Valuable Biodiesel Catalyst from Solvay Wastewater
Abstract
:1. Introduction
2. Materials and Methods
2.1. Experimental Work Raw Materials
- (a)
- Solvay wastewater from the Solvay process factory. The composition of this wastewater is shown in Table 1.
- (b)
- Carbon dioxide gas purchased from “Delta Carbon for Gases Company”
- (c)
- Ammonia Solution (NH4OH) 33% purchased from “El Nasr Pharmaceutical Chemicals company”.
- (d)
- (e)
- Methanol (MeOH) 99% that was purchased from Morgan Chemical Ltd., City, Egypt.
2.2. Assessment of Produced CaCO3 and the Biodiesel Catalyst (CaO)
2.3. SFWCO Collection and Preparation
2.4. Biodiesel Catalyst Preparation (CaO)
- Ammonia solution was added with a certain amount to the Solvay wastewater to form a mixture of 250 mL.
- Glycerol was added with a certain amount to the reaction mixture, which is mixed using a magnetic stirrer (WiseStir MSH-20D) adjusted to the required stirring rate.
- 3.
- CO2 gas was bubbled with a certain flow rate which is measured by the “MICRO-FLO PADDLEWHEEL FLOWMETER” for 20 min using a PYREX gas distribution tube with sintered thimble purchased from SciLabware:
- Diameter of tube: 8 mm;
- Nominal overall length: 300 mL;
- OD of thimble: 15 mm;
- Porosity grade: 1.
- Absorption of CO2 gas
- Formation of hydroxide ion (OH−)
- Formation of bicarbonate ion
- Formation of carbonate ion
- Formation of CaCO3
- 4.
- The resulting product (CaCO3) is allowed to settle, the clear water is withdrawn by filtration, and then the generated particles were allowed to dry naturally.
- 5.
2.5. Production of Biodiesel by a Transesterification Reaction Method
- The sunflower oil was added to the round glass batch reactor and heated to the desired reaction temperature using a magnetic stirrer with a heater where the temperature is measured using a thermocouple.
- The mixture of methanol and biodiesel catalyst (CaO) was added to the heated oil at the indicated reaction temperature. The reflux condenser was attached to one neck for methanol condensation as shown in Figure 3.
- The reaction mixture was quenched with cooled methanol by the end of the reaction to stop the reaction.
- The reaction products were filtered to remove the used catalyst.
- The biodiesel and glycerol were poured into a separating funnel for product separation for 2 h then dried at 80 °C for ma in to remove excess methanol.
- Biodiesel was then washed with warm (tap water) water to remove the dissolved contaminations like CaO catalyst, methanol, and glycerol, which has a solubility preference in water rather than biodiesel. Thus, contaminations were transferred to lean water and lowered its concentration in biodiesel. The mass transfer was insured by gently mixing of the mixture. Rich water with contaminations were then separated and replaced by lean water to absorb the remaining contaminations in oil. The washing up was repeated several times until the turbidity of washing water is negligible where water appears transparent having been added to the oil. Transparency of washing water in biodiesel shows that there are no more contaminations to be transferred to water.
2.6. Designing Experiments
2.6.1. CaCO3 Production
- The selected reaction responses are the particle size, nm of produced CaCO3, and its yield in percentage.
- Optimization was done by minimizing the particle size and maximizing the production yield of CaCO3, while minimizing the stirring rate.
2.6.2. Biodiesel Production
- The selected reaction response is biodiesel yield;
- Optimization was done by maximizing the production yield of biodiesel while minimizing the reaction time and temperature.
2.7. Investigations Done on the Optimal Biodiesel Sample
2.8. CaO Reusability
3. Results and Discussion
3.1. Mineralogical Analysis of Produced CaCO3 and the Biodiesel Catalyst
3.1.1. CaCO3 Mineralogical Analysis
3.1.2. Mineralogical Analysis of Biodiesel Catalyst (CaO)
3.2. SEM Results of CaO
3.3. Screen Analysis of Biodiesel Catalyst (CaO)
3.4. Analysis of the Products
3.5. CaCO3 Analysis
3.6. Biodiesel Analysis
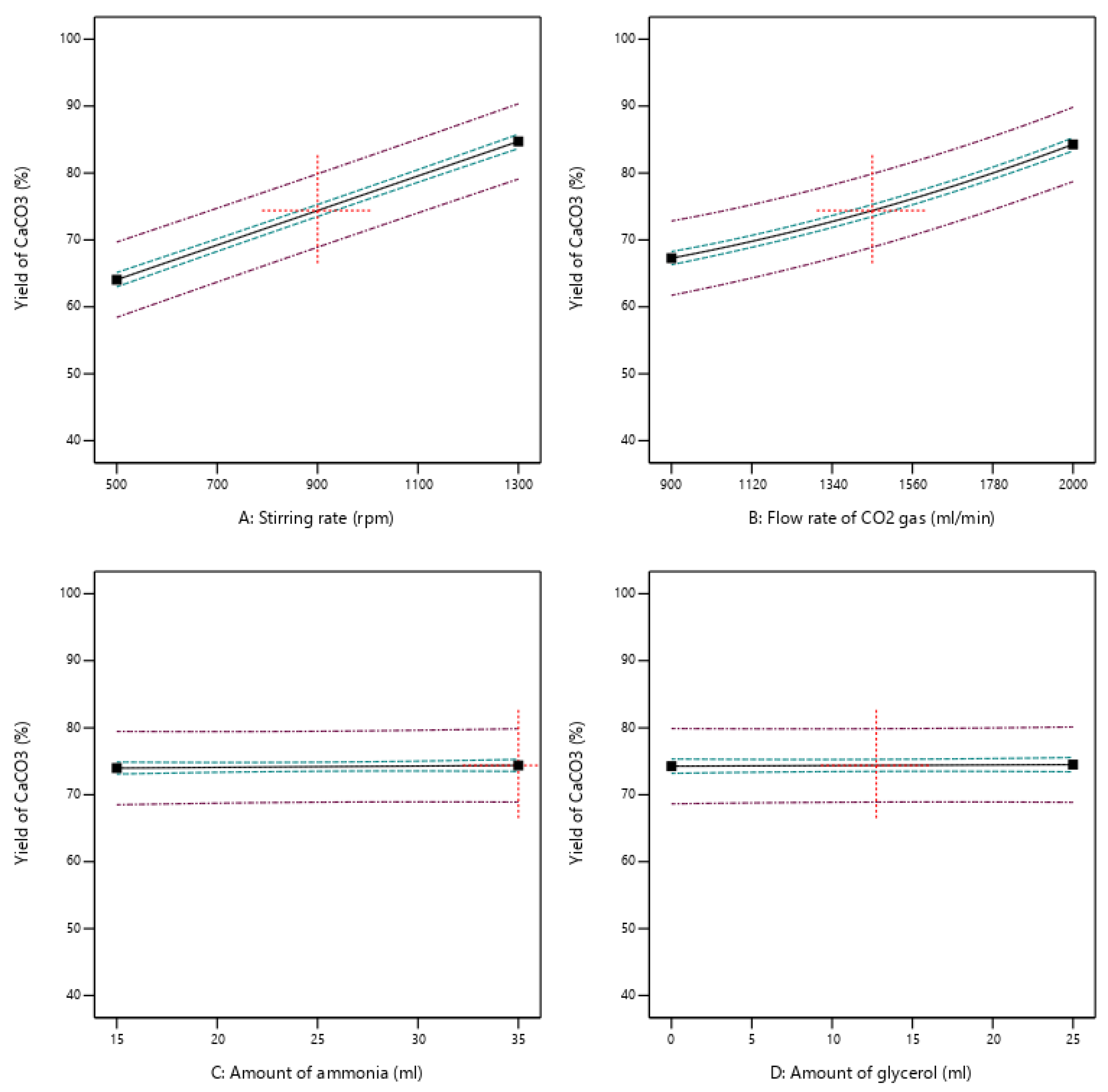
3.7. Reaction Conditions Effect on the Particle Size and the Yield of CaCO3
3.7.1. Effect of Stirring Rate on the Particle Size and the Yield of CaCO3
3.7.2. Effect of the Amount of Ammonia on the Particle Size and the Yield of CaCO3
3.7.3. Effect of the Gas Flow Rate on the Particle Size and the Yield of CaCO3
3.7.4. Effect of the Amount of Glycerol on the Particle Size and the Yield of CaCO3
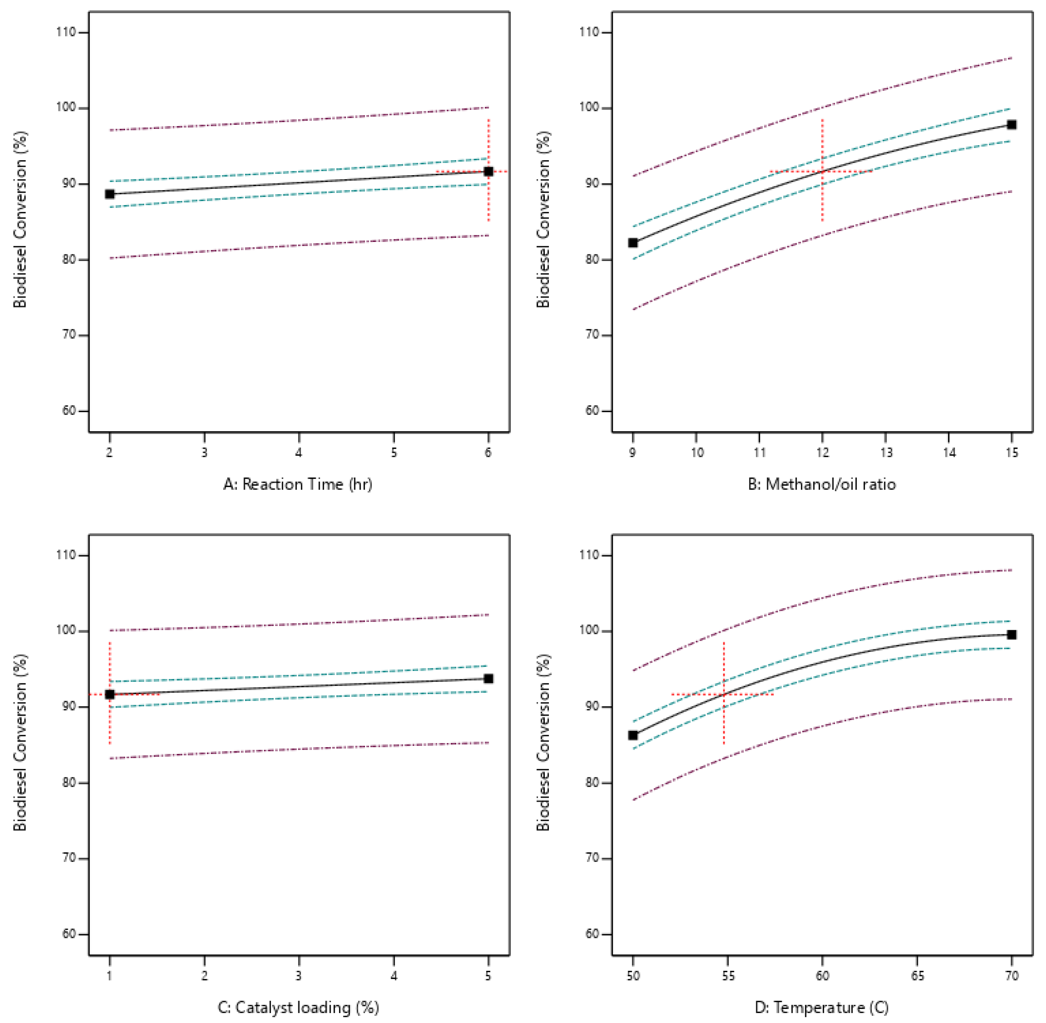
3.8. Reaction Conditions Effect on the Yield of Biodiesel
3.8.1. Effect of the Reaction Temperature on the Yield of Biodiesel
3.8.2. Effect of the Reaction Time on the Yield of Biodiesel
3.8.3. Effect of the Methanol to Oil Ratio on the Yield of Biodiesel
3.8.4. Effect of the Catalyst Loading on the Yield of Biodiesel
3.9. Reaction Response Variation with the Variables’ Interactions
3.10. Process Optimization
3.10.1. CaCO3 Production Process Optimization
3.10.2. Biodiesel Production Process Optimization
3.11. Optimum Biodiesel Sample Analysis
3.12. CaO Reusability
4. Optimum Biodiesel Production from Solvay Wastewater
4.1. CaCO3 Production Step
- Mixing Solvay wastewater with ammonia solution using a mixing ratio 3 (ammonia solution): 47 (wastewater).
- Adding glycerol to the reaction mixture with an amount equal to 10% of the total volume of the mixture.
- Stirring the resulted solution mixture using 1300 rpm rotational speed on a magnetic stirrer.
- Bubbling CO2 gas with a flowrate of 2000 mL/min using a gas distributer for 20 min.
- By the end of the reaction, the product was filtered to get the resulting CaCO3 with 420.4 nm particle size and 96.8% yield.
4.2. CaO Production Step
4.3. Biodiesel Production Step
- Purification and drying for the waste sunflower waste cooking oil.
- Heating the resulted biodiesel in a round bottom flask at 56 °C using a magnetic stirrer with a heater.
- Mixing methanol and biodiesel catalyst with the hot oil with 15 methanol to oil ratio and 1% catalyst loading.
- Leaving the reaction mixture for 2 h and then quenching with cold methanol to stop the reaction. Then, the products were left to cool.
- Separating the products using a separating funnel for 2 h.
- Drying the resulting products at 80 °C for half an hour to remove the methanol.
- Biodiesel washing to remove any contaminations in it.
- By the end of these steps, the resulting biodiesel has 95.8% conversion.
5. Comparison between This Research and the Previous Ones
- Low energy consumption because of using a low reaction compared with others.
- High biodiesel conversion.
- Biodiesel catalyst generation from Solvay wastewater, CO2, and waste cooking oil.
- High used methanol to oil ratio. The extra methanol is separated from the resulting biodiesel by distillation and then recycled and reused.
- Low amount of used catalyst compared with the other studies so its separation after the reaction is easier.
6. Conclusions
Author Contributions
Funding
Data Availability Statement
Acknowledgments
Conflicts of Interest
References
- Habibullah, M.; Masjuki, H.H.; Kalam, M.A.; Rahman, S.M.A.; Mofijur, M.; Mobarak, H.M.; Ashraful, A.M. Potential of biodiesel as a renewable energy source in Bangladesh. Renew. Sustain. Energy Rev. 2015, 50, 819–834. [Google Scholar] [CrossRef]
- Ayoola, A.A.; Fayomi, O.S.I.; Adegbite, O.A.; Raji, O. Biodiesel Fuel Production Processes: A Short Review. IOP Conf. Ser. Mater. Sci. Eng. 2021, 1107, 012151. [Google Scholar] [CrossRef]
- Khodary, K.E.; Naeem, M.M.; Roushdy, M.H. Utilization of electric arc furnace dust as a solid catalyst in biodiesel production. Clean Technol. Environ. Policy 2021. [Google Scholar] [CrossRef]
- Chintagunta, A.D.; Zuccaro, G.; Kumar, M.; Kumar, S.P.J.; Garlapati, V.K.; Postemsky, P.D.; Kumar, N.S.S.; Chandel, A.K.; Simal-Gandara, J. Biodiesel Production From Lignocellulosic Biomass Using Oleaginous Microbes: Prospects for Integrated Biofuel Production. Front. Microbiol. 2021, 12, 658284. [Google Scholar] [CrossRef]
- Lamichhane, G.; Khadka, S.; Adhikari, S.; Koirala, N.; Poudyal, D.P. Biofuel Production from Waste Cooking Oils and its Physicochemical Properties in Comparison to Petrodiesel. Nepal J. Biotechnol. 2020, 8, 87–94. [Google Scholar] [CrossRef]
- Shankar, S.; Shikha. Renewable and Nonrenewable Energy Resources: Bioenergy and Biofuels; Principles and Applications of Environmental Biotechnology for a Sustainable Future book series; Springer: Singapore, 2017; pp. 293–314. [Google Scholar]
- De Blasio, C. Processes of Bioethanol Production. In Fundamentals of Biofuels Engineering and Technology. Green Energy and Technology; Springer: Singapore, 2019. [Google Scholar] [CrossRef]
- Pasha, M.K.; Dai, L.; Liu, D.; Guo, M.; Du, W. An overview to process design, simulation and sustainability evaluation of biodiesel production. Biotechnol. Biofuels 2021, 14, 129. [Google Scholar] [CrossRef]
- Roushdy, M.H. Heterogeneous Biodiesel Catalyst from Steel Slag Resulting from an Electric Arc Furnace. Processes 2022, 10, 465. [Google Scholar] [CrossRef]
- Thangaraj, B.; Solomon, P.R.; Muniyandi, B.; Ranganathan, S.; Lin, L. Catalysis in biodiesel production—A review. Clean Energy 2019, 3, 2–23. [Google Scholar] [CrossRef] [Green Version]
- Watcharathamrongkul, K.; Jongsomjit, B.; Phisalaphong, M. Calcium oxide based catalysts for ethanolysis of soybean oil. Songklanakarin J. Sci. Technol. 2010, 32, 627–634. [Google Scholar]
- Sai Bharadwaj, A.V.S.L.; Singh, M.; Niju, S.; Meera Sheriffa Begum, K.M.; Anantharaman, N. Biodiesel production from rubber seed oil using calcium oxide derived from eggshell as catalyst-optimization and modeling studies. Green Processing Synth. 2019, 8, 430–442. [Google Scholar] [CrossRef]
- Al-Sakkari, E.G.; El-Sheltawy, S.T.; Abadir, M.F.; Attia, N.K.; El-Diwani, G. Investigation of cement kiln dust utilization for catalyzing biodiesel production via response surface methodology. Int. J. Energy Res. 2017, 41, 593–603. [Google Scholar] [CrossRef]
- Çalban, T.; Kavci, E. Removal of calcium from soda liquid waste containing calcium chloride. Energy Sources Part A: Recovery Util. Environ. Eff. 2010, 32, 407–418. [Google Scholar] [CrossRef]
- Czaplicka, N.; Konopacka-Łyskawa, D. Studies on the utilization of post-distillation liquid from Solvay process to carbon dioxide capture and storage. SN Appl. Sci. 2019, 1, 431. [Google Scholar] [CrossRef] [Green Version]
- Czaplicka, N.; Konopacka-Łyskawa, D. Utilization of gaseous carbon dioxide and industrial ca-rich waste for calcium carbonate precipitation: A review. Energies 2020, 13, 6239. [Google Scholar] [CrossRef]
- Rasouli, H.; Esmaeili, H. Characterization of MgO nanocatalyst to produce biodiesel from goat fat using transesterification process. 3 Biotech 2019, 9, 429. [Google Scholar] [CrossRef]
- ASTM E 11-09; Standard Specification for Woven Wire Test Sieve Cloth and Test Sieves. ASTM International: West Conshohocken, PA, USA, 2010; Volume 1, p. 9.
- Degfie, T.A.; Mamo, T.T.; Mekonnen, Y.S. Optimized Biodiesel Production from Waste Cooking Oil (WCO) using Calcium Oxide (CaO) Nano-catalyst. Sci. Rep. 2019, 9, 18982. [Google Scholar] [CrossRef] [Green Version]
- Varma, S.; Chen, P.; Unnikrishnan, G. Gas-liquid reactive crystallization for the synthesis of CaCO3 nanocrystals. Mater. Chem. Phys. 2011, 126, 232–236. [Google Scholar] [CrossRef]
- Westin, K.J.; Rasmuson, Å.C. Crystal growth of aragonite and calcite in presence of citric acid, DTPA, EDTA and pyromellitic acid. J. Colloid Interface Sci. 2005, 282, 359–369. [Google Scholar] [CrossRef]
- Popescu, M.-A.; Isopescu, R.; Matei, C.; Fagarasan, G.; Plesu, V. Thermal decomposition of calcium carbonate polymorphs precipitated in the presence of ammonia and alkylamines. Adv. Powder Technol. 2014, 25, 500–507. [Google Scholar] [CrossRef]
- Widayat, W.; Darmawan, T.; Hadiyanto, H.; Rosyid, R.A. Preparation of Heterogeneous CaO Catalysts for Biodiesel Production. J. Phys. Conf. Ser. 2017, 877, 012018. [Google Scholar] [CrossRef] [Green Version]
- Singh, N.B.; Singh, N.P. Formation of CaO from thermal decomposition of calcium carbonate in the presence of carboxylic acids. J. Therm. Anal. Calorim. 2007, 89, 159–162. [Google Scholar] [CrossRef]
- Widiarti, N.; Nimah Yatim, L.; Bahruji, H.; Prasetyoko, D. Development of CaO From Natural Calcite as a Heterogeneous Base Catalyst in the Formation of Biodiesel: Review. J. Renew. Mater. 2019, 7, 915–939. [Google Scholar] [CrossRef]
- Montgomery, D.C. Montgomery Design and Analysis of Experiments, 8th ed.; Arizona State University: Tempe, AZ, USA, 2013; Volume 2009, 2001p. [Google Scholar]
- Bayoumi, R.A.; Ahmed, T.S.; Soliman, A.; Ismail, I.M. Nano Calcium Carbonate Production Utilizing Solvay-Process Industrial Wastewater and Carbon Dioxide. Key Eng. Mater. 2019, 821, 350–358. [Google Scholar] [CrossRef]
- EN 14214:2013 V2+A1; Liquid Petroleum Products—Fatty Acid Methyl Esters (FAME) for Use in Diesel Engines and Heating Applications—Requirements and Test Methods. European Committee for Standardization: Brussels, Belgium, 2013; p. 14538.
- D6751-15c A; Standard Specification for Biodiesel Fuel Blend Stock (B100) for Middle Distillate Fuels. ASTM International: West Conshohocken, PA, USA, 2010; pp. 1–11.
- Biodiesel, A. APPLICATION NOTE EN 14103 Determination of Total FAME and Linolenic Acid Methyl Ester in FAME with AC Biodiesel All in One Solution; AC Analytical Controls, PAC L.P.: Houston, TX, USA, 2011; pp. 1–3. [Google Scholar]
- Biodiesel, A.; Glycerol, T. APPLICATION NOTE EN 14105 Determination of Free and Total Glycerol and Mono-, Di—Triglycerides in Fatty Acid Methyl Esters (FAME); SCION Instruments: Livingston, UK, 2011; pp. 2–4. [Google Scholar]
- Scmeme, C.E. Effect of gas-liquid mass transfer on crystal size distribution during the batch precipitation of calcium carbonate. Chem. Eng. Sci. 1991, 46, 3289–3293. [Google Scholar]
- Sun, B.-C.; Wang, X.-M.; Chen, J.-M.; Chu, G.-W.; Chen, J.-F.; Shao, L. Synthesis of nano-CaCO3 by simultaneous absorption of CO2 and NH3 into CaCl2 solution in a rotating packed bed. Chem. Eng. J. 2011, 168, 731–736. [Google Scholar] [CrossRef]
- Jung, W.M.; Kang, S.H.; Kim, K.S.; Kim, W.S.; Choi, C.K. Precipitation of calcium carbonate particles by gas-liquid reaction: Morphology and size distribution of particles in Couette-Taylor and stirred tank reactors. J. Cryst. Growth 2010, 312, 3331–3339. [Google Scholar] [CrossRef]
- Konopacka-Łyskawa, D.; Kościelska, B.; Karczewski, J. Effect of some organic solvent–water mixtures composition on precipitated calcium carbonate in carbonation process. J. Cryst. Growth 2015, 418, 25–31. [Google Scholar] [CrossRef]
- Mahapatra, D. A Review on Steam Coal Analysis—Calorific Value. Am. Int. J. Res. Sci.Technol. Eng. Math. 2016, 14, 143–152. [Google Scholar]
- Products, P. Astm D93 Flash Point; ASTM International: West Conshohocken, PA, USA, 2004; p. 80112. [Google Scholar]
- Edition, F. Final Draft Uganda Standard; ASTM International: West Conshohocken, PA, USA, 2013. [Google Scholar]
- D40052-15; Standard Test Method for Density, Relative Density, and API Gravity of Liquids by Digital Density Meter. ASTM International: West Conshohocken, PA, USA, 2013; pp. 1–8.
- ASTM D445-06; Standard Test Method for Kinematic Viscosity of Transparent and Opaque Liquids (and Calculation of Dynamic Viscosity). In Manual on Hydrocarbon Analysis, 6th ed; ASTM International: West Conshohocken, PA, USA, 2008; pp. 1–10.
- Alamdari, A.; Alamdari, A.; Mowla, D. Kinetics of calcium carbonate precipitation through CO2 absorption from flue gas into distiller waste of soda ash plant. J. Ind. Eng. Chem. 2014, 20, 3480–3486. [Google Scholar] [CrossRef]
- Erchamo, Y.S.; Mamo, T.T.; Workneh, G.A.; Mekonnen, Y.S. Improved biodiesel production from waste cooking oil with mixed methanol–ethanol using enhanced eggshell-derived CaO nano-catalyst. Sci. Rep. 2021, 11, 6708. [Google Scholar] [CrossRef] [PubMed]
- Ayoola, A.A.; Fayomi, O.S.I.; Adeeyo, O.A.; Omodara, J.O.; Adegbite, O. Impact assessment of biodiesel production using CaO catalyst obtained from two different sources. Cogent. Eng. 2019, 6, 1615198. [Google Scholar] [CrossRef]
- Vivi Sisca, S.; Zilfa, J.N. Biodiesel Production from Waste Cooking Oil Using Catalyst Calcium Oxide Derived of Limestone Lintau Buo. Arch. Pharm. Pract. 2020, 11, 8–14. [Google Scholar]
- Soria-Figueroa, E.; Mena-Cervantes, V.Y.; García-Solares, M.; Hernández-Altamirano, R.; Vazquez-Arenas, J. Statistical optimization of biodiesel production from waste cooking oil using CaO as catalyst in a Robinson-Mahoney type reactor. Fuel 2020, 282, 118853. [Google Scholar] [CrossRef]
- Bharti, P.; Singh, B.; Dey, R.K. Process optimization of biodiesel production catalyzed by CaO nanocatalyst using response surface methodology. J. Nanostruct. Chem. 2019, 9, 269. Available online: link.gale.com/apps/doc/A607973452/AONE?u=anon~f1b9196&sid=googleScholar&xid=fe3eb596 (accessed on 14 May 2022). [CrossRef] [Green Version]
- Abd Malek, M.N.F.; Pushparaja, L.; Hussin, N.M.; Embong, N.H.; Bhuyar, P.; Rahim, M.H.A.; Maniam, G.P. Exploration of efficiency of nano calcium oxide (CaO) as catalyst for enhancement of biodiesel production. J. Microbiol. Biotechnol. Food Sci. 2021, 11, e3935. [Google Scholar] [CrossRef]





















| Element | Concentration, (Kg/m3) |
|---|---|
| CaCl2 | 115 |
| NaCl | 54 |
| Ca(OH)2 | 9 |
| CaCO3 | 12 |
| CaSO4 | 4 |
| SiO2 | 1 |
| NH3 | 0.02 |
| Fatty Acid | v/v % |
|---|---|
| Arachidic acid | 1.42 |
| Eicosadienoic acid | 0.43 |
| Heptadecanoic acid | 36.55 |
| Lauric acid | 0.3 |
| Linoleic acid | 1.51 |
| Linolenic acid | 2.25 |
| Myristic acid | 0.75 |
| n-pentadecanoic acid | 1.64 |
| Oleic acid | 30.44 |
| Others | 4.13 |
| Palmitic acid | 20.21 |
| Palmitoleic acid | 0.37 |
| Property | Value |
|---|---|
| Acid value (mg of KOH/g of oil) | 1.5 |
| Density of 25 °C (kg/m3) | 845 |
| Molecular weight | 830.2 |
| Viscosity at 40 °C | 40.3 |
| Parameter | Unit | Values | |
|---|---|---|---|
| −1 | 1 | ||
| Stirring rate | rpm | 500 | 1300 |
| CO2 gas flow rate | mL/min | 900 | 2000 |
| Amount of ammonia | mL | 15 | 35 |
| Volume of glycerol | mL | 0 | 25 |
| Run No. | Stirring Rate, rpm | CO2 Gas Flow Rate, mL/min | Amount of Ammonia, mL | The Volume of Glycerol, mL |
|---|---|---|---|---|
| 1 | 500 | 900 | 15 | 0 |
| 2 | 1300 | 900 | 15 | 0 |
| 3 | 500 | 2000 | 15 | 0 |
| 4 | 1300 | 2000 | 15 | 0 |
| 5 | 500 | 900 | 35 | 0 |
| 6 | 1300 | 900 | 35 | 0 |
| 7 | 500 | 2000 | 35 | 0 |
| 8 | 1300 | 2000 | 35 | 0 |
| 9 | 500 | 900 | 15 | 25 |
| 10 | 1300 | 900 | 15 | 25 |
| 11 | 500 | 2000 | 15 | 25 |
| 12 | 1300 | 2000 | 15 | 25 |
| 13 | 500 | 900 | 35 | 25 |
| 14 | 1300 | 900 | 35 | 25 |
| 15 | 500 | 2000 | 35 | 25 |
| 16 | 1300 | 2000 | 35 | 25 |
| 17 | 100 | 1450 | 25 | 12.5 |
| 18 | 1700 | 1450 | 25 | 12.5 |
| 19 | 900 | 350 | 25 | 12.5 |
| 20 | 900 | 2550 | 25 | 12.5 |
| 21 | 900 | 1450 | 5 | 12.5 |
| 22 | 900 | 1450 | 45 | 12.5 |
| 23 | 900 | 1450 | 25 | 0 |
| 24 | 900 | 1450 | 25 | 37.5 |
| 25–30 | 900 | 1450 | 25 | 12.5 |
| Parameter | Unit | Values | |
|---|---|---|---|
| −1 | 1 | ||
| Reaction time | h | 2 | 6 |
| Methanol to oil molar ratio | - | 9 | 15 |
| CaO catalyst loading concentration | % | 1 | 5 |
| Stirring rate | °C | 50 | 70 |
| Run No. | Temperature, °C | Catalyst Loading, % | Methanol/Oil Ratio | Reaction Time, h |
|---|---|---|---|---|
| 1 | 50 | 1 | 9 | 2 |
| 2 | 50 | 1 | 9 | 6 |
| 3 | 50 | 1 | 15 | 2 |
| 4 | 50 | 1 | 15 | 6 |
| 5 | 50 | 5 | 9 | 2 |
| 6 | 50 | 5 | 9 | 6 |
| 7 | 50 | 5 | 15 | 2 |
| 8 | 50 | 5 | 15 | 6 |
| 9 | 70 | 1 | 9 | 2 |
| 10 | 70 | 1 | 9 | 6 |
| 11 | 70 | 1 | 15 | 2 |
| 12 | 70 | 1 | 15 | 6 |
| 13 | 70 | 5 | 9 | 2 |
| 14 | 70 | 5 | 9 | 6 |
| 15 | 70 | 5 | 15 | 2 |
| 16 | 70 | 5 | 15 | 6 |
| 17 | 60 | 3 | 12 | 0 |
| 18 | 60 | 3 | 12 | 8 |
| 19 | 60 | 3 | 6 | 4 |
| 20 | 60 | 3 | 18 | 4 |
| 21 | 60 | 1 | 12 | 4 |
| 22 | 60 | 7 | 12 | 4 |
| 23 | 40 | 3 | 12 | 4 |
| 24 | 80 | 3 | 12 | 4 |
| 25–30 | 60 | 3 | 12 | 4 |
| Source | Sum of Squares | df | Mean Square | F-Value | p-Value |
|---|---|---|---|---|---|
| Model | 5.345 × 105 | 7 | 76,351.81 | 11.59 | <0.0001 |
| A-Stirring rate | 26,169.01 | 1 | 26,169.01 | 3.97 | 0.0588 |
| B-Flow rate of CO2 gas | 79,637.76 | 1 | 79,637.76 | 12.09 | 0.0021 |
| C-Amount of ammonia | 47,481.51 | 1 | 47,481.51 | 7.21 | 0.0135 |
| D-Amount of glycerol | 2.286 × 105 | 1 | 2.286 × 105 | 34.70 | <0.0001 |
| BD | 45,956.64 | 1 | 45,956.64 | 6.97 | 0.0149 |
| CD | 54,347.27 | 1 | 54,347.27 | 8.25 | 0.0089 |
| D2 | 52,232.72 | 1 | 52,232.72 | 7.93 | 0.0101 |
| Residual | 1.450 × 105 | 22 | 6589.16 | ||
| Lack of Fit | 1.450 × 105 | 17 | 8527.15 | ||
| Pure Error | 0.0000 | 5 | 0.0000 |
| Source | Sum of Squares | df | Mean Square | F-Value | p-Value |
|---|---|---|---|---|---|
| Model | 4453.22 | 6 | 742.20 | 385.19 | <0.0001 |
| A-Stirring rate | 2562.67 | 1 | 2562.67 | 1329.97 | <0.0001 |
| B-Flow rate of CO2 gas | 1734.00 | 1 | 1734.00 | 899.91 | <0.0001 |
| C-Amount of ammonia | 0.9600 | 1 | 0.9600 | 0.4982 | 0.4874 |
| D-Amount of glycerol | 0.3151 | 1 | 0.3151 | 0.1635 | 0.6897 |
| AB | 100.00 | 1 | 100.00 | 51.90 | <0.0001 |
| B2 | 55.28 | 1 | 55.28 | 28.69 | <0.0001 |
| Residual | 44.32 | 23 | 1.93 | ||
| Lack of Fit | 44.32 | 18 | 2.46 | ||
| Pure Error | 0.0000 | 5 | 0.0000 |
| Source | Sum of Squares | df | Mean Square | F-Value | p-Value |
|---|---|---|---|---|---|
| Model | 2246.30 | 8 | 280.79 | 68.16 | <0.0001 |
| E-Reaction Time | 53.76 | 1 | 53.76 | 13.05 | 0.0016 |
| F-Methanol/oil ratio | 671.72 | 1 | 671.72 | 163.06 | <0.0001 |
| G-Catalyst loading | 25.74 | 1 | 25.74 | 6.25 | 0.0208 |
| H-Temperature | 1057.82 | 1 | 1057.82 | 256.78 | <0.0001 |
| FG | 21.49 | 1 | 21.49 | 5.22 | 0.0329 |
| FH | 108.47 | 1 | 108.47 | 26.33 | <0.0001 |
| F2 | 75.35 | 1 | 75.35 | 18.29 | 0.0003 |
| H2 | 259.22 | 1 | 259.22 | 62.92 | <0.0001 |
| Residual | 86.51 | 21 | 4.12 | ||
| Lack of Fit | 86.51 | 16 | 5.41 | ||
| Pure Error | 0.0000 | 5 | 0.0000 |
| Stirring Rate, rpm | The Flow Rate of CO2 Gas, mL/min | Amount of Ammonia, mL | Amount of Glycerol, mL | The Particle Size of Produced CaCO3, nm | The Yield of CaCO3, % | Desirability |
|---|---|---|---|---|---|---|
| 1300 | 2000 | 15 | 25 | 420.4 | 96.8 | 0.911 |
| Methanol/Oil Ratio | Temperature, °C | Catalyst Loading, % | Reaction Time, h | Biodiesel Conversion, % | Desirability |
|---|---|---|---|---|---|
| 15 | 56 | 1 | 2.000 | 95.8 | 0.765 |
| Test | Results | Standard Method | EN14214 | ASTM D6751 |
|---|---|---|---|---|
| Calorific value (MJ/kg) | 39.821 | ASTM D-5865 [36] | >32.9 | |
| Flashpoint (°C) | 170 | ASTM D-93 [37] | >101 | >130 |
| Pour point (°C) | −22 | ASTM D-97 [38] | ||
| Density at 15 °C (g/cm3) | 0.8851 | ASTM D-4052 [39] | 0.86–0.9 | |
| Cloud point (°C) | −13 | ASTM D-97 [38] | <−4 | |
| Kinematic viscosity at 40 °C (cSt) | 4.6 | ASTM D-445 [40] | 3.5–5.0 | 1.9–6.0 |
| Composition | Results | Specification | |
|---|---|---|---|
| Total FAME | 97.6% | More than 96.5% | |
| Glycerides | Tri- | 0.0856% | Less than 0.2% |
| Di- | 0.0078% | Less than 0.2% | |
| Mono- | 0.0043% | Less than 0.8% | |
| Glycerol | Total | 0.019% | Less than 0.25% |
| Free | 0.01% | Less than 0.02% | |
| Study | Used Catalyst | Catalyst Preparation | Reaction Conditions | Biodiesel Conversion | Reference | |||
|---|---|---|---|---|---|---|---|---|
| Methanol/Oil Ratio | Catalyst Loading | Reaction Temperature | Reaction Time | |||||
| 1 | CaO from Eggshell | Need | 12:1 | 3.5 wt% | 60 °C | 2 h | 92% | [42] |
| 2 | Technical grade CaO | Do not need | 7.1:1 | 5.9 wt% | 65 °C | 2 h | 92.6% | [43] |
| CaO from eggshells | Need | 7:1 | 6 wt% | 65 °C | 2.2 h | 91.4% | ||
| 3 | CaO from Limestone | Need | 6:1 | 5 wt% | 65 °C | 4 h | 86% | [44] |
| 4 | CaO, industrial grade | Do not need | 8.72:1 | 8.75 wt% | 60 °C | 2 h | 98.5% | [45] |
| 5 | Nano-CaO | Do not need | 11:1 | 3.675 wt% | 60 °C | 2 h | 97.61% | [46] |
| 6 | Nano-CaO | Do not need | 15:1 | 5 wt% | 65 ± 2 °C | 3 h | 88.87% | [47] |
| 7 | CaO is Solvay wastewater | Need | 15:1 | 1 wt% | 56 °C | 2 h | 95.8% | (Present work) |
Publisher’s Note: MDPI stays neutral with regard to jurisdictional claims in published maps and institutional affiliations. |
© 2022 by the authors. Licensee MDPI, Basel, Switzerland. This article is an open access article distributed under the terms and conditions of the Creative Commons Attribution (CC BY) license (https://creativecommons.org/licenses/by/4.0/).
Share and Cite
Roushdy, M.H.; Bayoumi, R.A. Valuable Biodiesel Catalyst from Solvay Wastewater. Processes 2022, 10, 1042. https://doi.org/10.3390/pr10051042
Roushdy MH, Bayoumi RA. Valuable Biodiesel Catalyst from Solvay Wastewater. Processes. 2022; 10(5):1042. https://doi.org/10.3390/pr10051042
Chicago/Turabian StyleRoushdy, Mai Hassan, and Rana Adel Bayoumi. 2022. "Valuable Biodiesel Catalyst from Solvay Wastewater" Processes 10, no. 5: 1042. https://doi.org/10.3390/pr10051042
APA StyleRoushdy, M. H., & Bayoumi, R. A. (2022). Valuable Biodiesel Catalyst from Solvay Wastewater. Processes, 10(5), 1042. https://doi.org/10.3390/pr10051042

