Sign in to use this feature.

Years

Between: -

Subjects

remove_circle_outline
remove_circle_outline
remove_circle_outline
remove_circle_outline
remove_circle_outline
remove_circle_outline
remove_circle_outline
remove_circle_outline
remove_circle_outline

Journals

remove_circle_outline
remove_circle_outline
remove_circle_outline
remove_circle_outline

Article Types

Countries / Regions

remove_circle_outline
remove_circle_outline
remove_circle_outline
remove_circle_outline
remove_circle_outline

Search Results (443)

Search Parameters:
Keywords = wedging model

Order results
Result details
Results per page
Select all
Export citation of selected articles as:
19 pages, 1818 KB  
Article
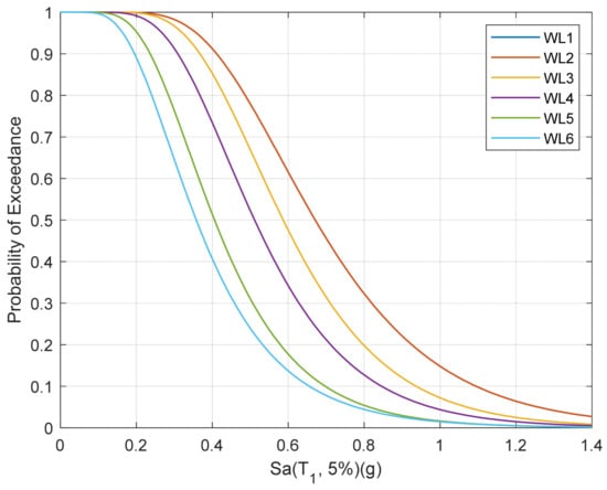
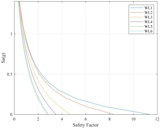
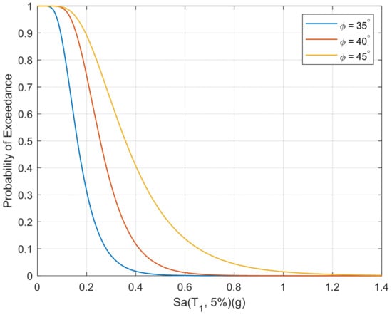
Probabilistic Seismic Fragility of Arch Dam Abutments Under Uplift Pressure
by Hosein Izadi, Seyed Alireza Zareei, Niloofar Salemi and Hadi Bahmani
Buildings 2026, 16(3), 567; https://doi.org/10.3390/buildings16030567 - 29 Jan 2026
Abstract
Uplift pressure is a major contributor to seismic instability in arch dam abutments, particularly where jointed rock masses form wedge-shaped failure blocks. This study develops an integrated numerical framework combining nonlinear finite element analysis, the Londe limit-equilibrium method, and Incremental Dynamic Analysis (IDA) [...] Read more.
Uplift pressure is a major contributor to seismic instability in arch dam abutments, particularly where jointed rock masses form wedge-shaped failure blocks. This study develops an integrated numerical framework combining nonlinear finite element analysis, the Londe limit-equilibrium method, and Incremental Dynamic Analysis (IDA) to quantify the seismic stability of multiple abutment wedges in the Bakhtiari Arch Dam. A three-dimensional finite element model is used to compute dam–abutment thrust forces, while sixteen far-field ground motions are scaled to capture the progression of wedge instability with increasing spectral acceleration. Uplift pressures on joint planes are varied to represent different levels of grout curtain performance. The results indicate that uplift pressure is the dominant factor controlling wedge stability, substantially reducing effective normal stresses and shifting IDA and fragility curves toward lower acceleration demands. Deep wedges (WL4, WL5, WL6 located in the left abutment of the dam) exhibit the highest vulnerability, with instability probabilities exceeding 50% at spectral accelerations as low as 0.34 g under 50% uplift conditions, compared with values greater than 0.65 g for upper wedges. Parametric analyses further show that increasing the joint friction angle significantly enhances seismic resistance, whereas cohesion has a comparatively minor effect. The findings emphasize the necessity of accurate uplift characterization and wedge-specific seismic assessment, and they highlight the crucial role of grout-curtain effectiveness in ensuring the seismic safety of arch dam abutments. Full article
(This article belongs to the Special Issue Innovative Solutions for Enhancing Seismic Resilience of Buildings)
Show Figures

Figure 1

15 pages, 859 KB  
Protocol
Saving Little Lives Minimum Care Package Interventions in 290 Public Health Facilities in Ethiopia: Protocol for a Non-Randomized Stepped-Wedge Cluster Implementation Trial
by Abiy Seifu Estifanos, Abebe Gebremaraim Gobezayehu, Mekdes Shifeta Argaw, Araya Abrha Medhanyie, Damen Hailemariam, Bezaye Nigussie Kassahun, Selamawit Asfaw Beyene, Henok Tadele, Lamesgin Alamineh Endalamaw, Abebech Demissie Aredo, Znbau Hadush Kahsay, Kehabtimer Shiferaw Kotiso, Akalewold Alemayehu, Mulusew Lijalem Belew, Amanuel Hadgu Berhe, Simret Niguse Weldebirhan, Asrat Dimtse, Mesay Hailu Dangisso, Samson Yohannes Amare, Yayeh Negash, Abrham Tariku, John Cramer, Siren Rettedal, Abebe Bekele, Fisseha Ashebir Gebregizabher, Selamawit Mengesha Bilal, Meseret Zelalem Tadesse and Dereje Dugumaadd Show full author list remove Hide full author list
Children 2026, 13(2), 187; https://doi.org/10.3390/children13020187 - 29 Jan 2026
Abstract
Background: Neonatal mortality remains a significant public health challenge in Ethiopia. Despite efforts to implement key evidence-based interventions, their coverage and utilization remain low. The Saving Little Lives (SLL) program aims to scale-up a Minimum Care Package (MCP) of synergistic, life-saving interventions for [...] Read more.
Background: Neonatal mortality remains a significant public health challenge in Ethiopia. Despite efforts to implement key evidence-based interventions, their coverage and utilization remain low. The Saving Little Lives (SLL) program aims to scale-up a Minimum Care Package (MCP) of synergistic, life-saving interventions for all liveborn neonates, with a focus on preterm and low birth weight (LBW) infants, across 290 hospitals in Ethiopia (206 primary, 69 general, and 15 referral hospitals), representing 82% of all hospitals in the country at the time of the study, and evaluate the impact on neonatal mortality. Methods: A non-randomized stepped-wedge trial will be conducted to evaluate the impact of implementing the SLL MCP interventions. Quantitative evaluation data will be collected from 36 primary hospitals, selected from 206 primary hospitals across four regions, receiving the interventions. An independent evaluation research assistant will be deployed in each of the hospitals to collect data using Open Data Kit (ODK) through interviewing mothers before discharge, on the 29th day of life if discharged, and reviewing medical records. A mixed-method, cross-sectional formative assessment will be conducted prior to implementation, employing quantitative facility assessment and qualitative interviews with mothers, healthcare providers, and facility managers. This will be followed by continuous program learning assessment once implementation begins. Descriptive data will be presented using numbers, percentages, tables, and graphs. Regression modeling and generalized estimating equations (GEEs) will be used to estimate the impact of the SLL MCP interventions. Qualitative data will be gathered through in-depth interviews, digitally recorded, transcribed, and thematically analyzed using ATLAS.ti Version 7.5 software to assess facility readiness, barriers, and enablers of implementing the SLL MCP interventions. Expected Outcome: We hypothesize that achieving 80% coverage of the SLL MCP interventions among eligible neonates will result in a 35% reduction in neonatal mortality at implementation facilities. Full article
(This article belongs to the Section Global Pediatric Health)
Show Figures

Figure 1

20 pages, 12740 KB  
Article
A Coupled Hydrodynamic–Energy Production Model for Optimal Salinity Gradient Energy Plant Siting in the Strymon River Estuary, Greece
by Konstantinos Zachopoulos, Nikolaos Kokkos, Costas Elmasides, Paraschos Melidis and Georgios Sylaios
Appl. Sci. 2026, 16(3), 1332; https://doi.org/10.3390/app16031332 - 28 Jan 2026
Abstract
The occurrence of salt wedge intrusion is a common phenomenon in microtidal Mediterranean river mouths, particularly during summer, when reduced river discharge occurs. In the Strymon River, upstream saltwater intrusion affects both the hydrodynamic functioning of the system and the estuarine ecosystem. This [...] Read more.
The occurrence of salt wedge intrusion is a common phenomenon in microtidal Mediterranean river mouths, particularly during summer, when reduced river discharge occurs. In the Strymon River, upstream saltwater intrusion affects both the hydrodynamic functioning of the system and the estuarine ecosystem. This study investigates the integrated ecohydrological management of river mouths characterized by salt wedge intrusion, aiming to both limit upstream saltwater penetration and exploit the salinity gradient between seawater and river water for renewable energy production. The study examines the operation of a Salinity Gradient Energy power plant based on Pressure Retarded Osmosis (PRO) technology, with a nominal capacity of 1 MW, located at the Strymon River mouth. A dynamically coupled hydrodynamic and energy production model is developed to assess four operational scenarios with different seawater and freshwater intake locations along the river channel. The results show that, in all scenarios, salt wedge intrusion is restricted to a distance of less than 2000 m from the river mouth, while salt wedge salinity is reduced by up to 35% compared to reference conditions. At the same time, annual energy production exceeds 1.03 GWh in all scenarios, corresponding to the electricity demand of approximately 824 to 1045 households, depending on the operational configuration. Overall, the study demonstrates that salinity gradient energy exploitation can be effectively combined with ecological control of salt wedge intrusion, providing a novel and sustainable framework for the management of Mediterranean estuarine systems. Full article
(This article belongs to the Special Issue Advances in Coastal Environments and Renewable Energy)
Show Figures

Figure 1

24 pages, 4067 KB  
Article
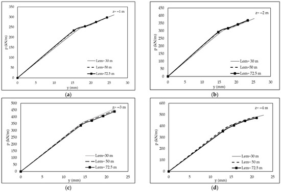
Parametric Investigation of p-y Curves for Improving the Design of Large Diameter Monopiles for Offshore Renewable Energy Applications
by Fatma Dulger Canogullari and Ozgur Lutfi Ertugrul
Appl. Sci. 2026, 16(3), 1156; https://doi.org/10.3390/app16031156 - 23 Jan 2026
Viewed by 89
Abstract
This study establishes a direct and quantitative link between field-scale monopile behavior, three-dimensional finite element (FE) modeling, and practical p-y curve formulations for large-diameter offshore monopiles. A validated three-dimensional FE model, benchmarked against a full-scale monopile field test, was employed to derive depth-dependent [...] Read more.
This study establishes a direct and quantitative link between field-scale monopile behavior, three-dimensional finite element (FE) modeling, and practical p-y curve formulations for large-diameter offshore monopiles. A validated three-dimensional FE model, benchmarked against a full-scale monopile field test, was employed to derive depth-dependent p-y curves under monotonic lateral loading and to evaluate the applicability of classical formulations proposed by Matlock and Reese. A systematic parametric analysis was performed to investigate the influence of pile diameter, embedment depth, and undrained shear strength of the surrounding soil. The results demonstrate that pile diameter and soil shear strength exert a dominant control on lateral stiffness and ultimate soil reaction, whereas embedment depth has only a minor influence on near-surface p-y behavior within the deep embedment range considered. Increasing the pile diameter leads to a transition from bending-dominated response to rigid-body rotation accompanied by three-dimensional soil wedge formation. Quantitative comparisons show that, at depths of 1–4 m and for working displacement levels of approximately 5–10 mm, FE-derived soil reactions are typically 3.0–4.8 times higher than those predicted by the Matlock formulation, as well as Reese curves. These findings demonstrate that classical p-y methods can significantly underestimate lateral soil resistance for modern large-diameter monopiles and highlight the necessity of calibrated three-dimensional FE analyses or FE-informed p-y modifications for reliable offshore wind turbine foundation design. Full article
Show Figures

Figure 1

17 pages, 1432 KB  
Article
Screening for Peptides to Bind and Functionally Inhibit SARS-CoV-2 Fusion Peptide Using Mirrored Combinatorial Phage Display and Human Proteomic Phage Display
by Ajay Pal, Neeladri Sekhar Roy, Matthew Angeliadis, Priyanka Madhu, Sophie O’Reilly, Indrani Bera, Nathan Francois, Aisling Lynch, Virginie Gautier, Marc Devocelle, David J. O’Connell and Denis C. Shields
Molecules 2026, 31(2), 282; https://doi.org/10.3390/molecules31020282 - 13 Jan 2026
Viewed by 367
Abstract
To identify pancoronaviral inhibitors, we sought to identify peptides that bound the evolutionarily conserved SARS-CoV-2 spike fusion peptide (FP). We screened the NEB PhD-7-mer random combinatorial phage display library against FP, synthesised as a D-peptide, to identify peptides from the L-library to be [...] Read more.
To identify pancoronaviral inhibitors, we sought to identify peptides that bound the evolutionarily conserved SARS-CoV-2 spike fusion peptide (FP). We screened the NEB PhD-7-mer random combinatorial phage display library against FP, synthesised as a D-peptide, to identify peptides from the L-library to be synthesised as proteolytically resistant D peptides. We selected the top ten peptides that were not seen in another published screen with this library, as these were more likely to be specific. All ten D-peptides had no impact on the infection of Vero-E6/TMPRSS2 cells by SARS-CoV-2. Screening of a proteomic-derived phage display library from the disordered regions of human proteins identified two overlapping 14mer peptides from a region of OTUD1. While a synthetic peptide based on their sequences failed to markedly inhibit viral entry, molecular dynamics structural modelling highlighted a stable binding mode where positive residues on one side of the OTUD1 helix interacted with hydrophobic residues of the FP triple-helical wedge. Thus, while the two phage display strategies failed to yield peptide sequences that are themselves strong inhibitors of viral infection, they led to the development of a computational model that can underpin future designs of potential pancoronaviral FP disruptors. Full article
(This article belongs to the Special Issue Bioengineered Peptides and Proteins as Potential Therapeutic Agents)
Show Figures

Figure 1

19 pages, 20423 KB  
Article
Spherical Gravity Inversion Reveals Crustal Structure and Microplate Tectonics in the Caribbean Sea
by Feiyu Zhao, Chunrong Zhan, Junling Pei, Yumin Chen, Mengxue Dai, Bin Hu, Lifu Hou, Zixi Ning and Rongrong Xu
J. Mar. Sci. Eng. 2026, 14(1), 109; https://doi.org/10.3390/jmse14010109 - 5 Jan 2026
Viewed by 396
Abstract
As a convergent zone of multiple plates, the Caribbean Sea and its adjacent areas have experienced a complex tectonic evolution process and are characterized by prominent microplate development. This region provides a natural laboratory for studying the formation mechanism of continental margins, the [...] Read more.
As a convergent zone of multiple plates, the Caribbean Sea and its adjacent areas have experienced a complex tectonic evolution process and are characterized by prominent microplate development. This region provides a natural laboratory for studying the formation mechanism of continental margins, the evolution process of ocean basins, and the tectonics of microplates. However, the crustal structure and microplate tectonics in this region remain unclear due to limitations of conventional planar gravity inversion methods, which neglect the Earth’s curvature in large-scale areas, as well as the uneven coverage of regional seismic networks. To precisely delineate the crustal structure and microplate boundaries in the Caribbean Sea region, this study employs a nonlinear gravity inversion method based on a spherical coordinate system. By utilizing GOCO06s satellite gravity data, ETOPO1 topographic data, and the CRUST1.0 crustal model, we performed inversion calculations for the Moho depth in the Caribbean Sea and its adjacent regions and systematically analyzed the crustal structure and microplate tectonic characteristics of the region. The results indicate that the gravity inversion method in the spherical coordinate system has good applicability in complex tectonic regions. The inversion results show that the Moho depth in the study area generally presents a spatial distribution pattern of “shallow in the central part and deep in the surrounding areas”. Among them, the Moho depth is the largest (>39 km) at the junction of the Northern Andes and the South American Plate, while it is relatively shallow (<6 km) in regions such as the Cayman Trough, the Colombian Basin, and the Venezuelan Basin. Based on the Moho undulation, gravity anomalies, and topographic features, this study divides the Caribbean Sea and its adjacent areas into 22 microplates and identifies three types of microplates, including oceanic, continental, and accretionary. Among them, there are 10 microplates with oceanic crust, 6 with continental crust, and 5 with accretionary crust, while the Northern Andes Microplate exhibits a mixed type. The crustal structure characteristics revealed in this study support the Pacific origin model of the Caribbean Plate, indicating that most of the plate is a component of the ancient Pacific Plate with standard oceanic crust properties. Locally, the Caribbean Large Igneous Province developed due to hotspot activity, and the subsequent eastward drift and tectonic wedging processes collectively shaped the complex modern microplate tectonic framework of this region. This study not only reveals the variation pattern of crustal thickness in the Caribbean Sea region but also provides new geophysical evidence for understanding the lithospheric structure and microplate evolution mechanism in the area. Full article
(This article belongs to the Special Issue Advances in Ocean Plate Motion and Seismic Research)
Show Figures

Figure 1

21 pages, 5119 KB  
Article
Experimental Studies of Strain and Stress Fields in a Granular Medium Under Active Pressure Using DIC and Elasto-Optic Methods
by Magdalena Pietrzak
Materials 2026, 19(1), 172; https://doi.org/10.3390/ma19010172 - 3 Jan 2026
Viewed by 380
Abstract
This study presents a novel experimental methodology enabling the synchronous observation of strain and stress evolution in granular backfill subjected to active earth pressure. A physical model of plane deformation was used in which a rigid retaining wall was gradually moved away from [...] Read more.
This study presents a novel experimental methodology enabling the synchronous observation of strain and stress evolution in granular backfill subjected to active earth pressure. A physical model of plane deformation was used in which a rigid retaining wall was gradually moved away from the ground while simultaneously recording, at each step, both displacement-based images for digital image correlation (DIC) and photoelastic pictures of the force-chain rearrangements. The results show that active failure develops gradually through narrow shear bands, initiated near the wall base and propagating towards the ground surface. A consistent inverse relationship between shear-strain location and photoelastic stress concentration was identified: low-strain zones within the shear wedge in the shear and volumetric strain images correspond to strong force-chain development, whereas high-strain zones (strain localization) correspond to local stress release. These findings provide new experimental evidence regarding the micromechanics of active pressure and offer comparative data for calibrating DEM (discrete element method) models and interpreting the reduced active pressures reported in confined granular backfills. Full article
(This article belongs to the Section Construction and Building Materials)
Show Figures

Figure 1

42 pages, 12905 KB  
Article
Morphostratigraphy and Dating of Last Glacial Loess–Palaeosol Sequences in Northwestern Europe: New Results from the Track of the Seine-Nord Europe Canal Project (Northern France)
by Salomé Vercelot, Pierre Antoine, Maïlys Richard, Emmanuel Vartanian, Sylvie Coutard and David Hérisson
Quaternary 2025, 8(4), 75; https://doi.org/10.3390/quat8040075 - 18 Dec 2025
Viewed by 561
Abstract
The Hermies-Ruyaulcourt site (Pas-de-Calais), investigated within the “Canal Seine-Nord Europe” project, provides an exceptional record of pedosedimentary dynamics throughout the last interglacial-glacial cycle (Eemian–Weichselian). Eight stratigraphic trenches, correlated along 350 m, reveal several pedosedimentary units strongly influenced by local topography. This study combines [...] Read more.
The Hermies-Ruyaulcourt site (Pas-de-Calais), investigated within the “Canal Seine-Nord Europe” project, provides an exceptional record of pedosedimentary dynamics throughout the last interglacial-glacial cycle (Eemian–Weichselian). Eight stratigraphic trenches, correlated along 350 m, reveal several pedosedimentary units strongly influenced by local topography. This study combines sedimentological and micromorphological analyses with optically stimulated luminescence (OSL) dating. For OSL ages, a correction of the water content calculation protocol was developed, accounting for long-term moisture variations during burial. Nine OSL ages from humic horizons of the Early Glacial (MIS 5d-5a) and colluvial deposits of the Lower Pleniglacial (MIS 4) represent the first robust chronological dataset for these periods in northern France. Their internal consistency and agreement with existing thermoluminescence ages on burnt flints support their reliability. Moreover, geomorphological analysis highlights intense erosional phases which are interpreted as rapid permafrost destabilisation events linked to the melting of large ice-wedge networks around 60–55 ka and 30 ka (thermokarst erosion gullies). These investigations thus enable the chronology of the loess–palaeosols and the link with associated climatic events to be refined. This leads to a spatio-temporal model describing the evolution of Last Glacial environments in Western Europe, providing a robust reference for studying the Neanderthal occupation of the area. Full article
Show Figures

Figure 1

23 pages, 7374 KB  
Article
Analysis of Pressure Transfer and Failure Mechanisms of Tunnel Faces Subject to Excess Slurry Pressure
by Peihua Xia, Jianbo Zhang, Ming Gao, Chuantan Hou and Yue Qin
Buildings 2025, 15(23), 4375; https://doi.org/10.3390/buildings15234375 - 2 Dec 2025
Viewed by 357
Abstract
Conventional tunnel face stability models are constrained by idealized steady-state seepage assumptions, one-dimensional formulations for inherently three-dimensional flow, and the neglect of transient filter-cake effects. To address these limitations, this study focuses on blowout failure triggered by excess slurry pressure in slurry pressure [...] Read more.
Conventional tunnel face stability models are constrained by idealized steady-state seepage assumptions, one-dimensional formulations for inherently three-dimensional flow, and the neglect of transient filter-cake effects. To address these limitations, this study focuses on blowout failure triggered by excess slurry pressure in slurry pressure balance shield tunneling. We establish a limit-analysis framework that couples slurry infiltration with transient seepage, developing a work rate-balance formulation and a three-dimensional rotational failure mechanism. This framework incorporates heterogeneous, time-dependent filter-cake pressure transfer and the spatiotemporal evolution of pore pressure—key factors overlooked in traditional models. Transient seepage simulations demonstrate that the spatiotemporal heterogeneity of the dynamic filter cake provides the fundamental pressure basis for blowout failure. A prominent hydraulic gradient within the potential core failure zone (Z/R ≤ 2.0, Y/R ≤ 2.0) drives failure initiation and propagation, with the vertical hydraulic gradient in the high-risk subregion (Z/R < 0.5) reaching values as high as 12. Results indicate that passive failure risk increases markedly when excess slurry pressure exceeds 200 kPa, accompanied by a sharp decline in the safety factor. Validation against the Heinenoord No. 2 Tunnel case confirms that the proposed three-dimensional model more accurately captures 3D seepage characteristics and critical failure pressures compared to traditional wedge–prism approaches. By overcoming steady-state and one-dimensional simplifications, this framework deepens the understanding of blowout evolution and provides theoretical guidance for the rational control of slurry pressure and improved tunnel-face stability assessment under complex transient conditions. Full article
(This article belongs to the Special Issue Solid Mechanics as Applied to Civil Engineering)
Show Figures

Figure 1

11 pages, 868 KB  
Technical Note
A Monte Carlo Simulation Algorithm to Assess Rollout Feasibility in Stepped-Wedge Trials: A Case Study of National CPR Training Kiosk Deployment
by Robert Ohle and Sarah McIsaac
Algorithms 2025, 18(12), 747; https://doi.org/10.3390/a18120747 - 28 Nov 2025
Viewed by 353
Abstract
Background: Stepped-wedge cluster randomized trials (SW-CRTs) are increasingly used to evaluate population-level interventions, but trial validity depends on timely cluster transitions. Rollout feasibility is often assumed rather than modelled. In the context of a planned national trial of CPR training kiosks, we developed [...] Read more.
Background: Stepped-wedge cluster randomized trials (SW-CRTs) are increasingly used to evaluate population-level interventions, but trial validity depends on timely cluster transitions. Rollout feasibility is often assumed rather than modelled. In the context of a planned national trial of CPR training kiosks, we developed a Monte Carlo simulation algorithm to quantify logistical feasibility under uncertainty. Methods: A stochastic Monte Carlo algorithm was implemented to simulate deploying 100 CPR kiosks across eight Canadian cities under four team structures. Inputs included productivity (0.8–1.2 kiosks/day), disruption probabilities (weather, venue access, technical failure, staff illness, transport delays), and cost parameters (salaries, per diems, travel). Each scenario was simulated across 3000 iterations. Outputs included per-city feasibility (p ≤ 60 days), total project duration, and risk–cost trade-offs. Results: Single-team strategies required 9–10 months for full rollout, with winter-exposed cities such as Halifax and Charlottetown having up to 30% probability of exceeding 60 days. Two-team strategies halved rollout time (4–5 months) and achieved >95% on-time rollout across cities. Adding a third onsite staff member reduced risk by 5–15% with modest additional cost (~CAD 1500–2000 per city). Risk–cost analysis identified two teams with three staff as the most reliable strategy. Conclusions: Monte Carlo simulation provides a practical framework for assessing rollout feasibility in SW-CRTs. Applied to CPR kiosk deployment, it highlights the importance of staffing, seasonality, and city-level context. The approach is generalizable to other national interventions requiring phased rollout under uncertainty. Full article
Show Figures

Figure 1

16 pages, 2437 KB  
Article
Efficient Prestress Wedge Flaw Detection Using a Lightweight Computational Framework
by Qingyu Yao, Yulong Guo and Weidong Liu
Sensors 2025, 25(22), 6978; https://doi.org/10.3390/s25226978 - 14 Nov 2025
Viewed by 636
Abstract
Prestressing wedges are critical in bridge and road construction, but flaws in wedge threads lead to severe safety hazards, construction delays, and costly maintenance. Traditional manual inspection remains labor-intensive and inconsistent, particularly under variable illumination and complex surface conditions. However, few studies have [...] Read more.
Prestressing wedges are critical in bridge and road construction, but flaws in wedge threads lead to severe safety hazards, construction delays, and costly maintenance. Traditional manual inspection remains labor-intensive and inconsistent, particularly under variable illumination and complex surface conditions. However, few studies have investigated improving the inspection effectiveness. Therefore, this study aims to propose a lightweight FasterNET-YOLOv5 framework for accurate and robust prestress wedge flaw detection in industrial applications. The framework achieves a detection precision of 96.3%, recall of 96.2, and mAP@0.5 of 96.5 with 18% faster end-to-end inference speed, enabling deployable system configuration on portable or embedded devices, making the approach suitable for real-time industrial inspection. Further practical guidance for workshop inspection illumination conditions was confirmed by robustness evaluations, as white lighting background provides the most balanced performance for incomplete thread and scratch defects. Moreover, a mechanical model-based inverse method was exploited to link the detections from machine vision. The results also demonstrate the potential for broader 3D surface inspection tasks in threaded, machined, and curved components of intelligent, automated, and cost-effective quality control. In general, this research contributes to computational inspection systems by bridging deep learning-based flaw detection with engineering-grade reliability and deployment feasibility. Full article
Show Figures

Figure 1

22 pages, 1522 KB  
Article
Industrial Land Expansion as an Unintended Consequence of Housing Market Regulation: Evidence from China
by Sixuan Li, Hangtian Xu and Wenzhuo Zheng
Land 2025, 14(11), 2228; https://doi.org/10.3390/land14112228 - 11 Nov 2025
Viewed by 834
Abstract
China’s rapid urbanization, characterized by extensive land allocations, operates within a framework of binding quotas imposed by upper-level governments, while local governments exercise broad discretion over the zoning of newly transacted land parcels. In this context, investigating the evolving patterns of land supply [...] Read more.
China’s rapid urbanization, characterized by extensive land allocations, operates within a framework of binding quotas imposed by upper-level governments, while local governments exercise broad discretion over the zoning of newly transacted land parcels. In this context, investigating the evolving patterns of land supply structure during this period is therefore of critical importance. The central government’s 2018 articulation of the “Houses are for living in, not for speculation” (fangzhubuchao) sought to mitigate housing market speculation and curb potential asset bubbles, including through changes to residential land supply. Using a panel of 266 prefecture-level cities across China, this study employs a generalized difference-in-difference model to examine how housing market regulations affect the industrial sector through adjustments in land supply. To capture cross-city variations in local policy interventions, we construct a measure based on the land price wedge between residential (and commercial) and industrial land derived from a hedonic pricing model, which reflects underlying housing market conditions. The results indicate that a reduction in residential land supply caused by these policies results in a corresponding increase in industrial land supply, while the total land supply remains unchanged. These effects are more pronounced in cities with stringent policy regulations and relaxed urban land quotas. The short-term economic outcomes are inadequate. As of 2023, our analysis reveals no substantial increase in either the number of industrial enterprises or the industrial value added, notwithstanding the augmented industrial land supply. Consequently, these findings identify a secondary determinant of industrial location patterns and provide a scientific basis for designing efficient land-use regulations and sustainable urban development strategies. Full article
Show Figures

Figure 1

28 pages, 514 KB  
Article
Dynamic Assessment with AI (Agentic RAG) and Iterative Feedback: A Model for the Digital Transformation of Higher Education in the Global EdTech Ecosystem
by Rubén Juárez, Antonio Hernández-Fernández, Claudia de Barros-Camargo and David Molero
Algorithms 2025, 18(11), 712; https://doi.org/10.3390/a18110712 - 11 Nov 2025
Viewed by 1433
Abstract
This article formalizes AI-assisted assessment as a discrete-time policy-level design for iterative feedback and evaluates it in a digitally transformed higher-education setting. We integrate an agentic retrieval-augmented generation (RAG) feedback engine—operationalized through planning (rubric-aligned task decomposition), tool use beyond retrieval (tests, static/dynamic analyzers, [...] Read more.
This article formalizes AI-assisted assessment as a discrete-time policy-level design for iterative feedback and evaluates it in a digitally transformed higher-education setting. We integrate an agentic retrieval-augmented generation (RAG) feedback engine—operationalized through planning (rubric-aligned task decomposition), tool use beyond retrieval (tests, static/dynamic analyzers, rubric checker), and self-critique (checklist-based verification)—into a six-iteration dynamic evaluation cycle. Learning trajectories are modeled with three complementary formulations: (i) an interpretable update rule with explicit parameters η and λ that links next-step gains to feedback quality and the gap-to-target and yields iteration-complexity and stability conditions; (ii) a logistic-convergence model capturing diminishing returns near ceiling; and (iii) a relative-gain regression quantifying the marginal effect of feedback quality on the fraction of the gap closed per iteration. In a Concurrent Programming course (n=35), the cohort mean increased from 58.4 to 91.2 (0–100), while dispersion decreased from 9.7 to 5.8 across six iterations; a Greenhouse–Geisser corrected repeated-measures ANOVA indicated significant within-student change. Parameter estimates show that higher-quality, evidence-grounded feedback is associated with larger next-step gains and faster convergence. Beyond performance, we engage the broader pedagogical question of what to value and how to assess in AI-rich settings: we elevate process and provenance—planning artifacts, tool-usage traces, test outcomes, and evidence citations—to first-class assessment signals, and outline defensible formats (trace-based walkthroughs and oral/code defenses) that our controller can instrument. We position this as a design model for feedback policy, complementary to state-estimation approaches such as knowledge tracing. We discuss implications for instrumentation, equity-aware metrics, reproducibility, and epistemically aligned rubrics. Limitations include the observational, single-course design; future work should test causal variants (e.g., stepped-wedge trials) and cross-domain generalization. Full article
Show Figures

Figure 1

45 pages, 10023 KB  
Article
Path Planning for Autonomous Vehicle Control in Analogy to Supersonic Compressible Fluid Flow—An Obstacle Avoidance Scenario in Vehicular Traffic Flow
by Kasra Amini and Sina Milani
Future Transp. 2025, 5(4), 173; https://doi.org/10.3390/futuretransp5040173 - 10 Nov 2025
Cited by 1 | Viewed by 724
Abstract
There have been many attempts to model the flow of vehicular traffic in analogy to the flow of fluids. Given the evident change in distance between vehicles driving in platoons, the compressibility of traffic flow is inferred and, considering the reaction time-scales of [...] Read more.
There have been many attempts to model the flow of vehicular traffic in analogy to the flow of fluids. Given the evident change in distance between vehicles driving in platoons, the compressibility of traffic flow is inferred and, considering the reaction time-scales of the driver (human or autonomous), it is argued that this compressibility is increased as relative velocities increase—giving the lag in imposed redirection by the driver and the controller units a higher relative importance. Therefore, a supersonic compressible flow field has been opted for as the most analogous base flow. On this point, added to by the overall extreme similarities of the two above-mentioned flows, the non-dimensional group of the traffic Mach number MT has been defined in the present research, providing the possibility of calculating a suggested flow field and its corresponding shockwave systems, for any given obstacle ahead of the traffic flow. This suggested flow field is then taken as the basis to obtain trajectories designed for avoiding collision with the obstacle, and in compliance with the physics of the underlying analogous fluid flow phenomena, namely the internal supersonic compressible flow around a double wedge. It should be noted that herein we do not model the traffic flow but propose these trajectories for more optimal collision avoidance, and therefore the above-mentioned similarities (explained in detail in the manuscript) suffice, without the need to rely on full analogies between the two flows. The manuscript further analyzes the applicability of the proposed analogy in the path-planning process for an autonomous passenger vehicle, through dynamics and control of a full-planar vehicle model with an autonomous path-tracking controller. Simulations are performed using realistic vehicle parameters and the results show that the fluid flow analogy is compatible with the vehicle dynamics, as it is able to follow the target path generated by fluid flow calculations with minor deviations. Simulation results demonstrate that the proposed method produces smooth and dynamically consistent trajectories that remain stable under varying traffic scenarios. The controller achieves accurate path tracking and rapid convergence, confirming the feasibility of the fluid-flow analogy for real-time vehicle control. Full article
Show Figures

Figure 1

31 pages, 7690 KB  
Article
CFD-DEM Analysis of Floating Ice Accumulation and Dynamic Flow Interaction in a Coastal Nuclear Power Plant Pump House
by Shilong Li, Chao Zhan, Qing Wang, Yan Li, Zihao Yang and Ziqing Ji
J. Mar. Sci. Eng. 2025, 13(11), 2122; https://doi.org/10.3390/jmse13112122 - 10 Nov 2025
Viewed by 543
Abstract
A coupled CFD-DEM model was adopted to investigate the floating ice accumulation mechanism and its disturbance to the flow field in the pump house of coastal nuclear power plants in cold regions. Based on numerical simulations, the motion, accumulation, and flow interaction characteristics [...] Read more.
A coupled CFD-DEM model was adopted to investigate the floating ice accumulation mechanism and its disturbance to the flow field in the pump house of coastal nuclear power plants in cold regions. Based on numerical simulations, the motion, accumulation, and flow interaction characteristics of floating ice under various release positions and heights were analyzed. The results indicate that the release height significantly governs the accumulation morphology and hydraulic response. The release height critically determines ice accumulation patterns and hydraulic responses. For inlet scenarios, lower heights induce a dense, wedge-shaped accumulation at the coarse trash rack, increasing thickness by 57.69% and shifting the accumulation 38.16% inlet-ward compared to higher releases. Conversely, higher releases enhance dispersion, expanding disturbances to the central pump house and intensifying flow heterogeneity. In bottom release cases, lower heights form wall-adhering accumulations, while higher releases cause ice to rise into mid-upper layers, thereby markedly intensifying local vortices (peak intensity 79.68, approximately 300% higher). Spatial release locations induce 2.7–4.8-fold variations in flow disturbance intensity across monitoring points. These findings clarify the combined impact of the release height and location on the ice accumulation and flow field dynamics, offering critical insights for the anti-ice design and flow safety assessment of pump houses. Full article
(This article belongs to the Section Coastal Engineering)
Show Figures

Figure 1

Back to TopTop