Sign in to use this feature.

Years

Between: -

Subjects

remove_circle_outline
remove_circle_outline
remove_circle_outline
remove_circle_outline
remove_circle_outline
remove_circle_outline
remove_circle_outline
remove_circle_outline

Journals

Article Types

Countries / Regions

Search Results (27)

Search Parameters:
Keywords = waste animal fat-oil biodiesel

Order results
Result details
Results per page
Select all
Export citation of selected articles as:
25 pages, 5318 KB  
Review
Physical, Chemical, and Performance Properties of Biodiesel Fuels: A Comparative Study of Lipid-Based Feedstocks
by Sergii Boichenko, Anna Yakovlieva, Stepan Zubenko and Iryna Shkilniuk
Energies 2025, 18(16), 4274; https://doi.org/10.3390/en18164274 - 11 Aug 2025
Viewed by 2502
Abstract
Contemporary climate challenges and energy security issues once again demonstrate that the transition to alternative motor fuels is a key and priority task for ensuring sustainable development in European Union countries, as well as in Ukraine. This review provides a comparative analysis of [...] Read more.
Contemporary climate challenges and energy security issues once again demonstrate that the transition to alternative motor fuels is a key and priority task for ensuring sustainable development in European Union countries, as well as in Ukraine. This review provides a comparative analysis of the physical, chemical, and performance properties of biodiesel fuels derived from 17 lipid-based feedstocks, including vegetable oils, animal fats, food industry waste, and microalgae. This study investigates the influence of fatty acid composition and transesterification alcohol type on key fuel properties, including density, viscosity, cetane number, pour point, heat value, and flash point. The results show that biodiesel fuels with a high content of saturated fatty acids exhibit higher cetane numbers and energy content, while biodiesel fuels with a high content of unsaturated fatty acids possess improved viscosity and cold flow properties. Camelina, rapeseed, and used cooking oil are identified as being particularly promising feedstocks based on their performance and availability in the European and Ukrainian dimensions. These findings are supported by a SWOT analysis and cost–benefit comparison, providing practical insights into the feasibility and scalability of biodiesel production pathways. Full article
(This article belongs to the Section A: Sustainable Energy)
Show Figures

Figure 1

31 pages, 20612 KB  
Article
Droplet-Scale Combustion Analysis of Third-Generation Biodiesel–Diesel Blends
by A. S. M. Sazzad Parveg and Albert Ratner
Energies 2025, 18(7), 1692; https://doi.org/10.3390/en18071692 - 28 Mar 2025
Viewed by 1266
Abstract
Biodiesel derived from waste cooking oil (WCO) and animal fats is a promising alternative to fossil fuels, offering environmental benefits and renewable energy potential. However, a detailed understanding of its combustion characteristics at the droplet scale is essential for optimizing its practical application. [...] Read more.
Biodiesel derived from waste cooking oil (WCO) and animal fats is a promising alternative to fossil fuels, offering environmental benefits and renewable energy potential. However, a detailed understanding of its combustion characteristics at the droplet scale is essential for optimizing its practical application. This study investigates the combustion behavior of biodiesel–diesel blends (B5, B10, B15, B20, B25, B50, B75) and neat fuels (B0 and B100) by analyzing combustion rates, pre-ignition time, burning time, droplet morphology, and puffing characteristics. The results demonstrate that biodiesel concentration strongly influences combustion dynamics. Higher blends (B50, B75) exhibit enhanced steady combustion rates due to increased oxygen availability, while lower blends (B5–B25) experience stronger puffing events, leading to greater secondary droplet formation. The global combustion rate follows a non-linear trend, peaking at B10, decreasing at B25, and rising again at B50 and B75. Pre-ignition time increases with biodiesel content, while burning time exhibits an inverse relationship with combustion rate. Four distinct puffing mechanisms were identified, with lower blends producing finer secondary droplets and higher blends forming larger droplets. Puffing characteristics were evaluated based on puffing occurrences, intensity, and effectiveness, revealing that puffing peaks at B25 in occurrence and at B10 in intensity, while higher blends (B50, B75) exhibit notable puffing effectiveness. This study addresses a critical research gap in droplet-scale combustion of WCO and animal fat-derived biodiesel across a wide range of blend ratios (B5–B75). The findings provide key insights for optimizing biodiesel formulations to improve fuel spray atomization, ignition stability, and combustion efficiency in spray-based combustion systems, such as diesel engines, gas turbines, and industrial burners, bridging fundamental research with real-world applications. Full article
(This article belongs to the Section I1: Fuel)
Show Figures

Figure 1

19 pages, 6873 KB  
Article
Study of Combustion Process Parameters in a Diesel Engine Powered by Biodiesel from Waste of Animal Origin
by Piotr Łagowski, Grzegorz Wcisło and Dariusz Kurczyński
Energies 2024, 17(23), 5857; https://doi.org/10.3390/en17235857 - 22 Nov 2024
Cited by 2 | Viewed by 1540
Abstract
The use of biofuels is one way to reduce the increasingly visible harmful effects of diesel engines on the environment. At the same time, it is also a way to gradually reduce dependence on depleting oil resources. New sources for biodiesel production are [...] Read more.
The use of biofuels is one way to reduce the increasingly visible harmful effects of diesel engines on the environment. At the same time, it is also a way to gradually reduce dependence on depleting oil resources. New sources for biodiesel production are currently being sought out. The authors of this article have produced esters from animal fat waste, obtaining a biofuel that can power diesel engines while obtaining a way to manage unnecessary waste. For this to be possible, it is necessary to confirm the possibility of using such biofuel to power compression ignition engines. To this end, it is moribund to conduct experimental tests on an engine dynamometer. The results of such studies made it possible to determine how such esters affect the parameters of the combustion process, which was the goal of the authors of this paper. In order to determine the effect of this biofuel on the parameters of the combustion process, indicator graphs of the pressure course in the engine cylinder were recorded. On their basis, heat release characteristics were drawn up and their most important indicators were determined. In addition, the parameters of the indicator charts were determined, such as the maximum pressure and the degree of its build-up during the combustion process. These tests were carried out on a Perkins 1104D-E44TA compression ignition engine, which is widely used in the construction industry as well as in agriculture. In order to be able to compare these results with diesel fuel, the same tests, under the same conditions, were carried out while feeding the engine with diesel fuel. It is worth noting that the tested esters were produced using a reactor designed and built by one of the co-authors of this publication. This reactor is used for the non-industrial production of biofuels from oils of various origins. Studies have shown that feeding the engine with esters results in an increase in the maximum fuel consumption of about 15%. This is dependent on the load and speed. Indicator graphs and their analysis indicated that feeding the engine with esters at lower loads results in higher maximum combustion pressures, depending on the engine load, compared to diesel fuel values by a maximum of about 10%. The calculated values of the degree of pressure increase during the combustion process showed that feeding the engine with esters at most loads results in an increase of up to 40% maximum. This is especially the case for a speed of 2200 rpm. In the case of parameters related to heat release characteristics, the relationship is the opposite, and feeding the engine with esters compared to diesel fuel results in higher maximum amounts and rates of heat release. These values are higher for esters from 20 to 40%. In addition, the percentage burnout of the fuel dose confirmed the information found in other publications that feeding the engine with biofuels causes faster combustion compared to diesel. Full article
(This article belongs to the Special Issue Internal Combustion Engine: Research and Application—2nd Edition)
Show Figures

Figure 1

28 pages, 3359 KB  
Article
Tuning Fatty Acid Profile and Yield in Pichia pastoris
by Simon Kobalter, Alena Voit, Myria Bekerle-Bogner, Haris Rudalija, Anne Haas, Tamara Wriessnegger and Harald Pichler
Bioengineering 2023, 10(12), 1412; https://doi.org/10.3390/bioengineering10121412 - 12 Dec 2023
Cited by 2 | Viewed by 3917
Abstract
Fatty acids have been supplied for diverse non-food, industrial applications from plant oils and animal fats for many decades. Due to the massively increasing world population demanding a nutritious diet and the thrive to provide feedstocks for industrial production lines in a sustainable [...] Read more.
Fatty acids have been supplied for diverse non-food, industrial applications from plant oils and animal fats for many decades. Due to the massively increasing world population demanding a nutritious diet and the thrive to provide feedstocks for industrial production lines in a sustainable way, i.e., independent from food supply chains, alternative fatty acid sources have massively gained in importance. Carbohydrate-rich side-streams of agricultural production, e.g., molasses, lignocellulosic waste, glycerol from biodiesel production, and even CO2, are considered and employed as carbon sources for the fermentative accumulation of fatty acids in selected microbial hosts. While certain fatty acid species are readily accumulated in native microbial metabolic routes, other fatty acid species are scarce, and host strains need to be metabolically engineered for their high-level production. We report the metabolic engineering of Pichia pastoris to produce palmitoleic acid from glucose and discuss the beneficial and detrimental engineering steps in detail. Fatty acid secretion was achieved through the deletion of fatty acyl-CoA synthetases and overexpression of the truncated E. coli thioesterase ‘TesA. The best strains secreted >1 g/L free fatty acids into the culture medium. Additionally, the introduction of C16-specific ∆9-desaturases and fatty acid synthases, coupled with improved cultivation conditions, increased the palmitoleic acid content from 5.5% to 22%. Full article
(This article belongs to the Section Biochemical Engineering)
Show Figures

Graphical abstract

14 pages, 3532 KB  
Article
Enhancing the Biodiesel Production by Improving the Yield of Lipids in Wild Strain by Inducing Nitrogen Ion Mutation in Rhodotorula mucilaginosa
by Joseph Antony Sundarsingh Tensingh and Vijayalakshmi Shankar
Microbiol. Res. 2023, 14(3), 1413-1426; https://doi.org/10.3390/microbiolres14030096 - 18 Sep 2023
Cited by 2 | Viewed by 1940
Abstract
The overconsumption of energy results in the depletion of fossil fuels. Generally, biodiesels are produced from wastes of animal fats and vegetable oils. In this study, we have tried to produce biodiesel from both the wild strain and ion beam mutated strain and [...] Read more.
The overconsumption of energy results in the depletion of fossil fuels. Generally, biodiesels are produced from wastes of animal fats and vegetable oils. In this study, we have tried to produce biodiesel from both the wild strain and ion beam mutated strain and compared the concentration of lipids produced from both the strains and their properties. Lipids were extracted from microbes using the Bligh and Dyer method and analyzed using gas chromatography and mass spectrophotometry (GCMS) and Fourier-transform infrared (FTIR) spectroscopy. Extracted lipids (free fatty acids) were converted into biodiesel (fatty acid methyl esters) using a base catalyst. The end product biodiesel was characterized and analyzed based on ASTM standards. Full article
Show Figures

Figure 1

12 pages, 2241 KB  
Article
Purified Glycerine from Biodiesel Production as Biomass or Waste-Based Green Raw Material for the Production of Biochemicals
by Grzegorz Borówka, Grzegorz Semerjak, Wojciech Krasodomski and Jan Lubowicz
Energies 2023, 16(13), 4889; https://doi.org/10.3390/en16134889 - 23 Jun 2023
Cited by 7 | Viewed by 4352
Abstract
Glycerine (glycerol) is a polyol consisting of three carbon atoms bonded to hydroxyl groups. It is a by-product of the transesterification of triglycerides, such as animal fats, vegetable oils, or used cooking oils during the biodiesel production process. Crude glycerine is subject to [...] Read more.
Glycerine (glycerol) is a polyol consisting of three carbon atoms bonded to hydroxyl groups. It is a by-product of the transesterification of triglycerides, such as animal fats, vegetable oils, or used cooking oils during the biodiesel production process. Crude glycerine is subject to purification processes resulting in distilled glycerine containing at least 99.5% glycerol. Currently, produced high-quality distilled glycerine is used in the food, pharmaceutical, and cosmetic industries. Recently, technologies for converting glycerol to other chemicals through catalytic processes have been intensively developed, e.g., production of bio-based 1,2-propanediol. In the near future, glycerol will certainly become a promising renewable raw material in many modern biorefineries for the synthesis of biofuels, chemicals, and bioenergy production. This paper presents the possibility of using ion exchange resins to remove impurities with trace amounts of sulphur and nitrogen compounds from crude and distilled glycerine, produced during the biodiesel production process from used cooking oils. It was determined that using ion exchange resins at the preliminary purification stage (before distillation) was ineffective. Using cationite resins to purify distilled glycerine produced from waste materials enables the removal of impurities in the form of sulphur and nitrogen compounds. Full article
(This article belongs to the Special Issue Biomass, Biofuels and Waste)
Show Figures

Figure 1

23 pages, 3504 KB  
Review
Bioengineering to Accelerate Biodiesel Production for a Sustainable Biorefinery
by Dheeraj Rathore, Surajbhan Sevda, Shiv Prasad, Veluswamy Venkatramanan, Anuj Kumar Chandel, Rupam Kataki, Sudipa Bhadra, Veeranna Channashettar, Neelam Bora and Anoop Singh
Bioengineering 2022, 9(11), 618; https://doi.org/10.3390/bioengineering9110618 - 27 Oct 2022
Cited by 19 | Viewed by 9237
Abstract
Biodiesel is an alternative, carbon-neutral fuel compared to fossil-based diesel, which can reduce greenhouse gas (GHGs) emissions. Biodiesel is a product of microorganisms, crop plants, and animal-based oil and has the potential to prosper as a sustainable and renewable energy source and tackle [...] Read more.
Biodiesel is an alternative, carbon-neutral fuel compared to fossil-based diesel, which can reduce greenhouse gas (GHGs) emissions. Biodiesel is a product of microorganisms, crop plants, and animal-based oil and has the potential to prosper as a sustainable and renewable energy source and tackle growing energy problems. Biodiesel has a similar composition and combustion properties to fossil diesel and thus can be directly used in internal combustion engines as an energy source at the commercial level. Since biodiesel produced using edible/non-edible crops raises concerns about food vs. fuel, high production cost, monocropping crisis, and unintended environmental effects, such as land utilization patterns, it is essential to explore new approaches, feedstock and technologies to advance the production of biodiesel and maintain its sustainability. Adopting bioengineering methods to produce biodiesel from various sources such as crop plants, yeast, algae, and plant-based waste is one of the recent technologies, which could act as a promising alternative for creating genuinely sustainable, technically feasible, and cost-competitive biodiesel. Advancements in genetic engineering have enhanced lipid production in cellulosic crops and it can be used for biodiesel generation. Bioengineering intervention to produce lipids/fat/oil (TGA) and further their chemical or enzymatic transesterification to accelerate biodiesel production has a great future. Additionally, the valorization of waste and adoption of the biorefinery concept for biodiesel production would make it eco-friendly, cost-effective, energy positive, sustainable and fit for commercialization. A life cycle assessment will not only provide a better understanding of the various approaches for biodiesel production and waste valorization in the biorefinery model to identify the best technique for the production of sustainable biodiesel, but also show a path to draw a new policy for the adoption and commercialization of biodiesel. Full article
(This article belongs to the Special Issue Acceleration of Biodiesel Production)
Show Figures

Figure 1

23 pages, 7383 KB  
Article
Effect of Fuel Preheating on Engine Characteristics of Waste Animal Fat-Oil Biodiesel in Compression Ignition Engine
by Gokul Raghavendra Srinivasan, Ranjitha Jambulingam, Amel Gacem, Akil Ahmad, Javed Khan Bhutto, Krishna Kumar Yadav, Amine Mezni, Omar Khulaif R. Alharbi, Saiful Islam, Yongtae Ahn and Byong-Hun Jeon
Polymers 2022, 14(18), 3896; https://doi.org/10.3390/polym14183896 - 18 Sep 2022
Cited by 15 | Viewed by 3721
Abstract
The present study aims at understanding the effects of fuel preheating on engine characteristics of waste animal fat-oil (WAF-O) biodiesel in a single-cylinder CI engine, with the preheating technique proposed as an effective means for enhancing the fuel properties. To understand the effects [...] Read more.
The present study aims at understanding the effects of fuel preheating on engine characteristics of waste animal fat-oil (WAF-O) biodiesel in a single-cylinder CI engine, with the preheating technique proposed as an effective means for enhancing the fuel properties. To understand the effects of the preheated fuel, the WAF-O biodiesel was preheated at 60, 80, 100 and 120 °C and tested along with neat diesel and unheated WAF-O biodiesel. For this purpose, biodiesel was produced from different animal wastes by means of KOH-assisted ethanol-based transesterification, reporting its maximum yield as 96.37 ± 1.8%, with significant distribution of unsaturated oleic acid, saturated palmitic acid and stearic acid. Upon evaluating its fuel characteristics as per ASTM D6751 standards, a rise in preheating temperature by 1 °C reduced the density and kinematic viscosity of WAF-O biodiesel by 0.383 kg/m3 and 0.025 mm2/s, respectively, and was explained by the weakening of intermolecular forces between its fatty acid ester molecules. Preheated samples reported superior combustion characteristics by exhibiting increased in-cylinder pressure (2.24%, on average) and heat release rates in addition to their shortened ignition delay (1–4 °CA). Furthermore, preheating of WAF-O biodiesel reduced its specific fuel consumption and increased its brake thermal efficiency by 7.86% (on average) and 9.23% (on average), respectively. However, higher preheating temperatures (>120 °C) resulted in increased fuel consumption owing to its varied flow characteristics. In addition to the changes in combustion characteristics, preheating WAF-O bio-diesel also resulted in reduced carbon monoxide, nitrous oxide and hydrocarbon emission by 13.88%, 7.21% and 26.94%, respectively, and increased carbon dioxide emission by 7.58%. Summing up, the enhancements in overall engine characteristics of preheated samples were accounted for by their improvised fuel injection characteristics due to their reduced density and viscosity, which ensured for their effective combustion. Full article
(This article belongs to the Special Issue Advanced Polymers for Energy and Environment Science)
Show Figures

Figure 1

26 pages, 7738 KB  
Article
Valuable Biodiesel Catalyst from Solvay Wastewater
by Mai Hassan Roushdy and Rana Adel Bayoumi
Processes 2022, 10(5), 1042; https://doi.org/10.3390/pr10051042 - 23 May 2022
Cited by 2 | Viewed by 3244
Abstract
Biodiesel is considered a renewable, green fuel as it is derived from renewable living resources like animal fats or vegetable oils. This research is utilized to investigate the possibility of using Solvay wastewater as a source of biodiesel catalyst, which is CaO. CaCl [...] Read more.
Biodiesel is considered a renewable, green fuel as it is derived from renewable living resources like animal fats or vegetable oils. This research is utilized to investigate the possibility of using Solvay wastewater as a source of biodiesel catalyst, which is CaO. CaCl2 from Solvay wastewater reacts with CO2 to produce CaCO3. CaCO3 is then heated to produce pure CaO. Waste cooking oil, wastewater, and CO2, which are considered dangerous materials to the environment, are used to produce valuable products. This research has environmental and economic benefit benefits of using waste materials as a replacement for raw materials. The selected experimental parameters for the CaCO3 production step are stirring rate (500–1300) rpm, CO2 gas flow rate (900–2000) mL/min, amount of ammonia (15–35) mL, and glycerol volume (0–25) mL. The selected experimental parameters for the biodiesel production step are reaction time (2–6) h, methanol to oil ratio (9–15), catalyst loading (1–5) %, and reaction temperature (50–70) °C. The impact of reaction parameters on reaction responses was assessed using the response surface methodology technique. A formula that represents the reaction response as a function of all the independent factors has been created. The optimization of the process is done in two steps: the first one is for the CaCO3 process while the second one is biodiesel production optimization. The first optimization was done to get the CaCO3 with minimum particle size and yield. The second optimization was done to get the maximum amount of biodiesel using minimum energy and low reaction conditions. Process optimization resulted in another economic benefit for this research. The resulted biodiesel yield equals 95.8% biodiesel yield at 2 h reaction time, 15:1 molar ratio of methanol to oil, 56 °C reaction temperature, and 1% catalyst loading. Full article
Show Figures

Figure 1

18 pages, 42628 KB  
Review
A Review of the Existing Potentials in Biodiesel Production in Iran
by Behdad Shadidi, Gholamhassan Najafi and Mohammad Ali Zolfigol
Sustainability 2022, 14(6), 3284; https://doi.org/10.3390/su14063284 - 11 Mar 2022
Cited by 17 | Viewed by 6181
Abstract
Petroleum fuel plays an important role in industry, transportation, agriculture and other related industries in Iran. Iran has about 9.5% of the world’s total oil reserves in 2020 and is ranked 4th in the world. The presence of sufficient conventional fossil fuels for [...] Read more.
Petroleum fuel plays an important role in industry, transportation, agriculture and other related industries in Iran. Iran has about 9.5% of the world’s total oil reserves in 2020 and is ranked 4th in the world. The presence of sufficient conventional fossil fuels for internal combustion engines has caused environmental problems. If these Iranian fossil fuels were to run out right now, there is no suitable alternative that is just as effective. The need to research alternative fuels in Iran is therefore unavoidable. In this study, the potential and available resources of raw materials, including rapeseed oil, palm oil, fish oil, waste oil, algae, animal fat, olive oil and jatropha oil for biodiesel production in different regions of Iran, have been reviewed. Given the potentials and resources described in this study, it is hoped that the findings of this study will play an important role in biodiesel production in Iran in the future and stimulate more researchers to create biodiesel from existing sources. It is also expected that this study will increase the attention of the governmental and non-governmental organizations in Iran to the existing resources for biodiesel production and development of these resources and get rid of the existing problems of fossil fuels by investing in this field. Full article
(This article belongs to the Special Issue Emerging Renewable and Sustainable Energy Technologies)
Show Figures

Figure 1

23 pages, 18123 KB  
Article
Use of Waste Substrates for the Lipid Production by Yeasts of the Genus Metschnikowia—Screening Study
by Andrea Němcová, Martin Szotkowski, Ota Samek, Linda Cagáňová, Matthias Sipiczki and Ivana Márová
Microorganisms 2021, 9(11), 2295; https://doi.org/10.3390/microorganisms9112295 - 4 Nov 2021
Cited by 16 | Viewed by 3696
Abstract
Oleogenic yeasts are characterized by the ability to accumulate increased amounts of lipids under certain conditions. These microbial lipids differ in their fatty acid composition, which allows them to be widely used in the biotechnology industry. The interest of biotechnologists is closely linked [...] Read more.
Oleogenic yeasts are characterized by the ability to accumulate increased amounts of lipids under certain conditions. These microbial lipids differ in their fatty acid composition, which allows them to be widely used in the biotechnology industry. The interest of biotechnologists is closely linked to the rising prices of fossil fuels in recent years. Their negative environmental impact is caused by significantly increased demand for biodiesel. The composition of microbial lipids is very similar to vegetable oils, which provides great potential for use in the production of biodiesel. In addition, some oleogenic microorganisms are capable of producing lipids with a high proportion of unsaturated fatty acids. The presented paper’s main aim was to study the production of lipids and lipid substances by yeasts of the genus Metschnikowia, to cultivate crude waste animal fat to study its utilization by yeasts, and to apply the idea of circular economy in the biotechnology of Metschnikowia yeasts. The work focuses on the influence of various stress factors in the cultivation process, such as reduced temperature or nutritional stress through the use of various waste substrates, together with manipulating the ratio of carbon and nitrogen sources in the medium. Yeast production properties were monitored by several instrumental techniques, including gas chromatography and Raman spectroscopy. The amount of lipids and in particular the fatty acid composition varied depending on the strains studied and the culture conditions used. The ability of yeast to produce significant amounts of unsaturated fatty acids was also demonstrated in the work. The most suitable substrate for lipid production was a medium containing glycerol, where the amount of accumulated lipids in the yeast M. pulcherrima 1232 was up to 36%. In our work, the crude animal fat was used for the production of high-value lipids, which to the best of our knowledge is a new result. Moreover, quantitative screening of lipase enzyme activity cultivated on animal fat substrate on selected yeasts of the genus Metschnikowia was performed. We found that for the yeast utilizing glycerol, animal fat seems to be an excellent source of carbon. Therefore, the yeast conversion of crude processed animal fat to value-added products is a valuable process for the biotechnology and food industry. Full article
(This article belongs to the Special Issue Microbial Stress Response as a Tool for Biotechnology)
Show Figures

Figure 1

17 pages, 4656 KB  
Article
Development of Solar Powered Biodiesel Reactor for Kuwait Sheep Tallow
by Fnyees Alajmi, Amer Alajmi, Ahmed Alrashidi, Naser Alrashidi, Nor Mariah Adam and Abdul Aziz Hairuddin
Processes 2021, 9(9), 1623; https://doi.org/10.3390/pr9091623 - 9 Sep 2021
Cited by 7 | Viewed by 3807
Abstract
Biodiesel is one of the more recent green fuel products in the world. It can be produced from several raw materials such as straight vegetable oils, animal fats, tallow, and waste cooking oils, and blended with diesel. Properties of biodiesel are different compared [...] Read more.
Biodiesel is one of the more recent green fuel products in the world. It can be produced from several raw materials such as straight vegetable oils, animal fats, tallow, and waste cooking oils, and blended with diesel. Properties of biodiesel are different compared to fossil diesel in terms of production methods and emission levels released after combustion in an internal combustion engine. Kuwait consumes a huge amount of energy which is almost 8% to meet the increasing demand for electricity and water. Moreover, the use of electricity in the production of biodiesel increases energy use and cost of production. Kuwait is receiving an amount of solar irradiation ranging from 2050 kWh/m2 to 2100 kWh/m2. The present study is concerned with the evaluation of the potential to use solar energy to produce biodiesel from sheep fat waste as a raw material. An experimental test rig was set up for a single cylinder diesel engine in the laboratory, where a solar power system was used to assist the production process of biodiesel from tallow waste. The biodiesel is then blended with diesel at different volume percentages, such as graded as B20, B50, B75 and B100, respectively. The exhaust gases such as oxygen, carbon monoxide, carbon dioxide, nitric oxide and nitric dioxide where also analyzed. An optimum decrease in values of nitric oxide levels was observed at the load of 51%, 68%, 85% and 93% during the operation at blend of biodiesel B20, B50, B75 and B100, respectively. Nitric dioxide was decreased at the load of 51%, 68% and 85% during the operation using B20, B50 and B75, respectively. Optimum SFC was achieved at B20, B50 and B75 during high loads of 85% and 93%. It can be concluded that sheep tallow biodiesel shows a promising result in terms of fuel consumption and environmental emissions of greenhouse gases. Full article
Show Figures

Figure 1

13 pages, 2177 KB  
Article
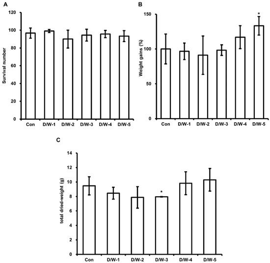
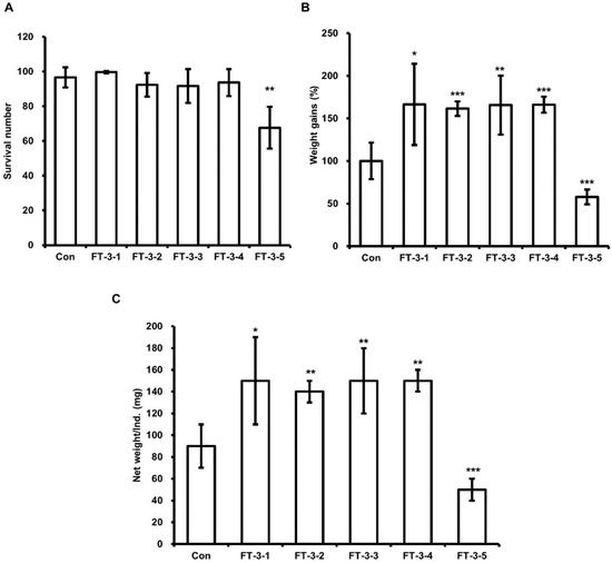
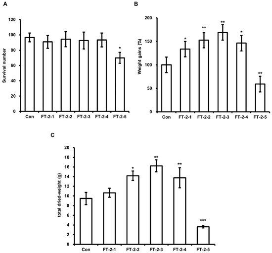
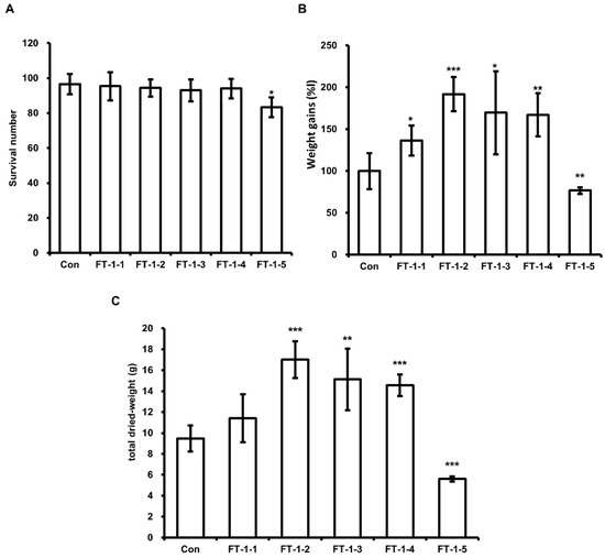
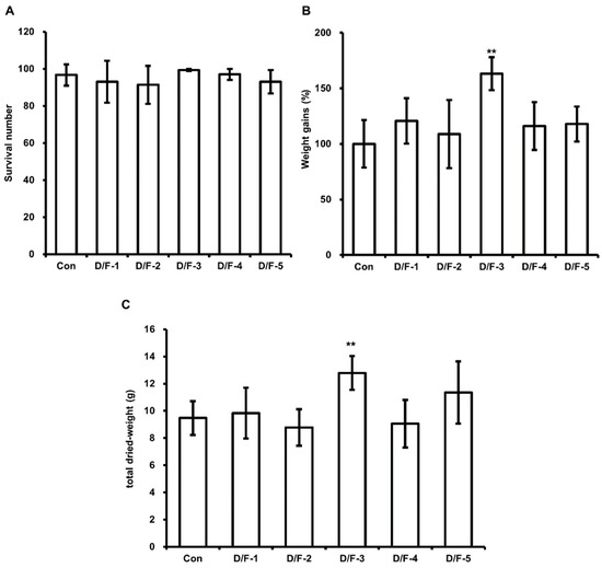
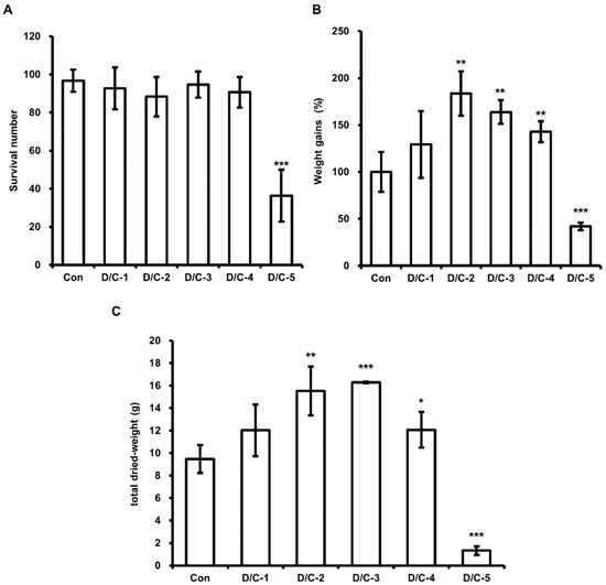
Optimization of Feed Components to Improve Hermetia illucens Growth and Development of Oil Extractor to Produce Biodiesel
by Kyu-Shik Lee, Eun-Young Yun and Tae-Won Goo
Animals 2021, 11(9), 2573; https://doi.org/10.3390/ani11092573 - 1 Sep 2021
Cited by 19 | Viewed by 4025
Abstract
HIL are useful in agriculture because they can be used as feed for livestock or fertilizer and can bioconvert organic wastes, such as food waste and human and animal manure to usable fertilizer. In addition, HIL are being studied as a source of [...] Read more.
HIL are useful in agriculture because they can be used as feed for livestock or fertilizer and can bioconvert organic wastes, such as food waste and human and animal manure to usable fertilizer. In addition, HIL are being studied as a source of biodiesel because of their high-fat content. However, their use for biodiesel production has not been fully adopted. Here, the results showed that survival, weight gains, and total dried weight were significantly enhanced when HIL were fed dried-food waste (DFW)/chicken manure (CM). Furthermore, increased weight gain was observed in HIL fed DFW containing 5 mL waste cooking oil (WCO) per 100 g and 1.2% (v/w) fermented effective microorganism (F-EM). Based on these results, we prepared experimental feeds containing DFW, CM, WCO, and F-EM to establish an optimal feed for biodiesel production. We found that FT-1-2, a feed prepared with 60 g DFW, 40 g CM, 2 mL WCO, and 0.8% F-EM (v/w), significantly enhanced fat content, weight gain, and total dried weight of HIL. Our results indicate FT-1-2 is a suitable feed to breed HIL for biodiesel production. We then developed an automatic oil extractor for biodiesel production. The yield of the oil extractor was higher than that of solvent extraction. The study shows FT-1-2 is an optimal HIL feed for biodiesel production and that the developed oil extractor is useful for the extraction of crude oil from HIL and for the harvesting of defatted HIL frass for livestock feed and fertilizer. Taken together, we established an optimized low-cost feed for HIL breeding and developed an automatic oil extractor for the production of biodiesel from HIL. Full article
(This article belongs to the Section Animal Nutrition)
Show Figures

Figure 1

24 pages, 18018 KB  
Review
Perspectives on Bioenergy Feedstock Development in Pakistan: Challenges and Opportunities
by Athar Mahmood, Xiukang Wang, Ahmad Naeem Shahzad, Sajid Fiaz, Habib Ali, Maria Naqve, Muhammad Mansoor Javaid, Sahar Mumtaz, Mehwish Naseer and Renji Dong
Sustainability 2021, 13(15), 8438; https://doi.org/10.3390/su13158438 - 28 Jul 2021
Cited by 43 | Viewed by 8889
Abstract
Pakistan faces challenges in both food and energy security. Indeed, extensive literature suggests that food and energy security are interdependent. While acknowledging that food security is still a primary concern for Pakistan, energy security is also a major issue. It is crucial to [...] Read more.
Pakistan faces challenges in both food and energy security. Indeed, extensive literature suggests that food and energy security are interdependent. While acknowledging that food security is still a primary concern for Pakistan, energy security is also a major issue. It is crucial to develop sustainable energy sources for energy production. Among sustainable sources, biomass is a promising source that can be effectively used for environmentally friendly energy production. This article addresses the energy issues and potential solutions using crop residues, non-edible energy crops, and animal and municipal solid wastes in Pakistan. The current research challenges, relevant industries, opportunities, and the future share of energy production derived from renewable and sustainable sources are emphasized with a focus on the potential of biomass energy. This article shows that Pakistan has considerable potential to develop bioenergy crops on marginal lands without compromising food security, with considerable greenhouse gas (GHG) benefits. Pakistan has vast biomass resources, including crop residues, animal waste, municipal solid waste, and forest residues, which collectively produce 230 billion tons of biomass annually. There are about 72 million bovines (cows and buffaloes), 81 million tons per year of crop biomass, and about 785 million birds in poultry farms across the country. Land that is currently non-productive could be used for energy crops, and this has the potential to produce 2500–3000 MW of energy. The utilization of waste cooking oil and fats is the most economically feasible option for obtaining biodiesel due to its easy and almost free availability in Pakistan. Systematic management is needed to collect this huge quantity of waste cooking oil and efficiently convert it to biodiesel. Similarly, molasses may be a promising source for bioethanol production. Furthermore, this study suggests that Pakistan’s energy policies need to be amended to ensure that the energy supply meets the demand. In the future, massive energy projects on biomass-based bioenergy need to be implemented in Pakistan. To achieve its bioenergy potential, Pakistan needs to develop incentive-based bioenergy technologies. Moreover, this objective can only be achieved in the country by initiating R&D projects to promote advanced biomass conversion technologies, such as biogas plants and combustion systems. Full article
(This article belongs to the Special Issue Smart Farming and Bioenergy Feedstock Crops)
Show Figures

Figure 1

38 pages, 2611 KB  
Article
A Multi-Objective Approach toward Optimal Design of Sustainable Integrated Biodiesel/Diesel Supply Chain Based on First- and Second-Generation Feedstock with Solid Waste Use
by Evgeniy Ganev, Boyan Ivanov, Natasha Vaklieva-Bancheva, Elisaveta Kirilova and Yunzile Dzhelil
Energies 2021, 14(8), 2261; https://doi.org/10.3390/en14082261 - 17 Apr 2021
Cited by 22 | Viewed by 3020
Abstract
This study proposes a multi-objective approach for the optimal design of a sustainable Integrated Biodiesel/Diesel Supply Chain (IBDSC) based on first- (sunflower and rapeseed) and second-generation (waste cooking oil and animal fat) feedstocks with solid waste use. It includes mixed-integer linear programming (MILP) [...] Read more.
This study proposes a multi-objective approach for the optimal design of a sustainable Integrated Biodiesel/Diesel Supply Chain (IBDSC) based on first- (sunflower and rapeseed) and second-generation (waste cooking oil and animal fat) feedstocks with solid waste use. It includes mixed-integer linear programming (MILP) models of the economic, environmental and social impact of IBDSC, and respective criteria defined in terms of costs. The purpose is to obtain the optimal number, sizes and locations of bio-refineries and solid waste plants; the areas and amounts of feedstocks needed for biodiesel production; and the transportation mode. The approach is applied on a real case study in which the territory of Bulgaria with its 27 districts is considered. Optimization problems are formulated for a 5-year period using either environmental or economic criteria and the remainder are defined as constraints. The obtained results show that in the case of the economic criterion, 14% of the agricultural land should be used for sunflower and 2% for rapeseed cultivation, while for the environmental case, 12% should be used for rapeseed and 3% for sunflower. In this case, the price of biodiesel is 14% higher, and the generated pollutants are 6.6% lower. The optimal transport for both cases is rail. Full article
Show Figures

Figure 1

Back to TopTop