leaf flours from Cnidoscolus aconitifolius and Crotalaria longirostrata into wheat [...] Read more.
Bread typically exhibits a high glycemic index (GI), motivating interest in plant-based ingredients that can modulate starch digestibility while enhancing nutritional value. This study evaluated the technological, compositional, and digestibility effects of incorporating leaf flours from Cnidoscolus aconitifolius and Crotalaria longirostrata into wheat bread. Both flours increased protein, dietary fiber, and phenolic content, while modifying dough performance and crumb structure. C. longirostrata produced the strongest reduction in predicted glycemic index (pGI), decreasing values by 5.2% on Day 0 and up to 17.8% by Day 5, associated with the highest accumulation of resistant starch. However, this nutritional advantage was accompanied by marked technological drawbacks, including reduced loaf volume and denser crumb. In contrast, C. aconitifolius exhibited better technological compatibility, generating breads with higher volume and more cohesive crumb structure, while still achieving meaningful pGI reductions (6.1% on Day 0 and 9.6% by Day 5). Firmness evolution during storage reflected staling-related structural changes but did not involve direct measurement of starch retrogradation. Overall, this work highlights the functional potential of whole leaf flours to enhance the nutritional profile and glycemic behavior of bread, while underscoring the formulation-dependent trade-offs that influence technological quality. These findings provide a foundation for developing optimized, lower-glycemic baked products using underutilized botanical ingredients. Full article
(This article belongs to the Special Issue Bioactives from Plants: From Extraction to Functional Food Innovation)
Show Figures

Figure 1

15 pages, 1067 KB  
Article
Enrichment of Wheat Flour Bread with Pleurotus ostreatus Lyophilizate and Aqueous Extract—Influence on Dough and Bread Quality
by Jana Zahorec, Dragana Šoronja-Simović, Jovana Petrović, Sonja Smole Možina, Anja Klančnik, Jerica Sabotič and Meta Sterniša
Processes 2026, 14(1), 65; https://doi.org/10.3390/pr14010065 - 24 Dec 2025
Viewed by 303
Abstract
The use of Pleurotus ostreatus lyophilizate (POL) and hot water extract (POE) as potential functional ingredients for the development of enriched bread was investigated. The effects of POL and POE were examined based on the results of empirical rheological measurements and physical, textural [...] Read more.
The use of Pleurotus ostreatus lyophilizate (POL) and hot water extract (POE) as potential functional ingredients for the development of enriched bread was investigated. The effects of POL and POE were examined based on the results of empirical rheological measurements and physical, textural and sensory analysis of bread. POL was incorporated into dough as a partial substitute for wheat flour (1% and 5%), while POE was added as a replacement for part of the water required to achieve optimal dough consistency (2% and 10%). Inclusion of POL in dough formulation caused dough disintegration: extreme decrease in degree of softening, from 60 FU (control) to 275 FU (POL1) and 290 FU (POL5), and extensographic measurements could not be performed. The specific volume of bread with 10% POL decreased by 46% and the crumb hardness increased approximately four times compared to the control. On the other hand, rheological properties of dough with POE were comparable to control, resulting in minimal impact on physical, textural and sensory characteristics of bread. Both fortifying ingredients positively affected the total phenolic content and antioxidant activity of the bread, with a more pronounced effect observed for POL compared to POE. Additionally, bread enriched with 5% POL had total dietary fiber content of 4.7 g/100 g and could be labeled as a source of fiber. P. ostreatus derivatives show great potential for functional bread development; however, further research is needed to optimize their use and maintain bread quality. Full article
(This article belongs to the Special Issue Processes in Agri-Food Technology)
Show Figures

Figure 1

19 pages, 1113 KB  
Article
Agronomic and Functional Evaluation of Nine Gamma-Irradiated Colored Wheat Mutants for Whole-Crop Forage Production
by Min Jeong Hong, Jin-Baek Kim and Dae Yeon Kim
Agronomy 2026, 16(1), 49; https://doi.org/10.3390/agronomy16010049 - 24 Dec 2025
Viewed by 321
Abstract
Wheat (Triticum aestivum L.), a key global cereal for food and feed, is being improved through gamma irradiation to enhance its nutritional and functional value for forage use. This study examined the forage potential and functional traits of gamma-irradiated colored wheat mutants [...] Read more.
Wheat (Triticum aestivum L.), a key global cereal for food and feed, is being improved through gamma irradiation to enhance its nutritional and functional value for forage use. This study examined the forage potential and functional traits of gamma-irradiated colored wheat mutants through integrated analyses of agronomic performance, chemical composition, silage quality, and antioxidant capacity. Nine mutant lines (S1–S9), original colored wheat, and two control cultivars, ‘Cheongwoo’ (forage type) and ‘Keumkang’ (bread type), were evaluated under field conditions. Gamma irradiation (200 Gy) broadened phenotypic and biochemical diversity within the colored wheat background, generating genotypes with distinct biomass and compositional profiles. Several lines, particularly S6 and S8, produced high dry matter yields with balanced crude protein and fiber contents comparable to ‘Cheongwoo’ while maintaining optimal fiber levels for ruminant feeding. Most mutants showed stable fermentation and buffering properties, indicating that radiation-induced variation did not impair silage quality. Antioxidant analyses revealed clear genotypic variation, with the S3 and S1 lines exhibiting elevated phenolic and anthocyanin contents associated with strong radical scavenging activity. Overall, gamma irradiation proved to be an effective approach for generating colored wheat lines with enhanced agronomic performance and functional value, highlighting S3 as a promising dual-purpose whole-crop forage candidate. Full article
(This article belongs to the Section Farming Sustainability)
Show Figures

Figure 1

24 pages, 10005 KB  
Article
Nutritional, Functional, and Morphological Insights into a Heritage Durum Wheat of Campania
by Maria Chiara Di Meo, Ilva Licaj, Vittorio Maria Mandrone, Jessica Raffaella Madera, Romualdo Varricchio, Chiara Germinario, Mariapina Rocco, Romania Stilo, Pasquale Vito and Ettore Varricchio
Agronomy 2026, 16(1), 24; https://doi.org/10.3390/agronomy16010024 - 21 Dec 2025
Viewed by 289
Abstract
Ancient wheat cultivars play a crucial role in human and animal nutrition and health, serving as rich sources of bioactive compounds, essential nutrients, and functional metabolites. This study investigated Triticum turgidum subsp. durum (cv. Saragolla), an ancient wheat variety from the Campania [...] Read more.
Ancient wheat cultivars play a crucial role in human and animal nutrition and health, serving as rich sources of bioactive compounds, essential nutrients, and functional metabolites. This study investigated Triticum turgidum subsp. durum (cv. Saragolla), an ancient wheat variety from the Campania region of Southern Italy, to comprehensively characterize its morphological, functional, and nutritional attributes in support of germplasm conservation and valorization. Standard AOAC methods, including HPLC profiling, antioxidant assays, and quantification of total polyphenols and flavonoids, were applied to characterize the grain’s composition. The results revealed a balanced distribution of proteins, lipids, dietary fibers, and carbohydrates, that defines the nutritional and functional quality of Saragolla grains. Microscopic investigation through SEM coupled with EDX analysis provided high-resolution visualization of caryopsis morphology, ultrastructure, and mineral distribution, confirming its distinct varietal characteristics. Additionally, SSR marker analysis revealed notable genetic diversity within the Saragolla germplasm, identifying loci associated with key agronomic traits, including kernel weight, grain number, and stress tolerance parameters essential for future breeding programs. Overall, this integrated assessment highlights Saragolla as a valuable heritage wheat and a strategic genetic resource for breeding durum cultivars with enhanced nutritional quality, technological performance, and resilience to environmental stress. Full article
(This article belongs to the Special Issue Energy Crops in Sustainable Agriculture)
Show Figures

Figure 1

17 pages, 517 KB  
Article
Nutritional and Antioxidant Comparison of Oil Press Cakes and Wheat Flours
by Olina Dudasova Petrovicova, Nevena Dabetic, Milica Zrnic Ciric, Brizita Djordjevic and Vanja Todorovic
Molecules 2025, 30(24), 4781; https://doi.org/10.3390/molecules30244781 - 15 Dec 2025
Viewed by 379
Abstract
Plants are sources of compounds with important effects on health, but plant-based food industry generates substantial waste amounts, especially in oil production. This study aimed to characterize flours derived from oilseed by-products, pumpkin, sunflower, and apricot seed residues, and compare them with conventional [...] Read more.
Plants are sources of compounds with important effects on health, but plant-based food industry generates substantial waste amounts, especially in oil production. This study aimed to characterize flours derived from oilseed by-products, pumpkin, sunflower, and apricot seed residues, and compare them with conventional grain flours (white and whole wheat). Nutritional composition was analyzed with emphasis on amino acid profiles performed by ion chromatography. Mineral profiles were determined by ICP-MS. Total phenolics and antioxidant activity were assessed using in vitro colorimetric microassays. Oil press cake flours showed significantly higher levels of protein and fiber compared to wheat flours (p < 0.05), while the latter contained more carbohydrates. Among the examined flours, pumpkin and apricot seed flours stood out with the highest potassium, while sunflower seed flour led in calcium content. Despite higher polyphenol content in wheat flours, apricot seed flour exhibited the greatest antioxidant activity, likely due to its diverse profile of hydrophilic and lipophilic bioactive compounds. These findings highlight oil press cakes as nutritionally valuable ingredients for protein-enriched and other innovative food products, aligning with circular economy principles and promoting resource efficiency in the agri-food sector. Full article
(This article belongs to the Special Issue Natural Antioxidants in Functional Food)
Show Figures

Graphical abstract

26 pages, 646 KB  
Article
Development and Consumer Acceptability of Functional Bread Formulations Enriched with Extruded Avocado Seed Flour: Nutritional and Technological Properties
by Jesús Salvador Jaramillo-De la Garza, Dariana Graciela Rodríguez-Sánchez, Carmen Hernández-Brenes and Erick Heredia-Olea
Foods 2025, 14(24), 4282; https://doi.org/10.3390/foods14244282 - 12 Dec 2025
Cited by 1 | Viewed by 627
Abstract
Avocado processing generates seed by-products rich in dietary fiber that can be upcycled into functional ingredients. This study modified and characterized avocado seed flour via extrusion and enzyme-assisted wet-milling, as well as evaluated its use in wheat bread. The flour was fractionated, and [...] Read more.
Avocado processing generates seed by-products rich in dietary fiber that can be upcycled into functional ingredients. This study modified and characterized avocado seed flour via extrusion and enzyme-assisted wet-milling, as well as evaluated its use in wheat bread. The flour was fractionated, and fraction 2 (F2) was selected based on techno-functional performance; it was tested in its non-extruded (NEF2) and extruded (EF2) forms. Breads were prepared by replacing 5% of wheat flour with NEF2 and EF2 (NEB and EB, respectively). Compared with NEF2, EF2 had an 81% higher water absorption index (WAI) and an 18% higher oil absorption index (OAI). Extrusion reduced antioxidant activity ~1.6-fold, consistent with an ~85% decrease in acetogenin content, indicating thermo-mechanical degradation of bioactives linked to bitterness. Analyses were conducted in triplicate (p < 0.05). By day 3, crumb hardness increased (EB: 9.65 N; NEB: 6.04 N; control: 5.49 N). In a test with 106 consumers, aroma scores improved for NEB (8.00, IQR 7.00–8.00) and EB (7.00, IQR 5.00–8.00) versus the control (6.00, IQR 4.00–7.00), while overall acceptability, texture, color, and appearance did not differ. These results support EF2 as a functional upcycled ingredient that enhances hydration and aroma, reduces bitterness, and maintains consumer acceptance, aligning with circular economy and clean-label goals. Full article
Show Figures

Graphical abstract

24 pages, 6945 KB  
Article
Evaluating Environmental Performance of PLA–Cellulose-Based Biocomposites: A Comprehensive Study on Biodegradability, Compostability, and Ecotoxicity
by Vera L. D. Costa, Pedro E. M. Videira, António de O. Mendes, Tomás Duarte, Bruno F. A. Valente, Paula Pinto, Alexandre Gaspar, Tânia Viana, Paulo T. Fiadeiro, Joana M. R. Curto, Maria Emília Amaral, Ana P. Costa and Joana C. Vieira
Polymers 2025, 17(23), 3232; https://doi.org/10.3390/polym17233232 - 4 Dec 2025
Viewed by 1029
Abstract
Increasing concerns about environmental issues have recently intensified the search for sustainable alternatives to conventional plastics that minimize ecological impacts. This study evaluates the biodegradability, compostability, and ecotoxicity of a PLA-based biocomposite containing 30–40% micronized cellulose fibers. The material complied with the European [...] Read more.
Increasing concerns about environmental issues have recently intensified the search for sustainable alternatives to conventional plastics that minimize ecological impacts. This study evaluates the biodegradability, compostability, and ecotoxicity of a PLA-based biocomposite containing 30–40% micronized cellulose fibers. The material complied with the European limits for fluorine and heavy metals. Biodegradability was assessed through a respirometric test under thermophilic conditions, achieving 81% degradation in 155 days. Thermophilic compostability was evaluated by monitoring the disintegration of injected products made from the biocomposite pellets and cut into pieces with thicknesses of 1.0 mm and 2.1 mm, revealing that increased specific surface area prolongs composting time. Ecotoxicity was tested through seed germination and plant growth assays on barley, onion, sunflower, tomato, and wheat using the biocomposite mature compost mixed (25% and 50%) with a TÜV Austria certified soil. Results showed species-dependent effects: sunflower germination was enhanced, while other plants experienced slight growth delays. No severe phytotoxicity was observed, except for barley and wheat. Despite the proven biodegradability and compostability, the biocomposite product’s dimensions influence disintegration and decomposition rates. Furthermore, compost applications may have variable effects on plant development. These findings improved knowledge about sustainable materials performance, raising awareness about more responsible design, consumption, and disposal strategies. Full article
(This article belongs to the Special Issue Advances in Bio-Based Polymers for Sustainable Packaging)
Show Figures

Graphical abstract

25 pages, 2626 KB  
Article
The Use of Agricultural Waste in Developing Nutrient-Rich Pasta: The Use of Beet Stalk Powder
by Nikoletta Solomakou, Dimitrios Fotiou and Athanasia M. Goula
Recycling 2025, 10(6), 217; https://doi.org/10.3390/recycling10060217 - 3 Dec 2025
Viewed by 567
Abstract
The valorization of agricultural by-products such as beetroot stalks (BSs) offers a sustainable strategy for reducing food waste while enhancing nutritional value of staple foods. This study investigates the incorporation of BS powder, an agricultural waste rich in phenolics, betalains, and dietary fibers, [...] Read more.
The valorization of agricultural by-products such as beetroot stalks (BSs) offers a sustainable strategy for reducing food waste while enhancing nutritional value of staple foods. This study investigates the incorporation of BS powder, an agricultural waste rich in phenolics, betalains, and dietary fibers, into durum wheat semolina pasta. Pasta containing 5–20% BS were evaluated for bioactive compounds, cooking performance parameters, texture, color, and sensory acceptance. Enrichment increased total phenolics, antioxidant activity, and betalain concentration in a dose-dependent manner, with 20% BS pasta reaching 2.24 mg gallic acid equivalents/g phenolics and 1.53 mg/g betalains. Although drying and boiling reduced bioactive retention, enriched pasta maintained up to eightfold higher antioxidant activity than the control. Cooking performance showed increased water uptake and swelling index at higher substitution levels, while texture analysis revealed reduced hardness and cohesiveness above 15% BS substitution. Color analysis confirmed intense red hues from betalain pigments, enhancing consumer perception. Sensory evaluation indicated that control pasta was preferred for flavor and texture, but 10–15% BS samples were well accepted for their appealing color and mild vegetal notes. Overall, BS powder demonstrates strong potential for upcycling agricultural waste into functional, sustainable pasta with enhanced nutritional quality and alignment with circular economy practices. Full article
Show Figures

Graphical abstract

18 pages, 3014 KB  
Article
Hematological and Biochemical Parameters of European Quails (Coturnix coturnix coturnix) Fed Diets with Different Fiber Profiles, with and Without Stimbiotic Inclusion, from 1 to 35 Days
by Luayne Morais Correa, Adiel Vieira de Lima, Edijanio Galdino da Silva, Anderson Antonio Ferreira da Silva, Maria das Graças da Silva Bernardino, Raiane dos Santos Silva, Neila Lidiany Ribeiro, Jammily Ketly Guedes Caetano, Xavière Rousseau, Matheus Ramalho de Lima, Fernando Guilherme Perazzo Costa and Ricardo Romão Guerra
Animals 2025, 15(23), 3457; https://doi.org/10.3390/ani15233457 - 30 Nov 2025
Viewed by 397
Abstract
Quail farming necessitates the provision of balanced diets to promote avian health and performance, with dietary fiber and feed additives exerting significant influence on immune and physiological responses. This study aimed to evaluate the effects of stimbiotic inclusion in diets characterized by varying [...] Read more.
Quail farming necessitates the provision of balanced diets to promote avian health and performance, with dietary fiber and feed additives exerting significant influence on immune and physiological responses. This study aimed to evaluate the effects of stimbiotic inclusion in diets characterized by varying fiber profiles on hematological and biochemical parameters in European quails (Coturnix coturnix coturnix). A total of six hundred quails, aged from 1 to 35 days, were assigned to 12 distinct treatments, each comprising 5 replicates of 10 birds. The dietary treatments included a corn–soy control, two basal diets featuring corn (low soluble fiber) and wheat (high soluble fiber), and three mixed diets that combined corn and wheat in varying proportions, with each diet supplemented with or without 0.01% stimbiotic. Blood samples were collected at 14 and 35 days of age. In the initial phase (1–14 days), the addition of stimbiotic resulted in increased hemoglobin levels and a reduction in total white blood cells, heterophils, and lymphocytes, indicative of an enhanced immune status. In contrast, dietary fiber was found to influence liver enzyme activity and triglyceride levels. During the growth phase (15–35 days), stimbiotic continued to exert positive effects on hemoglobin and packed cell volume, while dietary fiber increased eosinophil counts, modulating the immune response without affecting other parameters. In conclusion, dietary fiber plays a functional role, particularly during the growth phase, while stimbiotic inclusion enhances immune function in both developmental stages, demonstrating that both strategies contribute positively to the health and performance of European quails. Full article
(This article belongs to the Special Issue Feed Additives in Animal Nutrition)
Show Figures

Figure 1

19 pages, 1033 KB  
Article
The Effect of Nut Oil Cakes on Selected Properties of Enriched Wheat Bread and Their Changes During Storage
by Karolina Pycia and Lesław Juszczak
Appl. Sci. 2025, 15(23), 12591; https://doi.org/10.3390/app152312591 - 27 Nov 2025
Viewed by 404
Abstract
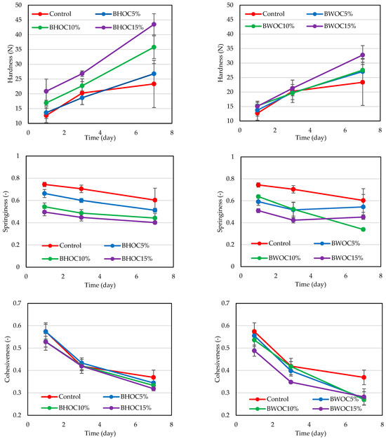
The aim of this study was to evaluate selected parameters during storage of wheat bread enriched with hazelnut oil cake (HOC) or walnut oil cake (WOC) at levels of 5%, 10%, and 15%. Bread volume and specific volume, chemical composition, crumb moisture, crumb [...] Read more.
The aim of this study was to evaluate selected parameters during storage of wheat bread enriched with hazelnut oil cake (HOC) or walnut oil cake (WOC) at levels of 5%, 10%, and 15%. Bread volume and specific volume, chemical composition, crumb moisture, crumb color in the CIE L*a*b* space, crumb texture, total phenolic content (TPC), and antioxidant activity were determined. Tests were conducted on days 1, 3, and 7 of storage. It was found that the HOC/WOC-enriched breads had lower volume and specific volume compared to the control bread. The addition of HOC or WOC improved the nutritional value of the bread, as they had higher protein, mineral, and dietary fiber contents and lower carbohydrate levels. Crumb moisture decreased during storage. The addition of HOC or WOC to the recipe increased crumb hardness while reducing elasticity and cohesiveness. During storage, an increase in hardness, a decrease in elasticity and cohesiveness, and a darker crumb were observed. The enriched breads were characterized by significantly higher TPC and AA contents, and the values of these parameters increased with the addition of nut oil cake. However, the TPC decreased significantly during storage. Full article
Show Figures

Figure 1

Back to TopTop