Sign in to use this feature.

Years

Between: -

Subjects

remove_circle_outline
remove_circle_outline
remove_circle_outline
remove_circle_outline
remove_circle_outline
remove_circle_outline
remove_circle_outline

Journals

Article Types

Countries / Regions

Search Results (42)

Search Parameters:
Keywords = wet and dry grinding

Order results
Result details
Results per page
Select all
Export citation of selected articles as:
33 pages, 30246 KB  
Review
Critical Appraisal of Coal Gangue and Activated Coal Gangue for Sustainable Engineering Applications
by Narlagiri Snehasree, Mohammad Nuruddin and Arif Ali Baig Moghal
Appl. Sci. 2025, 15(17), 9649; https://doi.org/10.3390/app15179649 - 2 Sep 2025
Viewed by 964
Abstract
Coal gangue, a primary solid waste by-product of coal mining and processing, constitutes approximately 10–15% of total coal output. Its accumulation poses substantial environmental challenges, including land occupation, spontaneous combustion, acid mine drainage, and heavy metal leaching. Despite its high silica and alumina [...] Read more.
Coal gangue, a primary solid waste by-product of coal mining and processing, constitutes approximately 10–15% of total coal output. Its accumulation poses substantial environmental challenges, including land occupation, spontaneous combustion, acid mine drainage, and heavy metal leaching. Despite its high silica and alumina content (typically exceeding 70% combined), the highly stable and crystalline structure of raw coal gangue limits its pozzolanic activity and adsorption efficiency. To address this limitation, this review emphasizes recent advances in activation strategies such as thermal (500–900 °C), mechanical (dry/wet grinding to less than 200 µm), chemical (acid/alkali treatments), microwave, and hybrid methods. The activated coal gangue resulted in an enhanced surface area (up to 55 m2/g), amorphization of kaolinite to metakaolinite, and the generation of mesoporosity under optimal conditions. This review critically examined the geotechnical applications, such as soil stabilization and mine backfill, highlighting the replacement of 50–75% of cementitious binder in backfilling and meeting the subgrade/base material strength criteria (UCS > 2 MPa). In geoenvironmental applications (adsorption of phosphate, dyes, heavy metals, and CO2 mineralization), more than 90% of pollutant removal is attained. In construction applications, supplementary cementitious materials and sintered bricks are examined. Several critical knowledge gaps, including limited understanding of long-term durability, inconsistent activation optimization across different coal gangue sources, and insufficient assessment of environmental impacts during large-scale implementation, are clearly addressed. This review provides a roadmap for advancing sustainable coal gangue utilization and highlights emerging opportunities for cost-effective applications in the mining and construction sectors. Full article
(This article belongs to the Special Issue Novel Construction Material and Its Applications)
Show Figures

Figure 1

17 pages, 3077 KB  
Article
Development of Mannitol-Based Microparticles for Dry Powder Inhalers: Enhancing Pulmonary Delivery of NSAIDs
by Petra Party, Zsófia Ilona Piszman and Rita Ambrus
Pharmaceuticals 2025, 18(6), 923; https://doi.org/10.3390/ph18060923 - 19 Jun 2025
Cited by 1 | Viewed by 1037
Abstract
Background/Objectives: Chronic lung diseases are among the leading causes of death worldwide. In the treatment of these diseases, non-steroidal anti-inflammatory drugs can be effective. We have previously developed an excipient formulation alongside a modern manufacturing protocol, which we aim to further investigate. We [...] Read more.
Background/Objectives: Chronic lung diseases are among the leading causes of death worldwide. In the treatment of these diseases, non-steroidal anti-inflammatory drugs can be effective. We have previously developed an excipient formulation alongside a modern manufacturing protocol, which we aim to further investigate. We have chosen two new model drugs, meloxicam (MX) and its water-soluble salt, meloxicam-potassium (MXP). The particles in dry powder inhaler (DPI) formulation were expected to have a spherical shape, fast drug release, and good aerodynamic properties. Methods: The excipients were poloxamer-188, mannitol, and leucine. The samples were prepared by spray drying, preceded by solution preparation and wet grinding. Particle size was determined by laser diffraction, shape by scanning electron microscopy (SEM), crystallinity by powder X-ray diffraction (PXRD), interactions by Fourier-transform infrared spectroscopy (FT-IR), in vitro drug dissolution by paddle apparatus, and in vitro aerodynamic properties by Andersen cascade impactor and Spraytec® device. Results: We achieved the proper particle size (<5 μm) and spherical shape according to laser diffraction and SEM. The XRPD showed partial amorphization. FT-IR revealed no interaction between the materials. During the in vitro dissolution tests, more than 90% of MX and MXP were released within the first 5 min. The best products exhibited an aerodynamic diameter of around 4 µm, a fine particle fraction around 50%, and an emitted fraction over 95%. The analysis by Spraytec® supported the suitability for lung targeting. Conclusions: The developed preparation process and excipient system can be applied in the development of different drugs containing DPIs. Full article
(This article belongs to the Special Issue Recent Advances in Inhalation Therapy)
Show Figures

Graphical abstract

12 pages, 5692 KB  
Article
Reutilization of Real Waste Calcium Carbonate (CaCO3) from the Palm Oil Industry (POI) for Palm Kernel and Shell Separation Through Clay Bath Systems
by Syarifuddin, Husni Husin, Mahidin, Muhammad Zaki, S. Syafiie, Fahrizal Nasution, Ahmadi, Fathullah and Yuliana Sy
Recycling 2024, 9(6), 103; https://doi.org/10.3390/recycling9060103 - 1 Nov 2024
Cited by 2 | Viewed by 2597
Abstract
The palm oil industry (POI) generates significant amounts of waste, including calcium carbonate (CaCO3) from the clay bath system used for the separation of palm kernels from shells. This CaCO3 waste is often discarded, leading to environmental issues. However, the [...] Read more.
The palm oil industry (POI) generates significant amounts of waste, including calcium carbonate (CaCO3) from the clay bath system used for the separation of palm kernels from shells. This CaCO3 waste is often discarded, leading to environmental issues. However, the CaCO3 can potentially be reused in the clay bath separation process to improve efficiency and reduce waste. To obtain PKO, the kernel is separated from the palm shell using a clay bath unit, where natural CaCO3 acts as a decanting agent and adsorbent. This wet separation method, involving a mixture of water and CaCO3 with a density of 1.12 g/mL, generates substantial amounts of saturated CaCO3 waste that is often discarded into the environment. Therefore, this research aimed to regenerate oil-bound CaCO3 waste for reuse as a decanter and adsorbent. Three treatments were tested, with CaCO3 waste-to-water ratios of 1:1, 1:3, and 1:6, under varying pH levels (8, 10, 11, 12) and temperatures (28 °C, 80 °C, 100 °C). The regeneration process was conducted in an open reactor at 450 rpm with a volume of 0.0054 m3, followed by drying and grinding the waste for analysis. The results showed approximately 75.75% oil removal and CaCO3 regeneration rates between 94.50% and 99.26%, with an increase in density from 1.687 g/mL to 2.467 g/mL. The efficiency of reusing regenerated CaCO3 waste is 96.87%. When mixed with 25% natural CaCO3, the efficiency increases to 99.24%. Additionally, a mixture of 50% regenerated CaCO3 waste and 50% natural CaCO3 achieves an average efficiency of 99.46% over five consecutive feed additions. This showed that the reuse of CaCO3 waste regeneration results for the separation of palm shells and kernels has a high potential for application. These findings suggest that regenerated CaCO3 waste can be effectively reused, offering a sustainable solution for palm oil mills. Full article
Show Figures

Figure 1

18 pages, 2931 KB  
Article
Application ICP-OES to Multielement Analysis on Plastic Waste and Blends with Vacuum Gas Oil: Developing a Sample Preparation Protocol
by Laura Poirier, Hye-Kyung Timken and Francisco Lopez-Linares
Processes 2024, 12(11), 2339; https://doi.org/10.3390/pr12112339 - 24 Oct 2024
Cited by 1 | Viewed by 2052
Abstract
This paper introduces a new methodology for a routine metal analysis of plastic waste (PW) and PW blended with petroleum feedstock such as vacuum gas oil and VGO (PW/VGO). For such purposes, recycled polyethylene and polypropylene plastic were selected to mimic the potential [...] Read more.
This paper introduces a new methodology for a routine metal analysis of plastic waste (PW) and PW blended with petroleum feedstock such as vacuum gas oil and VGO (PW/VGO). For such purposes, recycled polyethylene and polypropylene plastic were selected to mimic the potential feeds to be integrated at the Fluid Catalytic Cracking unit (FCC) to produce valuable products. Elements such as P, Ca, Al, Mg, Na, Zn, B, Fe, Ti, and Si were included in the method development. Different sample preparation methods were evaluated, such as microwave-assisted acid digestion (MWAD) and dry/wet ashing, followed by a fusion of the ash with lithium borate flux. Some PW homogenization pretreatments, such as cryogenic grinding and hot press molding, were also covered. The finding of this work suggests that MWAD with HNO3 and H2O2 is adequate for both types of samples and is the quickest sample preparation; however, the sample needed to be homogenized, and recoveries for Si and Ti may be biased for PW due to the limited solubilities of these elements in the nitric acid media. Carbon removal is required before fusion sample preparation and analysis due to the amount of carbon in PW samples. The sample needed to be homogenized for wet ash fusion but not for the pre-ash (dry) method. A benefit to the damp ash pretreatment is that the ash for the sample was created in the same crucible used for fusion digestion, avoiding material loss during sample management. Fusion from wet ash or carbon removal allowed for better acid solubility for Si and Ti in PW. The results of the PW samples evaluated matched well with those of both sample preparation methodologies. For most elements, precision was <10% regardless of the sample preparation; however, Fe and P had some variation using wet ash fusion, possibly due to contamination in an open digestion system or variation due to being close to the method limit of quantification (LOQ). The methodology reported here is robust enough to be implemented as routine analysis in any laboratory facility. Full article
(This article belongs to the Section Manufacturing Processes and Systems)
Show Figures

Graphical abstract

13 pages, 2881 KB  
Article
Effect of Water Content in Semidry Grinding on the Quality of Glutinous Rice Flour
by Tao Huang, Dan Ouyang, Shangyuan Sang, Caiming Li, Xiaosan Wang, Xiao Wang, Jiali Xing and Xiaohu Luo
Foods 2024, 13(20), 3216; https://doi.org/10.3390/foods13203216 - 10 Oct 2024
Cited by 2 | Viewed by 1530
Abstract
The grinding process is one of the key factors affecting the quality of glutinous rice flour (GRF). As an emerging grinding method, semidry grinding aims to solve the problems of the high yield of wastewater in traditional wet grinding and the high content [...] Read more.
The grinding process is one of the key factors affecting the quality of glutinous rice flour (GRF). As an emerging grinding method, semidry grinding aims to solve the problems of the high yield of wastewater in traditional wet grinding and the high content of damaged starch in dry grinding, in which the water content has a great influence on the quality of GRF. However, semidry grinding has not yet been formally put into production due to limitations such as the long time required to adjust the water content of rice grains. Therefore, this work was carried out to shorten the soaking time of glutinous rice (GR) by hot air pretreatment, and to conduct a systematic and in-depth study of the effect of water content on the quality of GRF, including water distribution, water hydration properties, thermal properties, rheological properties, and microstructure. The results showed that the GRF with higher water content had lower water solubility and higher enthalpy of pasting, which were due to the low content of damaged starch and the high degree of crystallization. The particle size of the GRF became smaller as the interaction between water and starch was enhanced and the GR was softened. In addition, the viscosity and elasticity of the GRF were also improved with an increase in water content. This work provides theoretical guidance for the improvement of semidry grinding to a certain extent. Full article
(This article belongs to the Section Grain)
Show Figures

Figure 1

18 pages, 7720 KB  
Article
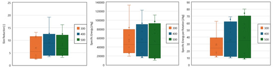
Scaling Energy Transfer in Ball Mills: A Scale-Agnostic Approach through a Universal Scaling Constant
by Błażej Doroszuk, Piotr Bortnowski, Maksymilian Ozdoba and Robert Król
Energies 2024, 17(11), 2693; https://doi.org/10.3390/en17112693 - 1 Jun 2024
Cited by 2 | Viewed by 2398
Abstract
Ball mills are widely used for size reduction in mineral processing, but effective scaling from laboratory to industrial scale remains challenging. This study introduces a novel scaling constant approach to replicate energy transfer to ore during milling across different scales by adjusting rotational [...] Read more.
Ball mills are widely used for size reduction in mineral processing, but effective scaling from laboratory to industrial scale remains challenging. This study introduces a novel scaling constant approach to replicate energy transfer to ore during milling across different scales by adjusting rotational speed and grinding medium size distribution. The scaling constant encapsulates parameters like the number of balls per working area, rotational speed, and an average ball’s maximum potential and kinetic energies. Experiments were conducted using a laboratory ball mill with interchangeable drum sizes (300, 400, and 500 mm) and a Design of Experiments methodology. Statistical analysis revealed that the scaling constant was more effective at maintaining consistent specific energy and energy per rotation across scales than size reduction, especially in dry milling. Wet milling results showed no significant differences in all metrics across scales. The dominant charge motion shifted from centrifuging to cascading as the mill diameter increased, highlighting the complex scaling dynamics. While the scaling constant shows promise for maintaining energy utilization, additional factors like charge motion and particle breakage mechanisms should be considered. The findings provide insights for improving ball mill design and optimization in mineral processing. Full article
(This article belongs to the Section K: State-of-the-Art Energy Related Technologies)
Show Figures

Figure 1

25 pages, 14978 KB  
Article
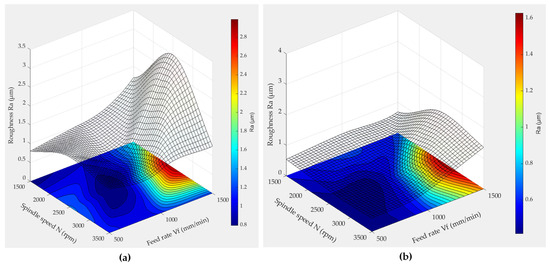
Experimental Investigation on the Effects of Tool Geometry and Cutting Conditions on Machining Behavior during Edge Finishing of Granite Using Concave and Chamfered Profiling Tools
by Wael Mateur, Victor Songmene and Jules Kouam
Micromachines 2024, 15(3), 315; https://doi.org/10.3390/mi15030315 - 24 Feb 2024
Viewed by 3029
Abstract
Granite edge finishing through grinding is a common process in the granite processing industry, crucial for achieving the final desired shape and edge quality of products. This study focuses on the granite industry, specifically delving into the significance of grinding and polishing for [...] Read more.
Granite edge finishing through grinding is a common process in the granite processing industry, crucial for achieving the final desired shape and edge quality of products. This study focuses on the granite industry, specifically delving into the significance of grinding and polishing for improving aesthetics and extending material longevity. The experimental design entails a comprehensive factorial experiment plan involving two workpiece materials (white and black granite samples) and two cutting tool edge shapes (chamfer and concave), each with two grit sizes: G150 and G600. The cutting conditions varied and consisted of variations in spindle speeds (1500, 2500, 3500 rpm), feed rates (500, 1000, 1500 mm/min), and lubrication modes (wet/dry). The results uncover intricate relationships among these parameters and part quality, underscoring the pivotal role of tool geometry in achieving superior surface finishes and in controlling the cutting forces. These findings contribute to a nuanced understanding of the dynamic interplay between tool characteristics, material properties, and machining conditions within the granite industry. Full article
Show Figures

Figure 1

19 pages, 5690 KB  
Review
The Optimization of Mechanochemical Processes toward Functional Nanocomposite Materials
by Mamoru Senna
Powders 2023, 2(3), 659-677; https://doi.org/10.3390/powders2030041 - 20 Sep 2023
Cited by 5 | Viewed by 2003
Abstract
Mechanochemical technology is developing rapidly, judging by the scientific information in both basic and applied studies. However, many issues and points of view remain to be discussed. This review presents some new key issues for the optimization of mechanochemical processes in terms of [...] Read more.
Mechanochemical technology is developing rapidly, judging by the scientific information in both basic and applied studies. However, many issues and points of view remain to be discussed. This review presents some new key issues for the optimization of mechanochemical processes in terms of theoretical and practical aspects. Emphasis is placed on powder technology aspects, which are not always discussed compared to functional or microscopic viewpoints. The transfer of chemical species across the interparticle interface between dissimilar species during the mechanosynthesis of nanocomposites offers many new opportunities. Since almost all material transport is preceded by charge transfer, its driving force has been sought using terminology beyond the well-established electrochemical terms. In particular, the valence state of the cationic species involved is of importance. The role of organic compounds throughout the process is emphasized, regardless of their survival in the final product. The similarity with pharmaceutical phenomena is pointed out, although its mentality is very different from that of the synthesis of nanocomposites. The rational amorphization and stabilization of molecular dispersion states with the participation of excipients are discussed. The effects of liquids, either added or formed by mechanochemical auto-liquefaction, are presented with reference to the comparison between wet and dry grinding. The mechanisms of the apparent stabilization of the mechanically activated states of the products are elucidated to investigate the practical applicability of these mechanochemically synthesized products. Finally, the most important aspects for the optimization of the mechanochemical processes of functional nanocomposites are listed. Full article
(This article belongs to the Special Issue Feature Papers in Powders 2023)
Show Figures

Figure 1

14 pages, 3685 KB  
Article
Different Size Formulations of Fluopyram: Preparation, Antifungal Activity, and Accumulation in the Fungal Pathogen Botrytis cinerea
by Yinmin Wang, Sida Zhang, Yong Xu, Haiyun Li, Ruihua Zhang, Dong Chen, Jianfu Xu and Xuemin Wu
Molecules 2023, 28(16), 6099; https://doi.org/10.3390/molecules28166099 - 17 Aug 2023
Cited by 5 | Viewed by 2251
Abstract
Nanotechnology is revolutionizing the efficient production and sustainable development of modern agriculture. Understanding the pesticide activity of both nano- and conventional methods is useful for developing new pesticide formulations. In this study, three solid fluopyram formulations with varying particle sizes were developed, and [...] Read more.
Nanotechnology is revolutionizing the efficient production and sustainable development of modern agriculture. Understanding the pesticide activity of both nano- and conventional methods is useful for developing new pesticide formulations. In this study, three solid fluopyram formulations with varying particle sizes were developed, and the mechanisms underlying the difference in the antifungal activity among these formulations were investigated. Wet media milling combined with freeze drying was used to prepare fluopyram nanoparticles (FLU-NS) and a micron-sized solid formulation (FLU-MS), and a jet grinding mill was employed to fabricate fluopyram wettable powder (FLU-WP). The mean particle sizes of FLU-NS, FLU-MS, and FLU-WP were 366.8 nm, 2.99 μm, and 10.16 μm, respectively. Notably, FLU-NS displayed a toxicity index against Botrytis cinerea (gray mold) that was approximately double those of FLU-MS and FLU-WP. Similar trends were noticed in the antifungal tests on Alternaria solani. The uptake of FLU-NS by B. cinerea was approximately twice that of FLU-MS and FLU-WP, indicating that fluopyram nanoparticles are more easily taken up by the pathogen (B. cinerea), and display better bioactivity than the larger fluopyram particles. Therefore, the nanosizing of pesticides appears to be a viable strategy to enhance efficiency without increasing the amount of pesticide used. Full article
Show Figures

Graphical abstract

16 pages, 1431 KB  
Article
Relation between Scale-Up and Life Cycle Assessment for Wet Grinding Process of Pumice
by Viktoria Mannheim and Weronika Kruszelnicka
Energies 2023, 16(11), 4470; https://doi.org/10.3390/en16114470 - 1 Jun 2023
Cited by 3 | Viewed by 2532
Abstract
This study examines the grinding process of pumice based on the dry and wet laboratory measurements, scale-up method, and life cycle assessment. This research’s main goal was to set up the relation between scale-up and life cycle assessment results for the wet grinding [...] Read more.
This study examines the grinding process of pumice based on the dry and wet laboratory measurements, scale-up method, and life cycle assessment. This research’s main goal was to set up the relation between scale-up and life cycle assessment results for the wet grinding process with the help of mathematical equations. Within the first research works, basic grinding testing in a laboratory dry Bond mill was accomplished. This step allowed the description of the estimated particle size distribution, median particle size, specific grinding work, and grindability index number of pumice. The second step was the determination of power consumption and scale-up in a laboratory stirred media mill, and it involved the assessment of resources, primary energies, and environmental impacts of wet grinding using GaBi 8.0 software. According to the results, we obtain life cycle emission factors by introducing five coefficients for grinding in laboratory and industrial conditions. These constants depend on the external dimensions of the mill and can be expressed by a derived scale constant from the scale-up. Research results enable the industry to make a prognosis for industrial plants based on the integration between life cycle assessment and scale-up of the pilot grinding processes. Full article
(This article belongs to the Special Issue Life Cycle Assessment in Waste Management)
Show Figures

Figure 1

28 pages, 1446 KB  
Review
Formulation Strategies of Nanosuspensions for Various Administration Routes
by Sıla Gülbağ Pınar, Ayşe Nur Oktay, Alptuğ Eren Karaküçük and Nevin Çelebi
Pharmaceutics 2023, 15(5), 1520; https://doi.org/10.3390/pharmaceutics15051520 - 17 May 2023
Cited by 66 | Viewed by 10173
Abstract
Nanosuspensions (NSs), which are nanosized colloidal particle systems, have recently become one of the most interesting substances in nanopharmaceuticals. NSs have high commercial potential because they provide the enhanced solubility and dissolution of low-water-soluble drugs by means of their small particle sizes and [...] Read more.
Nanosuspensions (NSs), which are nanosized colloidal particle systems, have recently become one of the most interesting substances in nanopharmaceuticals. NSs have high commercial potential because they provide the enhanced solubility and dissolution of low-water-soluble drugs by means of their small particle sizes and large surface areas. In addition, they can alter the pharmacokinetics of the drug and, thus, improve its efficacy and safety. These advantages can be used to enhance the bioavailability of poorly soluble drugs in oral, dermal, parenteral, pulmonary, ocular, or nasal routes for systemic or local effects. Although NSs often consist mainly of pure drugs in aqueous media, they can also contain stabilizers, organic solvents, surfactants, co-surfactants, cryoprotectants, osmogents, and other components. The selection of stabilizer types, such as surfactants or/and polymers, and their ratio are the most critical factors in NS formulations. NSs can be prepared both with top-down methods (wet milling, dry milling, high-pressure homogenization, and co-grinding) and with bottom-up methods (anti-solvent precipitation, liquid emulsion, and sono-precipitation) by research laboratories and pharmaceutical professionals. Nowadays, techniques combining these two technologies are also frequently encountered. NSs can be presented to patients in liquid dosage forms, or post-production processes (freeze drying, spray drying, or spray freezing) can also be applied to transform the liquid state into the solid state for the preparation of different dosage forms such as powders, pellets, tablets, capsules, films, or gels. Thus, in the development of NS formulations, the components/amounts, preparation methods, process parameters/levels, administration routes, and dosage forms must be defined. Moreover, those factors that are the most effective for the intended use should be determined and optimized. This review discusses the effect of the formulation and process parameters on the properties of NSs and highlights the recent advances, novel strategies, and practical considerations relevant to the application of NSs to various administration routes. Full article
Show Figures

Figure 1

13 pages, 4591 KB  
Article
Wet-Process-Modified Blue-Green Algae Biochar by K2FeO4 for the Efficient Adsorption of Cr(VI) from Water
by Aihua Cheng, Xingwen Wang, Xiaohe Liu and Chi He
Processes 2023, 11(5), 1489; https://doi.org/10.3390/pr11051489 - 15 May 2023
Cited by 9 | Viewed by 2615
Abstract
Iron-modified biochar adsorbent shows its promise for removing Cr(VI) from water. However, the traditional dry-grinding modification methods to prepare iron-modified biochar (DFeBC) usually result in the aggregation of iron oxide particles, thus impeding the adsorption capacity. Herein, blue-green algae waste derived biochar modified [...] Read more.
Iron-modified biochar adsorbent shows its promise for removing Cr(VI) from water. However, the traditional dry-grinding modification methods to prepare iron-modified biochar (DFeBC) usually result in the aggregation of iron oxide particles, thus impeding the adsorption capacity. Herein, blue-green algae waste derived biochar modified in a wet process by K2FeO4 (WFeBC) was developed, and it showed well-distributed iron oxide on the surface of the biochar. As a result, WFeBC displayed a larger theoretical adsorption capacity of 66.22 mg/g than that of DFeBC (48.54 mg/g). It was found that the uniform-distributed iron oxide and abundant oxygen functional groups of WFeBC played an important role in the removal process of Cr(VI). In the adsorption process, the reduction of Cr(VI) to Cr(III) by Fe(II) promoted the removal of hexavalent chromium. The Cr(VI) will be attracted by protonated oxygen functional groups through electrostatic interaction and complexation in an acid environment. All the results show that the wet modification of biochar by K2FeO4 can effectively improve the removal ability of WFeBC to Cr(VI). Full article
(This article belongs to the Section Environmental and Green Processes)
Show Figures

Figure 1

12 pages, 505 KB  
Article
Study of Influence of Extraction Method on the Recovery Bioactive Compounds from Peel Avocado
by Emir Martínez-Gutiérrez
Molecules 2023, 28(6), 2557; https://doi.org/10.3390/molecules28062557 - 11 Mar 2023
Cited by 13 | Viewed by 3513
Abstract
The avocado peel is a waste material from consumption avocado (Persea americana Mill.) with big biotechnology potential. The purpose of the present work was to study the influence of six extraction methods, maceration (M), maceration plus β-cyclodextrin (MβC), solid-state fermentation (SSF), sonication [...] Read more.
The avocado peel is a waste material from consumption avocado (Persea americana Mill.) with big biotechnology potential. The purpose of the present work was to study the influence of six extraction methods, maceration (M), maceration plus β-cyclodextrin (MβC), solid-state fermentation (SSF), sonication with water or ethanol, wet grinding (WG), wet grinding plus maceration (WGM), on the recovery of bioactive compounds from the avocado peel such as total phenols, epicatechin and chlorogenic acid. The results showed that the extraction method has a significant effect on the content of total phenols, the WGM method obtaining the highest value of total phenols (2143.1 mg GAE/100 g dry weight). Moreover, the results indicated that the extraction method had a significant effect on chlorogenic acid and epicatechin recovery, the WGM method obtaining the highest amount of epicatechin and chlorogenic acid, 181.7 and 244.3 mg/100 g dry matter, respectively. Additionally, the characterization of WGM extract was realized by UPLC-ESI-MS/MS and GC-MS. Thus, the WGM method allowed for obtaining good yields of recovery of phenolic compounds using an accessible technology and a more environment-friendly solvent. Full article
(This article belongs to the Section Food Chemistry)
Show Figures

Figure 1

64 pages, 34892 KB  
Review
Current Status of Hard Turning in Manufacturing: Aspects of Cooling Strategy and Sustainability
by Rajashree Mallick, Ramanuj Kumar, Amlana Panda and Ashok Kumar Sahoo
Lubricants 2023, 11(3), 108; https://doi.org/10.3390/lubricants11030108 - 27 Feb 2023
Cited by 43 | Viewed by 5279
Abstract
In recent years, hard turning has been found to be a well-known substitute for traditional grinding for acquiring the finish quality of hardened steel without sacrificing productivity. There are many issues that should be carefully understood and dealt with to attain efficacious performance [...] Read more.
In recent years, hard turning has been found to be a well-known substitute for traditional grinding for acquiring the finish quality of hardened steel without sacrificing productivity. There are many issues that should be carefully understood and dealt with to attain efficacious performance in hard turning. This article discusses modern manufacturing challenges with a focus on analyzing the current state of the art of the hard turning process in terms of ensuring more environmentally friendly manufacturing through the use of greener cooling methods such as dry, wet/flood cooling, the minimum quantity of lubricant (MQL), high-pressure jet cooling, solid lubricant, nanofluids, ionic liquids (ILs), cryogenic cooling, and hybrid cooling. Nanofluids combined with the MQL system were found to be the superior cooling technique in comparison to dry, wet/flood, and MQL. Cryo-machining also provided superior performance by limiting the cutting temperature during hard turning. The performance of hybrid cooling (MQL + cryogenic) seems to have been superior to MQL and cryogenic coolant alone because it combined the benefits of lubrication and cooling from MQL and cryogenic systems, respectively. The addition of ILs to base fluids or nanofluids improves the thermal properties of the mixed fluid, resulting in better surface quality, lower tool wear, and longer tool life. Furthermore, the purpose of this study is to summarize the various LCA software used for analyzing the sustainability of the hard turning process. Overall, this paper can serve as a resource for researchers and manufacturers working in the field of sustainable machining. Full article
(This article belongs to the Special Issue Methods of Application of Cutting Fluids in Machining)
Show Figures

Figure 1

17 pages, 6178 KB  
Article
Direct Recycling of WC-Co Grinding Chip
by Alessio Pacini, Francesco Lupi, Andrea Rossi, Maurizia Seggiani and Michele Lanzetta
Materials 2023, 16(4), 1347; https://doi.org/10.3390/ma16041347 - 5 Feb 2023
Cited by 14 | Viewed by 4172
Abstract
Grinding is a finishing process for high precision, high surface quality parts, and hard materials, including tool fabrication and sharpening. The recycling of grinding scraps, which often contain rare and costly materials such as tungsten carbide (WC-Co), has been established for decades. However, [...] Read more.
Grinding is a finishing process for high precision, high surface quality parts, and hard materials, including tool fabrication and sharpening. The recycling of grinding scraps, which often contain rare and costly materials such as tungsten carbide (WC-Co), has been established for decades. However, there is a growing need for more energy-efficient and environmentally friendly recycling processes. Currently, grinding sludges, which are a mixture of abrasives, lubricants, and hard metal chips, are only treated through chemical recycling. Direct recycling (“reuse” of chips as raw material) is the most effective but not yet viable process due to the presence of contaminants. This paper presents an oil-free dry grinding process that produces high-quality chips (i.e., oil-free and with few contaminants, smaller than 60 mesh particle size) that can be directly recycled, as opposed to the oil-based wet grinding that generates sludges, which require indirect recycling. The proposed alternative recycling method is validated experimentally using WC-Co chips from a leading hard metals’ processing specialized company. The contaminant level (oxygen 0.8 wt.%, others < 0.4 wt.%), granulometry (chip D50 = 10.4 µm with grain size < 3 µm) and morphology of the recycled chips’ powder is comparable to commercial powders proving the research and industrial potential of direct recycling. The comparison of sintered products using recycled and commercial powder provided equivalent characteristics for hardness (HRA of 90.7, HV30 of 1430), porosity grade (A02-04) and grain size (<3 µm). Full article
(This article belongs to the Special Issue Green Manufacturing of Materials: Properties and Sustainability)
Show Figures

Figure 1

Back to TopTop