The Use of Agricultural Waste in Developing Nutrient-Rich Pasta: The Use of Beet Stalk Powder
Abstract
1. Introduction
2. Results
2.1. Composition of Beet Stalk Powder
2.2. Moisture Content and Cooking Quality
2.3. Color Properties
2.4. Total Phenolic Content
2.5. Antioxidant Activity
2.6. Betalain Content
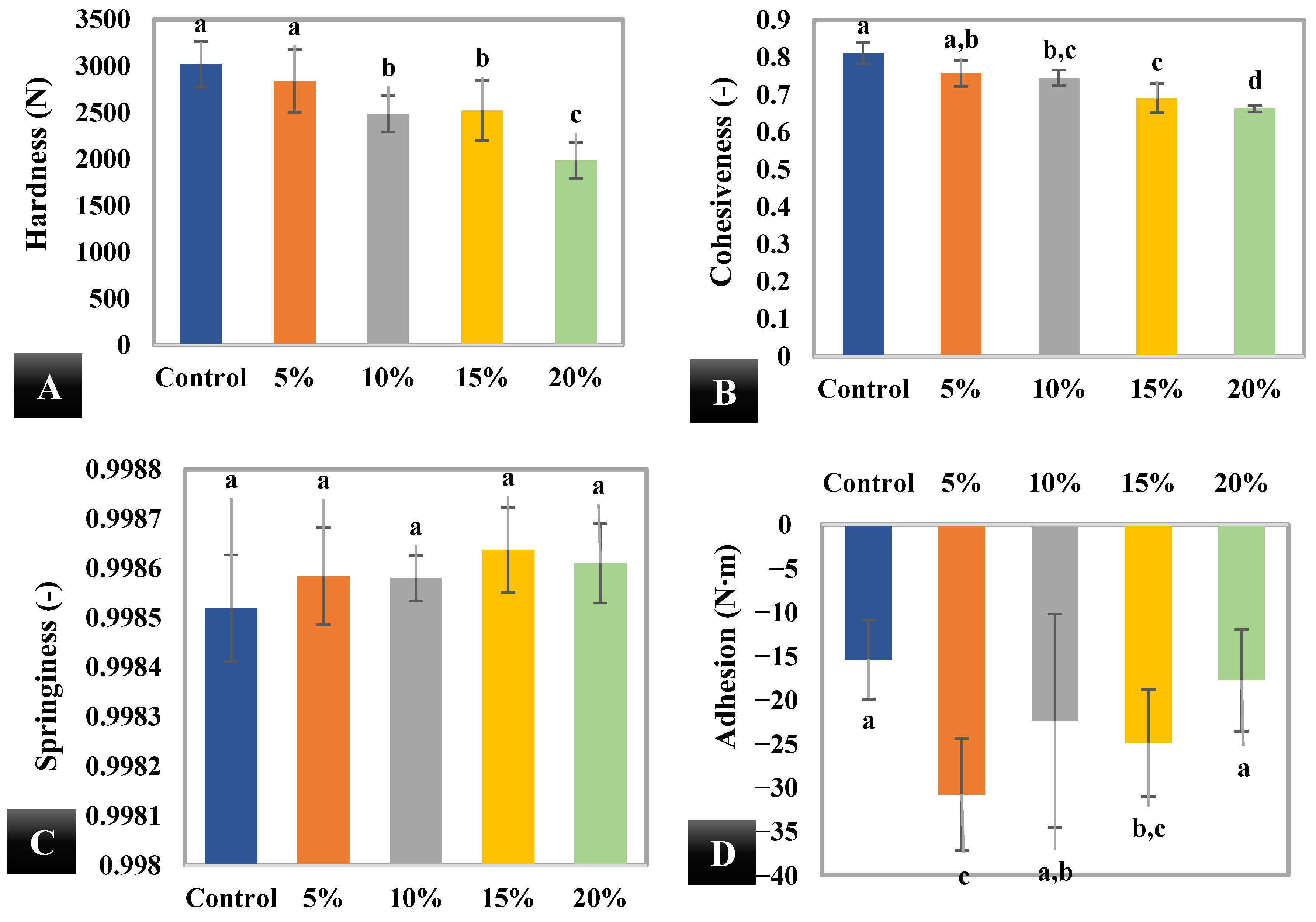
2.7. Textural Properties
2.8. Sensory Analysis
3. Discussion
4. Materials and Methods
4.1. Materials
4.2. Pasta Making
4.3. Cooking Quality
4.3.1. Cooking Quality
4.3.2. Cooking Loss
4.3.3. Swelling Index
4.3.4. Water Uptake
4.4. Characterization of Cooked Pasta
4.4.1. Color
4.4.2. Total Phenolic Content
4.4.3. Antioxidant Capacity
4.4.4. Betalain Content
4.4.5. Textural Properties
4.4.6. Sensory Analysis
4.4.7. Statistical Analysis
5. Conclusions
Author Contributions
Funding
Data Availability Statement
Conflicts of Interest
Abbreviations
| BS | Beetroot stalk |
| FAO | Food and Agriculture Organization |
| w.b. | Wet basis |
| SI | Swelling index |
| WA | Water adsorption |
| L* | Lightness |
| a* | green (−) to red (+) coordinates |
| b* | blue (−) to yellow (+) coordinates |
| TPC | Total phenol content |
| GAE | Gallic acid equivalents |
| d.b. | Dry basis |
| TBC | Total betalain content |
| CT | Cooking time |
| Wcp | Weight of the cooked pasta |
| Wdp | Dry weight of the cooked pasta |
| Wup | Weight of the dry pasta before cooking |
| Wcp | Weight of the dry pasta after cooking |
| v/v | volume per volume |
| DPPH | 2,2-diphenyl-1-picrylhydrazyl |
| BCC | Betacyanin content |
| BXC | Betaxanthin content |
| A | Absorbance |
| MW | Molecular weight (g/mol) |
| DF | Dilution factor |
| ε | Molar extinction coefficient in water (L·mol−1·cm−1) |
| l | path length of the cuvette (1 cm) |
| TPA | Texture profile analysis |
References
- Conte, P.; Piga, A.; Del Caro, A.; Urgeghe, P.P.; Fadda, C. Italian dried pasta: Conventional and innovative ingredients and processing. In Cereal-Based Foodstuffs: The Backbone of Mediterranean Cuisine, 1st ed.; Boukid, F., Ed.; Springer: Cham, Switzerland, 2021; pp. 89–116. [Google Scholar] [CrossRef]
- Dello Russo, M.; Spagnuolo, C.; Moccia, S.; Angelino, D.; Pellegrini, N.; Martini, D.; Italian Society of Human Nutrition (SINU) Young Working Group. Nutritional quality of pasta sold on the Italian market: The food labelling of Italian products (FLIP) study. Nutrients 2021, 13, 171. [Google Scholar] [CrossRef]
- Sajdakowska, M.; Gębski, J.; Jeżewska-Zychowicz, M.; Jeznach, M.; Kosicka-Gębska, M. Consumer choices in the pasta market: The importance of fiber in consumer decisions. Nutrients 2021, 13, 2931. [Google Scholar] [CrossRef]
- Fantechi, T.; Contini, C.; Casini, L. Pasta goes green: Consumer preferences for spirulina-enriched pasta in Italy. Algal Res. 2023, 75, 103275. [Google Scholar] [CrossRef]
- Biernacka, B.; Dziki, D.; Różyło, R.; Gawlik-Dziki, U. Banana powder as an additive to common wheat pasta. Foods 2020, 9, 53. [Google Scholar] [CrossRef]
- Sinha, R.; Sharma, B. Development and Quality Assessment of Value Added Pasta Fortified with Cauliflower Leaf, Carrot and Mushroom Powder. Asian J. Dairy Food Res. 2023. [Google Scholar] [CrossRef]
- Michalak-Majewska, M.; Złotek, U.; Szymanowska, U.; Szwajgier, D.; Stanikowski, P.; Matysek, M.; Sobota, A. Antioxidant and potentially anti-inflammatory properties in pasta fortified with onion skin. Appl. Sci. 2020, 10, 8164. [Google Scholar] [CrossRef]
- Filipčev, B.; Kojić, J.; Miljanić, J.; Šimurina, O.; Stupar, A.; Škrobot, D.; Travičić, V.; Pojić, M. Wild garlic (Allium ursinum) preparations in the design of novel functional pasta. Foods 2023, 12, 4376. [Google Scholar] [CrossRef]
- Bianchi, F.; Tolve, R.; Rainero, G.; Bordiga, M.; Brennan, C.S.; Simonato, B. Technological, nutritional and sensory properties of pasta fortified with agro-industrial by-products: A review. Int. J. Food Sci. Technol. 2021, 56, 4356–4366. [Google Scholar] [CrossRef]
- Palermo, M.; Pellegrini, N.; Fogliano, V. The effect of cooking on the phytochemical content of vegetables. J. Sci. Food Agric. 2014, 94, 1057–1070. [Google Scholar] [CrossRef]
- Aydin, E.; Turgut, S.S.; Aydin, S.; Cevik, S.; Ozcelik, A.; Aksu, M.; Ozcelik, M.M.; Ozkan, G. A new approach for the development and optimization of gluten-free noodles using flours from byproducts of cold-pressed okra and pumpkin seeds. Foods 2023, 12, 2018. [Google Scholar] [CrossRef]
- Aranibar, C.; Pigni, N.B.; Martinez, M.; Aguirre, A.; Ribotta, P.; Wunderlin, D.; Borneo, R. Utilization of a partially-deoiled chia flour to improve the nutritional and antioxidant properties of wheat pasta. LWT-Food Sci. Technol. 2018, 89, 381–387. [Google Scholar] [CrossRef]
- Balli, D.; Cecchi, L.; Innocenti, M.; Bellumori, M.; Mulinacci, N. Food by-products valorisation: Grape pomace and olive pomace (pâté) as sources of phenolic compounds and fiber for enrichment of tagliatelle pasta. Food Chem. 2021, 355, 129642. [Google Scholar] [CrossRef] [PubMed]
- Badwaik, L.S.; Prasad, K.; Seth, D. Optimization of ingredient levels for the development of peanut based fiber rich pasta. J. Food Sci. Technol. 2014, 51, 2713–2719. [Google Scholar] [CrossRef] [PubMed]
- Teterycz, D.; Sobota, A.; Przygodzka, D.; Łysakowska, P. Hemp seed (Cannabis sativa L.) enriched pasta: Physicochemical properties and quality evaluation. PLoS ONE 2021, 16, e0248790. [Google Scholar] [CrossRef]
- Sykut-Domańska, E.; Zarzycki, P.; Sobota, A.; Teterycz, D.; Wirkijowska, A.; Blicharz-Kania, A.; Mazurkiewicz, J. The potential use of by-products from coconut industry for production of pasta. J. Food Process Preserv. 2020, 44, e14490. [Google Scholar] [CrossRef]
- Teterycz, D.; Sobota, A. Use of High-Protein and High-Dietary-Fibre Vegetable Processing Waste from Bell Pepper and Tomato for Pasta Fortification. Foods 2023, 12, 2567. [Google Scholar] [CrossRef]
- Stoica, F.; Râpeanu, G.; Rațu, R.N.; Stănciuc, N.; Croitoru, C.; Țopa, D.; Jităreanu, G. Red Beetroot and Its By-Products: A Comprehensive Review of Phytochemicals, Extraction Methods, Health Benefits, and Applications. Agriculture 2025, 15, 270. [Google Scholar] [CrossRef]
- Seo, E.O.; Ko, S.H. Quality characteristics of muffins containing beet powder. Cul Sci. Hos Res. 2014, 20, 27–37. [Google Scholar]
- Lee, E.J.; Ju, H.W. Quality characteristics of bread added with beet powder. J. East. Asian Soc. Diet. Life 2016, 26, 55–62. [Google Scholar] [CrossRef]
- Amnah, M. Nutritional, sensory and biological study of biscuits fortified with red beet roots. Life Sci. J. 2013, 10, 1579–1584. [Google Scholar]
- Chauhan, S.; Rajput, H. Production of gluten free and high fiber cookies using beet root waste powder and wheat flour husk. Pharma Innov. J. 2018, 7, 556. [Google Scholar]
- Clímaco, G.N.; Sousa, M.L.; Seccadio, L.L.; de Freitas, A.C. Physical-chemical and sensory evaluation of cookie made with potato (Solanum tuberosum L.) and beet (Beta vulgaris L.) Mixed flour. Res. Soc. Dev. 2020, 9, e943975204. [Google Scholar] [CrossRef]
- Sahni, P.; Shere, D.M. Physico-chemical and sensory characteristics of beet root pomace powder incorporated fibre rich cookies. Int. J. Food Ferment. Technol. 2016, 6, 309. [Google Scholar] [CrossRef]
- Elleuch, M.; Bedigian, D.; Roiseux, O.; Besbes, S.; Blecker, C.; Attia, H. Dietary fibre and fibre-rich by-products of food processing: Characterisation, technological functionality and commercial applications: A review. Food Chem. 2011, 124, 411–421. [Google Scholar] [CrossRef]
- FDA. Code of Federal Regulations Title 21, Part 137: Cereal Flours and Related Products. 2020. Available online: https://www.ecfr.gov/current/title-21/part-137 (accessed on 28 October 2025).
- Flores-Silva, P.C.; Berrios, J.D.J.; Pan, J.; Osorio-Díaz, P.; Bello-Pérez, L.A. Gluten-free spaghetti made with chickpea, unripe plantain and maize flours: Functional and chemical properties and starch digestibility. Int. J. Food Sci. Technol. 2014, 49, 1985–1991. [Google Scholar] [CrossRef]
- Teye, E.; Agbemafle, R.; Lamptey, F.P. Development and examination of sweet potato flour fortified with indigenous underutilized seasonal vegetables. Beverages 2018, 4, 5. [Google Scholar] [CrossRef]
- Zhao, T.; Li, X.; Zhu, R.; Ma, Z.; Liu, L.; Wang, X.; Hu, X. Effect of natural fermentation on the structure and physicochemical properties of wheat starch. Carbohydr. Polym. 2019, 218, 163–169. [Google Scholar] [CrossRef]
- Johnson, R.; Moorthy, S.N.; Padmaja, G. Production of high fructose syrup from cassava and sweet potato flours and their blends with cereal flours. Food Sci. Technol. Int. 2010, 16, 251–258. [Google Scholar] [CrossRef]
- Valerga, L.; Darré, M.; Zaro, M.J.; Vicente, A.R.; Lemoine, M.L.; Concellón, A. The plant age influences eggplant fruit growth, metabolic activity, texture and shelf-life. Sci. Hortic. 2020, 272, 109590. [Google Scholar] [CrossRef]
- Rios, M.J.B.L.; Damasceno-Silva, K.J.; Moreira-Araújo, R.S.D.R.; Figueiredo, E.A.T.D.; Rocha, M.D.M.; Hashimoto, J.M. Chemical, granulometric and technological characteristics of whole flours from commercial cultivars of cowpea. Rev. Caatinga 2018, 31, 217–224. [Google Scholar] [CrossRef]
- Otondi, E.A.; Nduko, J.M.; Omwamba, M. Physico-chemical properties of extruded cassava-chia seed instant flour. J. Agric. Food Res. 2020, 2, 100058. [Google Scholar] [CrossRef]
- Sakurai, Y.C.N.; Rodrigues, A.M.D.C.; Pires, M.B.; Silva, L.H.M.D. Quality of pasta made of cassava, peach palm and golden linseed flours. Food Sci. Technol. 2019, 40, 228–234. [Google Scholar] [CrossRef]
- Yağcı, S.; Göğüş, F. Response surface methodology for evaluation of physical and functional properties of extruded snack foods developed from food-by-products. J. Food Eng. 2008, 86, 122–132. [Google Scholar] [CrossRef]
- Padalino, L.; Mastromatteo, M.; DeVita, P.; Maria Ficco, D.B.; Del Nobile, M.A. Effects of hydrocolloids on chemical properties and cooking quality of gluten-free spaghetti. Int. J. Food Sci. Technol. 2013, 48, 972–983. [Google Scholar] [CrossRef]
- de Moraes Crizel, T.; Jablonski, A.; de Oliveira Rios, A.; Rech, R.; Flôres, S.H. Dietary fiber from orange byproducts as a potential fat replacer. LWT-Food Sci. Technol. 2013, 53, 9–14. [Google Scholar] [CrossRef]
- Kamble, D.B.; Singh, R.; Kaur, B.P.; Rani, S. Storage stability and shelf life prediction of multigrain pasta under different packaging material and storage conditions. J. Food Process Preserv. 2020, 44, e14585. [Google Scholar] [CrossRef]
- Tikhiy, A.V.; Barakova, N.V.; Samodelkin, E.A. The effect of adding carrot or beetroot powders on the quality indicators of round cracknel products. Agron. Res. 2022, 20, 437–447. [Google Scholar] [CrossRef]
- Dziki, D. Current trends in enrichment of wheat pasta: Quality, nutritional value and antioxidant properties. Processes 2021, 9, 1280. [Google Scholar] [CrossRef]
- Makhlouf, S.; Jones, S.; Ye, S.H.; Sancho-Madriz, M.; Burns-Whitmore, B.; Li, Y.O. Effect of selected dietary fibre sources and addition levels on physical and cooking quality attributes of fibre-enhanced pasta. Food Qual. Saf. 2019, 3, 117–127. [Google Scholar] [CrossRef]
- Panditrao, M.P.; Yadav, K.C. Development and quality evaluation of pasta incorporated with beetroot powder. Pharma Innov. J. 2022, 11, 1676–1681. [Google Scholar]
- Namir, M.; Iskander, A.; Alyamani, A.; Sayed-Ahmed, E.T.A.; Saad, A.M.; Elsahy, K.; El-Tarabily, K.A.; Conte-Junior, C.A. Upgrading common wheat pasta by fiber-rich fraction of potato peel byproduct at different particle sizes: Effects on physicochemical, thermal, and sensory properties. Molecules 2022, 27, 2868. [Google Scholar] [CrossRef] [PubMed]
- Wang, J.; Brennan, M.A.; Brennan, C.S.; Serventi, L. Effect of vegetable juice, puree, and pomace on chemical and technological quality of fresh pasta. Foods 2021, 10, 1931. [Google Scholar] [CrossRef] [PubMed]
- Gómez, M.; Braojos, M.; Fernández, R.; Parle, F. Utilization of By-Products from the Fruit and Vegetable Processing Industry in Pasta Production. Appl. Sci. 2025, 15, 2189. [Google Scholar] [CrossRef]
- Sanna, D.; Fadda, A. Waste from food and agro-food industries as pigment sources: Recovery techniques, stability and food applications. Nutraceuticals 2022, 2, 365–383. [Google Scholar] [CrossRef]
- Abiodun, O.A.; Ojo, A.; Abdulganiu, O.S.; Olosunde, O.O. Effect of beetroots substitution and storage on the chemical and sensory properties of wheat noodles. Agrosearch 2020, 20, 1–12. [Google Scholar] [CrossRef]
- Chhikara, N.; Kushwaha, K.; Jaglan, S.; Sharma, P.; Panghal, A. Nutritional, physicochemical, and functional quality of beetroot (Beta vulgaris L.) incorporated Asian noodles. Cereal Chem. 2019, 96, 154–161. [Google Scholar] [CrossRef]
- Loskutov, I.G.; Khlestkina, E.K. Wheat, barley, and oat breeding for health benefit components in grain. Plants 2021, 10, 86. [Google Scholar] [CrossRef]
- Vignola, M.B.; Bustos, M.C.; Vanzetti, L.; Andreatta, A.E.; Pérez, G.T. Characterization of Semolina and Pasta Obtained from Hard Hexaploid Wheat (Triticum aestivum L.) Developed Through Selection Assisted by Molecular Markers. Foods 2025, 14, 1990. [Google Scholar] [CrossRef]
- Joshi, A.; Sethi, S.; Tomar, B.S.; Kumar, R.; Varghese, E. Betalains Stability and antioxidant activity of Beetroots: As a function of Maturity Stage. Sugar Tech. 2024, 26, 77–86. [Google Scholar] [CrossRef]
- Prieto-Santiago, V.; Cavia, M.M.; Alonso-Torre, S.R.; Carrillo, C. Relationship between color and betalain content in different thermally treated beetroot products. J. Food Sci. Technol. 2020, 57, 3305–3313. [Google Scholar] [CrossRef]
- Yan, X.; McClements, D.J.; Luo, S.; Liu, C.; Ye, J. Recent advances in the impact of gelatinization degree on starch: Structure, properties and applications. Carbohydr. Polym. 2024, 340, 122273. [Google Scholar] [CrossRef] [PubMed]
- Kumorkiewicz, A.; Sutor, K.; Nemzer, B.; Pietrzkowski, Z.; Wybraniec, S. Thermal decarboxylation of betacyanins in red beet betalain-rich extract. Pol. J. Food Nutr. Sci. 2020, 70, 7–14. [Google Scholar] [CrossRef]
- Dos Santos, C.D.; Ismail, M.; Cassini, A.S.; Marczak, L.D.F.; Tessaro, I.C.; Farid, M. Effect of thermal and high pressure processing on stability of betalain extracted from red beet stalks. J. Food Sci. Technol. 2018, 55, 568–577. [Google Scholar] [CrossRef] [PubMed]
- Coy-Barrera, E. Analysis of betalains (betacyanins and betaxanthins). In Recent Advances in Natural Products Analysis, 1st ed.; Sanches Silva, A., Nabavi, S.F., Saeedi, M., Nabavi, S.M., Eds.; Elsevier: Amsterdam, The Netherlands, 2020; pp. 593–619. [Google Scholar] [CrossRef]
- Sadowska-Bartosz, I.; Bartosz, G. Biological properties and applications of betalains. Molecules 2021, 26, 2520. [Google Scholar] [CrossRef]
- Estivi, L.; Pasini, G.; Betrouche, A.; Traviĉić, V.; Becciu, E.; Brandolini, A.; Hidalgo, A. Antioxidant Bioaccessibility of Cooked Gluten-Free Pasta Enriched with Tomato Pomace or Linseed Meal. Foods 2024, 13, 3700. [Google Scholar] [CrossRef]
- Gaita, C.; Alexa, E.; Moigradean, D.; Conforti, F.; Poiana, M.A. Designing of high value-added pasta formulas by incorporation of grape pomace skins. Rom. Biotechnol. Lett. 2020, 25, 1607–1614. [Google Scholar] [CrossRef]
- Kamble, D.B.; Singh, R.; Rani, S.; Pratap, D. Physicochemical properties, in vitro digestibility and structural attributes of okara-enriched functional pasta. J. Food Process Preserv. 2019, 43, e14232. [Google Scholar] [CrossRef]
- Marinelli, V.; Padalino, L.; Nardiello, D.; Del Nobile, M.A.; Conte, A. New approach to enrich pasta with polyphenols from grape marc. J. Chem. 2015, 2015, 734578. [Google Scholar] [CrossRef]
- Pan, W.C.; Liu, Y.M.; Shiau, S.Y. Effect of Okara and Vital Gluten on Physico-Chemical Properties of Noodle. Czech J. Food Sci. 2018, 36, 301–306. [Google Scholar] [CrossRef]
- Tolve, R.; Simonato, B.; Rainero, G.; Bianchi, F.; Rizzi, C.; Cervini, M.; Giuberti, G. Wheat bread fortification by grape pomace powder: Nutritional, technological, antioxidant, and sensory properties. Foods 2021, 10, 75. [Google Scholar] [CrossRef]
- Betrouche, A.; Estivi, L.; Colombo, D.; Pasini, G.; Benatallah, L.; Brandolini, A.; Hidalgo, A. Antioxidant properties of gluten-free pasta enriched with vegetable by-products. Molecules 2022, 27, 8993. [Google Scholar] [CrossRef]
- Tashim, N.A.Z.; Lim, S.A.; Basri, A.M. Fortification of pasta with upcycled bread and plant-based powder blends. Discov. Food 2024, 4, 184. [Google Scholar] [CrossRef]
- Herbach, K.M.; Stintzing, F.C.; Carle, R. Betalain stability and degradation—Structural and chromatic aspects. J. Food Sci. 2006, 71, 41–50. [Google Scholar] [CrossRef]
- Melini, V.; Melini, F.; Acquistucci, R. Phenolic compounds and bioaccessibility thereof in functional pasta. Antioxidants 2020, 9, 343. [Google Scholar] [CrossRef]
- Feng, Y.; Feng, X.; Liu, S.; Zhang, H.; Wang, J. Interaction mechanism between cereal phenolic acids and gluten protein: Protein structural changes and binding mode. J. Sci. Food Agric. 2022, 102, 7387–7396. [Google Scholar] [CrossRef]
- Iuga, M.; Mironeasa, S. Use of grape peels by-product for wheat pasta manufacturing. Plants 2021, 10, 926. [Google Scholar] [CrossRef] [PubMed]
- Nawrocka, A.; Szymańska-Chargot, M.; Miś, A.; Wilczewska, A.Z.; Markiewicz, K.H. Aggregation of gluten proteins in model dough after fibre polysaccharide addition. Food Chem. 2017, 231, 51–60. [Google Scholar] [CrossRef]
- Xu, J.; Bock, J.E.; Stone, D. Quality and textural analysis of noodles enriched with apple pomace. J. Food Process Preserv. 2020, 44, e14579. [Google Scholar] [CrossRef]
- Kim, B.R.; Kim, S.; Bae, G.S.; Chang, M.B.; Moon, B. Quality characteristics of common wheat fresh noodle with insoluble dietary fiber from kimchi by-product. LWT-Food Sci. Technol. 2017, 85, 240–245. [Google Scholar] [CrossRef]
- Tolve, R.; Pasini, G.; Vignale, F.; Favati, F.; Simonato, B. Effect of grape pomace addition on the technological, sensory, and nutritional properties of durum wheat pasta. Foods 2020, 9, 354. [Google Scholar] [CrossRef]
- IS: 7219:1973; Method for Determination of Protein in Foods and Feeds. Bureau of Indian Standards (BIS): New Delhi, India, 1973.
- IS: 11062; Method for Estimation of Total Dietary Fibre in Foodstuffs. Bureau of Indian Standards (BIS): New Delhi, India, 2019.
- American Association of Cereal Chemists. Approved methods of the AACC. In Method 66-50: Pasta and Noodle Cooking Quality—Firmness, 10th ed.; American Association of Cereal Chemists: St. Paul, MN, USA, 2000. [Google Scholar]
- Piwińska, M.; Wyrwisz, J.; Kurek, M.; Wierzbicka, A. Hydration and physical properties of vacuum-dried durum wheat semolina pasta with high-fiber oat powder. LWT-Food Sci. Technol. 2015, 63, 647–653. [Google Scholar] [CrossRef]
- Šeregelj, V.; Škrobot, D.; Kojić, J.; Pezo, L.; Šovljanski, O.; Tumbas Šaponjac, V.; Vulić, J.; Hidalgo, A.; Brandolini, A.; Čanadanović-Brunet, J.; et al. Quality and sensory profile of durum wheat pasta enriched with carrot waste encapsulates. Foods 2022, 11, 1130. [Google Scholar] [CrossRef]
- Piwińska, M.; Wyrwisz, J.; Wierzbicka, A. Effect of micronization of high-fiber oat powder and vacuum-drying on pasta quality. CYTA J. Food 2016, 14, 433–439. [Google Scholar] [CrossRef]
- Solomakou, N.; Loukri, A.; Tsafrakidou, P.; Michaelidou, A.M.; Mourtzinos, I.; Goula, A.M. Recovery of phenolic compounds from spent coffee grounds through optimized extraction processes. Sustain. Chem. Pharm. 2022, 25, 100592. [Google Scholar] [CrossRef]
- Kaderides, K.; Papaoikonomou, L.; Serafim, M.; Goula, A.M. Microwave-assisted extraction of phenolics from pomegranate peels: Optimization, kinetics, and comparison with ultrasounds extraction. Chem. Eng. Process.-Process Intensif. 2019, 137, 1–11. [Google Scholar] [CrossRef]
- de Jesus Junqueira, J.R.; Corrêa, J.L.G.; de Mendonça, K.S.; de Mello Júnior, R.E.; de Souza, A.U. Pulsed vacuum osmotic dehydration of beetroot, carrot and eggplant slices: Effect of vacuum pressure on the quality parameters. Food Bioprocess. Technol. 2018, 11, 1863–1875. [Google Scholar] [CrossRef]
- Rahman, M.S.; Al-Attabi, Z.H.; Al-Habsi, N.; Al-Khusaibi, M. Measurement of instrumental texture profile analysis (TPA) of foods. In Techniques to Measure Food Safety and Quality, 1st ed.; Khan, M.S., Shafiur Rahman, M., Eds.; Springer: Cham, Switzerland, 2021; pp. 427–465. [Google Scholar] [CrossRef]







| Substitution Level (%) | Moisture Content (%) | Cooking Loss (%) | Swelling Index (%) | Water Adsorption (%) | |
|---|---|---|---|---|---|
| Fresh | Cooked | ||||
| Control-0 | 35.44 ± 1.72 a | 63.08 ± 2.28 a | 5.39 ± 0.97 a | 171.53 ± 16.64 a | 169.90 ± 4.97 a |
| 5 | 36.41 ± 0.55 ab | 65.98 ± 1.84 a | 6.65 ± 0.26 ab | 194.60 ± 16.47 ab | 168.00 ± 6.61 a |
| 10 | 37.55 ± 1.08 bc | 66.17 ± 1.88 ab | 6.51 ± 0.88 ab | 196.24 ± 17.04 ab | 170.07 ± 12.55 a |
| 15 | 38.43 ± 0.13 cd | 68.74 ± 1.29 bc | 8.02 ± 0.67 b | 220.26 ± 13.43 bc | 170.00 ± 1.97 a |
| 20 | 39.50 ± 0.75 cd | 70.42 ± 1.22 c | 10.50 ± 0.48 c | 238.50 ± 14.00 c | 184.00 ± 5.40 b |
| Substitution Level (%) | Total Color Variation Index (ΔΕ) | ||
|---|---|---|---|
| Fresh | Dried | Cooked | |
| Control-0 | - | - | - |
| 5 | 54.48 ± 0.86 a | 51.27 ± 0.56 a | 39.18 ± 0.87 a |
| 10 | 60.50 ± 0.11 b | 55.70 ± 1.62 a | 47.51 ± 0.32 b |
| 15 | 62.79 ± 0.53 c | 55.46 ± 2.41 a | 51.24 ± 0.76 c |
| 20 | 64.40 ± 0.84 c | 54.70 ± 1.78 a | 55.07 ± 0.67 d |
Disclaimer/Publisher’s Note: The statements, opinions and data contained in all publications are solely those of the individual author(s) and contributor(s) and not of MDPI and/or the editor(s). MDPI and/or the editor(s) disclaim responsibility for any injury to people or property resulting from any ideas, methods, instructions or products referred to in the content. |
© 2025 by the authors. Licensee MDPI, Basel, Switzerland. This article is an open access article distributed under the terms and conditions of the Creative Commons Attribution (CC BY) license (https://creativecommons.org/licenses/by/4.0/).
Share and Cite
Solomakou, N.; Fotiou, D.; Goula, A.M. The Use of Agricultural Waste in Developing Nutrient-Rich Pasta: The Use of Beet Stalk Powder. Recycling 2025, 10, 217. https://doi.org/10.3390/recycling10060217
Solomakou N, Fotiou D, Goula AM. The Use of Agricultural Waste in Developing Nutrient-Rich Pasta: The Use of Beet Stalk Powder. Recycling. 2025; 10(6):217. https://doi.org/10.3390/recycling10060217
Chicago/Turabian StyleSolomakou, Nikoletta, Dimitrios Fotiou, and Athanasia M. Goula. 2025. "The Use of Agricultural Waste in Developing Nutrient-Rich Pasta: The Use of Beet Stalk Powder" Recycling 10, no. 6: 217. https://doi.org/10.3390/recycling10060217
APA StyleSolomakou, N., Fotiou, D., & Goula, A. M. (2025). The Use of Agricultural Waste in Developing Nutrient-Rich Pasta: The Use of Beet Stalk Powder. Recycling, 10(6), 217. https://doi.org/10.3390/recycling10060217

