Reutilization of Real Waste Calcium Carbonate (CaCO3) from the Palm Oil Industry (POI) for Palm Kernel and Shell Separation Through Clay Bath Systems
Abstract
1. Introduction
2. Results and Discussion
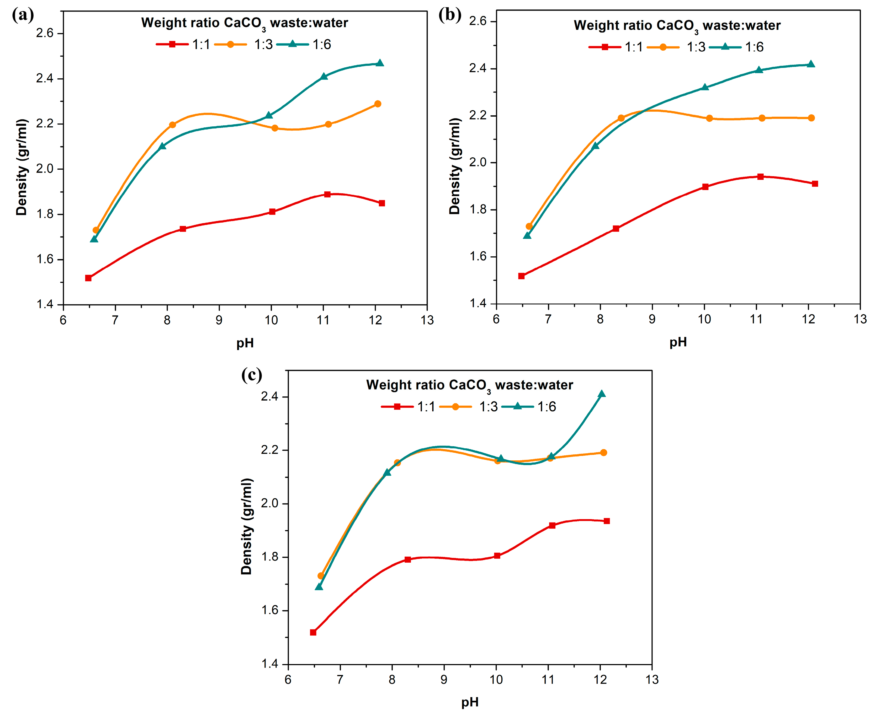
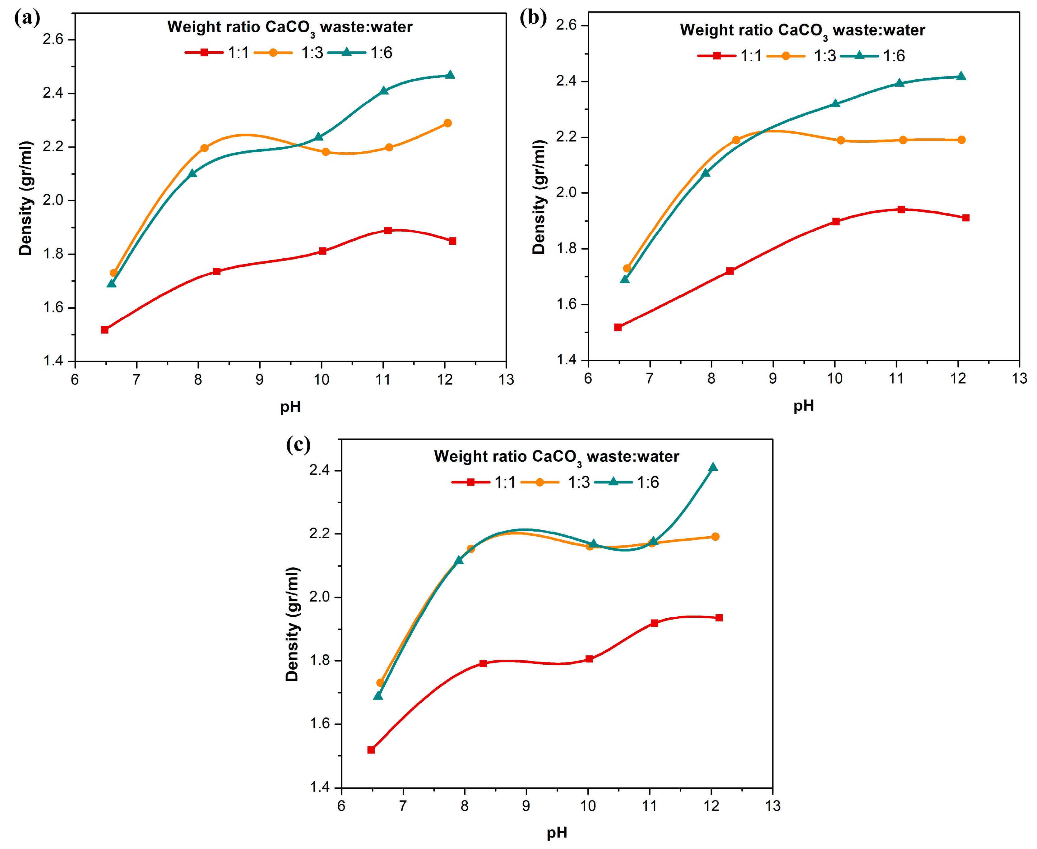
2.1. Influence of CaCO3 Waste-to-Water Ratio, pH, and Temperature on the Oil Content and the Density of Regenerated CaCO3 Waste
2.2. Performance of Regenerated CaCO3 Waste in Separating Palm Kernels and Shells
3. Materials and Methods
3.1. Materials and Equipment
3.2. Experimental Set-Up
4. Conclusions
Author Contributions
Funding
Institutional Review Board Statement
Informed Consent Statement
Data Availability Statement
Acknowledgments
Conflicts of Interest
References
- BPS-Statistics Indonesia. Indonesian Oil Palm Statistics 2021. In Statistik Kelapa Sawit Indonesia 2021; BPS-Statistics Indonesia: Jakarta, Indonesia, 2021; pp. 1–139. ISSN 1978-9947. [Google Scholar]
- Mahidin; Erdiwansyah; Husin, H.; Hisbullah; Hayati, A.P.; Zhafran, M.; Sidiq, M.A.; Rinaldi, A.; Fitria, B.; Tarisma, R.; et al. Utilization of Oil Palm Biomass as a Renewable and Sustainable Energy Source in Aceh Province. J. Adv. Res. Fluid Mech. Therm. Sci. 2020, 67, 97–180. [Google Scholar]
- Haykal, M.; Yunus, S. Determinants of Oil Palm Farmers’ Welfare in Aceh, Indonesia. J. Contemp. Issues Bus. Gov. 2021, 27, 1221–1229. [Google Scholar]
- Nur, T.M.; Satriawan, H.; Fadli, C.; Ernawita, E. The Development Strategy Oil Palm-Cattle Integration in Bireuen District Aceh Province. J. Manaj. Dan Agribisnis 2021, 18, 316. [Google Scholar] [CrossRef]
- Nabila, R.; Hidayat, W.; Haryanto, A.; Hasanudin, U.; Iryani, D.A.; Lee, S.; Kim, S.; Kim, S.; Chun, D.; Choi, H.; et al. Oil Palm Biomass in Indonesia: Thermochemical Upgrading and Its Utilization. Renew. Sustain. Energy Rev. 2023, 176, 113193. [Google Scholar] [CrossRef]
- Uchegbulam, I.; Momoh, E.O.; Agan, S.A. Potentials of Palm Kernel Shell Derivatives: A Critical Review on Waste Recovery for Environmental Sustainability. Clean. Mater. 2022, 6, 100154. [Google Scholar] [CrossRef]
- Awalludin, M.F.; Sulaiman, O.; Hashim, R.; Nadhari, W.N.A.W. An Overview of the Oil Palm Industry in Malaysia and Its Waste Utilization through Thermochemical Conversion, Specifically via Liquefaction. Renew. Sustain. Energy Rev. 2015, 50, 1469–1484. [Google Scholar] [CrossRef]
- Aliyu Yaro, N.S.; Sutanto, M.H.; Habib, N.Z.; Napiah, M.; Usman, A.; Jagaba, A.H.; Al-Sabaeei, A.M. Application and Circular Economy Prospects of Palm Oil Waste for Eco-Friendly Asphalt Pavement Industry: A Review. J. Road Eng. 2022, 2, 309–331. [Google Scholar] [CrossRef]
- Aderinlewo, A.A.; Agboola, A.K.A.; Adeosun, O.J.; Ajisegiri, E.S.A.; Adisa, A.F. Investigation of Separation of Palm Kernel and Shell on an Inclined Separator. Acta Tech. Corviniensis-Bull. Eng. 2018, 2, 135–137. [Google Scholar]
- Amoah, J.; Aggey, M.; Annumu, S. Cracked-Mixture Sieving Rates and Efficiencies In Small-Scale Palm Nut Processing In Ghana. Ghana J. Sci. 2008, 47, 69–81. [Google Scholar] [CrossRef]
- Israel, A.E.; Koya, O.A.; Omidiji, B.V. Development of a Modified Palm-Nut Cracker. Agric. Eng. Int. CIGR J. 2020, 1, 202–212. [Google Scholar]
- Akusu, O.M.; Kiin-Kabari, D.B.; Barber, L.I. Palm Kernel Separation Efficiency and Kernel Quality from Different Methods Used in Some Communities in Rivers State, Nigeria. J. Food Technol. Res. 2017, 4, 46–53. [Google Scholar] [CrossRef]
- Gold, I.L.; Onyia, D.C.; Okunwaye, T.; Oko-Oboh, E.; Akpose, I.O. Wet Separation of Palm Kernel and Shell Mixture Using Laterite and Anthill Slurry. J. Chem. Soc. Niger. 2023, 48, 1040–1050. [Google Scholar] [CrossRef]
- Nwadinobi, C.P. Evaluation of Soil-Water Ratio Effectiveness in Soil-Bath Wet Separation Process for Kernel Recovery. Niger. J. Technol. 2019, 38, 99. [Google Scholar] [CrossRef]
- Olasumboye, A.; Koya, O. A Rotary Separator for the Dry Mixture of Palm Kernel and Shell. Innov. Syst. Des. Eng. 2014, 5, 32–41. [Google Scholar]
- Olasumboye, A.; Koya, O. Experimental Verification of a New Technique for the Dry Separation of Palm Kernel and Shell Mixture. Innov. Syst. Des. Eng. 2013, 4, 27–33. [Google Scholar]
- Agu, R.S.; Eze, P.C.; Omeje, C.U. Separation of Oil Palm Kernel and Shell Mixture Using Soil and Palm Ash Slurries. Niger. J. Technol. 2017, 36, 621. [Google Scholar] [CrossRef][Green Version]
- Hasanudin, U.; Sugiharto, R.; Haryanto, A.; Setiadi, T.; Fujie, K. Palm Oil Mill Effluent Treatment and Utilization to Ensure the Sustainability of Palm Oil Industries. Water Sci. Technol. 2015, 72, 1089–1095. [Google Scholar] [CrossRef]
- Fatehi, P.; Baba, A.S.; Eh suk, V.R.; Misran, M. Preparation and Characterization of Palm Oil in Water Microemulsion for Application in the Food Industry. Br. Food J. 2020, 122, 3077–3088. [Google Scholar] [CrossRef]
- Mba, O.I.; Dumont, M.J.; Ngadi, M. Palm Oil: Processing, Characterization and Utilization in the Food Industry—A Review. Food Biosci. 2015, 10, 26–41. [Google Scholar] [CrossRef]
- Effendi, Z.; Rangkuti, I.U.P.; Muhtadawan, M.I. Application of Boiler Fly Ash for Oil Palm Kernel Separation in Claybath. J. Tek. Pertan. Lampung (J. Agric. Eng.) 2022, 11, 542. [Google Scholar] [CrossRef]
- Muhammad, M.; Marwan, M.; Munawar, E.; Zaki, M. Experimental Study of CO2 Utilization as a Density Modification Agent for Maximizing Palm Shells and Kernels Separation Efficiency. S. Afr. J. Chem. Eng. 2022, 42, 283–289. [Google Scholar] [CrossRef]
- Sanni, L.A.; Ohiare, T.; Ibrahim, R.O. Saline Bath System for Separation of Palm Kernels from Shells. Int. J. Agric. Biosyst. Eng. 2017, 2, 67–73. [Google Scholar]
- Jannah, R.; Machdar, I.; Abdullah; Sofyan; Rinaldi, W. Ernawati an Experimental Batch Study on Separation of Palm Kernel and Palm Shell with Salt Solution. In IOP Conference Series: Earth and Environmental Science, Proceedings of the 13th Annual International Conference on Environmental and Life Sciences: “Science and Technology on Coffee and Other Local Commodities for Enhancing Human Prosperity”, Banda Aceh, Indonesia, 13–14 November 2023; IOP Publishing Ltd.: Bristol, UK, 2024; Volume 1356. [Google Scholar]
- Kamalu, C.I.O.; Nwaigwe, K.N.; Nwakaudu, M.S. Manipulation of Slurry Density of Red Mud Clay in the Separation of Fine/Coarse Palm Kernel Shell. Res. J. Math. Stat. 2015, 7, 27–32. [Google Scholar] [CrossRef]
- Syarifuddin, S.; Husin, H.; Mahidin, M.; Jakfar, J.; Nurhazanah, N.; Nasution, F.; Nasri, F.R.; Ramadhan, H.D. Experimental Study of Calcium Carbonate Solution Saturation in the Separation Process of Palm Kernel-Shell Mixtures Using Water Clay Bath Systems. In IOP Conference Series: Earth and Environmental Science, Proceedings of the 13th Annual International Conference on Environmental and Life Sciences: “Science and Technology on Coffee and Other Local Commodities for Enhancing Human Prosperity”, Banda Aceh, Indonesia 13–14 November 2023; IOP Publishing Ltd.: Bristol, UK, 2024; Volume 1356. [Google Scholar]
- Rio Fernandez, B.; Evencus Hutajulu, P.; Sylviana Pratikha, R.; Imanuael Tarigan, N. The Effect of Specific Gravity of Clay (Aluminium Hydrosilicate) on Kernel Losses at Claybath Station’s. J. Rekayasa Teknol. Proses Dan Sains Kim. 2023, 2, 9–17. [Google Scholar]
- Chen, C.L.; Lee, J.Y.; Ng, D.K.S.; Foo, D.C.Y. Synthesis of Resource Conservation Network for the Clay Bath System in Palm Oil Mills. Chem. Eng. 2010, 21, 907–912. [Google Scholar]
- Okoronkwo, C.A.; Ngozi-Olehi, L.C.; Nwufo, O.C. The Adaptation of Clay-Bath and Hydro-Cyclones in Palm Nut Cracked-Mixture Separation to Small—Scale Oil Palm Processing Industry. Int. J. Mod. Eng. Res. 2013, 3, 2023–2026. [Google Scholar]
- Miravion, R.; Hadiyanto, H.; Buchori, L.; Widayat, W. The Effect of Solid Waste Clay Bath Pre-Treatment on Characteristic of CaCO3 product. AIP Conf. Proc. 2023, 2667, 040016. [Google Scholar]
- Basumatary, S.F.; Brahma, S.; Hoque, M.; Das, B.K.; Selvaraj, M.; Brahma, S.; Basumatary, S. Advances in CaO-Based Catalysts for Sustainable Biodiesel Synthesis. Green Energy Resour. 2023, 1, 100032. [Google Scholar] [CrossRef]
- Baena-Moreno, F.M.; Rodríguez-Galán, M.; Vega, F.; Reina, T.R.; Vilches, L.F.; Navarrete, B. Regeneration of Sodium Hydroxide from a Biogas Upgrading Unit through the Synthesis of Precipitated Calcium Carbonate: An Experimental Influence Study of Reaction Parameters. Processes 2018, 6, 205. [Google Scholar] [CrossRef]
- Liu, M.; Gadikota, G. Integrated CO2 Capture, Conversion, and Storage to Produce Calcium Carbonate Using an Amine Looping Strategy. Energy Fuels 2019, 33, 1722–1733. [Google Scholar] [CrossRef]
- Liu, M.; Gadikota, G. Single-Step, Low Temperature and Integrated CO2 Capture and Conversion Using Sodium Glycinate to Produce Calcium Carbonate. Fuel 2020, 275, 117887. [Google Scholar] [CrossRef]
- Amghar, N.; Moreno, V.; Sánchez-Jiménez, P.E.; Perejón, A.; Pérez-Maqueda, L.A. Ca-Based Materials Derived from Calcined Cigarette Butts for CO2 Capture and Thermochemical Energy Storage. J. Environ. Sci. 2024, 140, 230–241. [Google Scholar] [CrossRef]
- Moreno, V.; González-Arias, J.; Ruiz-Martinez, J.D.; Balart-Gimeno, R.; Baena-Moreno, F.M.; Leiva, C. FGD-Gypsum Waste to Capture CO2 and to Recycle in Building Materials: Optimal Reaction Yield and Preliminary Mechanical Properties. Materials 2024, 17, 3774. [Google Scholar] [CrossRef] [PubMed]
- Ye, Y.; Ngo, H.H.; Guo, W.; Liu, Y.; Chang, S.W.; Nguyen, D.D.; Liang, H.; Wang, J. A Critical Review on Ammonium Recovery from Wastewater for Sustainable Wastewater Management. Bioresour. Technol. 2018, 268, 749–758. [Google Scholar] [CrossRef]
- Alsawy, T.; Rashad, E.; El-Qelish, M.; Mohammed, R.H. A Comprehensive Review on the Chemical Regeneration of Biochar Adsorbent for Sustainable Wastewater Treatment. NPJ Clean Water 2022, 5, 29. [Google Scholar] [CrossRef]
- Baskar, A.V.; Bolan, N.; Hoang, S.A.; Sooriyakumar, P.; Kumar, M.; Singh, L.; Jasemizad, T.; Padhye, L.P.; Singh, G.; Vinu, A.; et al. Recovery, Regeneration and Sustainable Management of Spent Adsorbents from Wastewater Treatment Streams: A Review. Sci. Total Environ. 2022, 822, 153555. [Google Scholar] [CrossRef] [PubMed]
- Noparat, P.; Prasertsan, P. Reclamation of Waste Kaolin in Palm Oil Mill. NU. Int. J. Sci. 2015, 12, 21–28. [Google Scholar]
- Zazalli, M.; Yoshida, H.; Ismail, M.H.S.; Sabli, N.; Izhar, S. Recovery of Oil from Waste Palm Kernel Cake by Sub-Critical Water. Int. J. Appl. Eng. Res. 2017, 12, 14574–14579. [Google Scholar]
- Dai, Q.; Chung, K.H. Hot Water Extraction Process Mechanism Using Model Oil Sands. Fuel 1996, 75, 220–226. [Google Scholar] [CrossRef]
- Al Omari, M.M.H.; Rashid, I.S.; Qinna, N.A.; Jaber, A.M.; Badwan, A.A. Calcium Carbonate. In Profiles of Drug Substances, Excipients and Related Methodology; Academic Press Inc.: Cambridge, MA, USA, 2016; Volume 41, pp. 31–132. [Google Scholar]







Disclaimer/Publisher’s Note: The statements, opinions and data contained in all publications are solely those of the individual author(s) and contributor(s) and not of MDPI and/or the editor(s). MDPI and/or the editor(s) disclaim responsibility for any injury to people or property resulting from any ideas, methods, instructions or products referred to in the content. |
© 2024 by the authors. Licensee MDPI, Basel, Switzerland. This article is an open access article distributed under the terms and conditions of the Creative Commons Attribution (CC BY) license (https://creativecommons.org/licenses/by/4.0/).
Share and Cite
Syarifuddin; Husin, H.; Mahidin; Zaki, M.; Syafiie, S.; Nasution, F.; Ahmadi; Fathullah; Sy, Y. Reutilization of Real Waste Calcium Carbonate (CaCO3) from the Palm Oil Industry (POI) for Palm Kernel and Shell Separation Through Clay Bath Systems. Recycling 2024, 9, 103. https://doi.org/10.3390/recycling9060103
Syarifuddin, Husin H, Mahidin, Zaki M, Syafiie S, Nasution F, Ahmadi, Fathullah, Sy Y. Reutilization of Real Waste Calcium Carbonate (CaCO3) from the Palm Oil Industry (POI) for Palm Kernel and Shell Separation Through Clay Bath Systems. Recycling. 2024; 9(6):103. https://doi.org/10.3390/recycling9060103
Chicago/Turabian StyleSyarifuddin, Husni Husin, Mahidin, Muhammad Zaki, S. Syafiie, Fahrizal Nasution, Ahmadi, Fathullah, and Yuliana Sy. 2024. "Reutilization of Real Waste Calcium Carbonate (CaCO3) from the Palm Oil Industry (POI) for Palm Kernel and Shell Separation Through Clay Bath Systems" Recycling 9, no. 6: 103. https://doi.org/10.3390/recycling9060103
APA StyleSyarifuddin, Husin, H., Mahidin, Zaki, M., Syafiie, S., Nasution, F., Ahmadi, Fathullah, & Sy, Y. (2024). Reutilization of Real Waste Calcium Carbonate (CaCO3) from the Palm Oil Industry (POI) for Palm Kernel and Shell Separation Through Clay Bath Systems. Recycling, 9(6), 103. https://doi.org/10.3390/recycling9060103

