Sign in to use this feature.

Years

Between: -

Subjects

remove_circle_outline
remove_circle_outline
remove_circle_outline
remove_circle_outline
remove_circle_outline
remove_circle_outline
remove_circle_outline
remove_circle_outline
remove_circle_outline

Journals

remove_circle_outline
remove_circle_outline
remove_circle_outline
remove_circle_outline
remove_circle_outline
remove_circle_outline
remove_circle_outline
remove_circle_outline
remove_circle_outline
remove_circle_outline
remove_circle_outline
remove_circle_outline
remove_circle_outline
remove_circle_outline
remove_circle_outline
remove_circle_outline
remove_circle_outline
remove_circle_outline
remove_circle_outline
remove_circle_outline

Article Types

Countries / Regions

remove_circle_outline
remove_circle_outline
remove_circle_outline
remove_circle_outline
remove_circle_outline
remove_circle_outline
remove_circle_outline
remove_circle_outline
remove_circle_outline
remove_circle_outline

Search Results (4,010)

Search Parameters:
Keywords = water level monitoring

Order results
Result details
Results per page
Select all
Export citation of selected articles as:
27 pages, 5789 KB  
Article
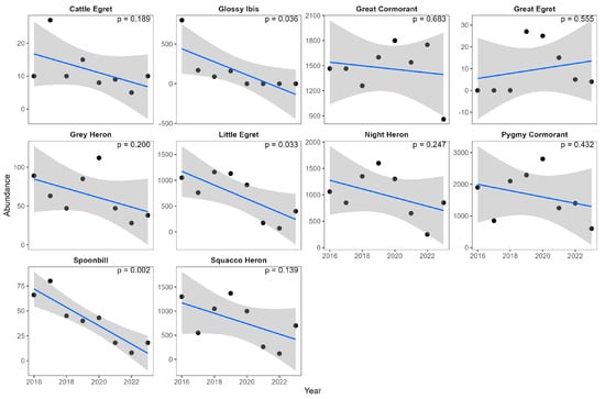
Environmental Drivers of Waterbird Colonies’ Dynamic in the Danube Delta Biosphere Reserve Under the Context of Climate and Hydrological Change
by Constantin Ion, Vasile Jitariu, Lucian Eugen Bolboacă, Pavel Ichim, Mihai Marinov, Vasile Alexe and Alexandru Doroșencu
Birds 2026, 7(1), 6; https://doi.org/10.3390/birds7010006 - 26 Jan 2026
Abstract
Climate change and altered hydrological regimes are restructuring wetland habitats globally, triggering cascading effects on colonial waterbirds. This study investigates how environmental drivers, including thermal anomalies, water-level fluctuations, and aqueous surface extent, influence the distribution and size of waterbird colonies (Ardeidae, [...] Read more.
Climate change and altered hydrological regimes are restructuring wetland habitats globally, triggering cascading effects on colonial waterbirds. This study investigates how environmental drivers, including thermal anomalies, water-level fluctuations, and aqueous surface extent, influence the distribution and size of waterbird colonies (Ardeidae, Threskiornithidae, and Phalacrocoracidae) in the Danube Delta Biosphere Reserve. We integrated colony census data (2016–2023) with remote-sensing-derived habitat metrics, in situ meteorological and hydrological measurements to model colony abundance dynamics. Our results indicate that elevated early spring temperatures and water level variability are the primary determinants of numerical population dynamics. Spatial analysis revealed a heterogeneous response to hydrological stress: while the westernmost colony exhibited high site fidelity due to its proximity to persistent aquatic surfaces, the central colonies suffered severe declines or local extirpation during extreme drought periods (2020–2022). A discernible eastward shift in bird assemblages was observed toward zones with superior hydrological connectivity and proximity to anthropogenic hubs, suggesting an adaptive spatial response that was consistent with behavioral flexibility. We propose an adaptive management framework prioritizing sustainable solutions for maintaining minimum lacustrine water levels to preserve critical foraging zones. This integrative framework highlights the pivotal role of remote sensing in transitioning from reactive monitoring to predictive conservation of deltaic ecosystems. Full article
(This article belongs to the Special Issue Resilience of Birds in Changing Environments)
Show Figures

Graphical abstract

28 pages, 2082 KB  
Article
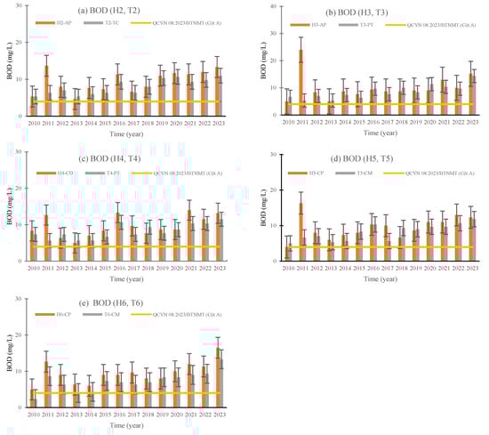
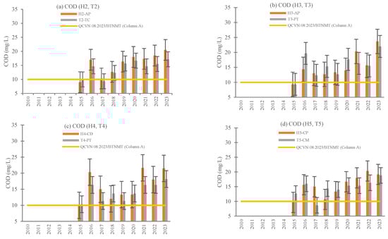
Detecting the Impacts of Climate and Hydrological Changes on the Lower Mekong River Based on Water Quality Variables: A Case Study of an An Giang, Vietnam
by Nguyen Xuan Lan, Pham Thi My Lan, Tran Van Ty, Nguyen Thanh Giao and Huynh Vuong Thu Minh
Earth 2026, 7(1), 16; https://doi.org/10.3390/earth7010016 - 26 Jan 2026
Abstract
This study evaluates the spatiotemporal variations in surface water quality in An Giang province, a key upstream region of the Vietnamese Mekong Delta (VMD), under the influence of hydrological alterations and climate change impacts. Water quality data from 2010 to 2023 were collected [...] Read more.
This study evaluates the spatiotemporal variations in surface water quality in An Giang province, a key upstream region of the Vietnamese Mekong Delta (VMD), under the influence of hydrological alterations and climate change impacts. Water quality data from 2010 to 2023 were collected from 10 monitoring stations along the Tien and Hau Rivers, focusing on key parameters including pH, temperature, Dissolved Oxygen (DO), Total Suspended Solids (TSS), Biological Oxygen Demand (BOD), Chemical Oxygen Demand (COD), Ammonium (N-NH4+), Nitrate (NO3), orthophosphate (P-PO43−), and Coliforms. The Mann–Kendall test and Sen’s slope estimator were employed to detect long-term trends and quantify the magnitude of changes. The findings indicated that the Hau River exhibits significant organic pollution, evidenced by elevated levels of BOD and COD, alongside diminished levels of DO. The Tien River exhibits elevated concentrations of NH4+ and total suspended solids (TSS). The MK test indicated that BOD, COD, and NH4+ levels were increasing at most locations in a statistically significant manner. This indicates that the water quality deteriorated over time. The study revealed that the majority of pollutants exhibited statistically significant increasing trends (p ≤ 0.05). The Tien River’s COD is increasing by 1.6 mg/L annually, whereas the Hau River’s COD is escalating by 1.7 mg/L per year. The biochemical oxygen demand on both rivers is increasing by 0.5 mg/L each year. The diminishing quantities of dissolved oxygen indicated a decline in water quality. Pollutant concentrations demonstrated significant positive associations with maximum temperature (r = 0.47–0.64) and hours of sunshine (r ≈ 0.50–0.64). A significant negative correlation with river discharge was observed, particularly during the dry season (r = −0.79 to −0.88), when diminished flows resulted in elevated pollution concentrations. The findings offer measurable evidence that increasing temperatures and decreasing river flows significantly affect water quality, underscoring the necessity of adapting water resource management in the Mekong Delta. Full article
Show Figures

Figure 1

23 pages, 3420 KB  
Article
Design of a Wireless Monitoring System for Cooling Efficiency of Grid-Forming SVG
by Liqian Liao, Jiayi Ding, Guangyu Tang, Yuanwei Zhou, Jie Zhang, Hongxin Zhong, Ping Wang, Bo Yin and Liangbo Xie
Electronics 2026, 15(3), 520; https://doi.org/10.3390/electronics15030520 - 26 Jan 2026
Abstract
The grid-forming static var generator (SVG) is a key device that supports the stable operation of power grids with a high penetration of renewable energy. The cooling efficiency of its forced water-cooling system directly determines the reliability of the entire unit. However, existing [...] Read more.
The grid-forming static var generator (SVG) is a key device that supports the stable operation of power grids with a high penetration of renewable energy. The cooling efficiency of its forced water-cooling system directly determines the reliability of the entire unit. However, existing wired monitoring methods suffer from complex cabling and limited capacity to provide a full perception of the water-cooling condition. To address these limitations, this study develops a wireless monitoring system based on multi-source information fusion for real-time evaluation of cooling efficiency and early fault warning. A heterogeneous wireless sensor network was designed and implemented by deploying liquid-level, vibration, sound, and infrared sensors at critical locations of the SVG water-cooling system. These nodes work collaboratively to collect multi-physical field data—thermal, acoustic, vibrational, and visual information—in an integrated manner. The system adopts a hybrid Wireless Fidelity/Bluetooth (Wi-Fi/Bluetooth) networking scheme with electromagnetic interference-resistant design to ensure reliable data transmission in the complex environment of converter valve halls. To achieve precise and robust diagnosis, a three-layer hierarchical weighted fusion framework was established, consisting of individual sensor feature extraction and preliminary analysis, feature-level weighted fusion, and final fault classification. Experimental validation indicates that the proposed system achieves highly reliable data transmission with a packet loss rate below 1.5%. Compared with single-sensor monitoring, the multi-source fusion approach improves the diagnostic accuracy for pump bearing wear, pipeline micro-leakage, and radiator blockage to 98.2% and effectively distinguishes fault causes and degradation tendencies of cooling efficiency. Overall, the developed wireless monitoring system overcomes the limitations of traditional wired approaches and, by leveraging multi-source fusion technology, enables a comprehensive assessment of cooling efficiency and intelligent fault diagnosis. This advancement significantly enhances the precision and reliability of SVG operation and maintenance, providing an effective solution to ensure the safe and stable operation of both grid-forming SVG units and the broader power grid. Full article
(This article belongs to the Section Industrial Electronics)
Show Figures

Figure 1

40 pages, 47197 KB  
Article
Remote Sensing and GIS Assessment of Drought Dynamics in the Ukrina River Basin, Bosnia and Herzegovina
by Luka Sabljić, Davorin Bajić, Slobodan B. Marković, Dragutin Adžić, Velibor Spalevic, Paul Sestraș, Dragoslav Pavić and Tin Lukić
Atmosphere 2026, 17(2), 124; https://doi.org/10.3390/atmos17020124 - 24 Jan 2026
Viewed by 153
Abstract
The subject of this research is the exploration of the potential of remote sensing and Geographic Information Systems (GIS) for basin-scale spatio-temporal monitoring of drought and its impacts in the Ukrina River Basin, Bosnia and Herzegovina (BH), during the last decade (2015–2024). The [...] Read more.
The subject of this research is the exploration of the potential of remote sensing and Geographic Information Systems (GIS) for basin-scale spatio-temporal monitoring of drought and its impacts in the Ukrina River Basin, Bosnia and Herzegovina (BH), during the last decade (2015–2024). The aim is to integrate meteorological, hydrological, agricultural, and socio-economic drought signals and to delineate areas of long-term drought exposure. Meteorological drought was evaluated using CHIRPS precipitation and the Standardized Precipitation Index (SPI) calculated at 1-, 3-, 6-, and 12- month accumulation scales using Gamma fitting and a fixed long term reference period; hydrological drought was examined using available water-level records complemented by the Standardized Water Level Index (SWLI) and supported by correspondence with standardized ERA5-Land runoff anomalies; agricultural drought was mapped using remote sensing indices—the Temperature Condition Index (TCI), Vegetation Condition Index (VCI), and Vegetation Health Index (VHI)—calculated from MODIS satellite data; and socio-economic effects were assessed using municipal crop-production statistics (2015–2019). The results indicate that drought conditions were most pronounced in 2015, 2017, 2021, and especially 2022, showing consistent agreement between precipitation deficits, hydrological responses, and vegetation stress, while 2016, 2018–2020, 2023, and 2024 were generally more favorable. As a key novelty, a persistent drought-prone zone was delineated by intersecting drought-affected areas across major episodes, providing a basin-scale identification of chronic drought hotspots for a river basin in BH. The persistent zone covers 40.02% of the basin and spans nine cities and municipalities, with >93% located in Prnjavor, Derventa, Stanari, and Teslić. Hotspots are concentrated mainly in lowlands below 400 m a.s.l., with a statistically significant concentration across lower elevation classes, indicating higher long-term exposure in the central and northern valley sectors, and land use overlay further highlights high relative exposure of productive land. Overall, the integrated remote sensing and GIS framework strengthens drought monitoring by providing spatially explicit and repeatable evidence to support targeted adaptation planning and drought-risk management. Full article
Show Figures

Figure 1

31 pages, 3361 KB  
Article
An Earth Observation Data-Driven Investigation of Algal Blooms in Utah Lake: Statistical Analysis of the Effects of Turbidity and Water Temperature
by Kaylee B. Tanner, Anna C. Cardall, Jacob B. Taggart and Gustavious P. Williams
Remote Sens. 2026, 18(3), 394; https://doi.org/10.3390/rs18030394 - 24 Jan 2026
Viewed by 53
Abstract
We analyzed six years (2019–2025) of Sentinel-2 and Moderate Resolution Imaging Spectroradiometer (MODIS) imagery to quantify how turbidity and water temperature relate to algal blooms in Utah Lake. We generated satellite-derived estimates of chlorophyll-a (chl-a), turbidity, and surface temperature at 600 randomly distributed [...] Read more.
We analyzed six years (2019–2025) of Sentinel-2 and Moderate Resolution Imaging Spectroradiometer (MODIS) imagery to quantify how turbidity and water temperature relate to algal blooms in Utah Lake. We generated satellite-derived estimates of chlorophyll-a (chl-a), turbidity, and surface temperature at 600 randomly distributed sample points. Using generalized least squares models, we found that temperature and turbidity explain only a small fraction of the variance in chl-a (temperature coefficients 0.02–0.03; turbidity coefficients −0.18–0.42), and the strength and sign of correlations vary by location. Despite weak linear correlations, we identified a strong nonlinear pattern: 94% of intense bloom events (chl-a > 87 µg/L) occurred when turbidity was below 120 Nephelometric Turbidity Units (NTU), indicating that blooms more often form under low-turbidity conditions. We also found that the first mild blooms of the season (chl-a > 34 µg/L) typically occurred five days after the largest short-term temperature increase (3–12 °C/day) at a given location, but only when blooms first appeared in April. These results suggest that Utah Lake blooms may be light-limited, with turbidity constraining algal growth that would otherwise occur in response to high nutrient levels, while temperature spikes influence early-season bloom initiation. Our findings have direct implications for monitoring and management strategies that target algal blooms on Utah Lake. Full article
(This article belongs to the Section Remote Sensing in Geology, Geomorphology and Hydrology)
Show Figures

Figure 1

17 pages, 1995 KB  
Article
Enhanced Settlement Thickening of Tailings Slurry by Ultrasonic Treatment: Optimization of Application Timing and Power and Insight into the Underlying Mechanism
by Liyi Zhu, Zhao Wei, Peng Yang, Xiaofei Qiao, Penglin Lang, Zhengbin Li, Kun Wang, Wensheng Lyu and Jialu Zeng
Minerals 2026, 16(2), 124; https://doi.org/10.3390/min16020124 - 23 Jan 2026
Viewed by 80
Abstract
Efficient thickening of unclassified tailings slurry (UTS) is critical for enhancing mine backfill efficiency and reducing operational costs. Ultrasonic technology has emerged as a promising approach to facilitating the solid–liquid separation process in such slurries. In this study, systematic experiments were conducted using [...] Read more.
Efficient thickening of unclassified tailings slurry (UTS) is critical for enhancing mine backfill efficiency and reducing operational costs. Ultrasonic technology has emerged as a promising approach to facilitating the solid–liquid separation process in such slurries. In this study, systematic experiments were conducted using a 20 kHz ultrasonic concentrator. The effects of ultrasonic treatment timing (applied at 0, 5, 10, 15, 20, 25, 30, and 35 min during free settling) and power (50 to 400 W in eight levels) were investigated by monitoring the solid–liquid interface settling velocity and underflow concentration. The key findings are as follows: Ultrasonic application at the 5 min mark yielded the optimal thickening performance, increasing the final mass concentration by 1.3% compared to free settling alone. The average settling velocity generally increased with ultrasonic power (with the exception of 50 W), and the final underflow concentration exhibited a steady rise. Notably, the 400 W treatment induced a significant settlement acceleration, attributed to the formation of drainage channels. Mechanistic analysis revealed that these drainage channels undergo a dynamic process of formation, expansion, contraction, and closure, driven by ultrasonically induced directional water migration, particle compaction, and energy boundary effects. This research not only enriches the theoretical framework of ultrasonic-assisted thickening but also provides practical insights for optimizing mine backfill operations. Full article
(This article belongs to the Special Issue Advances in Mine Backfilling Technology and Materials, 2nd Edition)
17 pages, 1550 KB  
Article
Vegetative and Reproductive Responses from Full Sunlight to Shade of a Pantropical Herbaceous Plant in Caatinga Vegetation
by Bruno Ayron de Souza Aguiar, Elda Simone dos Santos Soares, José Djalma de Souza, Júlia Arruda Simões, Danielle Melo dos Santos, Vanessa Kelly Rodrigues de Araujo, Josiene Maria Falcão Fraga dos Santos, Clarissa Gomes Reis Lopes and Elcida de Lima Araújo
Forests 2026, 17(2), 153; https://doi.org/10.3390/f17020153 - 23 Jan 2026
Viewed by 62
Abstract
Herbaceous plants from dry forests respond to different levels of light availability over time and space through strategies that promote their establishment and survival. This study aimed to evaluate the tolerance of the perennial herb Talinum triangulare (Jacq.) Willd., which is pantropically distributed [...] Read more.
Herbaceous plants from dry forests respond to different levels of light availability over time and space through strategies that promote their establishment and survival. This study aimed to evaluate the tolerance of the perennial herb Talinum triangulare (Jacq.) Willd., which is pantropically distributed and forms dense populations in the Caatinga, under varying light availabilities. The treatments applied were full sun and 70%, 50%, and 30% light availability, each with 30 replicates. Vegetative, reproductive, and phenological responses were monitored over six months, during which the plant’s reproductive cycle was completed and water availability was higher. In T100, plants showed greater height, diameter, leaf production, flowers, fruits, and seeds. In contrast, reduced light availability led to lower values in these traits but resulted in increased leaf area, seed viability, and higher fruit/flower and seed/fruit ratios as compensatory responses. These findings suggest that higher light availability increases the establishment success of the studied species, although reduced light does not necessarily limit its reproductive success. The study highlights its adaptability to different light conditions and its potential for continued population expansion in dry tropical forests, despite fluctuations in light availability. Full article
(This article belongs to the Section Forest Ecophysiology and Biology)
18 pages, 2151 KB  
Article
Silent Waterborne Carriers of Carbapenem-Resistant Gram-Negative Bacilli and Antimicrobial Resistance Genes in Rio de Janeiro’s Aquatic Ecosystems
by Laura Brandão Martins, Marcos Tavares Carneiro, Kéren Vieira-Alcântara, Thiago Pavoni Gomes Chagas and Viviane Zahner
Antibiotics 2026, 15(2), 115; https://doi.org/10.3390/antibiotics15020115 - 23 Jan 2026
Viewed by 87
Abstract
Background/Objectives: Water pollution caused by human activities disrupts ecosystems and promotes the spread of antimicrobial resistance genes (ARGs), posing a public health threat. This study investigated the presence of resistant Gram-negative bacteria and resistance genes in water from two sites occasionally exposed [...] Read more.
Background/Objectives: Water pollution caused by human activities disrupts ecosystems and promotes the spread of antimicrobial resistance genes (ARGs), posing a public health threat. This study investigated the presence of resistant Gram-negative bacteria and resistance genes in water from two sites occasionally exposed to domestic and hospital effluents, the Carioca River (CR) and Rodrigo de Freitas Lagoon (RFL), both used for recreation. Methods: Physicochemical parameters and coliform levels were measured. Bacterial isolates were identified by Matrix-Assisted Laser Desorption Ionization–Time-of-Flight Mass Spectrometry (MALDI-TOF MS) and tested for antimicrobial susceptibility using disk diffusion. The Minimum Inhibitory Concentration (MIC) was determined using the E-test® and broth microdilution methods. PCR was used to detect carbapenem resistance and other ARGs from the DNA of bacterial isolates obtained from water samples. Results: CR presented signs of environmental degradation, with low dissolved oxygen and high coliform counts. One Citrobacter braakii isolate showed resistance to all tested antimicrobials, raising concern for untreatable infections. Carbapenem-resistant isolates accounted for 49.4% of the total, harboring blaKPC (20%), blaTEM (5%), blaVIM (5%), and blaSPM (5%). The intl1 gene was found in 10% of isolates, indicating potential horizontal gene transfer. Conclusions: The findings from a one-day sampling reveal the presence of multidrug-resistant bacteria that carry antimicrobial resistance genes in polluted aquatic systems. These highlight the connection between water contamination and antimicrobial resistance. The evidence underscores the urgent need for environmental monitoring and effective management strategies to reduce public health risks. Full article
Show Figures

Figure 1

30 pages, 24852 KB  
Article
Multi-Source Remote Sensing Data-Driven Susceptibility Mapping of Retrogressive Thaw Slumps in the Yangtze River Source Region
by Yun Tian, Taorui Zeng, Qing Lü, Hongwei Jiang, Sihan Yang, Hang Cao and Wenbing Yu
Remote Sens. 2026, 18(3), 380; https://doi.org/10.3390/rs18030380 - 23 Jan 2026
Viewed by 87
Abstract
Despite the ecological sensitivity of the Yangtze River Source Region (YRSR), the current research critically lacks a quantified assessment of the spatial occurrence probability of Retrogressive Thaw Slumps (RTSs) in this specific high-altitude terrain. This study aims to bridge this knowledge gap by [...] Read more.
Despite the ecological sensitivity of the Yangtze River Source Region (YRSR), the current research critically lacks a quantified assessment of the spatial occurrence probability of Retrogressive Thaw Slumps (RTSs) in this specific high-altitude terrain. This study aims to bridge this knowledge gap by establishing a robust susceptibility assessment framework to accurately model the spatial distribution and risk levels of RTSs. The innovations of this research include (i) the construction of a complete and up-to-date 2024 RTS inventory for the entire YRSR based on high-resolution optical remote sensing; (ii) the integration of time-series spectral features (e.g., vegetation and moisture trends) alongside static topographic variables to enhance the physical interpretability of machine learning models; and (iii) the application of advanced ensemble learning algorithms combined with SHAP analysis to establish a comprehensive RTS susceptibility zonation. The results reveal a rapid intensification of instability, evidenced by an 83.5% surge in RTS abundance, with the CatBoost model achieving exceptional accuracy (AUC = 0.994), and identifying that specific static topographic factors (particularly elevations between 4693 and 4812 m and north-to-east aspect) and dynamic spectral anomalies (indicated by declining vegetation vigor and increasing surface wetness) are the dominant drivers controlling RTS distribution. This study provides essential baseline data and spatial guidance for ecological conservation and engineering maintenance in the Asian Water Tower, demonstrating a highly effective paradigm for monitoring permafrost hazards under climate warming. Full article
(This article belongs to the Special Issue Landslide Detection Using Machine and Deep Learning)
Show Figures

Figure 1

15 pages, 854 KB  
Article
Altered Environmental Conditions Affect Responses to the Green Leaf Volatile Z-3-Hexenol in Zea mays
by Marie Engelberth and Jurgen Engelberth
Plants 2026, 15(3), 342; https://doi.org/10.3390/plants15030342 - 23 Jan 2026
Viewed by 88
Abstract
Green leaf volatiles (GLVs) are significant volatile signals that have been shown to protect plants against biotic and abiotic stresses, including insect herbivory and pathogen infections, as well as drought, cold, and heat stress. Since all these stresses are affected by climate change, [...] Read more.
Green leaf volatiles (GLVs) are significant volatile signals that have been shown to protect plants against biotic and abiotic stresses, including insect herbivory and pathogen infections, as well as drought, cold, and heat stress. Since all these stresses are affected by climate change, GLVs provide an important target for research into their broad activities and their potential applications in agricultural settings. Therefore, to gain further insights into the protective properties of GLVs and their regulation under changing environmental conditions, we investigated whether climate-related changes alter the capacity to produce and the responsiveness to GLVs in Zea mayss, our model plant. Specifically, we studied the effects of limited nutrient supply, drought, and higher temperature. Neither significantly affected the capacity of plants to produce Z-3-hexenal as the first metabolite of the pathway, but elevated temperature increased E-2-hexenal production. We further identified changes in the effectiveness of plants to respond to GLVs under changing abiotic conditions by monitoring glucose levels and typical GLV-responsive genes covering metabolism, direct defense, indirect defense, and water stress. The results provide first evidence that plant responses to GLVs under defined environmentally challenging and stressful conditions are highly context-dependent and can vary substantially. Full article
(This article belongs to the Special Issue Plants 2025—from Seeds to Food Security)
Show Figures

Figure 1

12 pages, 893 KB  
Proceeding Paper
Real-Time Pollutant Forecasting Using Edge–AI Fusion in Wastewater Treatment Facilities
by Siva Shankar Ramasamy, Vijayalakshmi Subramanian, Leelambika Varadarajan and Alwin Joseph
Eng. Proc. 2025, 117(1), 31; https://doi.org/10.3390/engproc2025117031 - 22 Jan 2026
Viewed by 64
Abstract
Wastewater treatment is one of the major challenges in the reuse of water as a natural resource. Cleaning of water depends on analyzing and treating the water for the pollutants that have a significant impact on the quality of the water. Detecting and [...] Read more.
Wastewater treatment is one of the major challenges in the reuse of water as a natural resource. Cleaning of water depends on analyzing and treating the water for the pollutants that have a significant impact on the quality of the water. Detecting and analyzing the surges of these pollutants well before the recycling process is needed to make intelligent decisions for water cleaning. The dynamic changes in pollutants need constant monitoring and effective planning with appropriate treatment strategies. We propose an edge-computing-based smart framework that captures data from sensors, including ultraviolet, electrochemical, and microfluidic, along with other significant sensor streams. The edge devices send the data from the cluster of sensors to a centralized server that segments anomalies, analyzes the data and suggests the treatment plan that is required, which includes aeration, dosing adjustments, and other treatment plans. A logic layer is designed at the server level to process the real-time data from the sensor clusters and identify the discharge of nutrients, metals, and emerging contaminants in the water that affect the quality. The platform can make decisions on water treatments using its monitoring, prediction, diagnosis, and mitigation measures in a feedback loop. A rule-based Large Language Model (LLM) agent is attached to the server to evaluate data and trigger required actions. A streamlined data pipeline is used to harmonize sensor intervals, flag calibration drift, and store curated features in a local time-series database to run ad hoc analyses even during critical conditions. A user dashboard has also been designed as part of the system to show the recommendations and actions taken. The proposed system acts as an AI-enabled system that makes smart decisions on water treatment, providing an effective cleaning process to improve sustainability. Full article
Show Figures

Figure 1

15 pages, 2514 KB  
Article
Seasonal Shifts in Water Utilization Strategies of Typical Desert Plants in a Desert Oasis Revealed by Hydrogen and Oxygen Stable Isotopes and Leaf δ13C
by Yang Wang, Wenze Li, Wei Cai, Nan Bai, Jiaqi Wang and Yu Hong
Plants 2026, 15(2), 340; https://doi.org/10.3390/plants15020340 - 22 Jan 2026
Viewed by 56
Abstract
Understanding seasonal water acquisition strategies of desert plants is critical for predicting vegetation resilience under increasing hydrological stress in arid inland river basins. In hyper-arid oases, strong evaporative demand and declining groundwater levels impose tightly coupled constraints on plant water uptake across soil–plant–atmosphere [...] Read more.
Understanding seasonal water acquisition strategies of desert plants is critical for predicting vegetation resilience under increasing hydrological stress in arid inland river basins. In hyper-arid oases, strong evaporative demand and declining groundwater levels impose tightly coupled constraints on plant water uptake across soil–plant–atmosphere continua. In this study, we combined hydrogen and oxygen stable isotopes, Bayesian mixing models, soil moisture measurements and groundwater monitoring, and leaf δ13C analysis to quantify monthly water-source contributions and long-term water-use efficiency of three dominant species (Reaumuria soongarica, Tamarix ramosissima, and Populus euphratica) in the Ejina Oasis. Clear ecohydrological niche differentiation was evident among the three species. R. soongarica exhibited moderate temporal flexibility by integrating shallow and deep soil water with episodic groundwater use, whereas T. ramosissima adopted a vertically integrated and hydraulically plastic strategy combining precipitation, multi-depth soil water, and groundwater. In contrast, P. euphratica followed a conservative strategy, relying predominantly on deep soil water with only minor and transient inputs from precipitation and groundwater. Across species and seasons, deep vadose-zone soil water (120–200 cm) consistently acted as the most stable and influential reservoir, buffering seasonal drought and sustaining transpiration. T. ramosissima maintained the highest intrinsic water-use efficiency, and P. euphratica exhibited consistently lower efficiency associated with sustained access to stable deep soil water. These contrasting strategies reveal multiple pathways of hydraulic stability and plasticity that underpin vegetation persistence under progressive groundwater depletion. By linking water-source partitioning with physiological regulation, this study provides a mechanistic basis for understanding plant water-use strategies and informs ecological water management and species-specific restoration in hyper-arid inland oases. Full article
(This article belongs to the Section Plant–Soil Interactions)
Show Figures

Figure 1

20 pages, 6904 KB  
Article
Natural Mineral Waters as Solvents for Sustainable Extraction of Polyphenolic Compounds from Aronia Stems
by Irina-Loredana Ifrim, Ionuț Avătămăniței, Oana-Irina Patriciu, Cristina-Gabriela Grigoraș and Adriana-Luminița Fînaru
Foods 2026, 15(2), 406; https://doi.org/10.3390/foods15020406 - 22 Jan 2026
Viewed by 48
Abstract
Aronia melanocarpa, a plant with nutrient-rich fruits, with application in the food and pharmaceutical industry, has been extensively investigated but, nevertheless, the exploration of the secondary metabolites profile from its by-products remains quite limited. The main objective of this study was to evaluate [...] Read more.
Aronia melanocarpa, a plant with nutrient-rich fruits, with application in the food and pharmaceutical industry, has been extensively investigated but, nevertheless, the exploration of the secondary metabolites profile from its by-products remains quite limited. The main objective of this study was to evaluate the possibility of using some different natural mineral waters from Romania, as green solvents, for the extraction of bioactive compounds from aronia stems and fruits by applying eco-compatible working techniques (maceration for 24 h, and ultrasonication at room temperature and 50 °C for 30 min). The effect of five natural mineral waters (one with medium and four with low mineral content) on the extraction capacity and phytochemical profile of stems and fruits’ extracts was monitored using fast and efficient analysis techniques (electrochemical, spectroscopic, and chromatographic) and compared with that of classical solvents. The results showed that, in the case of stems, extraction by maceration was, for all types of water used, the most efficient, followed by ultrasonication at room temperature. Also, at the same time, in most cases, all mineral waters showed better performance than distilled water, and the highest efficiency of the extraction process was recorded for natural water with a medium mineralization level. The similarity observed in the phytochemical profiles of aqueous extracts from the aronia stems and the fruits highlights both the potential of this by-product as a source of bioactive compounds and the efficiency of natural mineral waters as green extraction solvents. Full article
Show Figures

Figure 1

24 pages, 5216 KB  
Article
Characterizing L-Band Backscatter in Inundated and Non-Inundated Rice Paddies for Water Management Monitoring
by Go Segami, Kei Oyoshi, Shinichi Sobue and Wataru Takeuchi
Remote Sens. 2026, 18(2), 370; https://doi.org/10.3390/rs18020370 - 22 Jan 2026
Viewed by 48
Abstract
Methane emissions from rice paddies account for over 11% of global atmospheric CH4, making water management practices such as Alternate Wetting and Drying (AWD) critical for climate change mitigation. Remote sensing offers an objective approach to monitoring AWD implementation and improving [...] Read more.
Methane emissions from rice paddies account for over 11% of global atmospheric CH4, making water management practices such as Alternate Wetting and Drying (AWD) critical for climate change mitigation. Remote sensing offers an objective approach to monitoring AWD implementation and improving greenhouse gas estimation accuracy. This study investigates the backscattering mechanisms of L-band SAR for inundation/non-inundation classification in paddy fields using full-polarimetric ALOS-2 PALSAR-2 data. Field surveys and satellite observations were conducted in Ryugasaki (Ibaraki) and Sekikawa (Niigata), Japan, collecting 1360 ground samples during the 2024 growing season. Freeman–Durden decomposition was applied, and relationships with plant height and water level were analyzed. The results indicate that plant height strongly influences backscatter, with backscattering contributions from the surface decreasing beyond 70 cm, reducing classification accuracy. Random forest models can classify inundated and non-inundated fields with up to 88% accuracy when plant height is below 70 cm. However, when using this method, it is necessary to know the plant height. Volume scattering proved robust to incidence angle and observation direction, suggesting its potential for phenological monitoring. These findings highlight the effectiveness of L-band SAR for water management monitoring and the need for integrating crop height estimation and regional adaptation to enhance classification performance. Full article
Show Figures

Figure 1

13 pages, 59409 KB  
Article
Water Quality and Sediment Microbial Community Differences Between Sea Urchin Monoculture and Sea Urchin–Shrimp IMTA Systems
by Cuicui Wang, Yongyao Guo, Xinli Gu, Nshimiyimana Elisee, Bingbing Jiang and Bo Zhao
Water 2026, 18(2), 268; https://doi.org/10.3390/w18020268 - 21 Jan 2026
Viewed by 128
Abstract
Integrated multi-trophic aquaculture (IMTA) has emerged as an ecological intensification strategy capable of enhancing nutrient utilization and improving environmental stability in mariculture systems, yet the microbial mechanisms driving nutrient transformations remain insufficiently understood. This study investigated how culture mode (IMTA vs. monoculture) shape [...] Read more.
Integrated multi-trophic aquaculture (IMTA) has emerged as an ecological intensification strategy capable of enhancing nutrient utilization and improving environmental stability in mariculture systems, yet the microbial mechanisms driving nutrient transformations remain insufficiently understood. This study investigated how culture mode (IMTA vs. monoculture) shape water quality, sediment microbial communities, and nutrient cycling processes in a shrimp–sea urchin system by combining water-quality monitoring, nutrient analysis, 16S rRNA high-throughput sequencing, and redundancy analysis. IMTA significantly increased turbidity, chlorophyll-a, phosphate, ammonium, and nitrite compared with monoculture, while physico-chemical parameters remained stable. Sediment microbiota in IMTA exhibited substantially higher alpha diversity and showed a clear compositional separation from monoculture communities. At the genus level, IMTA sediments were enriched in Vibrio, Motilimonas, and Ruegeria, distinguishing them from monoculture systems. At the phylum level, IMTA was characterized by increased abundances of Proteobacteria and Bacteroidota, accompanied by a marked decline in Spirochaetota. Functional predictions indicated that microbial communities were predominantly characterized by pathways related to amino acid and carbohydrate metabolism, as well as nutrient remineralization. RDA and correlation analyses further identified turbidity, chlorophyll-a, phosphate, ammonium, and nitrite as the principal drivers of microbial divergence. Overall, the findings demonstrate that IMTA reshapes sediment microbial communities toward more efficient nutrient-processing assemblages, thereby promoting active nitrogen and phosphorus transformations and improving biogeochemical functioning relative to monoculture. These results provide mechanistic insight into how IMTA supports nutrient recycling and environmental sustainability in modern mariculture systems. Full article
(This article belongs to the Section Water, Agriculture and Aquaculture)
Show Figures

Figure 1

Back to TopTop