Sign in to use this feature.

Years

Between: -

Subjects

remove_circle_outline
remove_circle_outline
remove_circle_outline
remove_circle_outline
remove_circle_outline
remove_circle_outline
remove_circle_outline
remove_circle_outline
remove_circle_outline

Journals

remove_circle_outline
remove_circle_outline
remove_circle_outline
remove_circle_outline

Article Types

Countries / Regions

remove_circle_outline
remove_circle_outline
remove_circle_outline
remove_circle_outline

Search Results (454)

Search Parameters:
Keywords = wearable assistive device

Order results
Result details
Results per page
Select all
Export citation of selected articles as:
20 pages, 931 KB  
Review
Exercise-Based Mechanotherapy: From Biomechanical Principles and Mechanotransduction to Precision Regenerative Rehabilitation
by Guang-Zhen Jin
Int. J. Mol. Sci. 2026, 27(2), 694; https://doi.org/10.3390/ijms27020694 - 9 Jan 2026
Viewed by 71
Abstract
Mechanical loading generated during physical activity and exercise is a fundamental determinant of musculoskeletal development, adaptation, and regeneration. Exercise-based mechanotherapy, encompassing structured movement, resistance training, stretching, and device-assisted loading, has evolved from empirical rehabilitation toward mechanism-driven and precision-oriented therapeutic strategies. At the macroscopic [...] Read more.
Mechanical loading generated during physical activity and exercise is a fundamental determinant of musculoskeletal development, adaptation, and regeneration. Exercise-based mechanotherapy, encompassing structured movement, resistance training, stretching, and device-assisted loading, has evolved from empirical rehabilitation toward mechanism-driven and precision-oriented therapeutic strategies. At the macroscopic level, biomechanical principles governing load distribution, stress–strain relationships, and tissue-specific adaptation provide the physiological basis for exercise-induced tissue remodeling. At the molecular level, mechanical cues are transduced into biochemical signals through conserved mechanotransduction pathways, including integrin–FAK–RhoA/ROCK signaling, mechanosensitive ion channels such as Piezo, YAP/TAZ-mediated transcriptional regulation, and cytoskeleton–nucleoskeleton coupling. These mechanisms orchestrate extracellular matrix (ECM) remodeling, cellular metabolism, and regenerative responses across bone, cartilage, muscle, and tendon. Recent advances in mechanotherapy leverage these biological insights to promote musculoskeletal tissue repair and regeneration, while emerging engineering innovations, including mechanoresponsive biomaterials, 4D-printed dynamic scaffolds, and artificial intelligence-enabled wearable systems, enable mechanical loading to be quantified, programmable, and increasingly standardized for individualized application. Together, these developments position exercise-informed precision mechanotherapy as a central strategy for prescription-based regenerative rehabilitation and long-term musculoskeletal health. Full article
Show Figures

Graphical abstract

28 pages, 3931 KB  
Review
Smart Digital Environments for Monitoring Precision Medical Interventions and Wearable Observation and Assistance
by Adel Razek and Lionel Pichon
Technologies 2026, 14(1), 40; https://doi.org/10.3390/technologies14010040 - 6 Jan 2026
Viewed by 118
Abstract
Various recurring medical events encourage innovative patient well-being through connected health strategies based on an elegant digital environment that prioritizes safety, comfort, and beneficial outcomes for both patients and medical staff. This narrative review article aims to investigate and highlight the potential of [...] Read more.
Various recurring medical events encourage innovative patient well-being through connected health strategies based on an elegant digital environment that prioritizes safety, comfort, and beneficial outcomes for both patients and medical staff. This narrative review article aims to investigate and highlight the potential of advanced, reliable, high-precision, and secure medical observation and intervention missions. These involve a smart digital environment integrating smart materials combined with smart digital monitoring. These medical implications concern robotic surgery and drug delivery through image-assisted implantation, as well as wearable observation and assistive tools. The former requires high-precision motion and positioning strategies, while the latter enables sensing, diagnosis, monitoring, and central task assistance. Both advocate minimally invasive or noninvasive procedures and precise supervision through autonomously controlled processes with staff participation. The article analyzes the requirements and evolution of medical interventions, robotic actuation technologies for positioning actuated and self-moving instances, monitoring of image-assisted robotic procedures using digital twins and augmented digital tools, and wearable medical detection and assistance devices. A discussion including future research perspectives and conclusions complete the article. The different themes addressed in the proposed paper, although self-sufficient, are supported by examples of the literature, allowing a deeper understanding. Full article
Show Figures

Figure 1

36 pages, 1927 KB  
Review
Research on Control Strategy of Lower Limb Exoskeleton Robots: A Review
by Xin Xu, Changbing Chen, Zuo Sun, Wenhao Xian, Long Ma and Yingjie Liu
Sensors 2026, 26(2), 355; https://doi.org/10.3390/s26020355 - 6 Jan 2026
Viewed by 214
Abstract
With an aging population and the high incidence of neurological diseases, rehabilitative lower limb exoskeleton robots, as a wearable assistance device, present important application prospects in gait training and human function recovery. As the core of human–computer interaction, control strategy directly determines the [...] Read more.
With an aging population and the high incidence of neurological diseases, rehabilitative lower limb exoskeleton robots, as a wearable assistance device, present important application prospects in gait training and human function recovery. As the core of human–computer interaction, control strategy directly determines the exoskeleton’s ability to perceive and respond to human movement intentions. This paper focuses on the control strategies of rehabilitative lower limb exoskeleton robots. Based on the typical hierarchical control architecture of “perception–decision–execution,” it systematically reviews recent research progress centered around four typical control tasks: trajectory reproduction, motion following, Assist-As-Needed (AAN), and motion intention prediction. It emphasizes analyzing the core mechanisms, applicable scenarios, and technical characteristics of different control strategies. Furthermore, from the perspectives of drive system and control coupling, multi-source perception, and the universality and individual adaptability of control algorithms, it summarizes the key challenges and common technical constraints currently faced by control strategies. This article innovatively separates the end-effector control strategy from the hardware implementation to provide support for a universal control framework for exoskeletons. Full article
Show Figures

Figure 1

21 pages, 1183 KB  
Article
LLM-Assisted Explainable Daily Stress Recognition: Physiologically Grounded Threshold Rules from PPG Features
by Yekta Said Can
Electronics 2026, 15(1), 201; https://doi.org/10.3390/electronics15010201 - 1 Jan 2026
Viewed by 199
Abstract
Stress has become one of the most pervasive health challenges in modern societies, contributing to cardiovascular, cognitive, and emotional disorders that degrade overall well-being and productivity. Continuous monitoring of stress in everyday settings is thus critical for preventive healthcare. Recent advances in wearable [...] Read more.
Stress has become one of the most pervasive health challenges in modern societies, contributing to cardiovascular, cognitive, and emotional disorders that degrade overall well-being and productivity. Continuous monitoring of stress in everyday settings is thus critical for preventive healthcare. Recent advances in wearable sensing technologies, particularly photoplethysmography (PPG)-based devices, have enabled unobtrusive measurement of physiological signals linked to stress. However, the analysis of such data increasingly relies on deep learning models whose complex and non-transparent decision mechanisms limit clinical interpretability and user trust. To address this gap, this study introduces a novel LLM-assisted explainable framework that combines data-driven analysis of photoplethysmography (PPG) features with physiological reasoning. First, handcrafted cardiac variability features such as Root Mean Square of Successive Differences (RMSSD), high-frequency (HF) power, and the percentage of successive NN intervals differing by more than 50 ms (pNN50) are extracted from wearable PPG signals collected in daily conditions. After algorithmic threshold selection via ROC–Youden analysis, an LLM is used solely for physiological interpretation and literature-based justification of the resulting rules. The resulting transparent rule set achieves approximately 75% binary accuracy, rivaling CNN, LSTM, Transformer, and traditional ML baselines, while maintaining full interpretability and physiological validity. This work demonstrates that LLMs can function as scientific reasoning companions, bridging raw biosignal analytics with explainable, evidence-based models—marking a new step toward trustworthy affective computing. Full article
Show Figures

Figure 1

17 pages, 4376 KB  
Article
Optimal Design of Geared Joint for Semi-Active Knee Aid
by Takehito Kikuchi, Kanta Omori, Miyu Fujisawa and Isao Abe
Actuators 2026, 15(1), 15; https://doi.org/10.3390/act15010015 - 29 Dec 2025
Viewed by 176
Abstract
Knee flexion refers to the relative motion between the tibia and femur including rolling and sliding (rollback motion). Notwithstanding the individual variations in knee motion, conventional wearable knee-assistive devices use hinge joints—resulting in nonnegligible mismatched movements, particularly during deep flexion. Therefore, we proposed [...] Read more.
Knee flexion refers to the relative motion between the tibia and femur including rolling and sliding (rollback motion). Notwithstanding the individual variations in knee motion, conventional wearable knee-assistive devices use hinge joints—resulting in nonnegligible mismatched movements, particularly during deep flexion. Therefore, we proposed a biomimetic knee joint (BKJ) that adapts to individual knee motion. A polycentric BKJ, integrating two gears with different radii, was designed to match the trajectory of the rotational axes of the knee. In this study, we developed a semi-active polycentric BKJ (SA-BKJ) incorporating an adjustable reaction-force mechanism (ARFM). In the ARFM, the combined spring constant can be adjusted using a shape-memory alloy actuator owing to its compact size, lightweight nature, and low energy consumption. In addition, the geared joint of the SA-BKJ (which integrates two gears with different radii) was designed to match the average trajectory of the rotational axes of the knee (of 22 healthy men). Applying the genetic algorithm, the radius of the femur and tibia gears were determined to be 25.5 and 40.0 mm. Misalignments of the designed SA-BKJ were measured in three healthy male participants. The error measurements averaged 20 degrees in the control device and 10 degrees in the optimized device. These results indicated that the optimized gears of the SA-BKJ totally reduced the misalignment. Full article
Show Figures

Figure 1

29 pages, 8564 KB  
Review
Comprehensive Review on DNA Hydrogels and DNA Origami-Enabled Wearable and Implantable Biosensors
by Man Li and Joonho Bae
Biosensors 2025, 15(12), 819; https://doi.org/10.3390/bios15120819 - 18 Dec 2025
Viewed by 710
Abstract
DNA nanoparticles have emerged as potent platforms for wearable and implantable biosensors owing to their molecular programmability, biocompatibility, and structural precision. This study delineates two principal categories of DNA-based sensing materials, DNA hydrogels and DNA origami, and encapsulates their fabrication methodologies, sensing mechanisms, [...] Read more.
DNA nanoparticles have emerged as potent platforms for wearable and implantable biosensors owing to their molecular programmability, biocompatibility, and structural precision. This study delineates two principal categories of DNA-based sensing materials, DNA hydrogels and DNA origami, and encapsulates their fabrication methodologies, sensing mechanisms, and applications at the device level. DNA hydrogels serve as pliable, aqueous signal transduction mediums exhibiting stimulus-responsive characteristics, facilitating applications such as sweat-based cytokine detection with limits of detection as low as pg·mL−1 and microneedle-integrated hydrogels for femtomolar miRNA sensing. DNA origami offers nanometer-scale spatial precision that improves electrochemical, optical, and plasmonic biosensing, as shown by origami-facilitated luminous nucleic acid detection and ultrasensitive circulating tumor DNA assays with fM-level sensitivity. Emerging integration technologies, such as flexible electronics, microfluidics, and wireless readout, are examined, alongside prospective developments in AI-assisted DNA design and materials produced from synthetic biology. This study offers a thorough and practical viewpoint on the progression of DNA nanotechnology for next-generation wearable and implantable biosensing devices. Full article
(This article belongs to the Section Wearable Biosensors)
Show Figures

Figure 1

14 pages, 638 KB  
Article
A Low-Cost Head-Controlled and Sip-and-Puff Mouse: System Design and Preliminary Findings
by Rodrigo Duarte, Nuno Vieira Lopes and Paulo Jorge Coelho
Electronics 2025, 14(24), 4953; https://doi.org/10.3390/electronics14244953 - 17 Dec 2025
Viewed by 319
Abstract
This work introduces a low-cost, wearable assistive mouse designed to support digital interaction for individuals with motor impairments. The system combines inertial sensing for head-movement tracking and a pressure-based interface for simulating mouse clicks via “sip-and-puff” actions. The device enables full mouse control [...] Read more.
This work introduces a low-cost, wearable assistive mouse designed to support digital interaction for individuals with motor impairments. The system combines inertial sensing for head-movement tracking and a pressure-based interface for simulating mouse clicks via “sip-and-puff” actions. The device enables full mouse control (pointer movement, clicks, and double-clicks) without relying on hand mobility. Preliminary evaluations, conducted with input from occupational therapy professionals, demonstrated promising usability and functionality comparable to commercial devices. The proposed solution offers a cost-effective, open-source alternative to existing adaptive technologies, with future development aimed at broader testing and integration in rehabilitation settings. Future work will include usability testing with individuals presenting real motor impairments to validate clinical applicability. Full article
(This article belongs to the Special Issue Assistive Technology: Advances, Applications and Challenges)
Show Figures

Graphical abstract

27 pages, 6994 KB  
Article
A Wearable System for Knee Osteoarthritis: Based on Multimodal Physiological Signal Assessment and Intelligent Rehabilitation
by Jingyi Hu, Shuyi Wang, Yichun Shen and Xinrong Miao
Sensors 2025, 25(23), 7334; https://doi.org/10.3390/s25237334 - 2 Dec 2025
Viewed by 1127
Abstract
Knee osteoarthritis (KOA), a common degenerative joint disease, affects a large patient population and poses significant challenges in early diagnosis and rehabilitation. Achieving precise assessment of knee function and efficient home-based intelligent rehabilitation is crucial for alleviating pain, slowing disease progression, and improving [...] Read more.
Knee osteoarthritis (KOA), a common degenerative joint disease, affects a large patient population and poses significant challenges in early diagnosis and rehabilitation. Achieving precise assessment of knee function and efficient home-based intelligent rehabilitation is crucial for alleviating pain, slowing disease progression, and improving patients’ quality of life. This study proposes a smart wearable knee function assessment based on multimodal physiological signals and a rehabilitation system. The system integrates surface electromyography (sEMG), pressure sensors, and an inertial measurement unit (IMU) to synchronously capture gait, posture, and muscle activity. It quantifies knee function by extracting gait and EMG features. Additionally, a wearable massage device driven by airbags was designed and implemented to simulate the traditional Chinese medicine “seated knee-adjustment method” and deliver precise intelligent rehabilitation interventions. Experimental results validated the system’s accuracy in functional assessment and reliability in rehabilitation assistance. The average relative error in gait feature extraction was below 8%, while the massage head displacement error remained within clinically acceptable ranges. By integrating multimodal sensing technology with intelligent rehabilitation devices, this system offers KOA patients a convenient, efficient, and sustainable home-based rehabilitation solution with strong clinical application potential and promotional value. Full article
(This article belongs to the Special Issue Wearable Physiological Sensors for Smart Healthcare)
Show Figures

Figure 1

20 pages, 5515 KB  
Article
Characterizing Everyday Locomotion Behaviors in Persons with Lower Limb Loss: A Month-Long Wearable Sensor Study
by Julian C. Acasio, Yisen Wang, Katherine Heidi Fehr, Brad D. Hendershot and Peter G. Adamczyk
Appl. Sci. 2025, 15(23), 12757; https://doi.org/10.3390/app152312757 - 2 Dec 2025
Viewed by 304
Abstract
Monitoring mobility outcomes in real-world environments can provide a distinct perspective compared to traditional outcome measures obtained in laboratory or clinical settings, which may be limited by environmental factors or behavioral modification. Here, we present an ecologically valid framework for collecting mobility outcomes [...] Read more.
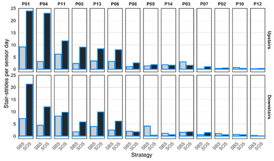
Monitoring mobility outcomes in real-world environments can provide a distinct perspective compared to traditional outcome measures obtained in laboratory or clinical settings, which may be limited by environmental factors or behavioral modification. Here, we present an ecologically valid framework for collecting mobility outcomes in everyday life by utilizing prosthesis-mounted wearable sensors. The custom sensor suite, consisting of five inertial measurement units, GPS, and environmental sensors, was worn by 14 individuals with unilateral transtibial amputation for approximately 4 weeks each. Across the monitoring period, 49,577 ± 30,468 (mean ± SD) strides were identified per participant (~10.2 sensor-hours per day). Strides were characterized according to walking bout duration, with most walking observed in relatively short walking bouts (<30 s) at slow walking speeds (~0.5 m/s). Turns were identified and characterized by magnitude, direction, strides, and time taken to complete. The percentage of prosthetic-inside turns was around 50% for less than 90° turns, but higher turn angles showed bias toward prosthetic-outside turns, on average. Most individual participants showed bias toward one direction or the other. Participants also averaged ~28.3 stair-steps per sensor-day. Stair-steps were biased toward upstairs (vs. downstairs) walking and toward step-over-step (vs. step-by-step) strategies. Collectively, these data provide a uniquely detailed evaluation of locomotion behaviors among persons with lower limb loss in everyday living. Future work could utilize the ecological framework described here for establishing functional benchmarks, assisting with device prescription, and otherwise guiding long-term care for optimizing mobility outcomes and quality of life after lower limb loss. Full article
(This article belongs to the Section Applied Biosciences and Bioengineering)
Show Figures

Figure 1

39 pages, 16826 KB  
Review
Recent Developments in Pneumatic Artificial Muscle Actuators
by Aliya Zhagiparova, Vladimir Golubev and Daewon Kim
Actuators 2025, 14(12), 582; https://doi.org/10.3390/act14120582 - 1 Dec 2025
Cited by 1 | Viewed by 1692
Abstract
Pneumatic Artificial Muscles (PAMs) are soft actuators that mimic the contractile behavior of biological muscles through fluid-driven deformation. Originating from McKibben’s 1950s braided design, PAMs have evolved into a diverse class of actuators, offering high power-to-weight ratios, compliance, and safe human interaction, with [...] Read more.
Pneumatic Artificial Muscles (PAMs) are soft actuators that mimic the contractile behavior of biological muscles through fluid-driven deformation. Originating from McKibben’s 1950s braided design, PAMs have evolved into a diverse class of actuators, offering high power-to-weight ratios, compliance, and safe human interaction, with applications spanning rehabilitation, assistive robotics, aerospace, and adaptive structures. This review surveys recent developments in actuation mechanisms and applications of PAMs. Traditional designs, including braided, pleated, netted, and embedded types, remain widely used but face challenges such as hysteresis, limited contraction, and nonlinear control. To address these limitations, researchers have introduced non-traditional mechanisms such as vacuum-powered, inverse, foldable, origami-based, reconfigurable, and hybrid PAMs. These innovations improve the contraction range, efficiency, control precision, and integration into compact or untethered systems. This review also highlights applications beyond conventional biomechanics and automation, including embodied computation, deployable aerospace systems, and adaptive architecture. Collectively, these advances demonstrate PAMs’ expanding role as versatile soft actuators. Ongoing research is expected to refine material durability, control strategies, and multifunctionality, enabling the next generation of wearable devices, soft robots, and energy-efficient adaptive systems. Full article
(This article belongs to the Special Issue Advanced Technologies in Soft Actuators—2nd Edition)
Show Figures

Figure 1

17 pages, 2613 KB  
Article
Twisted and Coiled Artificial Muscle-Based Dynamic Fixing System for Wearable Robotics Applications
by Simone Leone, Salvatore Garofalo, Chiara Morano, Michele Perrelli, Luigi Bruno and Giuseppe Carbone
Actuators 2025, 14(12), 581; https://doi.org/10.3390/act14120581 - 1 Dec 2025
Viewed by 530
Abstract
Wearable robotic devices for rehabilitation and assistive applications face a critical challenge: discomfort induced by prolonged pressure at the human–robot interface. Conventional attachment systems with static straps or rigid cuffs frequently exceed pain tolerance thresholds, limiting clinical acceptance and patient adherence. This study [...] Read more.
Wearable robotic devices for rehabilitation and assistive applications face a critical challenge: discomfort induced by prolonged pressure at the human–robot interface. Conventional attachment systems with static straps or rigid cuffs frequently exceed pain tolerance thresholds, limiting clinical acceptance and patient adherence. This study presents a novel dynamic pressure modulation system using thermally activated Twisted and Coiled Artificial Muscles (TCAMs). The system integrates a lightweight lattice structure (0.1 kg) with biocompatible silicone coating incorporating two TCAMs fabricated from silver-coated nylon 6,6 fibers (Shieldex 235/36 × 4 HCB). Electrothermal activation via 2 A constant current induces axial contraction, dynamically regulating circumferential pressure from 0.05 kgf/cm2 to 0.50 kgf/cm2 within physiological comfort ranges. Experimental validation on a wrist-worn prototype demonstrates precise pressure control, rapid response (5–10 s), and thermal safety through 8 mm Ecoflex insulation. The system enables on-demand interface stiffening during robotic actuation and controlled pressure release during rest periods, significantly enhancing comfort and device tolerability. This approach represents a promising solution for clinically viable wearable robotic devices supporting upper limb rehabilitation and activities of daily living. Full article
(This article belongs to the Special Issue Recent Advances in Soft Actuators, Robotics and Intelligence)
Show Figures

Figure 1

32 pages, 9289 KB  
Review
Wearable Electrochemical Biosensors for Monitoring and Management of Chronic Wounds
by Lingxia Zuo, Yinbing Liu, Jianrong Zhang, Linlin Wang and Jun-Jie Zhu
Biosensors 2025, 15(12), 785; https://doi.org/10.3390/bios15120785 - 1 Dec 2025
Viewed by 1637
Abstract
Chronic wounds constitute a major global public health challenge, characterized by a high risk of infection, prolonged healing times, and frequent recurrence. Conventional wound assessment methods, which primarily rely on visual clinical inspection and laboratory-based analyses, are limited by inherent subjectivity, delayed feedback, [...] Read more.
Chronic wounds constitute a major global public health challenge, characterized by a high risk of infection, prolonged healing times, and frequent recurrence. Conventional wound assessment methods, which primarily rely on visual clinical inspection and laboratory-based analyses, are limited by inherent subjectivity, delayed feedback, and a lack of capacity for real-time monitoring of the dynamic biochemical changes at the wound site. Significantly, recent advancements in flexible electronics, nanomaterials, and energy harvesting technologies have boosted the rapid development of wearable electrochemical biosensors. These devices have emerged as a transformative platform for the continuous, non-invasive analysis of critical biomarkers within the wound microenvironment, including pH, temperature, inflammatory cytokines, metabolites, and pathogen-derived molecules. This review critically examines the latest progress in wearable electrochemical biosensors for wound monitoring and management. Key discussions include (1) the special requirements for sensor design, targeting the chronic wound’s pathological characteristics; (2) cutting-edge development in self-powered systems, multimodal sensor integration, closed-loop theranostics, and artificial intelligence (AI)-assisted decision-making; and (3) a critical appraisal of challenges in accuracy, stability, biocompatibility, energy management, and clinical translation. Finally, the review explores future trends, such as biodegradable sensors, multi-parameter fusion algorithms, and remote intelligent management systems, with the aim of establishing a foundational framework and providing technical guidance for developing next-generation intelligent wound care solutions. Full article
(This article belongs to the Special Issue Wearable Sensors and Systems for Continuous Health Monitoring)
Show Figures

Figure 1

20 pages, 4449 KB  
Article
eHealth Literacy, Attitudes, and Willingness to Use an Artificial Intelligence-Assisted Wearable OTC-EHR System for Self-Medication: An Empirical Study Exploring AI Interventions
by Guyue Tang, Zhidiankui Xu and Shinichi Koyama
Systems 2025, 13(12), 1070; https://doi.org/10.3390/systems13121070 - 27 Nov 2025
Viewed by 651
Abstract
Over-the-counter medication electronic health records (OTC-EHRs) play a significant role in users’ self-medication practices. In this study, we consider the potential advantages of wearable smart devices in health management, along with the information processing capabilities of artificial intelligence (AI), and we propose a [...] Read more.
Over-the-counter medication electronic health records (OTC-EHRs) play a significant role in users’ self-medication practices. In this study, we consider the potential advantages of wearable smart devices in health management, along with the information processing capabilities of artificial intelligence (AI), and we propose a conceptual design for an AI-assisted wearable OTC-EHR system. Our objective was to systematically explore the relationship between eHealth literacy, users’ attitudes, and willingness to use the proposed system, as well as to discuss AI interventions. Internet users from China participated in an online survey examining eHealth literacy, subjective attitudes, and motivation to use this conceptual design. Descriptive statistical, correlation, difference, and regression analyses were conducted on 372 valid responses to test the research hypotheses. The results showed that the wearable-device-based OTC-EHR system with AI assistance was accepted by most responders and positively associated with eHealth literacy, which was, in turn, associated with decision-making preferences. This study suggests that AI may be perceived as an auxiliary tool for medication-related decision-making and is associated with the degree of eHealth literacy. Individuals with higher eHealth literacy are more likely to make autonomous decisions, whereas those with lower literacy will potentially rely more on AI support and professional guidance. Full article
(This article belongs to the Section Systems Practice in Social Science)
Show Figures

Figure 1

24 pages, 369 KB  
Review
Atrial Fibrillation in COVID-19: Mechanisms, Clinical Impact, and Monitoring Strategies
by Ewelina Młynarska, Katarzyna Hossa, Natalia Krupińska, Hanna Pietruszewska, Aleksandra Przybylak, Kinga Włudyka, Jacek Rysz and Beata Franczyk
Biomedicines 2025, 13(12), 2889; https://doi.org/10.3390/biomedicines13122889 - 26 Nov 2025
Viewed by 1024
Abstract
The coronavirus disease 2019 (COVID-19) pandemic has revealed a close and multifaceted relationship between viral infection, systemic inflammation, and cardiovascular health. Among the cardiac complications of severe acute respiratory syndrome coronavirus 2 (SARS-CoV-2), atrial fibrillation (AF)—especially new-onset atrial fibrillation (NOAF)—has emerged as a [...] Read more.
The coronavirus disease 2019 (COVID-19) pandemic has revealed a close and multifaceted relationship between viral infection, systemic inflammation, and cardiovascular health. Among the cardiac complications of severe acute respiratory syndrome coronavirus 2 (SARS-CoV-2), atrial fibrillation (AF)—especially new-onset atrial fibrillation (NOAF)—has emerged as a major determinant of disease severity and prognosis. Clinical studies and meta-analyses show that 5–10% of hospitalized COVID-19 patients develop AF, with markedly higher rates in critically ill individuals. Both pre-existing and NOAF are independently associated with increased risks of intensive care admission, mechanical ventilation, thromboembolic events, and mortality. The underlying mechanisms involve a combination of cytokine-mediated inflammation, endothelial dysfunction, microvascular injury, and dysregulation of the renin–angiotensin–aldosterone system (RAAS). Viral downregulation of angiotensin-converting enzyme 2 (ACE2) receptors contributes to myocardial fibrosis, while hypoxia, oxidative stress, and autonomic imbalance further promote electrical remodeling and arrhythmogenesis. Post-infectious studies indicate that atrial structural changes and autonomic dysfunction may persist for months, predisposing survivors to recurrent arrhythmias. Technological advances in telecardiology and digital medicine have provided new tools for early detection and long-term monitoring. Wearable electroencephalography (ECG) devices, implantable loop recorders (ILRs), and artificial intelligence (AI)-based diagnostic algorithms enable continuous rhythm surveillance and individualized management, improving outcomes in post-COVID patients. This review summarizes current evidence on the epidemiology, pathophysiology, clinical implications, and monitoring strategies of AF in COVID-19. It underscores the importance of integrating telemedicine and AI-assisted diagnostics into cardiovascular care to mitigate the long-term arrhythmic and systemic consequences of SARS-CoV-2 infection. Full article
(This article belongs to the Special Issue Advanced Research in Atrial Fibrillation)
Show Figures

Graphical abstract

24 pages, 5717 KB  
Article
A Paralleled Multi-Task Learning-Based Framework for Single-Lead ECG Fine-Grained Noise Localization, Denoising and Signal Quality Assessment
by Yating Hu, Qing Liu, Zheng Zhou, Weize Xu and Hong Tang
Sensors 2025, 25(23), 7152; https://doi.org/10.3390/s25237152 - 23 Nov 2025
Viewed by 734
Abstract
Wearable ECG monitoring devices have become indispensable in personalized healthcare. However, dynamic signal acquisition during daily activities often introduces transient noise, which complicates signal classification and denoising, and may compromise diagnostic reliability. To address this challenge, this study proposes an ECG preprocessing framework [...] Read more.
Wearable ECG monitoring devices have become indispensable in personalized healthcare. However, dynamic signal acquisition during daily activities often introduces transient noise, which complicates signal classification and denoising, and may compromise diagnostic reliability. To address this challenge, this study proposes an ECG preprocessing framework based on multi-task learning, in which a fine-grained noise localization task is introduced to guide and assist both ECG signal quality assessment and denoising. Built upon a Transformer backbone and optimized with three task-specific loss functions, the proposed model leveraged weak supervision and pathological ECG data to learn robust noise-invariant representations. This design incorporates intra-class awareness, enabling the model to overcome various noise within the same quality category and to perform adaptive denoising beyond conventional inter-class-based approaches. Extensive experiments demonstrated state-of-the-art performance in both denoising and quality assessment, with weighted average F1-scores ranging from 95.72% to 98.49% and classification accuracy exceeding 95.68%. Moreover, under extremely severe noise conditions, the signal-to-noise ratio (SNR) is improved from −1.95 ± 3.83 dB to 12.20 ± 2.51 dB while preserving waveform fidelity. After pruning and quantization, the model could be effectively compressed, thereby enhancing its suitability for real-time deployment in edge computing scenarios. Overall, the proposed method not only preserved diagnostically important ECG waveforms and provided interpretable noise localization but also offers an efficient and clinically relevant solution for large-scale, real-time ECG monitoring. Full article
Show Figures

Figure 1

Back to TopTop